Next Article in Journal
Using Sentinel-2 Images to Map the Populus euphratica Distribution Based on the Spectral Difference Acquired at the Key Phenological Stage
Previous Article in Journal
Ecological Gradient Analysis and Environmental Interpretation of Cyclocarya paliurus Communities
 
 
Font Type:
Arial Georgia Verdana
Font Size:
Aa Aa Aa
Line Spacing:
Column Width:
Background:
Article

Compatible Taper and Volume Systems Based on Volume Ratio Models for Four Pine Species in Oaxaca Mexico

by
Albert Castillo-López
1,*,
Gerónimo Quiñonez-Barraza
2,
Ulises Diéguez-Aranda
3 and
José Javier Corral-Rivas
4
1
Doctorado Institucional en Ciencias Agropecuarias y Forestales, Universidad Juárez del Estado de Durango, Río Papaloapan, Valle del Sur, 34120 Durango, DGO, Mexico
2
Campo Experimental Valle del Guadiana, Instituto Nacional de Investigaciones Forestales, Agrícolas y Pecuarias, Carretera Durango-Mezquital km 4.5, 34170 Durango, DGO, Mexico
3
Departamento de Ingeniería Agroforestal, Escuela Politécnica Superior de Lugo, Universidad de Santiago de Compostela, Campus Universitario, 27002 Lugo, Spain
4
Facultad de Ciencias Forestales, Universidad Juárez del Estado de Durango, Río Papaloapan, Valle del Sur, 34120 Durango, DGO, Mexico
*
Author to whom correspondence should be addressed.
Forests 2021, 12(2), 145; https://doi.org/10.3390/f12020145
Submission received: 9 December 2020 / Revised: 15 January 2021 / Accepted: 23 January 2021 / Published: 27 January 2021
(This article belongs to the Section Forest Ecology and Management)

Abstract

Estimating tree volume components is an essential element in sustainable forest management. Compatible taper and merchantable outside-bark volume systems based on volume ratio models were globally fitted to four pine species (reduced models) with the aim to select the best reduced model and to fit it with dummy variables and additive effects using Pinus pseudostrobus Lindl as a base species. The study was carried out in the northern mountains of Oaxaca, Mexico. To fit the taper, merchantable volume, stem volume, branch volume, and total tree volume (stem volume and branch volume) equations, a taper dataset of 222, 230, 245, and 333 trees of Pinus douglasiana Martínez (Pd), Pinus oaxacana Mirov (Po), Pinus patula Schltd (Pp), and Pinus pseudostrobus Lindl (Pps), respectively, was used. In general, the compatible systems explained more than 97% in the observed variability for the four studied components: outside-bark diameter ( d ), merchantable outside-bark volume ( V m ), stem outside-bark volume ( V s ), and total tree volume ( V t ). Alternatively, more than 52% of the observed variability for branch volume ( V b ) was also explained. The developed compatible systems based on volume ratio models are a simple and consistent alternative for estimating the outside-bark diameter and variable outside-bark volume, as well as the components of commercial species for uneven-age and mixed-species forests in Oaxaca, Mexico.

1. Introduction

Sustainable forest management incorporates the use of statistical tools for estimating the total and merchantable volume of trees for the correct application of silvicultural treatments in a specific stand or group of stands, estimating the distribution of commercial products and the economic yield [1]. Forest species, site quality, stand density, and silvicultural treatments have a direct relationship with the tree profile [2,3,4] and these elements are used in the formulation of taper and volume systems [1,4,5].
In the last decades, numerous taper models have been proposed, starting with simple hyperbolic expressions, polynomial functions, segmented equations, or spline functions, and directly through volume ratio functions [6,7]. However, several studies have considered that the form of the stem does not correspond to a single equation of dendrometric type, but that the form differs to some extent with the tree species and the point in height along the stem [8]. Furthermore, the development during recent years of new flexible approaches to derive compatible taper and volume systems to which data corresponding to different species and trees with variable stem forms can be accurately fitted (e.g., [1,9,10,11]). Therefore, this is a good justification for reviewing the appropriateness of compatible taper and volume equations systems derived from volume ratio functions which are based on relative tree height for different tree species. Ratio volume equations estimate the volume of a tree up to a certain diameter or height as a percentage of the total tree volume (stem volume and branch volume) [12,13,14,15]. These models consider the fitting of an equation that characterizes the tree form and are mathematical relationships between the diameters or sections of the stem at any point of the tree and the height at which the diameter is estimated [16].
However, up to date most of the research related to the estimation of tree volume has focused on developing compatible tree taper and stem volume models that describe the stem profile and estimate the total or partial stem volume, without considering the volume of branches [17,18]. The total tree volume models that include the branch component are required to provide base information for the sustainable use of the entire tree volume [17,19] because in Mexican forestry the total tree volume is the most important variable for forest management and planning. The suitable estimation of the branch volume is very important because these sections are increasingly used not only for bioenergy purposes but also for quantification of CO2 sequestration in forest ecosystems [20,21]. The estimation of branch volume is also relevant for assessing the potential bioenergy purposes on the soil nutrient and carbon cycle [22].
The objective of this study was to fit three compatible taper and merchantable outside-bark volume equations as simultaneous systems for estimating the taper (d, cm), merchantable outside-bark volume (Vm, m3), stem outside-bark volume (Vs, m3), branch volume (Vb, m3), and total tree volume (Vt, m3) components for main pine species in Oaxaca, Mexico. The model fitting was tested for all combined species with a reduced equations system with the same set of global parameters for the four studied tree species and with a full equation system obtained by expanding in the best reduced system each global parameter by including an associated parameter and a dummy variable to differentiate the species and to assess whether separate models are necessary for the selected pine species.

2. Materials and Methods

2.1. Study Area

The study was carried out in mixed-species forests in the Regional Forest Management Unit (UMAFOR 2001), in the northeast of Oaxaca state in Mexico. The study area covers an area of 195,397 ha. The UMAFOR 2001 is located at geographic coordinates 17-09′56.93′′—17-33′01.82′′ N and 96-16-42.75′′—96-22′29′′ O (Figure 1). The elevation of the sampling areas ranges between 2031–3361 m. The annual mean temperature varies between 3–28 °C, with a mean annual rainfall of 3797 mm [23]. The predominant vegetation type corresponds to pine and oak species, mainly dominated by Pinus oaxacana Mirov, Pinus douglasiana Martínez, Pinus patula Schltdl, Pinus pseudostrobus Lindl, Pinus leiophylla Schiede, Pinus pringlei Shaw, Pinus rudis Endl, Pinus teocote Schltdl, Quercus crassifolia Bonpl, Quercus laurina Bonpl, and Quercus rugosa Née.

