Abstract
Invasive plants are a concern in many forest ecosystems because they can impact tree regeneration and recruitment, alter hydrology, and degrade wildlife habitats. Management efforts are generally planned locally, based on the severity of the infestation, species involved, and characteristics of the forest stand. A broad, landscape-level context can provide additional information and help with planning efforts but is often lacking. In this study, we estimated landscape-level priorities for the management of five invasive forest plants in Minnesota. We used a multi-criteria decision analysis approach to integrate plant distribution models and data with geographic information about areas of conservation concern, recreational areas, and the economic benefits of treatment. The results varied across Ecological Classification System provinces and Minnesota native plant community classes. Four of the five invasive plants considered demonstrated an abundance of Medium- and High-priority areas for management in the Eastern Broadleaf Forest province of Minnesota. The average priority was generally lower in the Prairie Parklands and Tallgrass Aspen Parklands provinces, with Rhamnus cathartica as the only species demonstrating Medium or higher priorities in the latter. The mean priorities were Medium or higher for R. cathartica and Frangula alnus in mesic hardwood community types across the state, in addition to several fire-dependent systems. The priority distribution was most limited for Rosa multiflora, where the only Medium or higher priority results were found in a mesic hardwood system in the southeastern corner of the state. The results presented here highlight broad-scale patterns that can provide a synoptic overview of invasive plant priorities at the landscape scale.
1. Introduction
Early estimates for the damage and control efforts for invasive species across the globe were USD 120 billion []. Non-native invasive plants are a primary concern in forest ecosystems because they inhibit tree regeneration and recruitment, alter hydrology, and degrade wildlife habitats [,]. The impacts of specific invasive plant species on a site are not homogeneous and result in differences in ecosystem productivity and processes [], providing a requirement for diverse data sources to understand the effectiveness of treatments along with economic outcomes. Given this, there is an urgent need to integrate distribution modeling efforts with analytical methods to prioritize invasive plant management that will guide the development of strategic forest planning.
Decisions to conduct invasive plant management treatments are made locally depending on forest stand characteristics and the severity of an infestation, among other factors. Forest management actions may encourage the spread and establishment of invasive plants; however, best management practices can be implemented in an attempt to maintain the health of a forest, e.g., through sustaining tree growth and maintaining diverse native trees and plants []. What is overlooked in local forest management decisions is how the spatial distribution, e.g., the presence and abundance of forest invasive plants across vast areas, may influence a manager’s decision to implement invasive plant treatments. Fortunately, analytical techniques such as multi-criteria decision analyses [] can incorporate different weighting schemes depending on factors such as invasive plant presence and abundance, the proximity to forests of conservation concern, and the economic benefits of invasive plant treatment. Such techniques allow for the strategic prioritization of forest invasive plants across large geographic regions.
Invasive plants present economic and ecological challenges in forests of the northern United States (US []). In particular, the US state of Minnesota is susceptible to a variety of invasive plants due to its location at the confluence of several major biomes including vast forested regions and prairie. Minnesota also has a strong outdoor recreation and nature-based tourism heritage, which has economic benefits but also risks the introduction and spread of invasive species [,]. The state also has a large forest product industry, and managers are increasingly concerned about the impacts of invasive plants on tree regeneration and developing new silvicultural strategies to manage healthy forests with diverse species and ages []. While future climate change is anticipated to alter the distribution of invasive plants [], little information exists on how to prioritize the management of current invasive plant populations across diverse forests. Analyses that integrate a variety of individual perspectives along with current data on distributions can help to limit the distribution and spread of invasive plants across forests.
Here, our goal was to create landscape-level prioritizations for the management of five invasive forest plants in Minnesota: common buckthorn (Rhamnus cathartica), glossy buckthorn (Frangula alnus), garlic mustard (Alliaria petiolata), multiflora rose (Rosa multiflora), and knotweeds (Polygonum spp. or Reynoutria spp.) in the context of the estimated distribution, known report density, economic benefit of treatment, and proximity to areas of conservation interest and trails. We pursued this goal by obtaining and processing a variety of plant location and distribution data and leveraging a multi-criteria decision analysis (MCDA).
2. Materials and Methods
2.1. Study Area and Species
This study considered the distribution of priority areas for invasive forest plant management across the U.S. state of Minnesota. Land cover across the state varies from the Laurentian mixed forests in the northeast to mixed hardwoods in the central and southeast and to a landscape dominated by agriculture in the west and southwest regions (Figure 1). Northeastern Minnesota forests are dominated by pine (Pinus spp.), with significant amounts of spruce (Picea spp.), quaking aspen (Populus tremuloides), balsam fir (Abies balsamea), and paper birch (Betula papyrifera). Central and southeastern forests are dominated by oak (Quercus spp.) and maple (Acer spp.), though quaking aspen and basswood (Tilia americana) are also common [].

