Intra- and Interspecific Competition Altered the Competitive Strategies of Alternanthera philoxeroides and Trifolium regens under Cadmium Contamination
Abstract
1. Introduction
2. Material and Methods
2.1. Overview of the Experimental Site
2.2. Experimental Design
2.3. Growth and Biomass Allocation
2.4. Photosynthesis-Related Traits
2.5. H2O2 Content, MAD Content, and Enzyme Activity
2.6. Quality Control (QC)
2.7. Statistical Analysis
3. Results
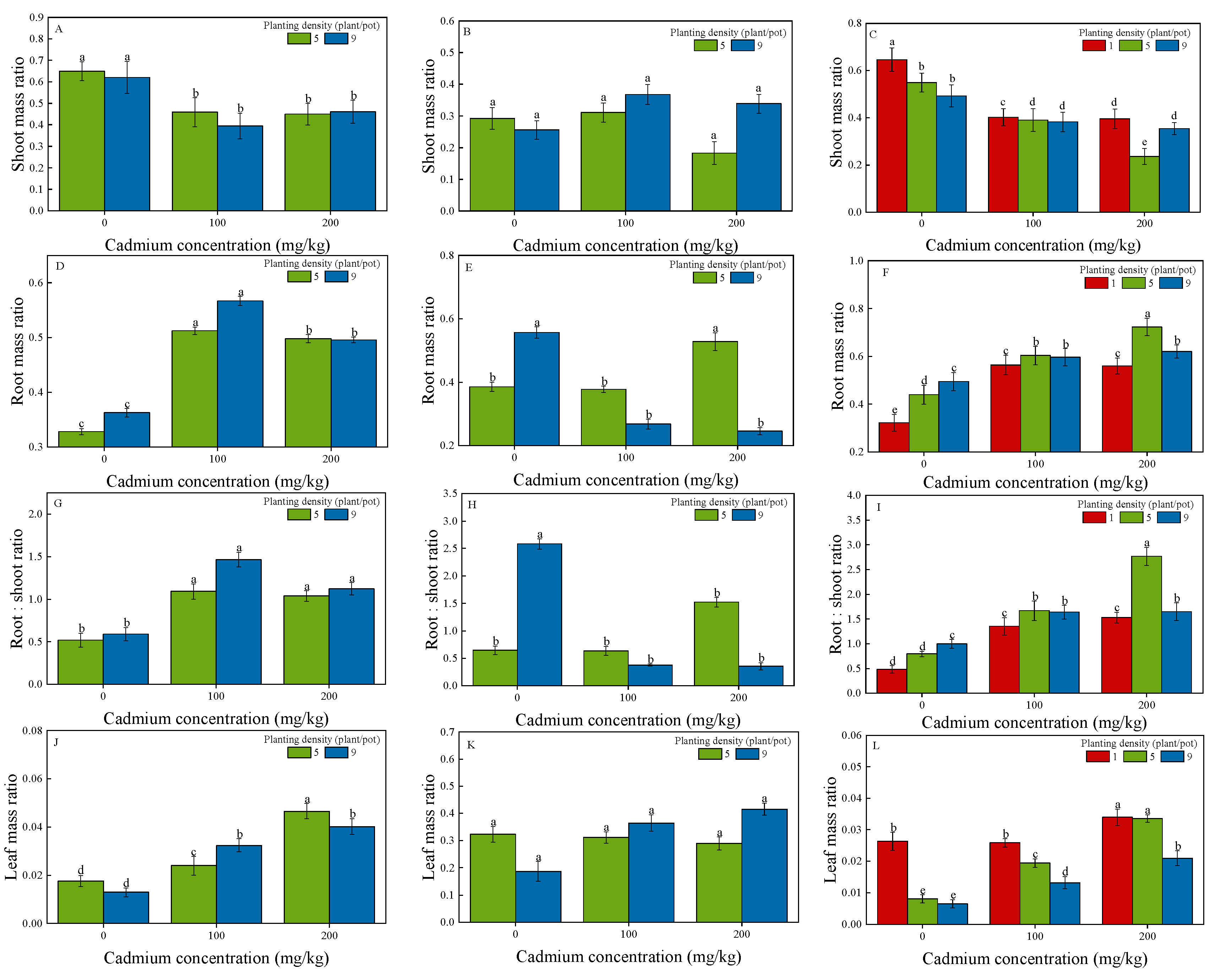
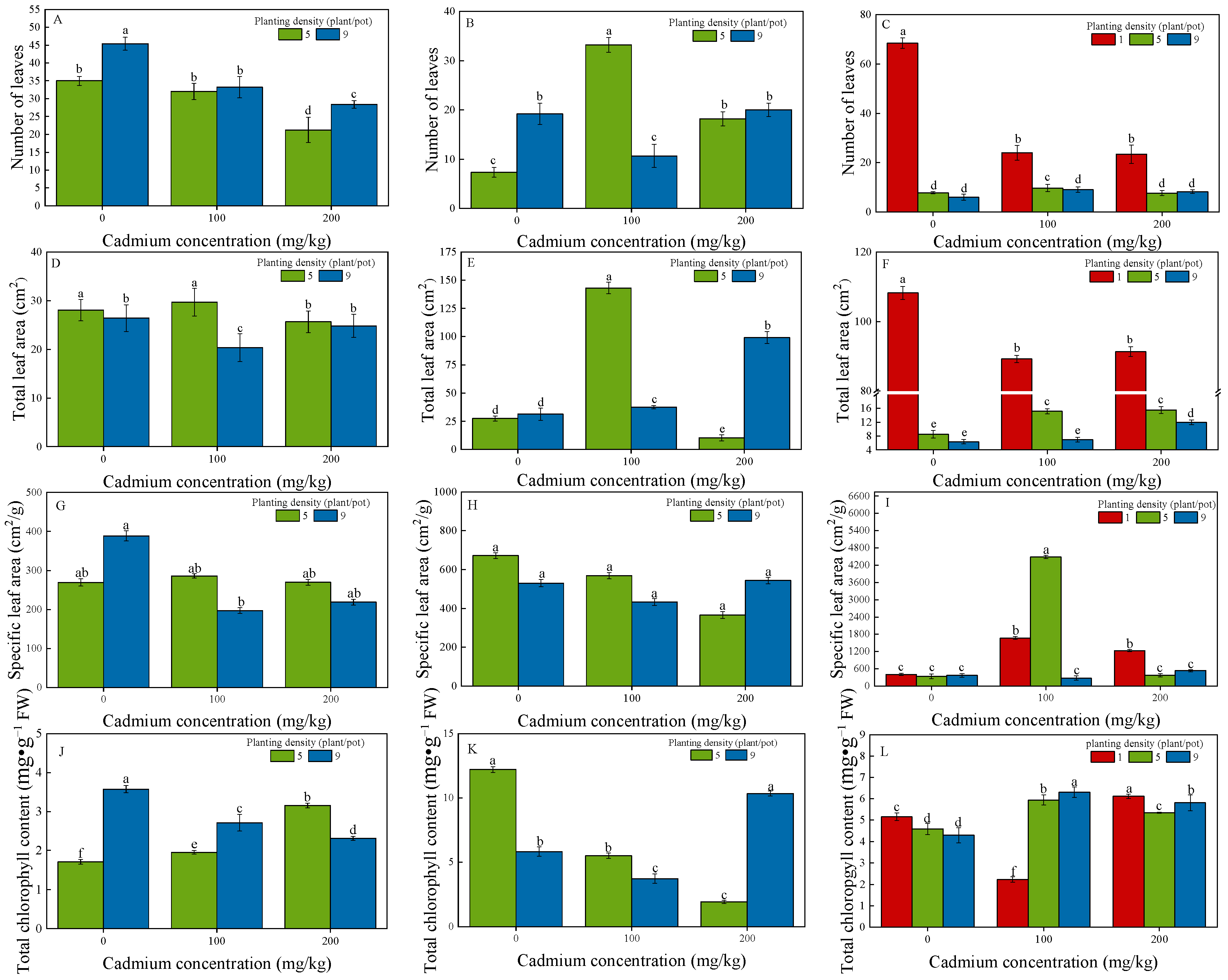
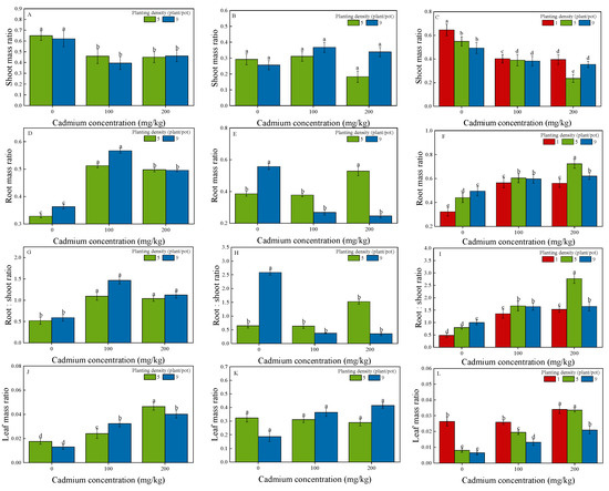
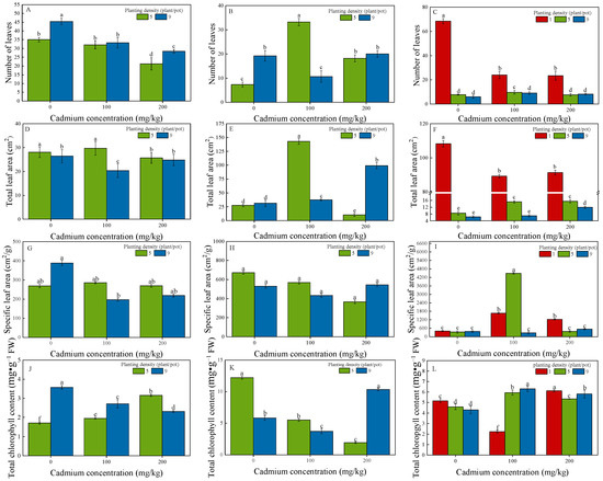
3.1. Effects of Cadmium Concentration and Planting Density on Plant Growth
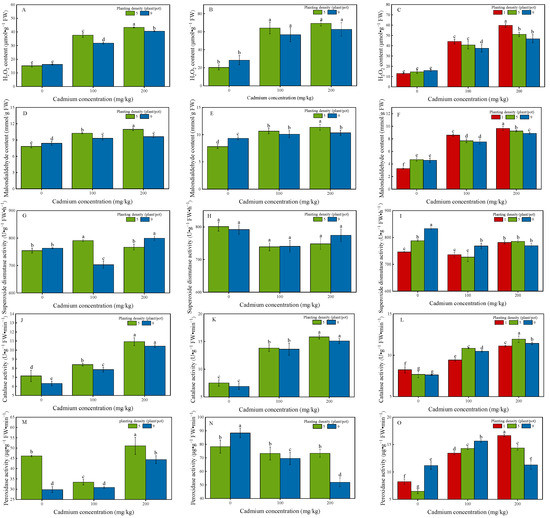
3.2. Effects of Cadmium Concentration and Planting Density on H2O2 Content, MAD Content, and Antioxidant Enzyme Activity
4. Discussion
5. Conclusions
Author Contributions
Funding
Conflicts of Interest
References
- Akram, M.A.; Wahid, A.; Abrar, M.; Manan, A.; Naeem, S.; Zahid, M.A.; Gilani, M.M.; Paudyal, R.; Gong, H.Y.; Ran, J.Z.; et al. Comparative study of six maize (Zea mays L.) cultivars concerning cadmium uptake, partitioning and tolerance. Appl. Ecol. Environ. Res. 2021, 19, 2305–2331. [Google Scholar] [CrossRef]
- Adnan, M.; Xiao, B.; Xiao, P.; Zhao, P.; Li, R.; Bibi, S. Research Progress on Heavy Metals Pollution in the Soil of Smelting Sites in China. Toxics 2022, 10, 231. [Google Scholar] [CrossRef]
- Khan, I.; Awan, S.A.; Rizwan, M.; Ali, S.; Hassan, M.J.; Brestic, M.; Zhang, X.; Huang, L. Effects of silicon on heavy metal uptake at the soil-plant interphase: A review. Ecotoxicol. Environ. Saf. 2021, 222, 112510. [Google Scholar] [CrossRef]
- Azam, Z.; Ayaz, A.; Younas, M.; Qureshi, Z.; Arshad, B.; Zaman, W.; Ullah, F.; Nasar, M.Q.; Bahadur, S.; Irfan, M.M.; et al. Microbial synthesized cadmium oxide nanoparticles induce oxidative stress and protein leakage in bacterial cells. Microb. Pathog. 2020, 144, 104188. [Google Scholar] [CrossRef]