2.2. Data

The database considered 3173, 3218, 3660, and 4769 outside-bark diameter measurements at different heights obtained from 222, 230, 245, and 333 trees of Pinus douglasiana Martínez (Pd), Pinus oaxacana Mirov (Po), Pinus patula Schltd (Pp), and Pinus pseudostrobus Lindl (Pps), respectively. All trees were randomly selected in the study area. The diameter, height, site index, and crown class condition were considered. Diameter at breast height (1.3 m above ground level) (dbh; cm) was measured to the nearest 0.1 cm in each tree. The trees were later felled leaving stumps of average height 0.15 m, and total tree height (H; m) was measured to the nearest 0.01 m. The trees were cut into bolts as follows. The first three bolts were of the constant length of 0.3 m and the third log was of variable length because the upper diameter coincided with dbh. These measurements were considered to describe the tree profile in the lower section of each tree in which taper changes so rapidly low on the bole. Subsequent bolts were 2.54 m long. All tree branches, defined as those with a diameter at base greater than or equal to 5 cm, were also sectioned at variable lengths, those lengths ranged from 1.0 to 10 m. The minimum and maximum perpendicular outside-bark diameters were measured in each cross-section (of trunk or branch) to the nearest 0.1 cm and then the arithmetically average was registered. The axes for these measurements depended on the stem form. The volumes of the stem bolts and branches were calculated with the Smalian formula and the top with the cone equation. Table 1 shows the descriptive statistics including number of trees and observations (n), mean, minimum and maximum values, and standard deviation (SD) for the main tree variables of the studied tree species. Figure 2 shows the relative volume versus relative height for the species under study.

2.3. Total Tree Volume Equation

In the forest literature, there are different volume equations to predict tree volume, including the equation of Schumacher and Hall [24], which has been widely used for different commercial species [1,3,25,26], and therefore it was selected to estimate the stem outside-bark volume ( V s ) in this study (Equation (1)). To predict the branch volume ( V b ), the power model was used with a scaled intercept parameter on the exponential function (Equation (2)). Equation (2) is a modification of Equation (1), but the parameter of height variable was not significantly different to zero at 5% of significance level.
V s = α 0 d b h α 1 H α 2
V b = e γ 0   d b h γ 1
where Vs = stem outside-bark volume (m3); dbh = diameter at breast height (cm); Vb = branch volume (m3); H = total tree height (m); α i and γ i = parameters to be estimated through regression analysis.
The parameters of Vs equation correspond to α i   i = 0 ,   1 ,   2 were fully compatible with taper (d) and merchantable volume (Vm) equations. The total tree volume (Vt) was modeled as the sum of Vs and Vb components (Equation (3)).
V t = α 0 d b h α 1 H α 2 + e γ 0 d b h γ 1

2.4. Compatible Taper and Volume Systems Derived from Ratio Functions Based on Relative Height

The ratio volume models that depend on the relative height were studied by Broad and Wake [7], Cao and Burkhart [27], Cao, Burkhart and Max [14], Parresol, et al. [28], Bullock and Burkhart [29], and most recently by Zhao and Kane [9], who used biomass and volume functions for the ratio of commercial height. Van Deusen et al. [30] and Reed and Green [15] derived taper models compatible with volume ratio functions based on total height. The function is R p = V m V s , V m (m3) corresponds to the cumulative volume of the stem from the base to the height h (m) above the ground, where V s (m3) is the total stem volume and p = h H is the ratio between the merchantable (h) and total height (H). Zhao and Kane [9] and Lynch, Zhao, Harges, and McTague [10] proposed four conditions that ratio volume functions must meet are (I) R = 0 ,   if   p = 0 , (II) R = 1 ,   if   h = H , (III) R / h 0 ,   for   0 p 1 y (IV) 2 R / 2 p 0 ,   for   0 p 1 , also these properties were satisfied by Quiñonez-Barraza, Zhao, and De los Santos-Posadas [1] in compatible taper and volume equations for pine species in Durango, Mexico. The compatible taper and volume equations systems using in this study are shown in Table 2. In a preliminary analysis, these three systems performed better than others. These systems were arranged for d , and V m components and were called CS1, CS2, and CS3 [9,10]. These systems are compatible with V s , V b , and V t components in Equations (1)–(3).
The used dummy variables for the full model were considered as additive effects to Pinus pseudostrobus (Pps) because this was the most abundant and representative tree species in the dataset. The dummy variables were expressed following the method studied by Quiñonez-Barraza et al. [31]; I j = 1   if   s p = j   0   o t h e r w i s e , where I j represents the dummy variable for species (sp); j = 2 for Pd, j = 3 for Po, and j = 4 for Pp. The global parameters were rewritten based on dummy variables, so that α i and β i could be represented as α i =   α i 1 + α i 2 I 2 + α i 3 I 3 + α i 4 I 4 and β i =   β i 1 + β i 2 I 2 + β i 3 I 3 + β i 4 I 4 . The full model with dummy variables only considered the significant parameters different from zero at significance level of 1% ( α = 0.01 ) in modeling process.