Figure 1.
Minnesota’s location within the United States (left), and Ecological Classification System (ECS) provinces of Minnesota (right).
The invasive plants considered in this study include R. cathartica, F. alnus, A. petiolata, R. multiflora, and Polygonum spp. (Table 1). Each of these species is known to invade forest understories, gaps, or forest edges. Four of these species (R. cathartica, F. alnus, A. petiolata, and R. multiflora) are classified as Restricted by the Minnesota Department of Agriculture, while Polygonum spp. are listed as Control species. Restricted species have prohibitions on importation, sale, and transportation, whereas Control species are mandated to be actively controlled by preventing spread and dispersal []. Natural resource and conservation professionals have expressed concern regarding these species in previous work, including economic, recreational, and conservation considerations [].

Table 1.
Information on invasive plant species included in this study.
2.2. Data and Processing
Plant distribution estimates were obtained for all the species by leveraging the current-day distribution models created by Reinhardt et al. []. These distribution estimates were created using plant location data sourced from the Early Detection & Distribution Mapping System (EDDMapS) [] and the USDA Forest Service’s Forest Inventory and Analysis (FIA) database []. These location data were used alongside environmental data spanning a 30-year climate normal (WorldClim 1.4) [], soil data (STATSGO) [], and elevation []. A random forest [] approach was used to create the distribution models.
The reported plant density was estimated by computing the kernel density of verified reports from EDDMapS and the FIA database using the Kernel Density tool in ArcGIS Pro, using the search radius defined by Silverman’s [] rule of thumb. The proximity to areas of conservation interest was computed by obtaining lists and maps of Minnesota Scientific and Natural Areas (SNAs), Sites of Biodiversity Significance as defined by the Minnesota Biological Survey, and Minnesota Rail Prairies. Similarly, the proximity to recreational trails was computed by obtaining statewide maps of trails from the Minnesota Department of Natural Resources’ (DNR) Division of Parks and Trails, National Park trails, National Forest trails, and the Superior Hiking Trail. The proximities to areas of conservation interest and trails were each computed using the Distance tool in ArcGIS Pro to create a distance-to-feature raster.
The economic benefit of treatment for each species was computed based on cost–benefit data and land cover. The land cover data used were a combination of the National Land Cover Dataset (“NLCD”; 2016 data) and CropScape [], wherein areas defined by the NLCD as cropland (NLCD code 82: “Cultivated Crops” and 81: “Pasture/Hay”) were given further detail via CropScape data (i.e., soybeans, corn, alfalfa, etc.). The economic benefit of treatment was assessed based on estimates of the damage or lost value associated with each invasive plant from available literature compared with the cost of control. The costs for chemical control were based on retail prices and recommended application rates. The application costs for the chemicals, and the costs for other types of control such as mechanical removal, were based on reports of actual treatments. The estimates of damage or lost value were obtained by reviewing the literature. Where multiple controls were available for a given species, the control with the greatest net benefit was selected and included in the benefit calculations. Likewise, where multiple species were present, the two species with the greatest net benefit were included in the benefit calculations. A full description of the economic analysis can be found in Lazarus [].
The distribution estimates, known report density, proximity to areas of conservation interest and trails, and estimated economic benefit of treatment were all normalized on a 0–100 scale and processed into 900 m²-resolution statewide rasters prior to analysis.
2.3. Analysis
Prioritizations were computed using a multi-criteria decision analysis (MCDA), leveraging the analytic hierarchy process (AHP) []. Each criterion included in the analysis (the invasive plant distribution estimates, proximity to areas of conservation interest and trails, economic benefit of treatment, and known report density) was compared in a pairwise fashion, with a group of nine natural resource professionals, scientists, or experts ranking the relative importance of each criterion in each pairwise comparison, as per Saaty []. These individuals represented the University of Minnesota (n = 3), Minnesota Department of Agriculture (n = 3), Local Government (n = 1), Minnesota Department of Natural Resources (n = 1), and Minnesota Department of Transportation (n = 1). We transformed these separate pairwise comparisons into a matrix and computed the right eigenvector of the matrix using the pairwiseComparisonMatrix() and calculateWeights() functions of the FuzzyAHP package in R (version 4.6-14; R version 3.6.1) [].
The AHP weights were used to combine all the criteria datasets into a single priority map for each species. When compiling the priority maps, the normalized datasets that included the distance to areas of conservation interest and distance to trails were inverted to reflect the desired criteria of proximity, rather than distance. The output priority maps were continuous in scale (0–100). For data summarization, the outputs were also categorized into four classes (named “Very Low”, “Low”, “Medium”, and “High”) using Jenks’ [] optimization method as implemented in ArcGIS Pro.