- Liu, X. Discussion on environment protection optimization strategy of heavy metal pollution control. Shanxi Chem. Ind. 2022, 42, 354–360. [Google Scholar]
- Sun, K.; Hua, Y.; Wang, Z. Research progress on heavy metal pollution and health risk assessment of the industrial wastewater. J. N. China Univ. Water Resour. Electr. Power (Nat. Sci. Ed.) 2022, 43, 99–108. [Google Scholar]
- Wu, Y.; Li, X.; Yu, L.; Wang, T.; Wang, J.; Liu, T. Review of soil heavy metal pollution in China: Spatial distribution, primary sources, and remediation alternatives. Resour. Conserv. Recycl. 2022, 181, 106261. [Google Scholar] [CrossRef]
- Tovar-Sánchez, E. Heavy Metal Pollution as a Biodiversity Threat. In Heavy Metals; Intech Open: Rijeka, Croatia, 2018; pp. 383–399. [Google Scholar]
- Prabakaran, K.; Li, J.; Anandkumar, A.; Leng, Z.; Zou, C.B.; Du, D. Managing environmental contamination through phytoremediation by invasive plants: A review. Ecol. Eng. 2019, 138, 28–37. [Google Scholar] [CrossRef]
- Yu, D.; Wei, S.; Zhu, W.; Cao, A.; Zhang, C.; Song, Z. Influence of Altemanthera philoxeroides on the growth of paddy rice and its economic threshold. Acta Phytophylacica Sin. 2008, 35, 69–73. [Google Scholar]
- Lin, J.; Qing, S.; Wu, H. Effect of Alternanthera philoxeroides, an invasive exotic weed, on plant biodiversity. Rural Eco-Environ. 2005, 21, 28–32. [Google Scholar]
- Zhou, G.; Peng, Y.; Wang, Y.; Zhou, G.; Wang, W. Studies on the distribution, occurrence and harm of Alternanthera philoxeroides in Dongtinghu area. Weed Sci. 2007, 3, 16–18. [Google Scholar]
- Wang, Y.; Rui, H.; Wang, Z. Trifolium repens L. lawn planting and maintenance management. Pract. For. Technol. 2011, 47–48. [Google Scholar] [CrossRef]
- Lin, Y. Excellent Forage Grass Trifolium repens L. Technol. Briefing. 1980, 1, 16. [Google Scholar]
- Li, Y. Application of Trifolium repens L. in Urban Greening in Beijing. Chin. Land. Archi. 1988, 3, 43–45. [Google Scholar]