2.5. Model Fitting, Autocorrelation, Heteroscedasticity, and Equations Comparison

The components of the compatible taper and volume systems were simultaneously fitted using the iterative seemingly unrelated regression technique (ITSUR) [32] with MODEL procedure of the SAS/ETS® [33]. This technique generates an accurately estimated parameter when the error components are correlated in taper or merchantable volume equations for a specific system. The compatibility between the taper and volume equations allowed the estimated parameter to be the same for each CS and these guaranteed optimizations on fitting process by ITSUR technique [1,31,34,35]. To guarantee compatibility by degrees of freedom between the taper and the volume equations ( V s , V b , V t ), we used the ratio of one over the number of sections of each tree (ni), which generated the weight variable (w = 1/ni) [11,31,36,37]. This procedure was incorporated into the SAS script as resid. (   V s ,   V b ,   V t ) = resid.(   V s ,   V b ,   V t ) w for V s ,   V b and V t , respectively. This process allowed to fit the stem volume, total tree volume, and branch volume equations with the same dataset of the taper outside-bark merchantable volume.
The main problems associated with taper and volume equations that do not satisfy the fundamental assumptions of regression analysis are autocorrelation and heteroscedasticity [38]. To correct the autocorrelation of the error term and obtain efficient model parameters [39,40,41], a second-order continuous autocorrelation structure was used (CAR2) [42,43,44].
e ij = d 1 ρ 1 h ij - h ij - 1 e ij - 1 + d 2 ρ 2 h ij - h ij - 2 e ij - 2 +   ε ij
where eij is the jth ordinary residual on the ith individual tree; d 1 = 1 for j > 1 ; d 2 = 1 for j > 2 ; d 1 = 0 for j = 1 ; d 2 = 0 for j 2 ; hij-hij-1 is the distance separating the jth from the jth-1 observations within each tree; hij-hij-2 is the distance separating the jth from the jth-2 observations within each tree; and ρ 1 and ρ 2 , are the first- and second-order autoregressive parameters.
To ensure homoscedasticity in the volume equations, we used a power function of the residual variance ( σ i 2 = d b h 2 H ), the value of was estimated by the method proposed by Harvey [45], using the errors of the fitted equation as dependent variable. The parameters were estimated with the arrangement resid. V m ,   V s ,   V b ,   V t = resid. V m ,   V s ,   V b ,   V t /   d b h 2 H 0.5 for Vs, Vt, and Vb, respectively [1,46]. The fixed s parameter were 1.9423, 1.2813, 1.3214, and 1.8507 for Pd, Po, Pp, and Pps, respectively.
The evaluation and selection of the most efficient compatible system based on volume ratio equations was performed with the known fit statistics as the adjusted coefficient of determination ( R 2 a d j ), the root mean square error (RMSE), the Akaike’s information criterion (AIC), and the average error ( E ). In addition, graphic analyses of the residuals were examined to identify point for which the systems provide especially poor or good predictions [47]. Fit statistics are defined by the following expressions:
R 2 a d j   = 1 - n 1 i = 1 n y i y i 2 n p 1   i = 1 n y i y ¯ 2
RMSE   = i = 1 n y i y ^ i 2 n 1 0.5
A I C = n   l n i = 1 n y i y ^ i 2 n + 2 p
E =   i = 1 n y i y ^ i n
where y i , y ^ i , and y ¯ are the observed, predicted, and average values of the dependent variable ( d ,   V m , V s , V b , and V t ); n is the number of observations; p is the number of parameters for each equation.

3. Results

3.1. Reduced Compatible Systems

Table 3 shows the estimated parameters and the fitting statistics of three reduced compatible taper and volume systems (RCSs) derived from height-based ratio equations analyzed in this study for all combined species. All parameters were significantly different to zero at 1% of the significance level. The systems considered using of a second-order continuous-time autoregressive error structure (CAR2) to correct the autocorrelation of the errors and a power function for heteroscedasticity correction in volume equations ( V m ,   V s ,   V b ,   V t ) . Overall, the three compatible systems accounted for 97% of the variance of d , V m , V s , and V t , and 50% of the variance of Vb. The RMSE values ranged between 1.75 and 2.29 cm for diameter, from 0.17 to 0.19 m3 for merchantable outside-bark volume, from 0.17 to 0.24 for Vs, from 0.0221 to 0.0222 for Vb, and lately from 0.253 to 0.254 for corresponding Vt. The RCS3 offered the best fit statistics in R 2 a d j , RMSE , and E in the components d , V m and V s and slightly better in the components V b and V t .
Figure 3 illustrates the trend of residuals in box and whisker of d and Vm components for each reduce compatible system (RCS1, RCS2, RCS3) by relative height classes (h/H; %). The RCS3 presented better accuracy than RCS1 and RCS2 in the different relative height categories (i.e., both d and Vm residuals are closer to 0 in comparison to RCS1 and RCS2). Thus, the RCS3 was proposed as the most suitable for describing the stem profile and predicting volume component of the four pine studied species.

3.2. Full Compatible System

Table 4 shows the estimated parameters and fitting statistics for the full compatible system (FCS3) based on RCS3 for the five components d ,   V m , V s , V b , and V t , after expanding each parameter by including an associated parameter and a dummy variable to differentiate among species. Results of dummy variables indicate that there were differences among the compatible taper and volume systems from different pine species (i.e., all the associated parameters were different from zero (p < 0.0001)). For the taper equation, the RMSE was 1.74 cm, while for components V m , V s , V t , and Vb, RMSE values were 0.168, 0.234, 0.24119 and 0.02178 m3, respectively. R 2 a d j values were greater than 97.4% for d, V m , V s , and V t equations, and of 52.8% for the V b equation. The full model indicated that estimated α i s are different for all species and just for estimated β 0 s and β 2 s some parameters are the same. Thus, Pps and Po share the same β 0   parameter, while, Pps, Po, and Pd share the same β 2   parameter.
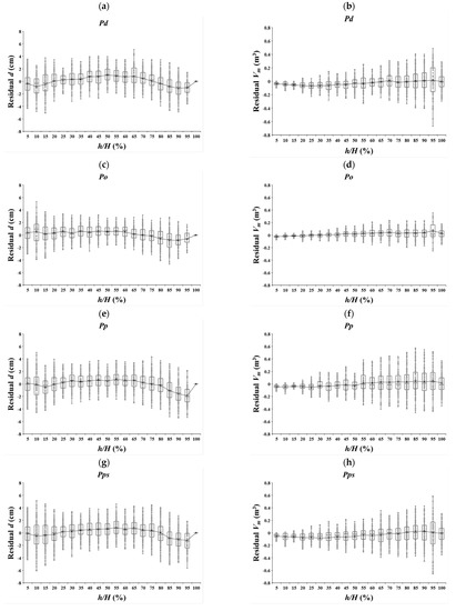
Figure 4 shows the trend of residuals in box and whisker of d and Vm components by relative height (h/H) of the FCS3 system for the pine species studied. According to Figure 4, FCS3 described well the data for both outside-bark diameter along the stem and cumulative stem volume from the base to the height h.

4. Discussion

4.1. Reduced Compatible Systems (RCS)

Three reduced compatible systems based on volume ratio equations evaluated in this study (RCS1, RCS2, and RCS3) allowed accuracy modeling of d, V m , V s , and V t ( R 2 a d j > 0.97) for all combined data of Pd, Po, Pp, and Pps, although they were less accurate in estimating V b ( R 2 a d j = 0.50) in terms of the fit statistics (Table 3). However, RCS3 performed slightly better than the other systems on fitting the data (i.e., it shows higher values of R 2 a d j , lower values of RMSE , and E for the components d , V m , and V s and slightly higher for the components V b and V t ). This compatible system based on ratio volume models was one of the top five for pine species in Durango and Michoacán Mexico [1], and [36], respectively. Moreover, this compatible system was reported as the best for slash pine in Georgia and north Florida, USA [11]. These findings supported the selection of this RCS and then to fit it as a full compatible taper and merchantable outside-bark volume system.
The use of a second-order continuous autocorrelation structure (CAR2) performed similarly for correcting the residual dependency in d for the three evaluated reduced equations systems. This result agrees with previous reports that have shown that a CAR2 allowed correction of residual dependency in compatible taper and volume systems developed for temperate and tropical tree species in Mexico (e.g., Vargas-Larreta, et al. [48]).
The distribution of residuals of studied compatible systems (Figure 3) showed for d , there are not important overestimations or underestimation in all height classes, while for V m small overestimations were observed in the large classes (25 and 55%). However, accuracy was better for RCS3 in all relative height classes compared to RCS1 and RCS2, exhibiting only small overestimations in the height classes of 25–35%. Thus, the reduced compatible system based on volume ratio RCS3 was proposed as the most suitable to be tested as a full model with dummy variables to assess whether separate models are necessary for describing the stem profile and predicting stem volume of the four pine species analyzed in this study. Similar approaches have been used to assess if there are no differences in predicting taper and merchantable volume for different species [31,38,49]. Some differences were showed for loblolly pine in two different plantations of the southeastern USA and Oklahoma USA for the same compatible system [10], also for some pine species in Durango Mexico [1].

