Next Article in Journal
Tree Information Modeling: A Data Exchange Platform for Tree Design and Management
Next Article in Special Issue
The Economic Value of Fuel Treatments: A Review of the Recent Literature for Fuel Treatment Planning
Previous Article in Journal
Disturbance Severity and Human–Nature Relationships: A New Approach to Analyze People’s Well-Being along a Bark Beetle Infestation Gradient
Previous Article in Special Issue
Prediction of Wildfire Fuel Load for Pinus densiflora Stands in South Korea Based on the Forest-Growth Model
 
 
Font Type:
Arial Georgia Verdana
Font Size:
Aa Aa Aa
Line Spacing:
Column Width:
Background:
Article

Fire Severity in Reburns Depends on Vegetation Type in Arizona and New Mexico, U.S.A.

1
Department of Wildland Resources and the Ecology Center, Utah State University, Logan, UT 84322, USA
2
Jenness Enterprises, Flagstaff, AZ 86004, USA
3
School of Forestry, Northern Arizona University, Flagstaff, AZ 86011, USA
*
Author to whom correspondence should be addressed.
Forests 2022, 13(11), 1957; https://doi.org/10.3390/f13111957
Submission received: 30 August 2022 / Revised: 15 November 2022 / Accepted: 16 November 2022 / Published: 19 November 2022

Abstract

After more than a century of low fire activity in the western United States, wildfires are now becoming more common. Reburns, which are areas burned in two or more fires, are also increasing. How fires interact over time is of interest ecologically as well as for management. Wildfires may act as fuel treatments, reducing subsequent fire severity, or they may increase subsequent fire severity by leaving high fuel loads behind. Our goal was to assess whether previous wildfire severity influenced subsequent fire severity across vegetation types and over time in the Southwest U.S. using remotely sensed fire severity data in 2275 fires that burned between 1984 and 2019. Points that reburned tended to be those that burned with lower severity initially. Shrublands burned predominantly at moderate to high severity in initial fires and in reburns. Pinyon-juniper-oak systems burned with mixed severity, and fire severity was consistent from fire to fire. In ponderosa pine and aspen-mixed conifer, fire severity tended to decrease with each fire. Initial and subsequent fire severity was lower in points that reburned after a short interval. These remotely sensed observations of reburn severity need verification through field work to understand specific effects caused by reburns in different ecosystems. However, in ponderosa pine and aspen-mixed conifer forests, it may be beneficial to consider wildfires as fuel treatments and work to maintain the fuel reduction effects they have on forested ecosystems.

1. Introduction

The area recently burned by wildfire in western North America is increasing [1,2], after more than a century of low fire activity [3]. While the return of fire as a natural process has had beneficial effects in some cases [4], in other areas wildfires have recently burned with uncharacteristic severity [5], which can result in negative impacts on ecosystem components such as native vegetation, watershed health, and fuel loads [6,7,8]. With more fire activity, repeat fires or “reburns” are becoming more common, where two or more fires burn over the landscape in short succession [9]. Individual fires influence subsequent fires through the fuels that are left or that develop on a site, including vegetation structure and composition, and the amount and arrangement of dead woody fuels. The severity of each fire sets the stage for the behavior and effects of subsequent fires as well as for vegetation succession and long-term landscape patterns [10,11], and understanding wildfire effects on subsequent fire severity has been identified as a research priority [12].
Wildfires have multiple effects on fuels: reducing fuels through consumption and killing vegetation, increasing fuels through tree mortality, and changing fuel type, for example by converting forests to grasslands or shrublands [13,14,15]. These changes can result in less severe subsequent fire severity by removing fuel available to burn. On the other hand, previous wildfires can intensify fire behavior and severity. For example, where invasive grasses are promoted by the first fire, subsequent wildfires may have a higher rate of spread [16].
Vegetation type would be expected to play a major role in how fires interact over time [10]. Many dry forests, such as ponderosa pine-dominated forests in the U.S. Southwest, historically experienced frequent fire across much of their range, and reburned as frequently as <5 years on average [3]. These fires had generally low-severity effects and the frequent fires kept ladder fuels and surface fuel loads low [17]. Low-severity reburns of low-severity fires have been documented in recent years [10], and tend to have negligible impacts on tree density, forest structure, and hazardous fuels [18]. However, in many dry forests the absence of fire during the twentieth century led to increased tree density and dead fuels and an increased potential for high-severity crown fire [19]. Higher severity in an initial fire has been found in some cases to be correlated with higher severity in subsequent fires [10,20,21]. Coppoletta et al. (2016) [22] linked this phenomenon to increased shrubs and snags in high-severity burned areas, which provide fuel for subsequent higher-severity fires.
Other vegetation types, such as mixed-conifer forests of the U.S. Southwest, experienced mixed-severity or predominantly high-severity fire historically, where intervals were longer between fires, high-severity patches were larger, and fires burned mostly in extreme drought years [23]. Repeated high-severity fires in these forest types can leave forested areas in a “state of prolonged arrested succession” [24], meaning that early seral vegetation, including resprouting species, is favored by the rapid return of high-severity fire. Alternatively, repeated short-interval high-severity fires can result in a loss of resiliency even in resprouting species [25], which could favor a conversion from forest to a non-forested state. While vegetation type is an important factor in fire interactions over time, there are also temporal considerations to fire severity interactions. For example, subsequent fires were unlikely to reburn an area within nine years of a previous fire in the Yosemite ecosystem [26], and burn severity was reduced in areas that had burned up to 22 years previously in a study by Parks et al. (2014) [21].
Several previous assessments of fire severity in reburns have focused on instructive case studies, especially in areas such as national parks or wilderness areas where management policies favored substantial fire use (e.g., [26,27], however, see [9] and [28]). Few studies have focused on reburns across multiple vegetation types and across large regions. Our approach was to analyze data from thousands of fires, and our goal was to assess whether previous fire influenced subsequent fire severity across vegetation classes in the southwestern USA. Specifically, our questions were: (1) does previous fire severity impact subsequent fire severity? (2) How does vegetation type influence reburn severity? (3) How does time between fires influence reburn severity? We expected to find that fire severity does influence subsequent fire severity, that patterns (positive and negative associations between fire severity in sequential events) would vary by vegetation type, and that fire influence on subsequent fire severity would wane over time.