- Duan, Q.; Lee, J.; Liu, Y.; Chen, H.; Hu, H. Distribution of heavy metal pollution in surface soil samples in China: A graphical review. Bull. Environ. Contam. Toxicol. 2016, 97, 303–309. [Google Scholar] [CrossRef]
- Gao, J. Plant Physiology Experiment Guidance; Higher Education Press: Beijing, China, 2006; p. 287. [Google Scholar]
- Shi, H. Experimental Guidance on Plant Adversity Physiology; Science Press: Beijing, China, 2016; pp. 58–60. [Google Scholar]
- Che-Castaldo, J.P.; Inouye, D.W. Interspecific competition between a non-native metal-hyperaccumulating plant (Noccaea caerulescens, Brassicaceae) and a native congener across a soil-metal gradient. Aust. J. Bot. 2015, 63, 141. [Google Scholar] [CrossRef]
- Wang, Y.; Chen, C.; Xiong, Y.; Wang, Y.; Li, Q. Combination effects of heavy metal and inter-specific competition on the invasiveness of Alternanthera Philoxeroides. Environ. Exp. Bot. 2021, 189, 104532. [Google Scholar] [CrossRef]
- Liu, Y.; Xie, A. Enrichment features of Trifolium pratense L. under cadmium stress. J. Henan Agric. Sci. 2011, 40, 82–84. [Google Scholar]
- Xu, L.; Zhang, Z.; Zhang, P.; Wang, Y.; Tan, G. Study on tolerance of Altemanthera philoxeroides to heavy metals. J. Anhui Agric. Sci. 2010, 38, 6831–6832. [Google Scholar]
- Zheng, S.; Tang, M.; Zou, J.; Mu, C. Summary of research on shrub biomass in China. J. Chengdu Univ. (Nat. Sci. Ed.) 2007, 26, 189–192. [Google Scholar]
- Xiao, Y.; Tao, Y.; Zhang, Y. Biomass allocation and leaf stoichiometric characteristics in four desert herbaceous plants during different growth periods in the gurbantünggüt desert, China. Chin. J. Plant Ecol. 2014, 38, 929–940. [Google Scholar]
- Li, B.; Xu, B.; Chen, J. Perspectives on general trends of plant invasions with special reference to alien weed flora of Shanghai. Biodivers. Sci. 2001, 9, 446–457. [Google Scholar]
