Exploring the Relationships between Key Ecological Indicators to Improve Natural Conservation Planning at Different Scales
Abstract
1. Introduction
2. Methods
2.1. Study Areas
Data Acquisition
2.2. Exploring the Relationships between Biodiversity, Ecosystem Services, and Vegetation Productivity
2.3. Identifying the Contributions of Correlated Factors on Biodiversity Distribution at Different Scales
3. Results
3.1. The Relationship between Biodiversity and Regulating Ecosystem Services
3.2. Impacts of Vegetation Productivity on Biodiversity and Regulating Ecosystem Services
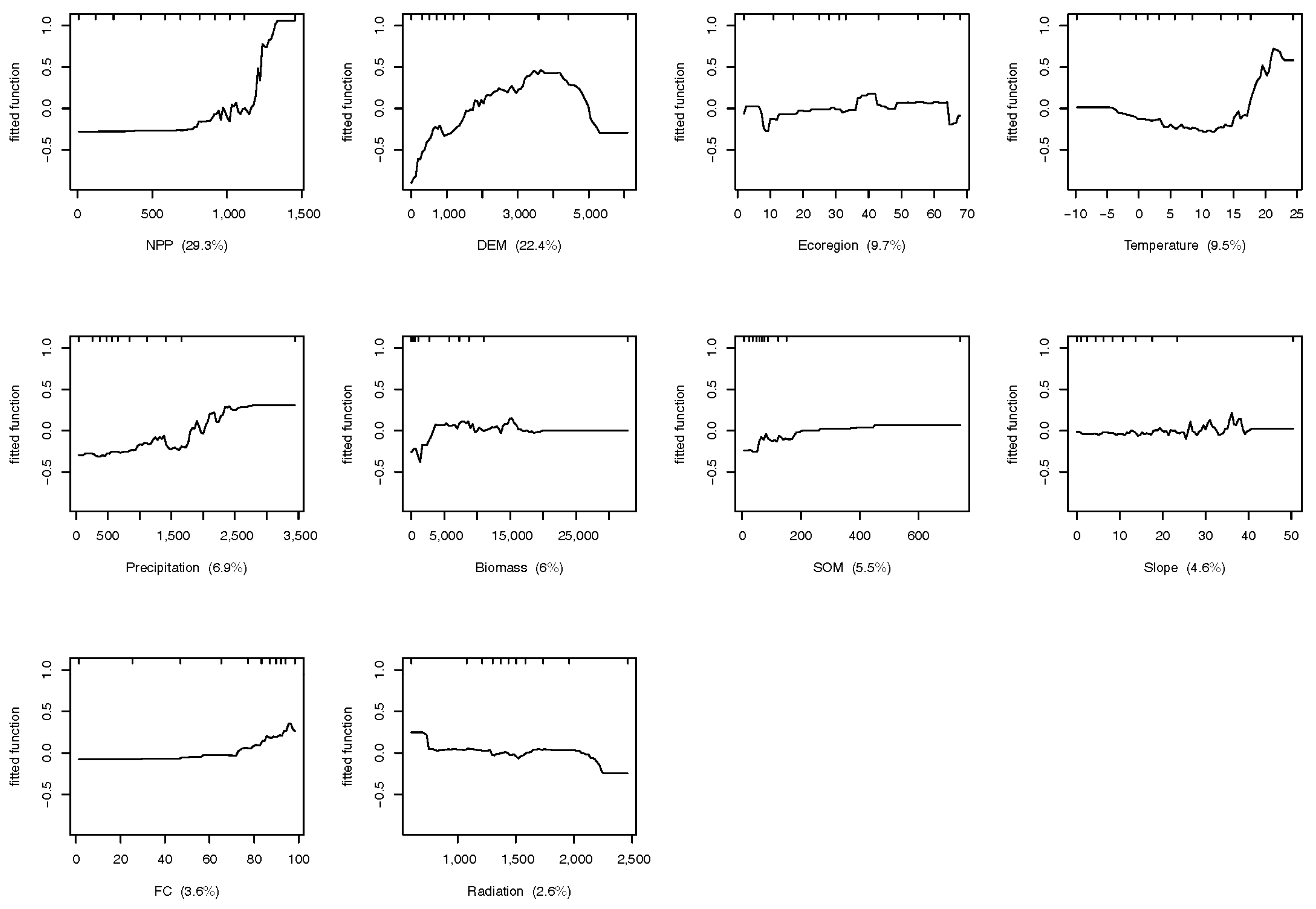
3.3. Contributions of the Explanatory Variables on Biodiversity Distributions between Scales
4. Discussion
5. Conclusions
Supplementary Materials
Author Contributions
Funding
Conflicts of Interest
References
- Perrings, C.; Duraiappah, A.; Larigauderie, A.; Mooney, H. The biodiversity and ecosystem services science-policy interface. Science 2011, 331, 1139–1140. [Google Scholar] [CrossRef] [PubMed]
- Chapin, F.S., III; Zavaleta, E.S.; Eviner, V.T.; Naylor, R.L.; Vitousek, P.M.; Reynolds, H.L.; Hooper, D.U.; Lavore, S.; Sala, O.E.; Hobbie, S.E.; et al. Consequences of changing biodiversity. Nature 2001, 405, 234–242. [Google Scholar] [CrossRef] [PubMed]
- Cardinale, B.J.; Duffy, J.E.; Gonzalez, A.; Hooper, D.U.; Perrings, C.; Venail, P.; Narwani, A.; Mace, G.M.; Tilman, D.; Wardle, D.A.; et al. Biodiversity loss and its impact on humanity. Nature 2012, 486, 60–67. [Google Scholar] [CrossRef] [PubMed]
- Cabeza, M.; Arponen, A.; Teeffelen, A.V. Top predators: Hot or not? A call for systematic assessment of biodiversity surrogates. J. Appl. Ecol. 2008, 45, 976–980. [Google Scholar] [CrossRef]
- Manhães, A.P.; Mazzochini, G.G.; Oliveira-Filho, A.T.; Ganade, G.; Carvalho, A.R. Spatial associations of ecosystem services and biodiversity as a baseline for systematic conservation planning. Divers. Distrib. 2016, 22, 932–943. [Google Scholar] [CrossRef]
- Morrison, S.A. A framework for conservation in a human-dominated world. Conser. Biol. 2015, 29, 960–964. [Google Scholar] [CrossRef] [PubMed]
- Pinto, R.; Jonge, V.N.D.; Marques, J.C. Linking biodiversity indicators, ecosystem functioning, provision of services and human well-being in estuarine systems: Application of a conceptual framework. Ecol. Indicat. 2014, 36, 644–655. [Google Scholar] [CrossRef]
- Kaiser-Bunbury, C.N.; Mougal, J.; Whittington, A.E.; Valentin, T.; Gabriel, R.; Olesen, J.M.; Blüthgen, N. Ecosystem restoration strengthens pollination network resilience and function. Nature 2017, 542, 223–227. [Google Scholar] [CrossRef]
- Trindade, J.; Landa, F.; Vinicius, M.; Loyola, R.D. Using indicator groups to represent bird phylogenetic and functional diversity. Biol. Conserv. 2012, 146, 155–162. [Google Scholar] [CrossRef]