4.2. Full Compatible System (FCS)

Results of the simultaneous fitting of FCS3 as full model with dummy variables and additive effects to differentiate among the studied pine species indicated significant differences for all of them and highly accurate predictions of d , V m , V s , V t components, but as for the reduced system, predictions were less accurate in the V b equation. Consequently, stem taper differs among the four species analyzed. This result is consistent with other studies regarding the development of compatible taper and volume systems in different pine species that also reported differences in tree taper [31,38,49]. In these cases, the compatible segmented-stem system reported by Fang et al. [50] was used for accounting differences between stem profiles for different species of Durango Mexico. Recently Quiñonez-Barraza, Zhao, and De los Santos-Posadas [1] reported that the compatible taper and merchantable volume systems based on ratio volume models perform better than the segmented-stem system for most studied species. Consequently, the FCS3 in this study performed well for the four computed species.
The accuracy for predicting of volume branch component of FCS3 was lower ( R 2 a d j = 0.50) in comparison with the other components as commonly reported in the literature [37,51]. According to Ver Planck and MacFarlane [18], tree branches are difficult to model due to the variability of sizes and profile form present in the tree crowns, a situation that explains the relatively low values of fit statistics obtained in predicting this component. However, the estimation of branch volume by FCS3 may help to improve forest inventories by reducing error in whole-tree biomass, volume, or carbon estimation of these ecosystems [52].
The use of a CAR2 autocorrelation structure also corrected the residual dependency in d for FCS3. The distribution of residuals of FCS3 (Figure 4) showed for d there are no important overestimations or underestimation in all height classes and studied species, while for V m small overestimations were observed in the height categories of 25–55% in Pps, and small underestimations in the height categories of 60–75% in Pp. Overestimations are probably caused by the fact that the observed “true” volumes of sectioned trees, calculated using Smalian’s formula, are slightly overestimated [53] and the overlapping bolts method of Bailey [54] should be better than the Smalian method but the percentage gain in fit statistics could be low. A future study could consider the overlapping bolts method for merchantable volume estimations.
The resulting developed full model is integrated by equations that are based on volume ratio functions and they generated consistent results and showed accurate estimations of V m for upper-diameters and -heights and without implementing numerical methods or integration and this is an important element in a parsimonious completely compatible taper, total and merchantable volume [55], also in this case for branch volume and total tree volume. Moreover, its use allowed accurate estimates of taper, merchantable outside-bark volume, stem outside-bark volume, branch volume, and total tree outside-bark volume for Pd, Po, Pp, and Pps.

5. Conclusions

In the present study, accurate completely compatible taper outside-bark volume systems based on ratio volume functions were developed and tested. These compatible systems included predicting for taper, merchantable outside-bark volume, stem outside-bark volume, branch volume, and total tree volume for Pd, Po, Pp, and Pps. The statistical and graphical analysis showed that the compatible taper system RCS3 performed better than RCS1 and RCS2 systems, and thus RCS3 was recommended to be tested as a full system (FCS3) with dummy variables to assess whether separate models are necessary for describing the stem profile of the four pine analyzed species in this study. The simultaneous fitting of FCS3 indicated that the stem taper differs among the four species analyzed and, therefore, separate models are needed; therefore, full model is suitable for the prediction of studied components. The resulting compatible taper and outside-bark volume equations are simple reliable tools for direct estimation of timber stocks and for classification of merchantable products in mixed-forests and uneven-aged forests in the northeast of Oaxaca state, Mexico. These completely compatible taper and volume models could be used to predict merchantable outside-bark volume to different upper-diameter and -heights and total tree volume for studied species and are a good biometric tool for informed decision-making in forest management and planning.

Author Contributions

Data analysis, model fitting, manuscript writing, A.C.-L., G.Q.-B., U.D.-A., and J.J.C.-R.; manuscript review and statistical support, A.C.-L., G.Q.-B., U.D.-A., and J.J.C.-R. All authors have read and agreed to the published version of the manuscript.

Funding

This study was partially financed by the CONAFOR—CONACYT funding for the project called Biometric system for the planning of sustainable forest management of ecosystems with timber potential in Mexico.

Data Availability Statement

Data sharing is not applicable to this article.

Acknowledgments

The main author would like to thank the Mexican Council of Science and Technology (CONACYT) for sponsoring his doctoral studies at Universidad Juárez del Estado de Durango.

Conflicts of Interest

The authors declare no conflict of interest.

