You are currently viewing a new version of our website. To view the old version click .
Forests
  • Editor’s Choice
  • Article
  • Open Access

Published: 8 February 2021

In-Depth Genetic Diversity and Population Structure of Endangered Peruvian Amazon Rosewood Germplasm Using Genotyping by Sequencing (GBS) Technology

,
,
,
,
,
,
,
,
and
1
Faculty of Agricultural Sciences and Technologies, Sivas University of Science and Technology, Sivas 58140, Turkey
2
Specialized Unit of Biotechnology, Research Center of Natural Resources of the Amazon, National University of the Peruvian Amazon, Iquitos 1600, Peru
3
State Key Laboratory for Conservation and Utilization of Subtropical Agro-Bio Resources, South China Agricultural University, Guangzhou 510642, China
4
Laboratory of Bio-Economics and Biotechnology, Department of Bio-Economics and Food Safety, School of Economics and Management, Far Eastern Federal University, 690950 Vladivostok, Russia
This article belongs to the Section Forest Ecophysiology and Biology

Abstract

Research studies on conservative genetics of endangered plants are very important to establish the management plans for the conservation of biodiversity. Rosewood is an evergreen tree of the Amazon region and its essential oil has great acceptance in the medical and cosmetic industry. The present study aimed to explore the genetic diversity and population structure of 90 rosewood accessions collected from eight localities of Peruvian Amazon territory through DArTseq markers. A total of 7485 informative markers resulted from genotyping by sequencing (GBS) analysis were used for the molecular characterization of rosewood germplasm. Mean values of various calculated diversity parameters like observed number of alleles (1.962), the effective number of alleles (1.669), unbiased expected heterozygosity (0.411), and percent polymorphism (93.51%) over the entire germplasm showed the existence of a good level of genetic variations. Our results showed that the Mairiricay population was more diverse compared to the rest of the populations. Tamshiyacu-2 and Mairiricay-15 accessions were found genetically distinct accessions. The analysis of molecular variance (AMOVA) reflected maximum variations (75%) are due to differences within populations. The implemented clustering algorithms, i.e., STRUCTURE, neighbor-joining analysis and principal coordinate analysis (PCoA) separated the studied germplasm on the basis of their geographical locations. Diversity indices for STRUCTURE-based populations showed that subpopulation A is more diverse population than the rest of the populations, for such reason, individuals belonging to this subpopulation should be used for reintroduction or reinforcement plans of rosewood conservation. We envisage that molecular characterization of Peruvian rosewood germplasm with DArTseq markers will provide a platform for the conservation, management and restoration of endangered rosewood in upcoming years.

1. Introduction

The world’s flora and fauna are currently facing a huge loss of habitat which has reulted in the depletion of a number of populations, some leading to extinction [1]. The conservation of plant species has not received the required attention as compared to animals [2]. According to the information shared by the first global analysis of extinction risk in 2010, 25% of the world’s plant species are critically endangered [3].
Endangered species are known to have small or declining populations that experience the effects of inbreeding and genetic erosion resulting in high extinction risks [4]. The conservation genetic studies are considered vital for the preservation perspective of endangered species [5]. Previous research efforts have confirmed that both anthropogenic activities and climatic changes are becoming stronger than before, and are resulting in habitat fragmentation and/or population decline for a good number of endangered species [6,7]. By realizing these threats, it is very important to investigate the adaptive potential, genetic diversity and long-term conservation status of endangered plant species [8].
The Amazon region is considered one of the “richest reservoirs of biodiversity” and “most-varied biological reservoir”, containing several million species of insects, plants, birds [9]. Rosewood (Aniba rosaeodora Ducke) belongs to the family Lauraceae with diploid chromosomes number 2n = 24. Rosewood forests are present in Peru, Brazil, Colombia, Guyana, Venezuela and Suriname [10]. Indigenous peoples of the Amazon basin mostly used the rosewood to make canoes and as fuel. Rosewood essential oil is very popular, because it contains high contents of linalool. It is reported that 74.4–81.8% linalool content is present in leaves and branches of rosewood, while trunk wood contains ~100% linalool content [11]. From 1875 to 1975, extraction of essential oil was carried at the commercial scale which resulted in the significant depletion of natural rosewood stands [12]. After the depletion of rosewood natural stands, French Guiana prohibited the cutting of trees which resulted in a significant decrease in the export of essential oil. Presently, Brazil is the only producer and exporter of its essential oil [13]. Cutting of rosewood trees on large scale resulted in the complete depletion of rosewood forests from various regions of the Amazon. Currently, rosewood is included as an endangered species in the database of the Convention on International Trade in Endangered Species of Wild Fauna and Flora [14].
The variations in climate, altitude, latitude, soils and typography together make Peru home to a spectacular diversity of flora and fauna [15]. The north Marañon–Amazonas river axis, along the rivers Tiger, Napo and Putumayo in Peru, contains the rosewood stands [16]. Samuel Reggeroni, the owner of the Pucabarranca farm on the Napo River, started the rosewood trade very first time in Peru in 1941 by sending rosewood essential oil samples to Europe [16]. A rapid increase in rosewood essential oil trade was observed in Peru and other parts of the world in the 1950s, which resulted in fragmentation of habitats and deforestation resulting from the extraction of species of high timber value [14]. As a result of the fragmentation of habitats and deforestation, rosewood is now a vulnerable species in Peru [14]. To combat these issues, the Peruvian government has taken strong actions and the export of rosewood wood and its essential oil has been banned since 1972. Moreover, the establishment of rosewood plantations is suggested by the Peruvian Ministry of Agriculture in order to conserve this valuable species [14,16].
Germplasm characterization remains a fundamental and most important step in germplasm resource management and conservation and provides an opportunity to investigate the novel variations that can be helpful for the breeding perspective [17,18]. Assessment of genetic variation is considered a prerequisite to explore the genetic potential and efficient utilization of germplasm, and provides an opportunity to develop conservation approaches for the breeding of endangered species [19]. Investigation of genetic diversity within and among populations of endangered species facilitates the management and conservation of genetic resources, which could be an important milestone to minimize the genetic drift, extinction of a species, and conservation of genetic resources through germplasm collection [20]. The presence of high genetic diversity in a population can increase the possibility to pick up the most favorable material for breeding perspectives. Similarities or differences between individuals, populations or species are evaluated in genetic diversity studies using morphological attributes, genealogical data and, molecular characteristics [21]. Advancements in molecular marker technology have changed the fate of plant breeding by exploring the novel variations [22]. Therefore, it is highly suggested to screen the germplasm at allelic levels implementing molecular marker compared to morphological and biochemical markers and could be effectively utilized for germplasm conservation and improvement [23]. A good number of DNA markers have been developed reflecting various advantages and limitations [22]. However, Diversity Arrays Technology (DArT) attracted the attention of scientists in a short time as a robust, low cost, high throughput genome-wide method to investigate the polymorphism compared to hybridization and PCR-based markers [24]. Diversity array technology (DArT) markers have been developed under the platform of genotyping by sequencing (GBS) [25]. DArT analyzes hundreds of thousands of polymorphic markers generated by genomic rearrangements and provide the genome-wide genetic profile of the organism under study with no prior DNA sequence information [26].
To the best of our knowledge, sequence-based markers, i.e., DArTseq markers, are not used for the characterization of Peruvian rosewood germplasm. Therefore, it is very important to screen the rosewood germplasm with sequence-based markers for the comprehensive conclusion of conservation genetics, germplasm collection, characterization and breeding strategies. Previous studies used PCR-based molecular markers to explore the genetic variation potential of rosewood germplasm from various parts of the world. Previous studies explored the genetic diversity of Brazilian rosewood germplasm through RAPD markers [27] and SSR markers [28]. Very recently, Guizado et al. [29] for the first time reported the characterization of Peruvian rosewood germplasm with molecular markers (ISSR markers) and confirmed the existence of a good level of genetic diversity in their germplasm. Genotyping by Sequencing (GBS) resulted in SNP and DArTseq markers have been found robust, high throughput and more informative compared to PCR-based markers [30,31]. As is obvious from the above-provided evidence, previous studies did not utilize whole-genome covering sequenced-based markers and the number of markers used in their study was very low. Therefore, the present investigation aimed to explore the in-depth genetic diversity and population structure of Peruvian rosewood germplasm using DArTseq markers.