For each species, the distribution of the priority classes was compared across USDA Forest Service Ecological Classification System (ECS) provinces and sections, as well as Minnesota DNR Native Plant Communities (NPCs). These NPCs are widely used in the state to inform forest management decisions regarding timber harvesting and ecosystem services []. These NPCs are units of vegetation that have uniform soil texture, soil moisture, soil nutrients, topography, and disturbance regimes. Further subdivision into NPC Types is based on the canopy composition, substrates, moisture, and nutrient availability. Each NPC class and type is given a unique code to aid in native plant community data management and map labeling. The NPC codes and community names are outlined in Table S1.
We also compared the results across ownership categories as described by the USGS Protected Areas Database. The overall (non-spatial) distribution of priorities between species was compared using a Kolmogorov–Smirnov test and density plot. The differences between species for each class of ECS province, subsection, Protected Areas Database class, and MN NPC were assessed using Kruskal–Wallis ranked sum tests. Bonferroni-corrected Dunn multiple comparison tests were used to examine specific differences between species. Statistical analyses were performed using R 4.0.2 []. For some considerations of priority within categories (e.g., ECS provinces and NPCs), we converted the four priority classes (“Very Low”, “Low”, “Medium”, and “High”) into a numeric scale and considered mean values.
3. Results
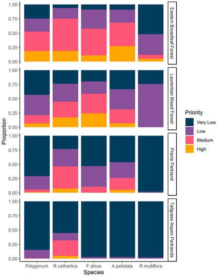
Criterion weights computed from the pairwise comparison process of AHP, with input from natural resource professionals, scientists, and expert rankings (Table 2), were used to create statewide priority maps for each forest invader (Figure 2). These estimates illustrate the distribution of priorities as defined by the criteria and weights used in the MCDA. There were significant differences between species in the distribution of priority areas for each ECS province type (Table 3), but there were also some consistent results: the priorities were generally higher for all the species in the Eastern Broadleaf Forest and Laurentian Mixed Forest provinces, which contain the majority of Minnesota forestland (Figure 3). The priority was the lowest for all the species in Tallgrass Aspen Parklands, with F. alnus, A. petiolata, and R. multiflora demonstrating priority values near the very bottom of the scale (Table 3). Of all the species, R. multiflora demonstrated the lowest priority across all provinces (Table 3). We also found significant differences between species in the distribution of priority classes among the more granular ECS subsection classes (Table S2). The priorities were generally the highest among the Big Woods, Border Lakes, Glacial Lake Superior Plain, Mille Lacs Uplands, North Shore Highlands, Oak Savanna, St. Paul-Baldwin Plains, and The Blufflands subsections. Both buckthorn species, R. cathartica and F. alnus, exhibited broad similarities in priority distribution across the ECS subsections, though F. alnus demonstrated higher priorities in several northeastern subsections, including the Border Lakes (Z = −180.96, p < 0.001), Laurentian Uplands (Z = −92.45, p < 0.001), and the North Shore Highlands (Z = −68.45, p < 0.001) (Table S2).

Table 2.
Criterion weighting as determined via the analytic hierarchy process (AHP).

Figure 2.
Prioritization maps for (A) R. cathartica, (B) A. petiolata, (C) Polygonum spp., (D) F. alnus, and (E) R. multiflora. Prioritization classes created from continuous multi-criteria decision analysis (MCDA) output using Jenks’ natural breaks optimization.

Table 3.
Distribution of priority classes across Minnesota Ecological Classification System (ECS) Provinces for each species. Priority classes correspond to very low = 1, low = 2, medium = 3, and high = 4. Values ± 1 standard deviation.

Figure 3.
Distribution of priority classes across ECS Provinces by species. Warmer colors represent higher priority classes.
Among several classes of protected areas in the Protected Areas Database (PAD), relatively low priorities were found on U.S. Fish and Wildlife Service land, despite it making up approximately 2119 km², and Minnesota DNR land, which made up the largest single PAD class at 22,578 km² (Table 4). F. alnus demonstrated a higher priority than its R. cathartica counterpart on federal lands managed by the USDA Forest Service (Z = −125.96, p < 0.001) and National Park Service (Z = −46.01, p < 0.001) (Table 4).

Table 4.
Distribution of priority classes across Protected Areas Database (PAD) classes for each species. Priority classes correspond to very low = 1, low = 2, medium = 3, and high = 4. Values ± 1 standard deviation. Only PAD classes with ≥30 km² area are shown.