References

  1. Quiñonez-Barraza, G.; Zhao, D.; De los Santos-Posadas, H.M. Compatible Taper and Stem Volume Equations for Five Pine Species in Mixed-Species Forests in Mexico. For. Sci. 2019, 65, 602–613. [Google Scholar] [CrossRef]
  2. Hocker, H.W. Introducción a La Biología Forestal; AGT: Mexico DF, Mexico, 1984; 446p. [Google Scholar]
  3. Hernández Pérez, D.; de los Santos Posadas, H.M.; Ángeles Pérez, G.; Valdez Lazalde, J.R.; Haller, V.; Hugo, V. Taper and Commercial volume system for Pinus patula Schltdl. et Cham. in Zacualtipán, Hidalgo State. Rev. Mex. De Cienc. For. 2013, 4, 34–45. [Google Scholar]
  4. Uranga-Valencia, L.P.; De los Santos-Posadas, H.M.; Valdez-Lazalde, J.R.; López-Upton, J.; Navarro-Garza, H. Total volume and taper for Pinus patula Schiede ex Schltdl. et Cham. at three forest conditions. Agrociencia 2015, 49, 787–801. [Google Scholar]
  5. Ramírez-Martínez, A.; Santiago-García, W.; Quiñonez-Barraza, G.; Ruiz-Aquino, F.; Antúnez, P. Taper and total volume model for Pinus ayacahuite Ehren. Madera Y Bosques 2018, 24, 24. [Google Scholar] [CrossRef]
  6. Burkhart, H.E.; Tomé, M. Modeling Forest Trees and Stands; Springer Science & Business Media: New York, NY, USA, 2012; 497p. [Google Scholar]
  7. Broad, L.R.; Wake, G.C. Derivative Based Methods for Constructing Volume-Ratio and Taper Equations. For. Sci. 1995, 41, 157–167. [Google Scholar] [CrossRef]
  8. Herrero, C.; Lizarralde, I.; Bravo, F. Ecuaciones de perfil de fuste para Pinus sylvestris y Quercus pyrenaica en los páramos ácidos de Castilla y León. In Proceedings of the IV Congreso Forestal Español, Zaragoza, Spain, 1 June 2005. [Google Scholar]
  9. Zhao, D.; Kane, M. New Variable-Top Merchantable Volume and Weight Equations Derived Directly from Cumulative Relative Profiles for Loblolly Pine. For. Sci. 2017, 63, 261–269. [Google Scholar] [CrossRef]
  10. Lynch, T.B.; Zhao, D.; Harges, W.; McTague, J.P. Deriving compatible taper functions from volume ratio equations based on upper-stem height. Can. J. For. Res. 2017, 47, 1424–1431. [Google Scholar] [CrossRef]
  11. Zhao, D.; Lynch, T.B.; Westfall, J.; Coulston, J.; Kane, M.; Adams, D.E. Compatibility, Development, and Estimation of Taper and Volume Equation Systems. For. Sci. 2018, 65, 1–13. [Google Scholar] [CrossRef]
  12. Burkhart, H.E. Cubic-foot volume of loblolly pine to any merchantable top limit. South. J. Appl. For. 1977, 1, 7–9. [Google Scholar] [CrossRef]
  13. Clutter, J.L.J.F.S. Development of taper functions from variable-top merchantable volume equations. For. Sci. 1980, 26, 117–120. [Google Scholar] [CrossRef]
  14. Cao, Q.V.; Burkhart, H.E.; Max, T.A.J.F.S. Evaluation of two methods for cubic-volume prediction of loblolly pine to any merchantable limit. For. Sci. 1980, 26, 71–80. [Google Scholar] [CrossRef]
  15. Reed, D.D.; Green, E.J.J.F.S. Compatible stem taper and volume ratio equations. For. Sci. 1984, 30, 977–990. [Google Scholar] [CrossRef]
  16. Dorado, F.C.; Gonzalez, J.A.J.F.S. Construcción de una tarifa de cubicación con clasificación de productos para Pinus radiata D. Don en Galicia basada en una función de perfil del tronco. For. Syst. 2000, 9, 253–268. [Google Scholar]
  17. MacFarlane, D.W. Predicting branch to bole volume scaling relationships from varying centroids of tree bole volume. Can. J. For. Res. 2010, 40, 2278–2289. [Google Scholar] [CrossRef]
  18. Ver Planck, N.R.; MacFarlane, D.W. Modelling vertical allocation of tree stem and branch volume for hardwoods. For. Int. J. For. Res. 2014, 87, 459–469. [Google Scholar] [CrossRef]
  19. Zakrzewski, W.T. Estimating Wood Volume of the Stem and Branches of Sugar Maple (Acer saccharum Marsh.) Using a Stem Profile Model with Implicit Height. For. Sci. 2011, 57, 117–133. [Google Scholar] [CrossRef]
  20. Gasol, C.M.; Martínez, S.; Rigola, M.; Rieradevall, J.; Anton, A.; Carrasco, J.; Ciria, P.; Gabarrell, X. Feasibility assessment of poplar bioenergy systems in the Southern Europe. Renew. Sustain. Energy Rev. 2008, 13, 801–812. [Google Scholar] [CrossRef]
  21. Tavankar, F.; Eynollahi, Y. Amount and characteristics of logging residues in selection cutting stand in the Northern forests of Iran. Int. J. Biosci. 2013, 3, 35–42. [Google Scholar]
  22. Merino, A.; Balboa, M.; Soalleiro, R.R.; Gonzalez, J.A. Nutrient exports under different harvesting regimes in fast-growing forest plantations in southern Europe. For. Ecol. Manag. 2005, 207, 325–339. [Google Scholar] [CrossRef]
  23. García, E.J.C. Clasificación climática según Köppen modificada por Enriqueta García; Universidad Nacional Autónoma de México: Mexico City, México, 2004; 97p. [Google Scholar]
  24. Schumacher, F.X.; Hall, F.D.S. Logarithmic expression of timber-tree volume. J. Agric. Res. 1933, 47, 719–734. [Google Scholar]
  25. Sun, Y.; Liang, X.; Liang, Z.; Welham, C.; Li, W. Deriving Merchantable Volume in Poplar through a Localized Tapering Function from Non-Destructive Terrestrial Laser Scanning. Forests 2016, 7, 87. [Google Scholar] [CrossRef]
  26. Ramos-Uvilla, J.A.; García-Magaña, J.J.; Hernández-Ramos, J.; García-Cuevas, X.; Velarde-Ramírez, J.C.; Muñoz-Flores, H.J.; García Espinoza, G.G. Ecuaciones y tablas de volumen para dos especies de Pinus de la Sierra Purhépecha, Michoacán. Rev. Mex. De Cienc. For. 2014, 5, 92–109. [Google Scholar]
  27. Cao, Q.v.; Burkhart, H.E. Cubic-foot volume of loblolly pine to any height limit. South. J. Appl. For. 1980, 4, 166–168. [Google Scholar] [CrossRef]
  28. Parresol, B.R.; Hotvedt, J.E.; Cao, Q.V. A volume and taper prediction system for bald cypress. Can. J. For. Res. 1987, 17, 250–259. [Google Scholar] [CrossRef]
  29. Bullock, B.P.; Burkhart, H.E. Equations for Predicting Green Weight of Loblolly Pine Trees in the South. South. J. Appl. For. 2003, 27, 153–159. [Google Scholar] [CrossRef]
  30. Van Deusen, P.C.; Matney, T.G.; Sullivan, A.D. A Compatible System for Predicting the Volume and Diameter of Sweetgum Trees to any Height. South. J. Appl. For. 1982, 6, 159–163. [Google Scholar] [CrossRef]
  31. Quiñonez-Barraza, G.; De los Santos-Posadas, H.M.; Álvarez-González, J.G.; Velázquez-Martínez, A. Compatible taper and merchantable volume systme for major pine species in Durango, Mexico. Agrociencia 2014, 48, 553–567. [Google Scholar]
  32. Zellner, A. An Efficient Method of Estimating Seemingly Unrelated Regressions and Tests for Aggregation Bias. J. Am. Stat. Assoc. 1962, 57, 348–368. [Google Scholar] [CrossRef]
  33. SAS Institute. SAS/GRAPH 9.1 Reference; SAS Institute: Cary, NC, USA, 2004. [Google Scholar]