2. Materials and Methods

2.1. Experimental Materials and Genomic DNA Extraction

During this study, a total of 90 Peruvian rosewood accessions collected from eight localities were used as plant material (Table 1, Figure 1). These eight localities are present in the regions of Loreto and Ucayali, in the Peruvian Amazon which is considered the main habitats of rosewood in Peru. Among these eight, three localities are in the vicinity of Iquitos city, two of them accessible by road, and one on the margin of the Amazonas River. One population collected from Allpahuayo is close to the Allpahuayo− Mishana National Reserve. Populations from localities Zungarococha, Mayriricay, Nanay, Tamshiyacu and Santa Marta are located within private estates, while populations collected from Huajoya and Maria de Huajoya, are present within native community lands. The Zungarococha, Allpahuayo and Mairirircay plantations resulted from botanical seeds of natural trees identified from the Tamshiyacu area. The purpose of zungarococha plantation was teaching, since it is a part of the Agronomy Faculty of the National University of the Peruvian Amazon. With regard to the Allpahuayo plantation, its purpose was to evaluate the development of this species in sandy soils and subsequently, essential oil analyses are performed. This plantation is conserved by the Peruvian Amazon Research Institute. Finally, the Mairiricay plantation was carried out by PEDICP (Binational Special Project for the Integral Development of the Putumayo River Basin) as part of an implementation project. To conserve rosewood populations, a pilot plantation project was started 25 years ago in the perimeter zone of the Allpahuayo National, Reserve by The Instituto de Investigaciones de la Amazonía Peruana (IIAP). Zungarococha, Allpahuayo and Mairirircay populations are plantations from material originating from Tamshiyacu. These rosewood plantations are now 25, 20 and 15 years old, respectively.
Table 1. Passport data of 90 rosewood accessions collected from eight geographical localities of Peruvian Amazon.
Figure 1. Collection points of eight location of Peruvian rosewood germplasm.
To isolate plant DNA, healthy and non-damaged leaves from all the rosewood accessions were separately collected and packaged into ice. All samples were then transported and preserved at −20 °C until DNA extraction in the laboratory of “Specialized Unit of Biotechnology of the Research Center of Natural Resources of the Amazon”. Genomic DNA from all samples was extracted following the protocol proposed by Castro et al. [32] and a specific protocol suggested by Diversity Arrays Technology (available at https://www.diversityarrays.com/orderinstructions/plant-dna-extraction-protocol-for-dart/ (accessed on 13 October 2020)). Genomic DNA quantification was performed with agarose gel (0.80%) and confirmed by spectrophotometry using Nanodrop 2000c (Thermo Scientific, Waltham, MA, USA). The DNA concentration of all rosewood samples was adjusted to a 50 ng·μL−1 for the purpose of genotyping by sequencing (GBS) analysis. The samples were prepared and sent to the Diversity Array Technology Pty, Ltd., Bruce, Australia, for DArTseq analyses of GBS (www.diversityarrays.com (accessed on 13 October 2020)).