When the distribution of priority areas was summarized across the Minnesota Native Plant Community classes, we found that R. cathartica demonstrated medium or higher priorities in several fire-dependent (designated with “FD”) communities, particularly FDc25, FDs36, FDs37, and FDs38, which are generally found in the southern and central portions of the state (Table 5). Similarly, F. alnus demonstrated medium or higher priorities in more northern fire-dependent communities, particularly FDn22 and FDn43 in addition to FDc25, FDs37, and FDs38 (Table 5). As expected given the distribution of R. multiflora, the species demonstrated medium or higher priorities in several NPCs often found in the southeast corner of the state, particularly MHs37, MHn45, MHs39, MRn93, FFs59, FFs68, and FFn62 (Table 5). All the species demonstrated at least low-to-medium priorities in FDn43 systems—the most abundant fire-dependent system currently in the Minnesota Native Plant Community database.

Table 5.
Distribution of priority classes for each species across the 30 Minnesota Native Plant Communities (NPCs) with the largest areas. Priority classes correspond to very low = 1, low = 2, medium = 3, and high = 4. Values ± 1 standard deviation.
4. Discussion
One of the major challenges in invasive plant management across the diverse forests in Minnesota and the Great Lakes region is prioritizing management efforts, as resources are often limited. Here, we performed a series of prioritization analyses for five invasive forest plants, which incorporated a range of professional and expert perspectives alongside relevant distributional data (Figure 2). Prioritization analyses such as these can help to inform management efforts by providing a spatially explicit context for land managers and decision makers.
In analyzing the results of our prioritization analysis, we found some differences between species in terms of the distribution of priorities within ECS provinces (Table 3, Figure 3). In the Prairie Parkland, for example, we find most species to have a majority of Very Low or Low priorities, with the exception of R. cathartica and, to a lesser extent, A. petiolata (Figure 3). This reflects the widespread distribution estimates for A. petiolata along the Minnesota River Valley, and the abundance of agricultural land—including many fields that include soybean rotation—which may have increased the economic benefit of treating R. cathartica in the province, given its ability to act as a host for the soybean aphid (Aphis glycines []). In the Tallgrass Aspen Parklands—the smallest ECS province by land area—we found only R. cathartica to have any meaningful priority areas beyond Very Low or Low (Figure 3). This likely highlights a combination of the distribution estimates for the species [] as well as the relative abundance of agricultural land in the province, similar to the Prairie Parklands.
Contrasting with the Tallgrass Aspen and Prairie Parkland provinces, we find more similarities among species within the two more heavily forested ECS provinces—the Eastern Broadleaf Forest and Laurentian Mixed Forest. In the Eastern Broadleaf Forest, the only species with a majority of the area being classified as Very Low priority was R. multiflora (Figure 3). Indeed, there is an abundance of Medium and High priority areas for R. cathartica, F. alnus, A. petiolata, and Polygonum spp. in the province (Figure 1 and Figure 2), which likely highlights the distribution of these species, in addition to a fairly high density of trails (particularly around the populated areas and rivers) and conservation features. The overall priority level was generally lower across species within the Laurentian Mixed Forest province, with the exception of F. alnus, which demonstrated a high amount of High priority area (Figure 3). The Laurentian Mixed Forest province is heavily forested, and the relatively large amount of High and Medium priority area for F. alnus and, to a lesser extent, R. cathartica likely reflects the potential economic benefit of managing these two species, as they are known to impact the growth and survival of native tree species [,,] and have been associated with lower overall forest biomass [] and regenerating seedling density [,,].
Analyzing the results of the prioritization across ECS provinces provides a synoptic overview of the priorities across the study area. However, considering the prioritization results across more detailed and specific spatial categories (i.e., ECS subsections, NPCs, and PAD classifications) provides more granularity. Among the mapped NPCs, our forest invaders demonstrated the highest mean priorities for fire-dependent (“FD” prefix) and mesic hardwood (“MH” prefix) systems (Table 5). Indeed, Medium or higher (≥3) priorities were common for four of our species of interest (R. cathartica, F. alnus, A. petiolata, and Polygonum spp.) across the most abundant fire-dependent and mesic hardwood systems (Table 5). The most abundant forested NPC type on our list, FDn43, demonstrated at least a Medium priority for F. alnus, A. petiolata, and Polygonum spp.
Across the most abundant fire-dependent systems (FDn43, FDc34, FDn32, and FDc24), A. petiolata demonstrated at least a Medium priority (Table 5). Similar results were found for A. petiolata across several mesic hardwood systems (MHc36, MHn35, MHc36, MHc37, MHn45, MHs38, and MHs37). These NPCs represent the highest priority values for A. petiolata, suggesting that they might be beneficial targets for A. petiolata management. While our assessment here is based on an integration of distributional, economic, and spatial data as weighted by professionals and experts, the reported ability of A. petiolata to alter tree seedling abundance and composition [] and compete with native understory vegetation [,,] in these systems further highlights the potential benefits of management in the highlighted systems.