2. Materials and Methods

2.1. Study Area

Our study area included the states of Arizona and New Mexico in the U.S. Southwest (Figure 1). This region ranges from approximately 20 to 4010 m in elevation, and vegetation ranges from desert at low elevations to spruce-fir forests and even tundra at the highest elevations. Other common vegetation types across the elevation gradient include grasslands, pinyon and juniper woodlands, ponderosa pine forests, and aspen-mixed conifer forests [29]. Annual precipitation ranges from 10 cm to 100 cm while mean annual temperature ranges from ~5 to 25 °C depending on elevation and location within the region [30].

2.2. Datasets and Data Extraction

From the Monitoring Trends in Burn Severity (MTBS) Interactive Viewer (https://www.mtbs.gov/viewer/index.html) we selected all fires in Arizona and New Mexico that burned between 1984 and 2019 (accessed on 9 October 2021, Figure 1). MTBS data are available nation-wide, have high spatial resolution (30 m), and are available for fires from 1984 onward [31]. Using ArcMap, we sampled fire severity by placing random points throughout the fires, separated by ≥200 m. We chose to sample with points rather than analyze all pixels within fires in order to avoid issues of spatial autocorrelation. Harris and Taylor (2017) [32] determined in a sensitivity test of spacing between points that there was little difference between results when samples were placed from 200 m to 800 m apart; we chose 200 m spacing because it allowed us to place more points. No additional stratification was employed; samples fell into vegetation types and other biophysical settings at a rate proportional to their existence across the landscape. In R, using the raster package [33,34] we extracted relative differenced Normalized Burn Ratio (RdNBR) values for each fire that had burned at each point. RdNBR is a measure of fire severity calculated from pre- and post-fire satellite imagery, relativized by pre-fire conditions [35]. It is a metric of change due to fire, and was designed to reduce bias due to variation in pre-fire vegetation type and density. The MTBS program relies mainly on Landsat images to calculate RdNBR and other metrics of fire severity primarily because images are consistently available starting in 1984, although Sentinel-2 imagery has been used when needed starting in 2018 [36]. We extracted continuous values of RdNBR and used those for some analyses. For other analyses we binned the RdNBR into categories based on a regression between Composite Burn Index (CBI; [37]) plots and RdNBR values in the Southwest: unburned (0 to 70), low severity (71 to 288), moderate severity (289 to 687), and high severity (≥688). CBI are field-based plots ideal for creating thresholds of low, moderate, and high-severity fire for satellite-derived burn severity values. With the extracted data, we created a table that included, for each point, the number of fires the point fell into and the year and the RdNBR value of each fire (first, second, etc.). For each point that burned ≥ 2 times, we calculated the difference between the RdNBR values of each fire and the time elapsed between fires.
We also extracted values at each point from LANDFIRE datasets [38,39], including elevation, aspect, slope, and biophysical setting (www.landfire.gov, accessed on 11 April 2019). LANDFIRE is a source of geospatial data and vegetation, fuel, and fire regime data in the United States. We chose biophysical setting because it is a characterization of potential vegetation that includes disturbance, rather than environmental site potential which provides potential vegetation that would establish in late succession in the absence of disturbance. We grouped biophysical setting values into four vegetation types: shrubland, pinyon-juniper-oak, ponderosa pine, and aspen-mixed conifer. We discarded points that fell into other broad classes (e.g., riparian, grasslands).

2.3. Data Analysis

We created plots showing density curves of first-fire burn severity for points that burned 1, 2, 3, and 4 or more times, by vegetation type. We also created flow diagrams using the networkD3 package [40] to visualize the burn severity in reburns in different vegetation types. We used a Kruskal–Wallis test to determine whether fire severity was significantly different in first fires vs. second, third, or fourth (+) fires, and followed that with a post hoc Dunn test using the fsa package [41] to test for differences between pairs, using a Bonferroni correction. Within vegetation classes, we used Mann–Whitney U tests to test whether first-fire RdNBR was significantly greater in points that never reburned compared to points that eventually burned 2, 3, or 4+ times. We tested for trends in time series of prior RdNBR, subsequent RdNBR, and difference in RdNBR using a Sieve-bootstrap Student’s t-test for a linear trend using the R package funtimes [42].

3. Results

There were 2275 fires available to use in our analysis, covering a footprint of about 4.65 million hectares. Approximately 800,000 of those hectares burned two or more times. After creating a random points layer throughout the fire footprints and discarding points that were not located in vegetation types of interest, we had a sample size of 194,270 points to use for defining fire severity and landscape characteristics. A total of 63,016 (32%) burned two or more times across the four vegetation classes (shrubland, pinyon-juniper-oak, ponderosa pine, and aspen-mixed conifer). The proportion of points that reburned across different vegetation classes was fairly consistent, with 30% of points reburned in shrublands, 31% in pinyon-juniper-oak ecosystems, 36% in ponderosa pine-dominated areas, and 32% in aspen-mixed conifer.
We found that across all vegetation types and all points there was a significant decrease in RdNBR values by the number of times burned (i.e., first fire, second fire, third fire, fourth or more fire, Figure 2; Kruskal–Wallis p < 0.001, adjusted Dunn p < 0.001 for all pairs). However, the averages mask an important point: the subset of points that had reburned had lower first-fire severity than all points on average (Figure 3). In pinyon-juniper-oak forests, ponderosa pine-dominated forests, and aspen-mixed conifer forests, points that eventually reburned had significantly lower first-fire RdNBR than points that never reburned (Figure 3). The exception was shrubland, where points that eventually burned four or more times had significantly higher first-fire RdNBR than points that only burned once (p < 0.001).
Categorical burn severity was highest in shrublands, where moderate and high-severity fire dominated, even in reburns (Figure 4). In pinyon-juniper-oak forests, severity was evenly distributed between all four categorical burn severities (unburned, low, moderate, high). For both of these vegetation types, points were most likely to fall into the same severity class they had in the previous fire (e.g., high to high). Ponderosa pine forests had the lowest fire severity values, and the proportion of points burned at high severity and moderate severity decreased significantly with more fires. Aspen-mixed conifer points also had the same pattern of decreasing burn severity with increasing times burned, but the proportion of points that burned at moderate or high severity started out higher than in ponderosa pine forests.
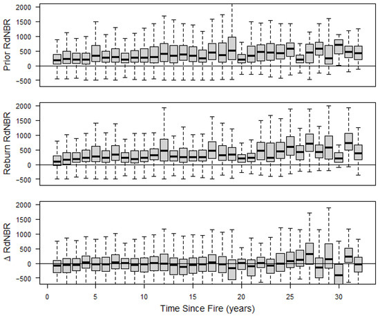
First-fire severity of points that reburned quickly was lower than those points that reburned after a longer time interval (Figure 5 top panel, Sieve-bootstrap Student’s t-test for a linear trend p = 0.001). Fire severity of the reburns also tended to increase with time since fire (Figure 5, middle panel, p < 0.001). The change in severity from one fire to the next did not vary by time since fire (Figure 5, bottom panel, p = 0.26).