2.2. Genotyping by Sequencing for DArTseq Markers

DArTseq technology is a genome complexity reduction method based on a next-generation sequencing platform [33]. DArTseq assisted the selection of genomic fractions corresponding to active genes predominantly [34]. DNA samples were processed via Digestion/ligation reactions following the method of Kilian et al. [35]. A total of 30 PCR cycles were performed to amplify mixed fragments (PstI–MseI). More description about DArTseq markers analysis can be found in earlier studies [34,35,36].

2.3. Statistical Analysis

2.3.1. DArTseq Markers Analysis

DArTsoft v.7.4.7 (DArT P/L, Canberra, Australia) was implemented to analyze all the images of DArTseq platform. Scoring of DArTseq markers was performed in a binary fashion, where 1 represents presence and 0 represents absence in the genomic representation of the restriction fragment of each sample [34,35,36]. Parameters like polymorphism information content (PIC), call rate, and reproducibility were considered during the screening of the markers. All those DArTseq markers were ignored having PIC value, reproducibility and call rate lower than 0.10, 100% and 0.80% to avoid false inferences.

2.3.2. Genetic Diversity Analyses

A total of 11,332 DArTseq markers were obtained by DArTseq profiling of 90 rosewood accessions. A total of 7485 high-quality markers were retained for further analysis by filtering the total dataset accounting markers with less than 5% missing data, PIC value of 0.10 to 0.50, call rate 0.80 to 1 and 100% reproducibility. Various diversity indices like the observed number of alleles (Na), the effective number of alleles (Ne), and unbiased expected heterozygosity (uHe) for eight localities were investigated through GenAlEx 6.5 software [37]. Genetic distance is a measurement of genetic divergence between either species or populations within a species [38]. To investigate genetically distinct accessions from Peruvian rosewood germplasm, Jaccard’s coefficient of genetic dissimilarity was calculated using a vegan package of R statistical software [39]. GenAlEx v6.5 software [37] was also used for the investigation of principal coordinate analysis (PCoA) and analysis of molecular variance (AMOVA). The STRUCTURE software (version 2.3.4) was utilized to construct the population structure of the 90 rosewood accessions [40]. A total of 1–10 groups (K) were set with ten independent runs for each K (50,000 burn-ins and 500,000 Markov Chain Monte Carlo generations) with no prior information on the origin of individuals. The proposed methodology of Evanno et al. [41] was implemented for the investigation of the most probable number of subpopulations (ΔK). Later, structure evaluated results were processed with STRUCTURE HARVESTER v.0.9.94 to investigate the most favorable K value [42]. The pophelper and R package was used to visualize the most favorable ΔK [43]. To explore the diversity among STRUCTURE-based populations, various diversity indices were investigated through GenAlEx 6.5 software [37] and Jaccard’s coefficients of genetic dissimilarity were also calculated using a vegan package of R statistical software (39). The coefficient of differentiation (Fst) is a measure of population differentiation due to genetic structure. The Fst is directly related to the variations in allele frequency among populations and, conversely, to the degree of resemblance among individuals within populations [44]. The coefficient of differentiation (Fst) was evaluated from structure software and gene flow among structure-based populations was calculated according to Fst–methodology described by Slatkin [45] and Slatkin and Barton [46]. To explore the relationship among 90 rosewood accessions, the Jaccard coefficient of genetic dissimilarity was used to investigate neighbor-joining analysis through an ape package of R statistical software [39].

3. Results

DArTseq Profiling by GBS

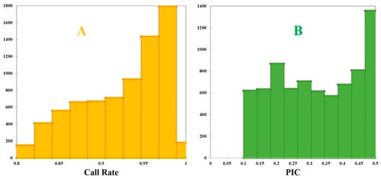
The distribution of the PIC values of the filtered dataset of 7485 markers is provided in Figure 2. The mean, maximum, and minimum PIC values of 0.322, 0.50, and 0.10 were revealed for the whole rosewood germplasm panel. Similarly mean, maximum, and minimum call rate values of 0.928%, 1.00%, and 0.80% were observed through the rosewood germplasm panel of 90 accessions (Figure 2).
Figure 2. Frequency histogram revealing call rate and polymorphism information content (PIC) values of the applied DArTseq markers. (A): call rate of 7485 DArTseq markers; (B): PIC value of 7485 DArTseq markers
During this study, various diversity indices like the observed number of alleles (1.962), the effective number of alleles (1.669), unbiased expected heterozygosity (0.411), and polymorphism (93.51%) showed the presence of a great level of genetic variation in the rosewood germplasm panel of 90 accessions (Table 2). Among the studied eight populations, the Mairiricay population reflected higher values for various diversity indices (Table 2) like the observed number of alleles (2.00), an effective number of alleles (1.71), unbiased expected heterozygosity (0.426), polymorphism (100%) and Jaccard’s coefficient of genetic dissimilarity (0.585). Among eight populations, Zungarococha was found least diverse by reflecting minimum values for calculated diversity indices (Table 2). Mean Jaccard’s coefficient of genetic dissimilarity among 90 rosewood accessions was 0.421, while highest Jaccard’s coefficient of genetic dissimilarity (0.828) was present between rosewood accessions Tamshiyacu-2 and Mairiricay-15 respectively. Minimum Jaccard’s coefficient of genetic dissimilarity was (0.261) present between rosewood accessions Zungarococha-1 and Zungarococha-4. The results of AMOVA reflected the presence of greater variations within populations (75%) compared to among the populations (25%) (Table 3). The genetic structure of the rosewood germplasm was separated into three populations as proposed by ΔK peak at K = 3 (Figure S1). STRUCTURE software divided studied germplasm into three main subpopulations on the basis of their collection points (Figure 3). A total of 37, 20 and 22 accessions were clustered in subpopulations A, B and C respectively, on the basis of membership coefficients of either 75% or more than 75% within the same structure population group. A total of 11 rosewood accessions revealed membership coefficients less than 75% and were considered as unclassified subpopulations. Diversity indices among STRUCTURE evaluated subpopulations revealed the existence of higher gene flow (1.557) and mean Jaccard’s coefficient of genetic dissimilarity (0.465) for subpopulation A, while subpopulation B revealed the highest level of coefficient of differentiation (Fst) (0.501) and minimum values for various diversity indices (Table 4). The neighbor-joining analysis divided the whole studied germplasm into three populations on the basis of their collection points (Figure 4). The PCoA clearly supported the clustering of STRUCTURE and neighbor-joining-based clustering and separated the Santamarta population from the rest of the populations (Figure 5).
Table 2. Diversity indices for Peruvian rosewood populations on the basis of geographical localities.
Table 3. Analysis of molecular variance for among and within populations of the studied rosewood accessions.
Figure 3. Clustering of the 90 rosewood accessions via structure-based clustering algorithm with DArTseq markers.
Table 4. Genetic diversity indices for the STRUCTURE-based populations of Peruvian rosewood germplasm.
Figure 4. Neighbor joining-based clustering of the 90 rosewood accessions.
Figure 5. Principal coordinate analysis (PCoA)-based clustering of the 90 rosewood accessions.