  34. Borders, B.E.; Patterson, W.D. Projecting Stand Tables: A Comparison of the Weibull Diameter Distribution Method, a Percentile-Based Projection Method, and a Basal Area Growth Projection Method. For. Sci. 1990, 36, 413–424. [Google Scholar] [CrossRef]
  35. Santiago-García, W.; Pérez-López, E.; Quiñonez-Barraza, G.; Rodríguez-Ortiz, G.; Santiago-García, E.; Ruiz-Aquino, F.; Tamarit-Urias, J. A Dynamic System of Growth and Yield Equations for Pinus patula. Forests 2017, 8, 465. [Google Scholar] [CrossRef]
  36. García-Espinoza, G.; Aguirre-Calderón, O.; Quiñonez-Barraza, G.; Alanís-Rodríguez, E.; De los Santos-Posadas, H.; García-Magaña, J. Taper and Volume Systems Based on Ratio Equations for Pinus pseudostrobus Lindl. in Mexico. Forests 2018, 9, 344. [Google Scholar] [CrossRef]
  37. Quiñonez-Barraza, G.; Zhao, D.; de los Santos-Posadas, H.M.; Santiago-García, W.; Tamarit-Urias, J.C.; Nájera-Luna, J.A. Compatible taper, volume, green weight, biomass and carbon concentrationsystem for Quercus sideroxyla Bonpl. Rev. Chapingo Ser. Hortic. 2018, XXV, 49–69. [Google Scholar] [CrossRef]
  38. Corral-Rivas, J.J.; Diéguez-Aranda, U.; Corral Rivas, S.; Castedo Dorado, F. A merchantable volume system for major pine species in El Salto, Durango (Mexico). For. Ecol. Manag. 2007, 238, 118–129. [Google Scholar] [CrossRef]
  39. Parresol, B.R.; Vissage, J.S. White Pine Site Index for the Southern Forest Survey; U.S. Department of Agriculture, Forest Service, Southern Research Station: Asheville, NC, USA, 1998. [CrossRef]
  40. Parresol, B.R. Modeling Multiplicative Error Variance: An Example Predicting Tree Diameter from Stump Dimensions in Baldcypress. For. Sci. 1993, 39, 670–679. [Google Scholar] [CrossRef]
  41. Castillo-López, A.; Santiago-García, W.; Vargas-Larreta, B.; Quiñonez-Barraza, G.; Solis-Moreno, R.; Corral Rivas, J.J. Dynamic site index models for four pine species in Oaxaca. Rev. Mex. De Cienc. For. 2018, 9, 9. [Google Scholar] [CrossRef]
  42. Zimmerman, D.L.; Núñez-Antón, V.; Gregoire, T.G.; Schabenberger, O.; Hart, J.D.; Kenward, M.G.; Molenberghs, G.; Verbeke, G.; Pourahmadi, M.; Vieu, P.; et al. Parametric modelling of growth curve data: An overview. Test 2001, 10, 1–73. [Google Scholar] [CrossRef]
  43. Nord-Larsen, T.; Cao, Q.V. A diameter distribution model for even-aged beech in Denmark. For. Ecol. Manag. 2006, 231, 218–225. [Google Scholar] [CrossRef]
  44. Crecente-Campo, F.; Rojo Alboreca, A.; Diéguez-Aranda, U.J.A.F.S. A merchantable volume system for Pinus sylvestris L. in the major mountain ranges of Spain. Ann. Sci. 2009, 66, 808. [Google Scholar] [CrossRef]
  45. Harvey, A.C. Estimating Regression Models with Multiplicative Heteroscedasticity. Econometrica 1976, 44, 461–465. [Google Scholar] [CrossRef]
  46. Tang, X.; Pérez-Cruzado, C.; Fehrmann, L.; Álvarez-González, J.G.; Lu, Y.; Kleinn, C. Development of a compatible taper function and stand-level merchantable volume model for Chinese fir plantations. PLoS ONE 2016, 11, e0147610. [Google Scholar] [CrossRef] [PubMed]
  47. Goelz, J.; Burk, T. Development of a well-behaved site index equation: Jack pine in north central Ontario. Can. J. For. Res. 1992, 22, 776–784. [Google Scholar] [CrossRef]
  48. Vargas-Larreta, B.; Corral-Rivas, J.J.; Aguirre-Calderón, O.A.; López-Martínez, J.O.; De los Santos-Posadas, H.M.; Zamudio-Sánchez, F.J.; Treviño-Garza, E.J.; Martínez-Salvador, M.; Aguirre-Calderón, C.G. SiBiFor: Sistema Biométrico Forestal para el manejo de los bosques de México. Rev. Chapingo Ser. Hortic. 2017, XXIII, 437–455. [Google Scholar] [CrossRef]
  49. López-Martínez, J.O.; Vargas-Larreta, B.; Aguirre-Calderón, O.A.; Aguirre-Calderón, C.G.; Macario-Mendoza, P.A.; Martínez-Salvador, M.; Álvarez-González, J.G. Compatible taper-volume systems for major tropical species in Mexico. For. Int. J. For. Res. 2019, 93, 56–74. [Google Scholar] [CrossRef]
  50. Fang, Z.; Borders, B.E.; Bailey, R.L. Compatible Volume-Taper Models for Loblolly and Slash Pine Based on a System with Segmented-Stem Form Factors. For. Sci. 2000, 46, 1–12. [Google Scholar] [CrossRef]
  51. Simental-Cano, B.; López-Sánchez, C.A.; Wehenkel, C.; Vargas-Larreta, B.; Álvarez-González, J.G.; Corral-Rivas, J.J. Species-specific and regional volume models for 12 forest species in Durango, Mexico. Rev. Chapingo. Ser. Cienc. For. Y Del Ambiente 2017, 23, 155–171. [Google Scholar] [CrossRef]
  52. Valenzuela, C.; Acuña, E.; Ortega, A.; Quiñonez-Barraza, G.; Corral-Rivas, J.; Cancino, J. Variable-top stem biomass equations at tree-level generated by a simultaneous density-integral system for second growth forests of roble, raulí, and coigüe in Chile. J. For. Res. 2019, 30, 993–1010. [Google Scholar] [CrossRef]
  53. Kozak, A. A variable-exponent taper equation. Can. J. For. Res. 1988, 18, 1363–1368. [Google Scholar] [CrossRef]
  54. Bailey, R.L. Upper stem volumes from stem analysis data: An overlapping bolts method. Can. J. For. Res. 1995, 25, 170–173. [Google Scholar] [CrossRef]
  55. Jordan, L.; Berenhaut, K.; Souter, R.; Daniels, R.F. Parsimonious and Completely Compatible Taper, Total, and Merchantable Volume Models. For. Sci. 2005, 51, 578–584. [Google Scholar] [CrossRef]
Figure 1. Location of the study area in Oaxaca, Mexico.
Figure 1. Location of the study area in Oaxaca, Mexico.
Forests 12 00145 g001
Figure 2. Relative volume ( V m / V s ) and relative height (h/H) for Pinus douglasiana (Pd; a); Pinus oaxacana (Po; b); Pinus patula (Pp; c); and Pinus pseudostrobus (Pps; d).
Figure 2. Relative volume ( V m / V s ) and relative height (h/H) for Pinus douglasiana (Pd; a); Pinus oaxacana (Po; b); Pinus patula (Pp; c); and Pinus pseudostrobus (Pps; d).
Forests 12 00145 g002
Figure 3. Distribution of residuals of d and V m of the reduced compatible systems RCS1 (a,b), RCS2 (c,d), and RCS3 (e,f); “o” is the mean, “-” is the median, and “I” is the error bar representing the interquartile range (Q1–Q3).
Figure 3. Distribution of residuals of d and V m of the reduced compatible systems RCS1 (a,b), RCS2 (c,d), and RCS3 (e,f); “o” is the mean, “-” is the median, and “I” is the error bar representing the interquartile range (Q1–Q3).
Forests 12 00145 g003
Figure 4. Distribution of the residuals of outside-bark d and V m of FCS3 for Pd (a,b), Po (c,d), Pp (e,f), and Pps (g,h); “o” is the mean, “-” the median of the residuals, and “I” the error bar representing the interquartile range (Q1–Q3).
Figure 4. Distribution of the residuals of outside-bark d and V m of FCS3 for Pd (a,b), Po (c,d), Pp (e,f), and Pps (g,h); “o” is the mean, “-” the median of the residuals, and “I” the error bar representing the interquartile range (Q1–Q3).
Forests 12 00145 g004
Table 1. Descriptive statistics of the studied pine tree species.
Table 1. Descriptive statistics of the studied pine tree species.