- Zhang, S.; Gong, L.; Ge, Y.; Hong, Z.; Jiang, H.; Liu, J.; Tao, Y. Biomass allocation and allometric relationships of the invasive plant species Plantago virginica grown at different densities. Pratacultural Sci. 2021, 38, 1938–1949. [Google Scholar]
- Emamverdian, A.; Ding, Y.; Mokhberdoran, F.; Xie, Y. Heavy metal stress and some mechanisms of plant defense response. Sci. World J. 2015, 2015, 756120. [Google Scholar] [CrossRef]
- Audet, P.; Charest, C. Allocation plasticity and plant–metal partitioning: Meta-analytical perspectives in phytoremediation. Environ. Pollut. 2008, 156, 290–296. [Google Scholar] [CrossRef]
- Broadbent, A.; Stevens, C.J.; Peltzer, D.A.; Ostle, N.J.; Orwin, K.H. Belowground competition drives invasive plant impact on native species regardless of nitrogen availability. Oecologia 2018, 186, 577–587. [Google Scholar] [CrossRef]
- Fan, G.; Zhang, J.; Huang, Y.; Shen, X.; Yu, P.; Zhao, X. Influence of population density on morphological traits and allometric growth of Corispermum Macrocarpum. Acta Ecol. Sin. 2018, 38, 3931–3942. [Google Scholar]
- Akram, M.A.; Zhang, Y.; Wang, X.; Shrestha, N.; Malik, K.; Khan, I.; Ma, W.; Sun, Y.; Li, F.; Ran, J.; et al. Phylogenetic independence in the variations in leaf functional traits among different plant life forms in an arid environment. J. Plant Physiol. 2022, 272, 153671. [Google Scholar] [CrossRef]
- Zhang, M. Study on ecological effects of two amaranth invasive plants on the functional traits of native plants. Nankai University: Tianjin, China, 2020; 54p. [Google Scholar]
- Ruprecht, E.; Fenesi, A.; Nijs, I. Are plasticity in functional traits and constancy in performance traits linked with invasiveness? An experimental test comparing invasive and naturalized plant species. Biol. Invasions 2014, 16, 1359–1372. [Google Scholar] [CrossRef]
- Li, G.; Zhao, P.; Zhao, C.; Zhang, H.; Zang, L. Specific activities of antioxidases and malondialdehyde contents of Valeriana jatamansi jones leaves under shading and open field cultivation. Chin. Agric. Sci. Bull. 2021, 37, 111–116. [Google Scholar]