R. cathartica demonstrated particularly high mean priorities across mesic hardwood systems (MHc26, MHn35, MHc36, MHc37, MHn45, MHs38, and MHs37). While F. alnus exhibited relatively high priorities in several mesic hardwood systems (MHn45, MHs38, and MHs37), it was generally lower in others relative to R. cathartica (Table 5). This may reflect the broader niche and distribution of R. cathartica relative to F. alnus [,,]. Despite these apparent differences, the relatively high mean priority exhibited by these species in mesic hardwood systems in addition to several fire-dependent systems (FDn43, FDc34, and FDs37) may indicate a series of valuable targets for buckthorn management. Indeed, in some NPCs, the priorities for these species is High (e.g., MHs37), suggesting a worthwhile target for control. The impact of these species on these forest types includes changes in nutrient cycling [,] and a loss of biodiversity and ecosystem function [,,,], further highlighting the potential value of management in these systems.
With the majority of priority areas located in the eastern part of the state and around rivers, Polygonum spp. had Medium or higher priorities in relatively fewer NPCs than A. petiolata or either buckthorn species (Table 5). The three most abundant NPCs with relatively high Polygonum priorities included MHn45, MHs37, and FDn43. The relative restriction of priority areas for Polygonum spp. to the eastern side of the state in general, and river watersheds in particular, is likely a result of the species’ estimated distribution as well as the abundance of streams and streambanks. Streams and streambanks factor into the economic value of treating the species because Polygonum spp. has been reported to increase streambank erosion and impact native tree growth and regeneration [,,], both of which can have economic impacts.
R. multiflora is the species with the most limited distribution of Medium or higher priority areas in the study area (Figure 2), and this is reflected in the ECS subsection results (Supplemental Table S1), which shows a single ECS subsection with a mean priority of Medium or higher (The Blufflands). Similarly, the only NPC with a Medium or higher priority for R. multiflora is MHs37, a mesic hardwood system found in the southeastern corner of the study area. While there is a widespread distribution of Low priority areas for R. multiflora, particularly in the Eastern Broadleaf and Laurentian Mixed Forest ECS provinces, the southeast corner dominated by the MHs37 NPC is the only area with consistently high priorities (Figure 2). This restricted prioritization is likely a result of the species’ distribution being largely limited to the southeastern part of the state [], with the much broader distribution of Low (as opposed to Very Low) across much of central and eastern Minnesota being the result of other factors, particularly the economic benefits of managing R. multiflora in forested ecosystems—which is largely related to its ability to inhibit the growth and regeneration of native tree seedlings [].
In assessing the distribution of priorities by species across different classes of protected areas in our study area, we found that the priorities were generally Low or Very Low for protected areas managed by the Minnesota Department of Natural Resources and the U.S. Fish and Wildlife Service (Table 4), though the variability was high. Protected areas managed by the USDA Forest Service and National Park Service showed some species with higher priorities; F. alnus and A. petiolata demonstrated Medium or higher priorities in protected areas managed by these two agencies (Table 4). This pattern is likely the result of the geographical distribution of protected areas; much of the land managed by the USDA Forest Service and the National Park Service is located in northern and northeastern Minnesota, where the priorities are particularly high for several of our species of interest (Figure 2).
The prioritization analyses conducted here integrated a variety of data, ranging from distribution estimates to economic benefits, and were evaluated and weighted by a panel of professionals and experts. While we were careful to include perspectives from both researchers and land managers, and to include a variety of relevant data, it must also be stated that the prioritizations produced here reflect the data and weightings used in the analysis and therefore are likely not generalizable for some scales or locations. While these analyses do not include an assessment of the probability of management or treatment success, the economic component does assume that the most cost-effective common management approaches are used. The distribution estimates used in our analyses relied on a random forest modeling approach, which was found to perform well for our species in our study region [], but other approaches may be more suited for species or analyses with different data structures. The analyses presented here reflect the invasive plant management priorities within the study area and are defined by broad-scale spatial factors.
5. Conclusions
The spatially explicit prioritization of areas for invasive plant management and control presented here represents one possible method of addressing a major challenge in invasive plant management: allocating limited resources to have the largest impact. The prioritizations produced using this approach can act as another tool in the management toolbox, ultimately providing a broader context that is often lacking. The results of this prioritization highlight broad-scale patterns at the level of ECS provinces, which can provide synoptic contexts for invasive plant priorities across the state, and finer-scale priority targets at the level of the NPC, which provides granular ecosystem-level targets for several species. While data are often lacking, future prioritizations could be improved by incorporating the additional economic benefits of invasive plant management as well as additional factors relating to outdoor recreation and the potential spread of invasive plants.