4. Discussion

Our goal was to assess whether previous fire influenced subsequent fire severity in the Southwest, by vegetation type and over time between fires. Previous studies have found that high-severity burned areas tend to burn at high severity in subsequent fires (positive relationships, e.g., [28,43]), while others have found that high first-fire severity dampens subsequent fire severity (negative relationship, e.g., [44]). We found that average severity was lower in reburns, but the points that reburned tended to have lower severity to start with. These results are consistent with the general concept of fire regimes varying in a continuum across vegetation classes, with infrequent, higher-severity fires in some ecosystems and frequent, lower-severity fires at the other end of the fire regime spectrum. Although fire regimes are drastically altered from historical patterns, and the Southwest (and much of the West) is in a fire deficit compared to historical fire levels [45], we can still see distinct differences in severity in initial fires and reburns among vegetation types. In particular, there was a positive relationship between reburn severity values in shrublands and pinyon-juniper-oak ecosystems, with high-severity burned areas tending to burn at high severity again in a subsequent fire, and a negative relationship in burn severity values in ponderosa pine and aspen-mixed conifer dominated forested ecosystems, where fire severity in reburned areas tended to be lower.
Shrublands were more likely than other vegetation types to burn at moderate to high severity no matter how many times they burned, and points in shrublands that burned at high severity initially were more likely to burn at high or moderate severity in subsequent fires. These findings suggest that fire does not serve as a moderating influence on subsequent fires in shrublands. This is consistent with other studies where high shrub cover has been found to result in high reburn severity (e.g., [22]). This is possibly due to the presence in many shrublands of species that are able to resprout after fire [46]. Resprouting has been linked to high severity reburns in non-shrub vegetation as well; for example, eucalyptus forests were more likely to burn at high severity after previous high-severity fire due to epicormic sprouting from the tree stems [47].
Severity values at points in pinyon-juniper-oak ecosystems were fairly evenly spread between severity classes, with first-fire severity lower in points that later reburned. In these ecosystems, points were most likely to burn at the same severity, no matter the severity class of the first fire. This fidelity of a point to a particular burn severity has been referred to as self-reinforcing fire severity [32]. In several previous studies, first-fire severity has been shown to be positively correlated with reburn severity [22,48,49]. This has been attributed to high snag basal area and shrub cover in places that initially burned at high-severity, which leads to high-severity effects in a subsequent fire [22]. These results suggest that this vegetation type may contain multiple fire regimes, with some areas likely to burn at low severity multiple times and other areas likely to burn at high severity regardless of previous fire. This is supported by [50], who argued that there are three distinct pinyon-juniper ecosystems, each with their own characteristic historical fire regimes: persistent woodlands, with infrequent historical fires, pinyon-juniper savannas, where frequent low-severity fires burned historically, and wooded shrublands, with infrequent high-severity fires.
Average fire severity in ponderosa pine-dominated forest was lowest of all the vegetation classes, with most points within fire perimeters classified as unburned or low-severity. In contrast to other vegetation types, points in every severity class in the first fire were more likely to burn at lower severity in subsequent fires. There was very little high-severity fire in points that burned three or more times. Another notable finding was that very few points that burned at high severity were reburned in this vegetation type. This may indicate conversion in high-severity burned areas from ponderosa pine forests to a persistent low-fuel state such as a grassland with sparse herbaceous cover (e.g., [15]). Ponderosa pine is a classic example of a species that historically supported frequent low-severity surface fire, and efforts have been made in recent years to restore frequent fire to ponderosa pine ecosystems in the Southwest [51,52]. We did not differentiate between prescribed fire and wildfire in our analysis, but the vast majority of acreage burned is in wildfire, and it seems clear from our results that fire of any severity is likely to lead to lower severity fire if the area does reburn. There may be exceptions, however; for example, first-entry fires can have little effect on forest structure if they burn at very low severity [4], which presumably would result in little influence on the severity of subsequent wildfires.
Aspen-mixed conifer forests were similar to ponderosa pine-dominated forests, in that fire of any severity was likely to lead to reduced fire severity in reburns. However, the proportion of points that burned at moderate to high severity was higher in this forest type than in ponderosa pine-dominated forests. The implications of these results for higher-elevation forests in the Southwest suggest that most fires, regardless of initial severity, are likely to result in lower severity of subsequent fires. This may or may not be desirable, since high-severity fires have historically played a role in these forests, and can be a valuable catalyst for aspen regeneration. We grouped dry mixed conifer and wet mixed conifer forest types into this broad category, so conclusions may be more nuanced if subcategories of mixed conifer forest were examined separately.
When examining time since a fire, we found that initial and reburn fire severity was lower for points that burned in quick succession, but the difference between previous and subsequent fire severity did not vary by time since fire. This may be because the types of ecosystems that burned at high frequency also tended to burn at low severity. While Grabinski et al. (2017) [48] found that fire severity in reburns was higher, particularly in areas with shorter intervals between fires, many other studies have found that shorter periods between fires were more likely to lead to lower severity in reburns [49].
A limitation of this study is that remote sensing may not be the best tool to understand fire severity in reburns. RdNBR is calculated from satellite images as a measure of ecological change due to fire. Although it represents a fairly accurate picture of change after initial fire in multiple vegetation types [35], to our knowledge it has not been robustly tested in reburns across regions, vegetation types, and severity classes. For example, high mortality of regenerating tree seedlings could occur in a reburn that appears to have low severity in satellite images. On the other hand, a high-severity reburn as measured from satellite imagery could result in little ecological change in places with resprouting shrubs, for example. Despite these reasons to use caution in interpreting our results, it is interesting that we saw clear differences in reburn severity among ecosystems, suggesting that there are ecologically meaningful differences in remotely sensed reburn patterns among vegetation types. It would be valuable for future work to verify our findings through field measurements of reburn severity across vegetation types.
Our research on reburn severity has implications for regeneration and long-term successional pathways of shrublands and forests [53]. Multiple low- to moderate-severity fires can be associated with dense, clumpy regeneration [54], where seed sources are available and fires create patches of mineral soil suitable for germination [55]. On the other hand, high reburn severity, especially in large patches, can result in low regeneration which may lead to nonexistent or low tree cover for generations [56]. Type conversions, or ecosystem reorganization [57], may be undesired by forest managers for many reasons including the possibility that fine flashy fuels may increase. This may occur if, for example, grasslands replace forests. More than a century of fire exclusion in the Southwest has increased high severity fire risk in ecosystems that historically experienced frequent low-severity fire [58], and in fact area burned at high severity has been increasing in all forest and woodland classes in the Southwest [5]. While not the only important disturbance in western forested landscapes [59], the recent increase in large fires, driven partly by increasing temperature as well as rising vapor pressure deficit [60], has resulted in property loss [61], catastrophic post-fire erosion, and loss of forest resilience [62]. In response, increasing resources are being invested in treatments such as prescribed fire and mechanical thinning aimed at reducing high severity fire risk.
Like prescribed fire and mechanical thinning, wildfires also modify fuels, tree densities, stand structure and thus future fire behavior and severity [63] but have not traditionally been regarded as potentially beneficial in terms of fuel reduction and decreased risk of subsequent high-severity fire. Therefore, our research also has implications for management. We showed that reburn fires in the Southwest, particularly in ponderosa pine and aspen mixed conifer forests, tend to burn at lower severity, presumably due to fuel reduction from the first fire. Projections of a warmer and drier future climate [64] will likely continue to drive current trends of increasingly large wildfires, and may result in greater pressure to implement effective fuel treatments and include wildfire in fuel treatment calculations and resulting management decisions [65].