- Li, Z.; Li, J.; Liu, D.; Cong, R. Effects of mixed saline-alkali stress on the physiological indexes of willow seedlings. J. Northeast For. Univ. 2021, 49, 1–4. [Google Scholar]
- Liu, D.; Liu, Y.; Yu, L.; Geng, G.; Wang, Y. Effects of manganese on the morphological, physiological and biochemical indexes of sugar beet seedlings. J. Eng. Heilongjiang Univ. 2021, 12, 90–96. [Google Scholar]
- Sun, Y.; Yang, M.; Wen, X.; Feng, Y.; Ma, Q.; Li, Z. Effect of heavy metal pollution on physiological-biochemical indexes and safety quality of grapes. Sino-Overseas Grapevine Wine 2021, 1, 50–55. [Google Scholar]
- An, H.; Shangguan, Z. Effects of density on biomass and allometric pattern of Robinia pseudoacacia seeding. Sci. Silvae Sin. 2008, 44, 151–155. [Google Scholar]
- Chen, J.; Zhao, Q.; Wang, J.; Ma, J.; Feng, X.; Ma, L. A study of density effects on the biomass and anisotropic growth patterns of Catalpa seedlings. Pract. For. Technol. 2012, 5, 9–12. [Google Scholar]




| Variables | Cadmium Concentration | Planting Density | Interaction | |||
|---|---|---|---|---|---|---|
| F | P | F | P | F | P | |
| A. philoxeroides in mixed culture | ||||||
| Total biomass | 30.123 | <0.001 | 0.042 | 0.840 | 14.702 | <0.001 |
| SMR | 10.734 | <0.001 | 0.482 | 0.494 | 0.301 | 0.743 |
| RMR | 8.564 | 0.002 | 0.517 | 0.479 | 0.173 | 0.842 |
| LMR | 27.967 | <0.001 | 0.080 | 0.780 | 2.414 | 0.111 |
| R/S | 7.501 | 0.003 | 1.255 | 0.274 | 0.388 | 0.683 |
| Chlorophyll content | 32.391 | <0.001 | 192.178 | <0.001 | 338.890 | <0.001 |
| SLA | 7.501 | 0.003 | 1.255 | 0.274 | 0.388 | 0.683 |
| Total leaf area | 1.849 | 0.179 | 14.334 | 0.001 | 6.782 | 0.005 |
| Number of leaves | 204.118 | <0.001 | 989.807 | <0.001 | 253.300 | <0.001 |
| T. regens in mixed culture | ||||||
| Total biomass | 1.506 | 0.242 | 0.055 | 0.817 | 4.508 | 0.022 |
| SMR | 0.769 | 0.475 | 1.133 | 0.298 | 1.009 | 0.379 |
| RMR | 1.803 | 0.186 | 1.326 | 0.261 | 4.303 | 0.025 |