Supplementary Materials
The following are available online at https://www.mdpi.com/1999-4907/11/11/1213/s1. Table S1: Minnesota Native Plant Community acronyms and names, Table S2: Distribution of priority classes across Minnesota Ecological Classification System (ECS) Subsections for each species. Priority classes correspond to very low = 1, low = 2, medium = 3, and high = 4. Values ± 1 standard deviation.
Author Contributions
Conceptualization, J.R.R. and M.B.R.; methodology, J.R.R.; formal analysis, J.R.R., M.B.R., and W.F.L.; validation, J.R.R., M.B.R., and W.F.L.; investigation, J.R.R. and M.B.R.; data curation, J.R.R.; writing—original draft preparation, J.R.R. and M.B.R.; writing—review and editing, J.R.R., M.B.R., and W.F.L.; visualization, J.R.R. All authors have read and agreed to the published version of the manuscript.
Funding
This work was supported with funding from the Minnesota Environment and Natural Resources Trust Fund and the Minnesota Agricultural Experiment Station (project 42–101).
Acknowledgments
We thank the natural resource professionals, scientists, and experts who were involved with developing the criterion weights used in this project.
Conflicts of Interest
The authors declare no conflict of interest. The funders had no role in the design of the study; in the collection, analyses, or interpretation of data; in the writing of the manuscript; or in the decision to publish the results.
References
- Pimentel, D.; Zuniga, R.; Morrison, D. Update on the environmental and economic costs associated with alien-invasive species in the United States. Ecol. Econ. 2005, 52, 273–288. [Google Scholar] [CrossRef]
- Chornesky, E.A.; Bartuska, A.; Aplet, G.; Britton, K. Science Priorities for Reducing the Threat of Invasive Species to Sustainable Forestry. Bioscience 2005, 55, 335–348. [Google Scholar] [CrossRef]
- Holmes, T.P.; Aukema, J.E.; von Holle, B.; Liebhold, A.; Sills, E. Economic impacts of invasive species in forest past, present, and future. Year Ecol. Conserv. Biol. 2009, 1162, 18–38. Available online: https://www.fs.usda.gov/treesearch/pubs/36267 (accessed on 6 September 2019).
- Vilà, M.; Espinar, J.L.; Hejda, M.; Hulme, P.E.; Jarošík, V.; Maron, J.L.; Pergl, J.; Schaffner, U.; Sun, Y.; Pyšek, P. Ecological impacts of invasive alien plants: A meta-analysis of their effects on species, communities and ecosystems. Ecol. Lett. 2011, 14, 702–708. [Google Scholar] [CrossRef]
- LeDoux, C.B.; Martin, D.K. Proposed BMPs for Invasive Plant Mitigation during Timber Harvesting Operations; USFS NRS General Technical Report; USFS: Washington, DC, USA, 2013. [CrossRef]
- Saaty, R.W. The analytic hierarchy process-what it is and how it is used. Math. Model. 1987, 9, 161–176. [Google Scholar] [CrossRef]
- Anderson, L.G.; Rocliffe, S.; Haddaway, N.R.; Dunn, A.M. The Role of Tourism and Recreation in the Spread of Non-Native Species: A Systematic Review and Meta-Analysis. PLoS ONE 2015, 10, e0140833. [Google Scholar] [CrossRef]
- Mejía, C.V.; Brandt, S. Utilizing environmental information and pricing strategies to reduce externalities of tourism: The case of invasive species in the Galapagos. J. Sustain. Tour. 2017, 25, 763–778. [Google Scholar] [CrossRef]
- Windmuller-Campione, M.A.; Russell, M.B.; Sagor, E.; D’Amato, A.W.; Ek, A.R.; Puettmann, K.J.; Rodman, M.G. The Decline of the Clearcut: 26 Years of Change in Silvicultural Practices and Implications in Minnesota. J. For. 2020, 118, 244–259. [Google Scholar] [CrossRef]
- Reinhardt, J.R.; Russell, M.B.; Senay, S.; Lazarus, W. Assessing the current and potential future distribution of four invasive forest plants in Minnesota, U.S.A., using mixed sources of data. Sci. Rep. 2020, 10, 12738. [Google Scholar] [CrossRef]
- Miles, P.D.; Crocker, S.J.; Nelson, M.D.; Woodall, C.W. Minnesota Forests 2013; USFS NRS General Technical Report 104; USFS: Washington, DC, USA, 2016. [CrossRef]
- MDA: Minnesota Department of Agriculture. Minnesota Noxious Weed List. 2018. Available online: https://www.mda.state.mn.us/plants-insects/minnesota-noxious-weed-list (accessed on 15 September 2020).