5. Conclusions

We found that in the U.S. Southwest, mean fire severity decreased with the number of reburns, but this is partially because in most vegetation types, points that later reburned tended to burn at lower severity in the initial fire. We found that patterns of reburn severity varied by vegetation type, with ponderosa pine-dominated and aspen mixed conifer ecosystems experiencing lower fire severity in reburns and shrublands and pinyon-juniper-oak ecosystems more likely to burn at the same severity in subsequent fires. Fire severity was lower with a shorter interval between fires. It would be beneficial to rigorously test the accuracy of burn severity metrics in reburns, as well as the ecological significance of reburn severity, but the differences in reburn severity patterns we found between vegetation classes in the Southwest U.S. suggest that interesting fire regime differences can be discerned using remotely sensed data. Our results have implications for land and fire management; fire effects on subsequent fire severity depend heavily on vegetation type.

Author Contributions

Conceptualization, L.L.Y.; Formal analysis, L.L.Y.; Funding acquisition, L.L.Y., P.Z.F. and A.E.T.; Methodology, L.L.Y. and J.J.; Writing—original draft, L.L.Y.; Writing—review and editing, L.L.Y., J.J., P.Z.F. and A.E.T. All authors have read and agreed to the published version of the manuscript.

Funding

This work was supported by the Joint Fire Science Program [grant number 14-1-02-21].

Data Availability Statement

Data are publicly available at mtbs.gov and landfire.gov.

Conflicts of Interest

The authors declare no conflict of interest.