| LMR | 1.023 | 0.375 | 0.661 | 0.808 | 1.699 | 0.204 |
| R/S | 2.224 | 0.130 | 0.155 | 0.697 | 4.525 | 0.022 |
| Chlorophyll content | 7.219 | 0.004 | 0.008 | 0.929 | 20.774 | <0.001 |
| SLA | 2.224 | 0.130 | 0.155 | 0.697 | 4.525 | 0.022 |
| Total leaf area | 453.896 | <0.001 | 6.791 | 0.015 | 1148.826 | <0.001 |
| Number of leaves | 86.771 | <0.001 | 43.102 | <0.001 | 7.980 | 0.002 |
| A. philoxeroides in monoculture | ||||||
| Total biomass | 51.019 | <0.001 | 39.612 | <0.001 | 15.517 | <0.001 |
| SMR | 27.296 | <0.001 | 4.166 | 0.024 | 1.928 | 0.127 |
| RMR | 26.027 | <0.001 | 6.583 | 0.004 | 1.748 | 0.161 |
| LMR | 18.900 | <0.001 | 16.409 | <0.001 | 3.908 | 0.01 |
| R/S | 17.800 | <0.001 | 4.478 | 0.018 | 2.108 | 0.100 |
| Chlorophyll content | 11.951 | <0.001 | 15.468 | <0.001 | 34.875 | <0.001 |
| SLA | 21.138 | <0.001 | 10.731 | <0.001 | 13.753 | <0.001 |
| Total leaf area | 7.295 | 0.002 | 4476.921 | <0.001 | 37.028 | <0.001 |
| Number of leaves | 13.587 | <0.001 | 5.304 | 0.030 | 55.681 | <0.001 |
| Variables | Cadmium Concentration | Planting Density | Interaction | |||
|---|---|---|---|---|---|---|
| F | P | F | P | F | P | |
| A. philoxeroides in mixed culture | ||||||
| H2O2 content | 2293.342 | <0.001 | 60.202 | <0.001 | 35.337 | <0.001 |
| MAD content | 147.702 | <0.001 | 27.136 | <0.001 | 28.955 | <0.001 |
| SOD activity | 35.528 | <0.001 | 18.818 | <0.001 | 106.077 | <0.001 |
| CAT activity | 255.588 | <0.001 | 18.811 | <0.001 | 0.520 | 0.601 |
| POD activity | 121.129 | <0.001 | 106.096 | <0.001 | 24.361 | <0.001 |
| T. regens in mixed culture | ||||||
| H2O2 content | 41.094 | <0.001 | 0.241 | 0.628 | 1.524 | 0.238 |
| MAD content | 50.144 | <0.001 | 0.013 | 0.909 | 15.849 | <0.001 |
| SOD activity | 3.276 | 0.055 | 0.117 | 0.736 | 0.327 | 0.724 |
| CAT activity | 370.694 | <0.001 | 4.100 | 0.054 | 0.405 | 0.672 |
| POD activity | 34.128 | <0.001 | 5.879 | 0.023 | 19.753 | <0.001 |
| A. philoxeroides in monoculture | ||||||