4. Discussion

Rosewood is an endangered plant of the Amazon region, famous for its essential oil. However, there is a scarcity of information about the characterization of Peruvian rosewood germplasm using GBS-derived DArTseq markers. Therefore, an effort was made through this study to explore the genetic diversity and population structure of Peruvian rosewood germplasm through DArTseq markers. The molecular characterization of Peruvian rosewood germplasm with DArTseq markers explored genetic variations in the studied germplasm (Table 2). Diversity indices calculated in this study showed the existence of genetic variations in the Peruvian rosewood germplasm. As rosewood is now a vulnerable species in Peru [14], strategies should be developed for the conservation of this economically important plant. Previous studies by Angrizani et al. [28] and Santos et al. [47] did not calculate various diversity indices like the observed number of alleles, and the number of effective alleles. However, the mean and range of polymorphism (%) in Peruvian amazon rosewood populations was found higher than reported by Santos et al. [47] in Brazilian rosewood populations. The possible reasons for the existence of higher values for various diversity indices in this study might be due to either higher efficiency of DArTseq marker system in exploring the genetic diversity or the experimental materials are of diverse nature. Moreover, we used thousands of markers for genetic diversity analysis compared to gel-based markers which are in hundreds and cannot provide deep information.
Among the studied eight rosewood populations, the Mairiricay population was found most diverse by reflecting higher values for calculated parameters, while the Zunagarococha population was found least diverse population (Table 2). Therefore, accessions from the Mairiricay population can be suggested for future rosewood germplasm conservation and breeding activities. Genetic distance is a degree of genomic differences between species or populations and it is calculated by some numerical method [38,39,40,41,42,43,44,45,46,47,48]. Very recent studies confirmed genetic distance as a valuable criterion for the selection of parents that can be used in breeding activities [49,50]. Germplasm resources proposing the highest level of genetic distance must be properly conserved and utilize in future breeding programs for their improvement [29]. During this study, the maximum Jaccard coefficient of genetic dissimilarity was present between Tamshiyacu-2 and Mairiricay-15. Therefore, these accessions might be suggested for rosewood conservation and utilization in future breeding strategies.
The analysis of molecular variance (AMOVA) is performed to investigate the level of genetic differentiation among studied populations. The AMOVA results revealed that higher genetic variations in rosewood germplasm were due to differences within the populations and these results were found in line with previous reports [29,30,31,32,33,34,35,36,37,38,39,40,41,42,43,44,45]. Santos et al. [46] used RAPD markers for the characterization of central Brazilian Amazon germplasm and found higher genetic variations (76.6%) within populations than among (23.4%) populations. Very recently, Guizado et al. [29] characterized the Peruvian rosewood using ISSR markers and found higher variations within populations (98.1%) than among (1.9%) populations. A previous study concluded that long-term natural selection and geographical isolation allowed the local population to conserve a specific genotype, thereby increasing the genetic variations between populations [51].
STRUCTURE, neighbor-joining analysis, and PCoA were used as clustering algorithms to elucidate the population structure of Peruvian rosewood germplasm. STRUCTURE algorithms were given more preference among these clustering algorithms as they showed more robustness in previous research works [52,53]. STRUCTURE software separated the whole germplasm into three main subpopulations (A, B, C) on the basis of their geographical localities (Figure 3). Accessions belonging to Mairiricay, Mariacdehuajoya, Huajoya, and Nanay localities were clustered together by making subpopulation A. It is clearly understandable from Figure 1 that Mariacdehuajoya, Huajoya, and Mairiricay are close to each other. Therefore, these populations clustered within the same subpopulation of structure analysis. There was a possibility of frequent gene flow among these populations which resulted in genetic similarity and their grouping under the same population. To support this hypothesis, various diversity indices were calculated among STRUCTURE-based subpopulation (Table 4). Results confirmed the existence of higher genetic diversity, genetic distance and gene flow in subpopulation A. A total of five accessions from the Nanay location were used as plant material. However, only two accessions (Nanay-4, Nanay-5) showed a membership coefficient of more than 75% and grouped in subpopulations A. Nanay population is located away from Mariacdehuajoya and Huajoya populations. However, the Nanay population clustered with these populations in STRUCTURE-based clustering. Mariacdehuajoya and Huajoya populations belong to the Napo basin which is next to the Nanay basin which contains the Nanay population. There is a great possibility of gene flow between Napo basin and Nanay basin that allows the clustering of Nanay population with Mariacdehuajoya and Huajoya population in structure analysis. Subpopulation B was found to be homogeneous as it clustered all accessions (a total of 20 accessions) belonging to the Santamarta location. The Santamarta population showed low gene flow and a higher coefficient of differentiation (Fst) than the rest of the populations (Table 4), which is possibly due to the greater geographical distance and isolation of this stand from the other localities. Santos et al. [47] observed the presence of higher gene flow among Brazilian rosewood populations close to each other and concluded that gene flow will decrease with the increase in geographic distance. Subpopulation C clustered a total of 22 rosewood accessions from Tamshiyacu, Alpahuayo, and Zungarococha localities. Clustering of Zunagarococha, Allpahuayo, and Tamshiyacu was expected because Zunagarococha and Allpahuayo were planted from material originating from the wild population of Tamshiyacu. It was interesting that a total of 11 rosewood accessions (three from Nanay and eight from Tamshiyacu populations) did not show genetic similarity with the above three populations. All of these accessions were considered unclassified accessions as they revealed membership coefficients Q < 75%. Grouping of rosewood accession in this study was also supported by our very recent study in which Peruvian rosewood germplasm was characterized with an ISSR marker [29]. The neighbor-joining analysis also supported the clustering of STRUCTURE software and grouped the whole germplasm into three populations on the basis of their collection points (Figure 5). Similar to STRUCTURE clustering, accessions from the Santamarta population were grouped together and confirmed their genetic dissimilarity to the rest of the populations. In a similar way to STRUCTURE clustering, populations from Mariacdehuajoya, Huajoya and Nanay localities were present very close to each other in PCoA-based clustering (Figure 5). Similarly, accessions from the Santamarta population were clustered together and made their separate population as observed in STRUCTURE and neighbor-joining analysis.