SpeciesVariableTreesnMinimumMeanMaximumSD
Pddbh (cm)22231738.9539.0274.0013.46
H (m)7.4025.1138.986.24
d (cm)0.0026.1684.6016.16
h (m)0.0811.2738.989.48
V m (m3)0.00000.99435.91681.0681
V s (m3)0.03601.66185.91681.1787
V b (m3)0.00050.02300.32670.0382
V t (m3)0.04021.68486.13811.2044
Podbh (cm)23032188.5532.3170.5011.92
H (m)7.8425.6940.616.04
d (cm)0.0021.6477.2513.72
h (m)0.0311.0840.619.39
V m (m3)0.00000.65365.79100.8069
V s (m3)0.03631.10585.79100.9693
V b (m3)0.00050.01350.14410.0199
V t (m3)0.04051.11925.90580.9837
Ppdbh (cm)24536609.6041.5480.5015.23
H (m)7.1029.9449.287.62
d (cm)0.0028.1488.5016.91
h (m)0.0513.2149.2811.04
V m (m3)0.00001.33668.94781.5338
V s (m3)0.02422.28168.94781.8388
V b (m3)0.00030.02520.17590.0301
V t (m3)0.02842.30689.07211.8628
Ppsdbh (cm)33347698.3039.6081.1514.63
H (m)9.3628.1845.556.86
d (cm)0.0027.0991.5016.68
h (m)0.0712.2845.5510.39
V m (m3)0.00001.13569.21501.3631
V s (m3)0.04251.97199.21501.6818
V b (m3)0.00040.02670.38760.0390
V t (m3)0.04671.99869.31171.7080
n = number of observations; SD = standard deviation; dbh = diameter at breast height (cm); H = total tree height (m); d = outside-bark diameter at height h (cm); h = upper-height measure from the ground to the top tree height (m); V m = merchantable outside-bark volume (m3); V s = stem outside-bark volume (m3); V b = branch volume (m3); V t = total tree stem volume (m3).
Table 2. Compatible taper and merchantable volume systems based on volume ratio models fitted to studied species.
Table 2. Compatible taper and merchantable volume systems based on volume ratio models fitted to studied species.
SystemEquation
CS1 V m   =   α 0 d b h α 1 H α 2   h H   e x p β 0 1 h H ε i j ; 0 < β 0 1 ,   0 h H 1
d   =   α 0 d b h α 1 H α 2 H k e x p β 0 1 h H 1 β 0 h H 0.5 + ε i j
CS2 V m   = α 0 d b h α 1 H α 2   1 1 h H β 0 e x p β 1 h H ε i j ; β 0 1 , β 1 > 0   , 0 h H 1
d   = α 0 d b h α 1 H α 2 H k e x p β 1 h H 1 h H β 0 1 β 0 + β 1 1 h H 0.5 + ε i j
CS3 V m   =   α 0 d b h α 1 H α 2 1 1 h H β 0 1 β 1 e x p e x p β 2 d b h α 1 H α 2 ε i j ; β 0 0   ,   0 h H 1
d   =   α k H α 0 d b h α 1 H α 2 1 h H β 0 1 1 β 1 e x p e x p β 2 d b h α 1 H α 2 1 1 h H α β 1 e x p e x p β 2 d b h α 1 H α 2 0.5 + ε i j
V m = merchantable outside-bark volume from the base to the height h (m); dbh = diameter at breast height (cm); H = total tree height (m); h = upper height (m); d = upper diameter at height h; k = π/40,000 for metric units; α i , β i = parameters to be estimated; ε i j   = error of jth measurement in the ith tree.
Table 3. Parameter estimates and fit statistics for the reduced compatible systems analyzed.
Table 3. Parameter estimates and fit statistics for the reduced compatible systems analyzed.
SystemParameterEstimatorSEt-ValuePr > |t|Component R 2 a d j RMSEAIC E
RCS1 α 0 0.0000650.00000164.83<0.00001 d 0.9802.294024617.80.259
α 1 1.9720950.004204469.06<0.00001 V m 0.9770.1919−48929−0.052
α 2 0.8481430.005625150.77<0.00001 V s 0.9720.2472−2871.4−0.005
β 0 0.9813340.001591616.85<0.00001 V b 0.5090.0222−7831.30.001
γ 0 −15.4347980.112485−137.22<0.00001 V t 0.9710.2539−2814.3−0.005
γ 1 3.0879800.027454112.48<0.00001
ρ 1 0.8883750.003789234.45<0.00001
ρ 2 0.3155850.00719943.84<0.00001
RCS2 α 0 0.0000650.00000164.38<0.00001 d 0.9802.273524352.80.185
α 1 1.9713780.004209468.43<0.00001 V m 0.9780.1902−49190−0.048
α 2 0.8499370.005626151.07<0.00001 V s 0.9720.2472−2871.4−0.005
β 0 1.6595960.01748194.94<0.00001 V b 0.5090.0222−7831.30.001
β 1 1.0397160.02171447.88<0.00001 V t 0.9710.2539−2814.2−0.004
γ 0 −15.4322120.112549−137.12<0.00001
γ 1 3.0872660.027468112.39<0.00001
ρ 1 0.8897720.003760236.65<0.00001
ρ 2 0.3265980.00746843.73<0.00001
RCS3 α 0 0.0000610.00000164.54<0.00001 d 0.9881.756616707.80.019
α 1 1.9753900.004096482.27<0.00001 V m 0.9810.1749−51673.1−0.021
α 2 0.8595960.005357160.47<0.00001 V s 0.9720.2474−2869.60.005
β 0 2.0165400.005936339.70<0.00001 V b 0.5090.0221−7831.20.001
β 2 0.3804760.00388497.95<0.00001 V t 0.9710.2541−2812.20.005
β 3 0.0000020.00000015.19<0.00001
γ 0 −15.5299460.113751−136.53<0.00001
γ 1 3.1095740.027748112.07<0.00001
ρ 1 0.9195660.004373210.30<0.00001
ρ 2 0.8196010.004317189.84<0.00001
S E = the standard error of the parameter; t-value = the value of the student’s t distribution; Pr > |t| = the probability value associated with student’s t-distribution; R 2 a d j = adjusted coefficient of determination; RMSE = root mean square error, AIC = Akaike’s criterion information, E = absolute mean error. *Noted that gamma parameters represent the branch equation (Equation (2)).
Table 4. Estimated parameters and fit statistics of the simultaneous fitting of full compatible system (FCS3).
Table 4. Estimated parameters and fit statistics of the simultaneous fitting of full compatible system (FCS3).
SystemParameterEstimatorSEt–ValuePr > |t|
FCS3 α 0 (Pps)0.0000620.00000236.30<0.00001
α 0 (Pd)0.0000450.0000049.99<0.00001
α 0 (Po)−0.0000300.000002−14.33<0.00001
α 0 (Pp)0.0000210.0000037.56<0.00001
α 1 (Pps)2.0926340.006420325.75<0.00001
α 1 (Pd)−0.2099800.011200−18.82<0.00001
α 1 (Po)−0.0526600.012500−4.20<0.00001
α 1 (Pp)−0.2731100.009830−27.79<0.00001
α 2 (Pps)0.7320780.00950077.05<0.00001
α 2 (Pd)0.0707960.0163004.34<0.00001
α 2 (Po)0.2387580.01700014.05<0.00001
α 2 (Pp)0.2172090.01360015.97<0.00001
β 0 (Pps)2.0079680.008380239.74<0.00001
β 0 (Pd)0.1361650.0155008.80<0.00001
β 0 (Pp)−0.0741900.013400−5.53<0.00001
β 1 (Pps)0.4065360.00588069.15<0.00001
β 1 (Pd)−0.0852700.008330−10.24<0.00001
β 1 (Po)0.0796010.0081809.73<0.00001
β 1 (Pp)−0.0759600.009430−8.06<0.00001
β 2 (Pps)0.0000030.00000020.40<0.00001
β 2 (Pp)−0.0000040.000000−9.14<0.00001
ρ 1 (Pps)0.9156680.004430206.91<0.00001
ρ 2 (Pps)0.8158280.004420184.73<0.00001
γ 0 (Pps)−14.2674000.163000−87.54<0.00001
γ 0 (Pd)−7.1460900.346600−20.62<0.00001
γ 0 (Po)−1.5224700.390500−3.90<0.00001
γ 0 (Pp)−2.1774000.296700−7.34<0.00001
γ 1 (Pps)2.8160730.03980070.75<0.00001
γ 1 (Pd)1.7684500.08410021.02<0.00001
γ 1 (Po)0.3645100.0984003.700.0002
γ 1 (Pp)0.4800060.0717006.70<0.00001
Component R 2 a d j RMSEAIC E
d 0.98851.7400616428.1780.039
V m 0.98260.16808−52848.07−0.019
V s 0.9750.23406−2983.5560.007
V b 0.52820.02178−7871.2560.001
V t 0.97420.24119–2919.8680.008
S E = the standard error of the parameter, t-value = value of the student’s t distribution, Pr > |t| = probability value associated with student’s t-distribution; R 2 a d j = adjusted coefficient of determination; RMSE = root mean square error, AIC = Akaike’s criterion information, E = absolute mean error.
Publisher’s Note: MDPI stays neutral with regard to jurisdictional claims in published maps and institutional affiliations.