- Reinhardt, J.; Russell, M.; Lazarus, W.; Chandler, M.; Senay, S. Status of Invasive Plants and Management Techniques in Minnesota: Results from a 2018 Survey 1 Staff Paper Series No. 253 Department of Forest Resources. 2019. Available online: www.forestry.umn.edu/publications/staff-paper-series (accessed on 6 September 2019).
- Bargeron, C.T.; Moorhead, D.J. EDDMapS—Early detection and distribution mapping system for the southeast exotic pest plant council. Wildl. Weeds 2007, 10, 4–8. [Google Scholar]
- Kurtz, C.M. An assessment of invasive plant species monitored by the Northern Research Station Forest Inventory and Analysis Program, 2005 through 2010. Gen. Tech. Rep. 2013. [Google Scholar] [CrossRef][Green Version]
- Hijmans, R.J.; Cameron, S.E.; Parra, J.L.; Jones, P.G.; Jarvis, A. Very high resolution interpolated climate surfaces for global land areas. Int. J. Climatol. 2005, 25, 1965–1978. [Google Scholar] [CrossRef]
- NRCS: Natural Resources Conservation Service; U.S. Department of Agriculture; Soil Survey Staff. “Web Soil Survey”. 2019. Available online: https://websoilsurvey.sc.egov.usda.gov/?referrer=Citation.htm-HomeLink1 (accessed on 1 April 2020).
- USGS: U.S. Geological Survey. USGS National Elevation Dataset (NED). 2016. Available online: https://www.sciencebase.gov/catalog/item/5825a0c3e4b01fad86db66dc (accessed on 5 April 2020).
- Breiman, L. Random Forests. Mach. Learn. 2001, 45, 5–32. [Google Scholar] [CrossRef]
- Silverman, B.W. Density Estimation for Statistics and Data Analysis; CRC Press: Boca Raton, FL, USA, 1986; Volume 26. [Google Scholar]
- Han, W.; Yang, Z.; Di, L.; Mueller, R. CropScape: A Web service based application for exploring and disseminating US conterminous geospatial cropland data products for decision support. Comput. Electron. Agric. 2012, 84, 111–123. [Google Scholar] [CrossRef]
- Lazarus, W. Notes on Sources and Calculations of the Costs and Benefits in the Economic Model. Part of: Minnesota Tactical Invasive Plant Management Plan, Minnesota Department of Agriculture. 2020. Unpublished. Available online: https://z.umn.edu/2020wl_tpem (accessed on 1 May 2020).
- R Core Team. R: A Language and Environment for Statistical Computing. Vienna, Austria. 2019. Available online: https://www.r-project.org/ (accessed on 3 January 2020).
- Jenks, G.F. The data model concept in statistical mapping. Int. Yearb. Cartogr. 1967, 7, 186–190. [Google Scholar]
- Wilson, D.C.; Ek, A.R. Imputing plant community classifications for forest inventory plots. Ecol. Indic. 2017, 80, 327–336. [Google Scholar] [CrossRef]
- Heimpel, G.E.; LeeE, F.; DouglasA, L.; KeithR, H.; KimA, H.; Zeynep, S.; MarkK, A.; Kongming, W. European buckthorn and Asian soybean aphid as components of an extensive invasional meltdown in North America. Biol. Invasions 2010, 12, 2913–2931. [Google Scholar] [CrossRef]
- Fagan, M.; Peart, D. Impact of the invasive shrub glossy buckthorn (Rhamnus frangula L.) on juvenile recruitment by canopy trees. For. Ecol. Manag. 2004, 194, 95–107. [Google Scholar] [CrossRef]
- Knight, K.S. Factors that Influence Invasion Success of Two Woody Invaders o f Forest Understories. 2006. Available online: https://search.proquest.com/docview/305308190?pq-origsite=gscholar (accessed on 6 September 2019).