Conservation Implications

Research activities about the genetic diversity of endangered plants are very important because they provide a deep insight into their potential to combat environmental changes. The management of species diversity is regarded as one of the key aspects of current species genetic diversity investigation and conservation strategies [17,54,55]. However, limited information is documented about the conservation genetics and population structure assessment of endangered species. Previous studies recommended that research activities related to in vitro propagation and seed viability can be very effective for the conservation of endangered species [56,57]. Therefore, studies should be conducted related to seed viability and in vitro propagation of rosewood for the conservation perspectives. Moreover, efforts should be made to place rosewood in botanical gardens as well.
The findings of this study showed a relatively high genetic diversity and low coefficient of differentiation (Fst) in population A of STRUCTURE clustering and explored its potential for conservation implications, and breeding activities to improve the genetic basis of rosewood. During this study, the AMOVA results confirmed that maximum variations in Peruvian rosewood germplasm are present within populations. Therefore, populations having high genetic diversity should be used for both ex situ and in situ germplasm collection and conservation aspects. Moreover, individuals from this population should be used in reintroduction or reinforcement plans of rosewood. Results of this study also showed that population A reflected higher genetic diversity and may still maintain a relic of the ancient genetic structure as revealed by high genetic diversity and low genetic differentiation values. The greater level of genetic diversity and gene flow in population A revealed that overexploitation and habitat fragmentation have not yet seriously affected the within-population diversity. Therefore, it is suggested that a restoration plan should be implemented utilizing population A. By considering the importance of threat to rosewood in Peruvian Amazon territory, The Instituto de Investigaciones de la Amazonía Peruana (IIAP) has started a pilot plantation project 25 years ago in the perimeter zone of the Allpahuayo National, Reserve. It is also suggested that a nursery or seed bank should be developed on an urgent basis by collecting the seeds from different geographic locations of the world where rosewood habitats are present. In the end, it is recommended that a combination of both in situ and ex situ conservation approaches would be the best strategy to conserve the valuable genetic resources of rosewood.

5. Conclusions

This study provided deep insight into the genetic diversity and population structure of Peruvian rosewood. The Mairiricay population was found most diverse among eight localities. The results of AMOVA showed the presence of higher genetic diversity within populations. Tamshiyacu-2 and Mairiricay-15 accessions were found genetically distinct and can be suggested as candidate parents for future rosewood breeding activities. The implemented clustering algorithms, i.e., model-based structure, neighbor-joining analysis and principal coordinate analysis (PCoA) successfully separated the rosewood accessions based on their geographical locations. Genetic diversity indices revealed subpopulation A of the STRUCTURE algorithm as a genetically most diverse population and confirmed that overexploitation and habitat fragmentation have not yet seriously affected the within-population diversity in this population. Combining in situ and ex situ conservation approaches would be the best strategy to conserve the valuable genetic resources of rosewood. We are confident that the information provided here will be very helpful to the scientific community interested in rosewood management, conservation, and breeding activities.

Supplementary Materials

The following will be available online at https://www.mdpi.com/1999-4907/12/2/197/s1, Figure S1: Delta K value proposing the presence of three sub-populations for the 90 rosewood accessions.

Author Contributions

Methodology, F.S.B.; software, M.A.N. (Muhammad Azhar Nadeem) and E.H.; validation, F.S.B., S.J.V.G., S.E., M.A.N. (Muhammad Azhar Nadeem), and F.A.; formal analysis, M.A.N. (Muhammad Azhar Nadeem), E.H., M.Q.S.; investigation, S.J.V.G., F.A., M.A.N. (Muhammad Azhar Nadeem), M.A.; resources, J.C.C.G., F.S.B., G.C., S.H.Y. and J.L.M.d.A.; data curation, S.J.V.G., P.M.A.J. and E.T.C.; writing—original draft preparation, M.A.N. (Muhammad Azhar Nadeem) and F.A.; writing—review and editing, M.A.N. (Muhammad Amjad Nawaz), T.K., M.A., R.H., M.Q.S., S.E.,; visualization, F.S.B., G.C., S.H.Y., S.E.; supervision, F.S.B., J.C.C.G. All authors have read and agreed to the published version of the manuscript.