References

  1. Holden, Z.A.; Swanson, A.; Luce, C.H.; Jolly, W.M.; Maneta, M.; Oyler, J.W.; Warren, D.A.; Parsons, R.; Affleck, D. Decreasing Fire Season Precipitation Increased Recent Western US Forest Wildfire Activity. Proc. Natl. Acad. Sci. USA 2018, 115, E8349–E8357. [Google Scholar] [CrossRef] [PubMed]
  2. Iglesias, V.; Balch, J.K.; Travis, W.R. U.S. Fires Became Larger, More Frequent, and More Widespread in the 2000s. Sci. Adv. 2022, 8, eabc0020. [Google Scholar] [CrossRef] [PubMed]
  3. Swetnam, T.W.; Baisan, C.H. Historical Fire Regime Patterns in the Southwestern United States Since AD 1700. In Fire Effects in Southwestern Forests: The Second La Mesa Fire Symposium; Allen, C.D., Ed.; General Technical Report RM-286; USDA Forest Service: Los Alamos, NM, USA; Fort Collins, CO, USA, 1996; pp. 11–32. [Google Scholar]
  4. Huffman, D.W.; Sánchez Meador, A.J.; Stoddard, M.T.; Crouse, J.E.; Roccaforte, J.P. Efficacy of Resource Objective Wildfires for Restoration of Ponderosa Pine (Pinus Ponderosa) Forests in Northern Arizona. For. Ecol. Manag. 2017, 389, 395–403. [Google Scholar] [CrossRef]
  5. Singleton, M.P.; Thode, A.E.; Sánchez Meador, A.J.; Iniguez, J.M. Increasing Trends in High-Severity Fire in the Southwestern USA from 1984 to 2015. For. Ecol. Manag. 2019, 433, 709–719. [Google Scholar] [CrossRef]
  6. Haffey, C.; Sisk, T.D.; Allen, C.D.; Thode, A.E.; Margolis, E.Q. Limits to Ponderosa Pine Regeneration Following Large High-Severity Forest Fires in the United States Southwest. Fire Ecol. 2018, 14, 143–163. [Google Scholar] [CrossRef]
  7. Neary, D.G.; Gottfried, G.J.; DeBano, L.F.; Tecle, A. Impacts of Fire on Watershed Resources. J. Ariz. Nev. Acad. Sci. 2003, 35, 23–41. [Google Scholar]
  8. Lydersen, J.M.; Collins, B.M.; Coppoletta, M.; Jaffe, M.R.; Northrop, H.; Stephens, S.L. Fuel Dynamics and Reburn Severity Following High-Severity Fire in a Sierra Nevada, USA, Mixed-Conifer Forest. Fire Ecol. 2019, 15, 43. [Google Scholar] [CrossRef]
  9. Buma, B.; Weiss, S.; Hayes, K.; Lucash, M. Wildland Fire Reburning Trends across the US West Suggest Only Short-Term Negative Feedback and Differing Climatic Effects. Environ. Res. Lett. 2020, 15, 034026. [Google Scholar] [CrossRef]
  10. Holden, Z.A.; Morgan, P.; Hudak, A.T. Burn Severity of Areas Reburned by Wildfires in the Gila National Forest, New Mexico, USA. Fire Ecol. 2010, 6, 77–85. [Google Scholar] [CrossRef]
  11. Coop, J.D.; Parks, S.A.; McClernan, S.R.; Holsinger, L.M. Influences of Prior Wildfires on Vegetation Response to Subsequent Fire in a Reburned Southwestern Landscape. Ecol. Appl. 2016, 26, 346–354. [Google Scholar] [CrossRef]
  12. Prichard, S.J.; Stevens-Rumann, C.S.; Hessburg, P.F. Tamm Review: Shifting Global Fire Regimes: Lessons from Reburns and Research Needs. For. Ecol. Manag. 2017, 396, 217–233. [Google Scholar] [CrossRef]
  13. Fulé, P.Z.; Cocke, A.E.; Heinlein, T.A.; Covington, W.W. Effects of an Intense Prescribed Forest Fire: Is It Ecological Restoration?-Fulé-2004-Restoration Ecology-Wiley Online Library. Restor. Ecol. 2004, 12, 220–230. [Google Scholar]
  14. Passovoy, M.D.; Fulé, P.Z. Snag and Woody Debris Dynamics Following Severe Wildfires in Northern Arizona Ponderosa Pine Forests. For. Ecol. Manag. 2006, 223, 237–246. [Google Scholar] [CrossRef]
  15. Savage, M.; Mast, J.N. How Resilient Are Southwestern Ponderosa Pine Forests after Crown Fires? Can. J. For. Res. 2005, 35, 967–977. [Google Scholar] [CrossRef]
  16. Keeley, J.E.; McGinnis, T.W. Impact of Prescribed Fire and Other Factors on Cheatgrass Persistence in a Sierra Nevada Ponderosa Pine Forest*. Int. J. Wildland Fire 2007, 16, 96–106. [Google Scholar] [CrossRef]
  17. Moore, M.M.; Wallace Covington, W.; Fulé, P.Z. Reference Conditions and Ecological Restoration: A Southwestern Ponderosa Pine Perspective. Ecol. Appl. 1999, 9, 1266–1277. [Google Scholar] [CrossRef]
  18. Huffman, D.W.; Crouse, J.E.; Sánchez Meador, A.J.; Springer, J.D.; Stoddard, M.T. Restoration Benefits of Re-Entry with Resource Objective Wildfire on a Ponderosa Pine Landscape in Northern Arizona, USA. For. Ecol. Manag. 2018, 408, 16–24. [Google Scholar] [CrossRef]
  19. Fulé, P.Z.; Covington, W.W.; Moore, M.M. Determining Reference Conditions for Ecosystem Management of Southwestern Ponderosa Pine Forests. Ecol. Appl. 1997, 7, 895–908. [Google Scholar] [CrossRef]
  20. van Wagtendonk, J.W.; van Wagtendonk, K.A.; Thode, A.E. Factors Associated with the Severity of Intersecting Fires in Yosemite National Park, California, USA. Fire Ecol. 2012, 8, 11–31. [Google Scholar] [CrossRef]
  21. Parks, S.A.; Miller, C.; Nelson, C.R.; Holden, Z.A. Previous Fires Moderate Burn Severity of Subsequent Wildland Fires in Two Large Western US Wilderness Areas. Ecosystems 2014, 17, 29–42. [Google Scholar] [CrossRef]
  22. Coppoletta, M.; Merriam, K.E.; Collins, B.M. Post-fire Vegetation and Fuel Development Influences Fire Severity Patterns in Reburns. Ecol. Appl. 2016, 26, 686–699. [Google Scholar] [CrossRef] [PubMed]
  23. Margolis, E.Q.; Balmat, J. Fire History and Fire–Climate Relationships along a Fire Regime Gradient in the Santa Fe Municipal Watershed, NM, USA. For. Ecol. Manag. 2009, 258, 2416–2430. [Google Scholar] [CrossRef]
  24. McCord, M.; Reilly, M.J.; Butz, R.J.; Jules, E.S. Early Seral Pathways of Vegetation Change Following Repeated Short-Interval, High-Severity Wildfire in a Low-Elevation, Mixed Conifer – Hardwood Forest Landscape of the Klamath Mountains, California. Can. J. For. Res. 2020, 50, 13–23. [Google Scholar] [CrossRef]
  25. Harrington, M.G. Notes: The Effects of Spring, Summer, and Fall Burning on Gambel Oak in a Southwestern Ponderosa Pine Stand. For. Sci. 1985, 31, 156–163. [Google Scholar] [CrossRef]
  26. Collins, B.M.; Miller, J.D.; Thode, A.E.; Kelly, M.; van Wagtendonk, J.W.; Stephens, S.L. Interactions Among Wildland Fires in a Long-Established Sierra Nevada Natural Fire Area. Ecosystems 2009, 12, 114–128. [Google Scholar] [CrossRef]
  27. Rollins, M.G.; Morgan, P.; Swetnam, T. Landscape-Scale Controls over 20th Century Fire Occurrence in Two Large Rocky Mountain (USA) Wilderness Areas. Landsc. Ecol. 2002, 17, 539–557. [Google Scholar] [CrossRef]
  28. Barker, J.W.; Price, O.F. Positive Severity Feedback between Consecutive Fires in Dry Eucalypt Forests of Southern Australia. Ecosphere 2018, 9, e02110. [Google Scholar] [CrossRef]
  29. Wahlberg, M.M.; Triepke, F.J.; Robbie, W.A.; Stenger, S.H.; Vandendriesche, D.; Muldavin, E.H.; Malusa, J.R. Ecological Response Units of the Southwestern United States; USDA Forest Service Forestry Report FR-R3-XX-XX; Southwestern Region, Regional Office: Albuquerque, NM, USA, 2013; 201p.