Share and Cite

MDPI and ACS Style

Castillo-López, A.; Quiñonez-Barraza, G.; Diéguez-Aranda, U.; Corral-Rivas, J.J. Compatible Taper and Volume Systems Based on Volume Ratio Models for Four Pine Species in Oaxaca Mexico. Forests 2021, 12, 145. https://doi.org/10.3390/f12020145

AMA Style

Castillo-López A, Quiñonez-Barraza G, Diéguez-Aranda U, Corral-Rivas JJ. Compatible Taper and Volume Systems Based on Volume Ratio Models for Four Pine Species in Oaxaca Mexico. Forests. 2021; 12(2):145. https://doi.org/10.3390/f12020145

Chicago/Turabian Style

Castillo-López, Albert, Gerónimo Quiñonez-Barraza, Ulises Diéguez-Aranda, and José Javier Corral-Rivas. 2021. "Compatible Taper and Volume Systems Based on Volume Ratio Models for Four Pine Species in Oaxaca Mexico" Forests 12, no. 2: 145. https://doi.org/10.3390/f12020145

APA Style

Castillo-López, A., Quiñonez-Barraza, G., Diéguez-Aranda, U., & Corral-Rivas, J. J. (2021). Compatible Taper and Volume Systems Based on Volume Ratio Models for Four Pine Species in Oaxaca Mexico. Forests, 12(2), 145. https://doi.org/10.3390/f12020145

Note that from the first issue of 2016, this journal uses article numbers instead of page numbers. See further details here.

Article Metrics

Back to TopTop