Funding

This research received no external funding.

Institutional Review Board Statement

Not applicable.

Data Availability Statement

All data required to conduct this study is provided within the manuscript.

Acknowledgments

Authors are very grateful to Servicio Nacional Forestal y de Fauna Silvestre (SERFOR), Peru for providing the financial support for the collection of germplasm (1360-2018-MINAGRI-SERFOR-CAF). Authors also pay their gratitude to Programa Nacional de Innovación Agraria (PNIA), Peru for providing a scientific internship to Stalin Juan Vasquez Guizado (156-2018-INIA-PNIA), at the Bolu Abant Izzet Baysal University, Bolu, Turkey.

Conflicts of Interest

The authors declare no conflict of interest.

References

  1. Mittermeier, R.A.; Turner, W.R.; Larsen, F.W.; Brooks, T.M.; Gascon, C. Global biodiversity conservation: The critical role of hotspots. In Biodiversity Hotspots: Distribution and Protection of Conservation Priority Areas; Zachos, F.E., Habel, J.C., Eds.; Springer: Berlin/Heidelberg, Germany, 2011; pp. 3–22. [Google Scholar]
  2. Goettsch, B.; Hilton-Taylor, C.; Cruz-Piñón, G.; Duffy, J.P.; Frances, A.; Hernández, H.M.; Inger, R.; Pollock, C.; Schipper, J.; Superina, M.; et al. High proportion of cactus species threatened with extinction. Nat. Plants 2015, 1, 15142. [Google Scholar] [CrossRef]
  3. Ibrahim, M.A.; Na, M.; Oh, J.; Schinazi, R.F.; McBrayer, T.R.; Whitaker, T.; Doerksen, R.J.; Newman, D.J.; Zachos, L.G.; Hamann, M.T. Significance of endangered and threatened plant natural products in the control of human disease. Proc. Natl. Acad. Sci. USA 2013, 110, 16832–16837. [Google Scholar] [CrossRef]
  4. Frankham, R. Genetics and conservation biology. Comptes Rendus Biol. 2003, 326, 22–29. [Google Scholar] [CrossRef]
  5. Beaumont, M.A.; Bruford, M.W. Microsatellites in conservation genetics. In Microsatellites: Evolution and Applications; Goldstein, D.B., Schlatterer, C., Eds.; Oxford University Press: Oxford, UK, 1999; pp. 165–182. [Google Scholar]
  6. Allendorf, F.W.; Hohenlohe, P.A.; Luikart, G. Genomics and the future of conservation genetics. Nat. Rev. Genet. 2010, 11, 697–709. [Google Scholar] [CrossRef]
  7. Allendorf, F.W. Genetics and the conservation of natural populations: Allozymes to genomes. Mol. Ecol. 2017, 26, 420–430. [Google Scholar] [CrossRef]
  8. Harrisson, K.A.; Pavlova, A.; Telonis-Scott, M.; Sunnucks, P. Using genomics to characterize evolutionary potential for conservation of wild populations. Evol. Appl. 2014, 7, 1008–1025. [Google Scholar] [CrossRef] [PubMed]
  9. Perry, J.; Lojka, B.; Ruiz, L.G.Q.; Van Damme, P.; Houška, J.; Cusimamani, E.F. How natural forest conversion affects insect biodiversity in the Peruvian Amazon: Can agroforestry help? Forests 2016, 7, 82. [Google Scholar] [CrossRef]
  10. Maia, J.G.S.; Mourão, R.H.V. Amazon Rosewood (Aniba rosaeodora Ducke) Oils. In Essential Oils in Food Preservation, Flavor and Safety; Preedy, V.R., Ed.; Academic Press: New York, NY, USA, 2016; pp. 193–201. [Google Scholar]
  11. Chantraine, J.M.; Dhénin, J.M.; Moretti, C. Chemical variability of rosewood (Aniba rosaeodora Ducke) essential oil in French Guiana. J. Essent. Oil Res. 2009, 21, 486–495. [Google Scholar] [CrossRef]
  12. Bruleaux, A.M. Deux productions passées de la forêt guyanaise. L’essence de bois de rose et la gomme de balata. Bois For. Trop. 1989, 219, 99–113. [Google Scholar]
  13. Amusant, N.; Digeon, A.; Descroix, L.; Bruneau, O.; Bezard, V.; Beauchène, J. Planting rosewood for sustainable essential oil production: Influence of surrounding forest and seed provenance on tree growth and essential oil yields. Bois For. Trop. 2015, 326, 57–65. [Google Scholar] [CrossRef]
  14. Salazar, B.M. List of Peruvian CITES Species Wild Flora; Ministerio del Ambiente: Lima, Peru, 2011; p. 130. [Google Scholar]
  15. Scott, G. Plants, people, and the conservation of biodiversity of potatoes in Peru. Nat. Conserv. 2011, 9, 21–38. [Google Scholar] [CrossRef]
  16. MINAM. Dictamen de extracción no prejudicial de Aniba rosaeodora Ducke “palo de rosa” procedente del medio natural. In Viceministerio de Desarrollo Estratégico de Recursos Naturales; Ministerio del Ambiente: Lima, Peru, 2015; p. 26. [Google Scholar]
  17. Ali, F.; Nadeem, M.A.; Barut, M.; Habyarimana, E.; Chaudhary, H.J.; Khalil, I.H.; Alsaleh, A.; Hatipoğlu, R.; Karaköy, T.; Kurt, C.; et al. Genetic diversity, population structure and marker-trait association for 100-seed weight in international safflower panel using silicoDArT marker information. Plants 2020, 9, 652. [Google Scholar] [CrossRef]