  30. Kunkel, K.E.; Frankson, R.; Runkle, J.; Champion, S.M.; Stevens, L.E.; Easterling, D.R.; Stewart, B.C.; McCarrick, A.; Lemery, C.R. State Climate Summaries for the United States 2022. NOAA Technical Report NESDIS 150; NOAA/NESDIS: Silver Spring, MD, USA, 2022.
  31. Eidenshink, J.; Schwind, B.; Brewer, K.; Zhu, Z.-L.; Quayle, B.; Howard, S. A Project for Monitoring Trends in Burn Severity. Fire Ecol. 2007, 3, 3–21. [Google Scholar] [CrossRef]
  32. Harris, L.; Taylor, A.H. Previous Burns and Topography Limit and Reinforce Fire Severity in a Large Wildfire. Ecosphere 2017, 8, e02019. [Google Scholar] [CrossRef]
  33. R Core Team. R: A Language and Environment for Statistical Computing; R Foundation for Statistical Computing: Vienna, Austria, 2022. [Google Scholar]
  34. Hijmans, R.J.; van Etten, J.; Sumner, M.; Cheng, J.; Baston, D.; Bevan, A.; Bivand, R.; Busetto, L.; Canty, M.; Fasoli, B.; et al. Raster: Geographic Data Analysis and Modeling 2022.
  35. Miller, J.D.; Thode, A.E. Quantifying Burn Severity in a Heterogeneous Landscape with a Relative Version of the Delta Normalized Burn Ratio (DNBR). Remote Sens. Environ. 2007, 109, 66–80. [Google Scholar] [CrossRef]
  36. Picotte, J.J.; Bhattarai, K.; Howard, D.; Lecker, J.; Epting, J.; Quayle, B.; Benson, N.; Nelson, K. Changes to the Monitoring Trends in Burn Severity Program Mapping Production Procedures and Data Products. Fire Ecol. 2020, 16, 1–12. [Google Scholar] [CrossRef]
  37. Key, C.H.; Benson, N.C. Landscape Assessment: Ground Measure of Severity, the Composite Burn Index; and Remote Sensing of Severity, the Normalized Burn Ratio; USDA Forest Service, Rocky Mountain Research Station: Ft. Collins, CO, USA, 2006.
  38. Rollins, M.G. LANDFIRE: A Nationally Consistent Vegetation, Wildland Fire, and Fuel Assessment. Int. J. Wildland Fire 2009, 18, 235. [Google Scholar] [CrossRef]
  39. LANDFIRE LANDFIRE Project, U.S. Department of Agriculture, Forest Service; U.S. Department of Interior.
  40. Allaire, J.J.; Ellis, P.; Candrud, C.; Kuo, K.; Lewis, B.W.; Owen, J.; Russell, K.; Rogers, J.; Sese, C.; Yetman, C.J. NetworkD3: D3 JavaScript Network Graphs from R Version 0.4 from CRAN 2022.
  41. Ogle, D.; Doll, J.; Wheeler, P.; Dinno, A. FSA: Simple Fisheries Stock Assessment Methods 2022.
  42. Lyubchich, V.; Gel, Y.R. Funtimes: Functions for Time Series Analysis 2022.
  43. Thompson, J.R.; Spies, T.A.; Ganio, L.M. Reburn Severity in Managed and Unmanaged Vegetation in a Large Wildfire. Proc. Natl. Acad. Sci. USA 2007, 104, 10743–10748. [Google Scholar] [CrossRef] [PubMed]
  44. Godwin, D.R.; Kobziar, L.N. Comparison of Burn Severities of Consecutive Large-Scale Fires in Florida Sand Pine Scrub Using Satellite Imagery Analysis. Fire Ecol. 2011, 7, 99–113. [Google Scholar] [CrossRef]
  45. Marlon, J.R.; Bartlein, P.J.; Gavin, D.G.; Long, C.J.; Anderson, R.S.; Briles, C.E.; Brown, K.J.; Colombaroli, D.; Hallett, D.J.; Power, M.J.; et al. Long-Term Perspective on Wildfires in the Western USA. Proc. Natl. Acad. Sci. USA 2012, 109, E535–E543. [Google Scholar] [CrossRef] [PubMed]
  46. Paysen, T.E.; Ansley, R.J.; Brown, J.K. Fire in Western Shrubland, Woodland, and Grassland Ecosystems. In Wildland Fire in Ecosystems: Effects of Fire on Flora; U.S. Department of Agriculture, Forest Service, Rocky Mountain Research Station: Ft. Collins, CO, USA, 2000; pp. 121–159, RMRS-GTR-42-V2. [Google Scholar]
  47. Collins, L.; Hunter, A.; McColl-Gausden, S.; Penman, T.D.; Zylstra, P. The Effect of Antecedent Fire Severity on Reburn Severity and Fuel Structure in a Resprouting Eucalypt Forest in Victoria, Australia. Forests 2021, 12, 450. [Google Scholar] [CrossRef]
  48. Grabinski, Z.S.; Sherriff, R.L.; Kane, J.M. Controls of Reburn Severity Vary with Fire Interval in the Klamath Mountains, California, USA. Ecosphere 2017, 8. [Google Scholar] [CrossRef]
  49. Taylor, A.H.; Harris, L.B.; Drury, S.A. Drivers of Fire Severity Shift as Landscapes Transition to an Active Fire Regime, Klamath Mountains, USA. Ecosphere 2021, 12. [Google Scholar] [CrossRef]
  50. Romme, W.H.; Allen, C.D.; Bailey, J.D.; Baker, W.L.; Bestelmeyer, B.T.; Brown, P.M.; Eisenhart, K.S.; Floyd, M.L.; Huffman, D.W.; Jacobs, B.F.; et al. Historical and Modern Disturbance Regimes, Stand Structures, and Landscape Dynamics in Piñon–Juniper Vegetation of the Western United States. Rangel. Ecol. Manag. 2009, 62, 203–222. [Google Scholar] [CrossRef]
  51. Swetnam, T.W.; Brown, P.M. Climatic Inferences from Dendroecological Reconstructions. In Dendroclimatology: Progress and Prospects; Hughes, M.K., Swetnam, T.W., Diaz, H.F., Eds.; Developments in Paleoenvironmental Research; Springer: Dordrecht, The Netherlands, 2011; pp. 263–295. ISBN 978-1-4020-5725-0. [Google Scholar]
  52. McCauley, L.A.; Robles, M.D.; Woolley, T.; Marshall, R.M.; Kretchun, A.; Gori, D.F. Large-Scale Forest Restoration Stabilizes Carbon under Climate Change in Southwest United States. Ecol. Appl. 2019, 29, e01979. [Google Scholar] [CrossRef]
  53. Steel, Z.L.; Foster, D.; Coppoletta, M.; Lydersen, J.M.; Stephens, S.L.; Paudel, A.; Markwith, S.H.; Merriam, K.; Collins, B.M. Ecological Resilience and Vegetation Transition in the Face of Two Successive Large Wildfires. J. Ecol. 2021, 109, 3340–3355. [Google Scholar] [CrossRef]
  54. Fertel, H.M.; North, M.P.; Latimer, A.M.; Ng, J. Growth and Spatial Patterns of Natural Regeneration in Sierra Nevada Mixed-Conifer Forests with a Restored Fire Regime. For. Ecol. Manag. 2022, 519, 120270. [Google Scholar] [CrossRef]
  55. Larson, A.J.; Churchill, D. Tree Spatial Patterns in Fire-Frequent Forests of Western North America, Including Mechanisms of Pattern Formation and Implications for Designing Fuel Reduction and Restoration Treatments. For. Ecol. Manag. 2012, 267, 74–92. [Google Scholar] [CrossRef]
  56. Harris, L.B.; Drury, S.A.; Taylor, A.H. Strong Legacy Effects of Prior Burn Severity on Forest Resilience to a High-Severity Fire. Ecosystems 2021, 24, 774–787. [Google Scholar] [CrossRef]
  57. Falk, D.A.; van Mantgem, P.J.; Keeley, J.E.; Gregg, R.M.; Guiterman, C.H.; Tepley, A.J.; Young, D.J.N.; Marshall, L.A. Mechanisms of Forest Resilience. For. Ecol. Manag. 2022, 512, 120129. [Google Scholar] [CrossRef]
  58. Allen, C.D.; Savage, M.; Falk, D.A.; Suckling, K.F.; Swetnam, T.W.; Schulke, T.; Stacey, P.B.; Morgan, P.; Hoffman, M.; Klingel, J.T. Ecological Restoration of Southwestern Ponderosa Pine Ecosystems: A Broad Perspective. Ecol. Appl. 2002, 12, 1418–1433. [Google Scholar] [CrossRef]
  59. Rodman, K.C.; Andrus, R.A.; Butkiewicz, C.L.; Chapman, T.B.; Gill, N.S.; Harvey, B.J.; Kulakowski, D.; Tutland, N.J.; Veblen, T.T.; Hart, S.J. Effects of Bark Beetle Outbreaks on Forest Landscape Pattern in the Southern Rocky Mountains, U.S.A. Remote Sens. 2021, 13, 1089. [Google Scholar] [CrossRef]