| H2O2 content | 220.223 | <0.001 | 4.551 | 0.017 | 3.220 | 0.023 |
| MAD content | 1257.838 | <0.001 | 2.494 | 0.097 | 32.358 | <0.001 |
| SOD activity | 37.376 | <0.001 | 21.781 | <0.001 | 15.891 | <0.001 |
| CAT activity | 737.560 | <0.001 | 16.871 | <0.001 | 21.122 | <0.001 |
| POD activity | 445.598 | <0.001 | 14.189 | <0.001 | 90.811 | <0.001 |
Publisher’s Note: MDPI stays neutral with regard to jurisdictional claims in published maps and institutional affiliations. |
© 2022 by the authors. Licensee MDPI, Basel, Switzerland. This article is an open access article distributed under the terms and conditions of the Creative Commons Attribution (CC BY) license (https://creativecommons.org/licenses/by/4.0/).
Share and Cite
Cui, Y.; Zhang, Q.; Tang, T.; Deng, X.; Zhang, L.; Liu, P.; He, C.; Zhang, Y. Intra- and Interspecific Competition Altered the Competitive Strategies of Alternanthera philoxeroides and Trifolium regens under Cadmium Contamination. Forests 2022, 13, 2105. https://doi.org/10.3390/f13122105
Cui Y, Zhang Q, Tang T, Deng X, Zhang L, Liu P, He C, Zhang Y. Intra- and Interspecific Competition Altered the Competitive Strategies of Alternanthera philoxeroides and Trifolium regens under Cadmium Contamination. Forests. 2022; 13(12):2105. https://doi.org/10.3390/f13122105
Chicago/Turabian StyleCui, Yuanyuan, Qiaoying Zhang, Tianwen Tang, Xinxin Deng, Lin Zhang, Peng Liu, Chang He, and Yunchun Zhang. 2022. "Intra- and Interspecific Competition Altered the Competitive Strategies of Alternanthera philoxeroides and Trifolium regens under Cadmium Contamination" Forests 13, no. 12: 2105. https://doi.org/10.3390/f13122105
APA StyleCui, Y., Zhang, Q., Tang, T., Deng, X., Zhang, L., Liu, P., He, C., & Zhang, Y. (2022). Intra- and Interspecific Competition Altered the Competitive Strategies of Alternanthera philoxeroides and Trifolium regens under Cadmium Contamination. Forests, 13(12), 2105. https://doi.org/10.3390/f13122105