  18. Nadeem, M.A.; Gündoğdu, M.; Ercişli, S.; Karaköy, T.; Saracoğlu, O.; Habyarimana, E.; Lin, X.; Hatipoğlu, R.; Nawaz, M.A.; Sameeullah, M.; et al. Uncovering phenotypic diversity and DArTseq marker loci associated with antioxidant activity in common bean. Genes 2020, 11, 36. [Google Scholar] [CrossRef]
  19. Fu, Y.B. Understanding crop genetic diversity under modern plant breeding. Theor. Appl. Genet. 2015, 128, 2131–2142. [Google Scholar] [CrossRef] [PubMed]
  20. Rao, V.R.; Hodgkin, T. Genetic diversity and conservation and utilization of plant genetic resources. Plant Cell Tissue Organ Cult. 2002, 68, 1–9. [Google Scholar]
  21. Pank, F. Adaptation of medicinal and aromatic plants to contemporary quality and technological demands by breeding: Aims, methods and trends. Rev. Bras. Plant Med.-Botucatu 2006, 8, 39–42. [Google Scholar]
  22. Nadeem, M.A.; Nawaz, M.A.; Shahid, M.Q.; Doğan, Y.; Comertpay, G.; Yıldız, M.; Hatipoğlu, R.; Ahmad, F.; Alsaleh, A.; Labhane, N.; et al. DNA molecular markers in plant breeding: Current status and recent advancements in genomic selection and genome editing. Biotechnol. Biotechnol. Equip. 2018, 32, 261–285. [Google Scholar] [CrossRef]
  23. Marconi, G.; Ferradini, N.; Russi, L.; Concezzi, L.; Veronesi, F.; Albertini, E. Genetic characterization of the apple Germplasm collection in Central Italy: The value of local varieties. Front. Plant Sci. 2018, 9, 1460. [Google Scholar] [CrossRef]
  24. Jaccoud, D.; Peng, K.; Feinstein, D.; Kilian, A. Diversity arrays: A solid state technology for sequence information independent genotyping. Nucleic Acids Res. 2001, 29, e25. [Google Scholar] [CrossRef] [PubMed]
  25. Poland, J.A.; Brown, P.J.; Sorrells, M.E.; Jannink, J.L. Development of high-density genetic maps for barley and wheat using a novel two-enzyme genotyping-by-sequencing approach. PLoS ONE 2012, 7, e32253. [Google Scholar] [CrossRef]
  26. Zhang, L.Y.; Marchand, S.; Tinker, N.A.; Belzile, F. Population structure and linkage disequilibrium in barley assessed by DArT markers. Theor. Appl. Genet. 2009, 119, 43–52. [Google Scholar] [CrossRef]
  27. Santos, R.P.; Spironello, W.R.; Sampaio, P.T.B. Genetic diversity in rosewood saplings (Aniba rosaeodora Ducke, Lauraceae): An ecological approach. Acta Amaz. 2008, 38, 707–714. [Google Scholar] [CrossRef][Green Version]
  28. Angrizani, R.C.; Contim, L.A.; Lemes, M.R. Development and characterization of microsatellite markers for the endangered Amazonian tree Aniba rosaeodora (Lauraceae). Appl. Plant Sci. 2013, 1, 1200516. [Google Scholar] [CrossRef] [PubMed]
  29. Guizado, S.J.V.; Nadeem, M.A.; Ali, F.; Barut, M.; Habyarimana, E.; Gómez, T.P.; Santillan, J.A.V.; Canales, E.T.; Gómez, J.C.C.; Chung, G.; et al. Genetic diversity and population structure of endangered rosewood from the Peruvian Amazon using ISSR markers. Acta Amaz. 2020, 50, 204–212. [Google Scholar] [CrossRef]
  30. Bhatia, D.; Wing, R.A.; Singh, K. Genotyping by sequencing, its implications and benefits. Crop Improv. 2013, 40, 101–111. [Google Scholar]
  31. Getachew, S.E.; Bille, N.H.; Bell, J.M.; Gebreselassie, W. Genotyping by Sequencing for Plant Breeding- A Review. Adv. Biotechnol. Microbiol. 2020, 14, 555891. [Google Scholar] [CrossRef]
  32. Castro, J.C.; Rodríguez, H.N.; Maddox, J.D.; Jiu, B.; Petterman, J.B.; Marapara, J.L.; Cobos, M. A simple and efficient method for high-quality total RNA isolation from Oleaginous microalgae. Plant Cell Biotechnol. Mol. Biol. 2017, 18, 15–21. [Google Scholar]
  33. Elshire, R.J.; Glaubitz, J.C.; Sun, Q.; Poland, J.A.; Kawamoto, K.; Buckler, E.S.; Mitchell, S.E. A robust, simple genotyping-by-sequencing (GBS) approach for high diversity species. PLoS ONE 2011, 6, e19379. [Google Scholar] [CrossRef]
  34. Raman, H.; Raman, R.; Kilian, A.; Detering, F.; Carling, J.; Coombes, N.; Diffey, S.; Kadkol, G.; Edwards, D.; McCully, M.; et al. Genome-wide delineation of natural variation for pod shatter resistance in Brassica napus. PLoS ONE 2014, 9, e101673. [Google Scholar] [CrossRef]
  35. Kilian, A.; Wenzl, P.; Huttner, E.; Carling, J.; Xia, L.; Blois, H.; Caig, V.; Heller-Uszynska, K.; Jaccoud, D.; Hopper, C.; et al. Diversity arrays technology: A generic genome profiling technology on open platforms. In Data Production and Analysis in Population Genomics; François, P., Aurélie, B., Eds.; Springer: Totowa, NJ, USA, 2012; pp. 67–89. [Google Scholar]
  36. Li, H.; Vikram, P.; Singh, R.P.; Kilian, A.; Carling, J.; Song, J.; Burgueno-Ferreira, J.A.; Bhavani, S.; Huerta-Espino, J.; Payne, T.; et al. A high density GBS map of bread wheat and its application for dissecting complex disease resistance traits. BMC Genom. 2015, 16, 216. [Google Scholar] [CrossRef]