  60. Mueller, S.E.; Thode, A.E.; Margolis, E.Q.; Yocom, L.L.; Young, J.D.; Iniguez, J.M. Climate Relationships with Increasing Wildfire in the Southwestern US from 1984 to 2015. For. Ecol. Manag. 2020, 460, 117861. [Google Scholar] [CrossRef]
  61. Graham, R.; Finney, M.; McHugh, C.; Cohen, J.; Calkin, D.; Stratton, R.; Bradshaw, L.; Nikolov, N. Fourmile Canyon Fire Findings. In Gen. Tech. Rep. RMRS-GTR-289; U.S. Department of Agriculture, Forest Service, Rocky Mountain Research Station: Fort Collins, CO, USA, 2012; 289; 110p. [Google Scholar] [CrossRef]
  62. Stevens-Rumann, C.S.; Kemp, K.B.; Higuera, P.E.; Harvey, B.J.; Rother, M.T.; Donato, D.C.; Morgan, P.; Veblen, T.T. Evidence for Declining Forest Resilience to Wildfires under Climate Change. Ecol. Lett. 2018, 21, 243–252. [Google Scholar] [CrossRef]
  63. Hunter, M.E.; Iniguez, J.M.; Lentile, L.B. Short- and Long-Term Effects on Fuels, Forest Structure, and Wildfire Potential from Prescribed Fire and Resource Benefit Fire in Southwestern Forests, USA. Fire Ecol 2011, 7, 108–121. [Google Scholar] [CrossRef]
  64. Seager, R.; Ting, M.; Held, I.; Kushnir, Y.; Lu, J.; Vecchi, G.; Huang, H.-P.; Harnik, N.; Leetmaa, A.; Lau, N.-C.; et al. Model Projections of an Imminent Transition to a More Arid Climate in Southwestern North America. Science 2007, 316, 1181–1184. [Google Scholar] [CrossRef] [PubMed]
  65. Stevens, J.T.; Haffey, C.M.; Coop, J.D.; Fornwalt, P.J.; Yocom, L.; Allen, C.D.; Bradley, A.; Burney, O.T.; Carril, D.; Chambers, M.E.; et al. Tamm Review: Postfire Landscape Management in Frequent-Fire Conifer Forests of the Southwestern United States. For. Ecol. Manag. 2021, 502, 119678. [Google Scholar] [CrossRef]
Figure 1. The study area includes Arizona and New Mexico in the southwestern U.S.A. Areas that burned once between 1984 and 2019 are shown in light blue, and areas that burned two or more times are shown in dark gray.
Figure 1. The study area includes Arizona and New Mexico in the southwestern U.S.A. Areas that burned once between 1984 and 2019 are shown in light blue, and areas that burned two or more times are shown in dark gray.
Forests 13 01957 g001
Figure 2. RdNBR values at points that burned 1, 2, 3, and four or more times. Shown are values for all points regardless of vegetation type. As the number of times burned increases there is a significant decrease in burn severity (Kruskal–Wallis p < 0.001, adjusted Dunn p < 0.001 for all pairs).
Figure 2. RdNBR values at points that burned 1, 2, 3, and four or more times. Shown are values for all points regardless of vegetation type. As the number of times burned increases there is a significant decrease in burn severity (Kruskal–Wallis p < 0.001, adjusted Dunn p < 0.001 for all pairs).
Forests 13 01957 g002
Figure 3. Density plots of first-fire burn severity for points that burned 1, 2, 3, and 4 or more times, in shrubland, pinyon-juniper-oak, ponderosa, and aspen-mixed conifer forests. For reference, dashed vertical lines represent threshold values calculated for southwestern forested areas for unburned (0 to 70), low severity (71 to 288), moderate severity (289 to 687), and high severity (≥688). In all vegetation types except for shrublands, points that never reburned (1 fire) burned at higher severity in the first fire. In shrublands, points that eventually burned 4 or more times had the highest first-fire severity.
Figure 3. Density plots of first-fire burn severity for points that burned 1, 2, 3, and 4 or more times, in shrubland, pinyon-juniper-oak, ponderosa, and aspen-mixed conifer forests. For reference, dashed vertical lines represent threshold values calculated for southwestern forested areas for unburned (0 to 70), low severity (71 to 288), moderate severity (289 to 687), and high severity (≥688). In all vegetation types except for shrublands, points that never reburned (1 fire) burned at higher severity in the first fire. In shrublands, points that eventually burned 4 or more times had the highest first-fire severity.
Forests 13 01957 g003
Figure 4. Points that fell into two or more fire perimeters (approximately one third of all points), showing unburned (dark green), low (light green), moderate (yellow), and high (red) severity in the first, second, and third fires in (a) shrublands, (b) pinyon-juniper-oak, (c) ponderosa pine, and (d) mixed-conifer-aspen. The vertical height of each colored box is proportional to the number of points in each category. The number of points is fewer in the third column within each panel because fewer points fell into three or more fires. Shrublands had the highest proportion of high-severity fire in first, second, and third fires, while ponderosa pine-dominated areas had the highest proportion of unburned and low-severity fire.
Figure 4. Points that fell into two or more fire perimeters (approximately one third of all points), showing unburned (dark green), low (light green), moderate (yellow), and high (red) severity in the first, second, and third fires in (a) shrublands, (b) pinyon-juniper-oak, (c) ponderosa pine, and (d) mixed-conifer-aspen. The vertical height of each colored box is proportional to the number of points in each category. The number of points is fewer in the third column within each panel because fewer points fell into three or more fires. Shrublands had the highest proportion of high-severity fire in first, second, and third fires, while ponderosa pine-dominated areas had the highest proportion of unburned and low-severity fire.
Forests 13 01957 g004
Figure 5. Top panel: Fire severity of prior fire, by time since fire, shows points that reburned quickly had lower initial fire severity (p = 0.001). Middle panel: Fire severity of subsequent fires, by time since fire shows fire severity increasing with time since fire (p < 0.001). Bottom panel: Difference in fire severity between subsequent and previous fire, by time since fire, shows differences in fire severity from one fire to the next are not related to time since fire (p = 0.26).
Figure 5. Top panel: Fire severity of prior fire, by time since fire, shows points that reburned quickly had lower initial fire severity (p = 0.001). Middle panel: Fire severity of subsequent fires, by time since fire shows fire severity increasing with time since fire (p < 0.001). Bottom panel: Difference in fire severity between subsequent and previous fire, by time since fire, shows differences in fire severity from one fire to the next are not related to time since fire (p = 0.26).
Forests 13 01957 g005
Publisher’s Note: MDPI stays neutral with regard to jurisdictional claims in published maps and institutional affiliations.