- Klionsky, S.M.; Amatangelo, K.L.; Waller, D.M. Above- and Belowground Impacts of European Buckthorn (Rhamnus cathartica) on Four Native Forbs. Restor. Ecol. 2011, 19, 728–737. [Google Scholar] [CrossRef]
- Mascaro, J.; Schnitzer, S.A. Dominance by the introduced tree Rhamnus cathartica (common buckthorn) may limit aboveground carbon storage in Southern Wisconsin forests. For. Ecol. Manag. 2011, 261, 545–550. [Google Scholar] [CrossRef]
- Frappier, B.; Eckert, R.T.; Lee, T.D. Potential Impacts of the Invasive Exotic Shrub Rhamnus Frangula L. (Glossy Buckthorn) on Forests of Southern New Hampshire. Northeast. Nat. 2003, 10, 277–296. [Google Scholar] [CrossRef]
- Frappier, B.; Eckert, R.T.; Lee, T.D. Experimental Removal of the Non-indigenous Shrub Rhamnus frangula (Glossy Buckthorn): Effects on Native Herbs and Woody Seedlings. Northeast. Nat. 2004, 11, 333–342. [Google Scholar] [CrossRef]
- Bibaud, H.A.; Ducey, M.J.; Simmons, M.J.; McCarthy, H.C.; Bibaud, R.N.; Lee, T.D. Factors limiting the success of invasive glossy buckthorn (Frangula alnus) in New Hampshire’s eastern white pine–hardwood forests. For. Ecol. Manag. 2020, 474, 118345. [Google Scholar] [CrossRef]
- Haines, D.F.; Aylward, J.A.; Frey, S.D.; Stinson, K.A. Regional Patterns of Floristic Diversity and Composition in Forests Invaded by Garlic Mustard (Alliaria petiolata). Northeast. Nat. 2018, 25, 399–417. [Google Scholar] [CrossRef]
- Myers, C.V.; Anderson, R.C. Seasonal Variation in Photosynthetic Rates Influences Success of an Invasive Plant, Garlic Mustard (Alliaria petiolata). Am. Midl. Nat. 2003, 150, 231–245. [Google Scholar] [CrossRef]
- Whigham, D.F. Ecology of Woodland Herbs in Temperate Deciduous Forests. Annu. Rev. Ecol. Evol. Syst. 2004, 35, 583–621. [Google Scholar] [CrossRef]
- Stinson, K.; Kaufman, S.; Durbin, L.; Lowenstein, F. Impacts of Garlic Mustard Invasion on a Forest Understory Community. Northeast. Nat. 2007, 14, 73–88. [Google Scholar] [CrossRef]
- Sanford, N.L.; Harrington, R.A.; Fownes, J.H. Survival and growth of native and alien woody seedlings in open and understory environments. For. Ecol. Manag. 2003, 183, 377–385. [Google Scholar] [CrossRef]
- Stewart, J.R.; Graves, W.R. Photosynthesis and growth of Rhamnus caroliniana during drought and flooding: Comparisons to the invasive Rhamnus cathartica. HortScience 2004, 39, 1278–1282. [Google Scholar] [CrossRef]
- Knight, K.S.; Kurylo, J.S.; Endress, A.G.; Stewart, J.R.; Reich, P.B. Ecology and ecosystem impacts of common buckthorn (Rhamnus cathartica): A review. Biol. Invasions 2007, 9, 925–937. [Google Scholar] [CrossRef]
- Schmidt, K.A.; Whelan, C.J. Effects of Exotic Lonicera and Rhamnus on Songbird Nest Predation. Conserv. Biol. 1999, 13, 1502–1506. [Google Scholar] [CrossRef]
- McKinney, A.M.; Goodell, K. Shading by invasive shrub reduces seed production and pollinator services in a native herb. Biol. Invasions 2010, 12, 2751–2763. [Google Scholar] [CrossRef]
- Beerling, D.J.; Bailey, J.P.; Conolly, A.P. Fallopia Japonica (Houtt.) Ronse Decraene. J. Ecol. 1994, 82, 959. [Google Scholar] [CrossRef]
- Urgenson, L.S.; Reichard, S.H.; Halpern, C.B. Community and ecosystem consequences of giant knotweed (Polygonum sachalinense) invasion into riparian forests of western Washington, USA. Biol. Conserv. 2009, 142, 1536–1541. [Google Scholar] [CrossRef]
- Claeson, S.M.; Bisson, P.A. Passive Reestablishment of Riparian Vegetation Following Removal of Invasive Knotweed (Polygonum). Invasive Plant Sci. Manag. 2013, 6, 208–218. [Google Scholar] [CrossRef]
- Kurtz, C.M.; Hansen, M.H. An Assessment of Multiflora Rose in Northern U.S. Forests; USFS Research Note 182; USFS: Washington, DC, USA, 2013.
Publisher’s Note: MDPI stays neutral with regard to jurisdictional claims in published maps and institutional affiliations. |
© 2020 by the authors. Licensee MDPI, Basel, Switzerland. This article is an open access article distributed under the terms and conditions of the Creative Commons Attribution (CC BY) license (http://creativecommons.org/licenses/by/4.0/).