  37. Peakall, R.; Smouse, P.E. GENALEX 6: Genetic analysis in Excel. Population genetic software for teaching and research. Mol. Ecol. Notes 2006, 6, 288–295. [Google Scholar] [CrossRef]
  38. Nei, M. Molecular Evolutionary Genetics; Columbia University Press: New York, NY, USA, 1987. [Google Scholar] [CrossRef]
  39. Team, R.C. R: A Language and Environment for Statistical Computing; R Foundation for Statistical Computing: Vienna, Austria, 2013; ISBN 3-900051-07-0. Available online: http://www.R-project.org/ (accessed on 28 April 2019).
  40. Pritchard, J.K.; Stephens, M.; Donnelly, P. Inference of population structure using multilocus genotype data. Genetics 2000, 155, 945–959. [Google Scholar]
  41. Evanno, G.; Regnaut, S.; Goudet, J. Detecting the number of clusters of individuals using the software STRUCTURE: A simulation study. Mol. Ecol. 2005, 14, 2611–2620. [Google Scholar] [CrossRef]
  42. Earl, D.A. STRUCTURE HARVESTER: A website and program for visualizing STRUCTURE output and implementing the Evanno method. Conserv. Genet. Resour. 2012, 4, 359–361. [Google Scholar] [CrossRef]
  43. Francis, R.M. pophelper: An R package and web app to analyse and visualize population structure. Mol. Ecol. Resour. 2017, 17, 27–32. [Google Scholar] [CrossRef] [PubMed]
  44. Holsinger, K.E.; Weir, B.S. Genetics in geographically structured populations: Defining, estimating and interpreting F ST. Nat. Rev. Genet. 2009, 10, 639–650. [Google Scholar] [CrossRef]
  45. Slatkin, M. Gene flow in natural populations. Annu. Rev. Ecol. Evol. Syst. 1985, 16, 393–430. [Google Scholar] [CrossRef]
  46. Slatkin, M.; Barton, N.H. A comparison of three indirect methods for estimating average levels of gene flow. Evolution 1989, 43, 1349–1368. [Google Scholar] [CrossRef] [PubMed]
  47. Santos, R.P.; Ângelo, P.C.D.S.; Sampaio, P.D.T.B.; Quisen, R.C.; Leite, Â.M.C.; Oliveira, C.L.D. Geographic pattern of genetic diversity in natural populations of Rosewood (Aniba rosaeodora), in the Central Amazonia. Acta Amaz. 2008, 38, 459–466. [Google Scholar] [CrossRef]
  48. Dogan, I.; Dogan, N. Genetic distance measures. Turk. Klin. J. Biostat. 2016, 8, 87. [Google Scholar] [CrossRef][Green Version]
  49. Han, Z.; Han, Q.; Xia, Y.; Geng, X.; Du, K.; Yang, J.; Kang, X. Construction of a breeding parent population of Populus tomentosa based on SSR genetic distance analysis. Sci. Rep. 2020, 10, 1–11. [Google Scholar] [CrossRef]
  50. Geng, X.; Qu, Y.; Jia, Y.; He, S.; Pan, Z.; Wang, L.; Du, X. Assessment of Heterosis Based on Parental Genetic Distance Estimated with SSR and SNP Markers in Upland Cotton (Gossypium Hirsutum L.). Res. Sq. 2020. [Google Scholar] [CrossRef]
  51. Tóth, E.G.; Tremblay, F.; Housset, J.M.; Bergeron, Y.; Carcaillet, C. Geographic isolation and climatic variability contribute to genetic differentiation in fragmented populations of the long-lived subalpine conifer Pinus cembra L. in the western Alps. BMC Evol. Biol. 2019, 19, 190. [Google Scholar] [CrossRef]
  52. Bouchet, S.; Pot, D.; Deu, M.; Rami, J.F.; Billot, C.; Perrier, X.; Rivallaz, R.; Gardes, L.; Xia, L.; Wenzl, P. Genetic structure, linkage disequilibrium and signature of selection in sorghum: Lessons from physically anchored DArT markers. PLoS ONE 2012, 7, e33470. [Google Scholar] [CrossRef] [PubMed]
  53. Newell, M.A.; Cook, D.; Hofmann, H.; Jannink, J.L. An algorithm for deciding the number of clusters and validation using simulated data with application to exploring crop population structure. Ann. Appl. Stat. 2013, 7, 1898–1916. [Google Scholar] [CrossRef]
  54. Frankham, R. Challenges and opportunities of genetic approaches to biological conservation. Biol. Conserv. 2010, 143, 1919–1927. [Google Scholar] [CrossRef]
  55. Yang, X.; Yang, Z.; Li, H. Genetic diversity, population genetic structure and protection strategies for Houpoëa officinalis (Magnoliaceae), an endangered Chinese medical plant. J. Plant Biol. 2018, 61, 159–168. [Google Scholar] [CrossRef]
  56. O’Donnell, K.; Sharrock, S. The contribution of botanic gardens to ex situ conservation through seed banking. Plant Divers. 2017, 39, 37–378. [Google Scholar] [CrossRef]
  57. Volis, S. Conservation utility of botanic garden living collections: Setting a strategy and appropriate methodology. Plant Divers. 2017, 39, 365–372. [Google Scholar] [CrossRef]
Publisher’s Note: MDPI stays neutral with regard to jurisdictional claims in published maps and institutional affiliations.

Article Metrics

Citations

Article Access Statistics

Multiple requests from the same IP address are counted as one view.