Share and Cite

MDPI and ACS Style

Yocom, L.L.; Jenness, J.; Fulé, P.Z.; Thode, A.E. Fire Severity in Reburns Depends on Vegetation Type in Arizona and New Mexico, U.S.A. Forests 2022, 13, 1957. https://doi.org/10.3390/f13111957

AMA Style

Yocom LL, Jenness J, Fulé PZ, Thode AE. Fire Severity in Reburns Depends on Vegetation Type in Arizona and New Mexico, U.S.A. Forests. 2022; 13(11):1957. https://doi.org/10.3390/f13111957

Chicago/Turabian Style

Yocom, Larissa L., Jeff Jenness, Peter Z. Fulé, and Andrea E. Thode. 2022. "Fire Severity in Reburns Depends on Vegetation Type in Arizona and New Mexico, U.S.A." Forests 13, no. 11: 1957. https://doi.org/10.3390/f13111957

APA Style

Yocom, L. L., Jenness, J., Fulé, P. Z., & Thode, A. E. (2022). Fire Severity in Reburns Depends on Vegetation Type in Arizona and New Mexico, U.S.A. Forests, 13(11), 1957. https://doi.org/10.3390/f13111957

Note that from the first issue of 2016, this journal uses article numbers instead of page numbers. See further details here.

Article Metrics

Back to TopTop