- Edwards, H.J.; Elliott, I.A.; Pressey, R.L.; Mumby, P.J. Incorporating ontogenetic dispersal, ecological processes and conservation zoning into reserve design. Biol. Conserv. 2010, 143, 457–470. [Google Scholar] [CrossRef]
- Fiorella, K.; Cameron, A.; Sechrest, W.; Winfree, R.; Kremen, C. Methodological considerations in reserve system selection: A case study of malagasy lemurs. Biol. Conserv. 2010, 143, 963–973. [Google Scholar] [CrossRef]
- Rodríguez, A.S.L. Species as surrogates in conservation. Trends Ecol. Evol. 2011, 26, 625–626. [Google Scholar] [CrossRef]
- Duggan, J.M.; Eichelberger, B.A.; Ma, S.; Lawler, J.J.; Ziv, G. Informing management of rare species with an approach combining scenario modeling and spatially explicit risk assessment. Ecosyst. Health Sustain. 2016, 1, 1–18. [Google Scholar] [CrossRef]
- Dickson, B.G.; Zachmann, L.J.; Albano, C.M. Systematic identification of potential conservation priority areas on roadless bureau of land management lands in the western United States. Biol. Conserv. 2014, 178, 117–127. [Google Scholar] [CrossRef]
- Weeks, R.; Russ, G.R.; Alcala, A.C.; White, A.T. Effectiveness of marine protected areas in the philippines for biodiversity conservation. Conserv. Biol. 2010, 24, 531–540. [Google Scholar] [CrossRef]
- Gordon, A.; Simondson, D.; White, M.; Moilanen, A.; Bekessy, S.A. Integrating conservation planning and landuse planning in urban landscapes. Landsc. Urban Plan. 2009, 91, 183–194. [Google Scholar] [CrossRef]
- Mace, G.M.; Norris, K.; Fitter, A.H. Biodiversity and ecosystem services: A multi-scale empirical study of the relationship between species richness and net primary production. Trends Ecol. Evol. 2012, 27, 19–26. [Google Scholar] [CrossRef] [PubMed]
- Cingolani, A.M.; Poca, M.; Giorgis, M.A.; Vaieretti, M.V.; Gurvich, D.E.; Whitworth-Hulse, J.I. Water provisioning services in a seasonally dry subtropical mountain: Identifying priority landscapes for conservation. J. Hydrol. 2015, 525, 178–187. [Google Scholar] [CrossRef]
- International Union for Conservation of Nature (IUCN). IUCN Spatial Data Resources. Available online: http://www.iucnredlist.org/ (accessed on 1 September 2015).
- State Forestry Administration of China. Chinese Animal and Plant Species Protection List; State Forestry Administration of China: Beijing, China, 2010.
- CAS (Chinese Academy of Sciences). Scientific Database of China Plant Species. Available online: http://db.kib.ac.cn/ (accessed on 1 September 2015).
- Phillips, S.J.; Anderson, R.P.; Schapire, R.E. Maximum entropy modelling of species geographic distributions. Ecol. Modell. 2006, 190, 231–259. [Google Scholar] [CrossRef]
- Viña, A.; Tuanmu, M.N.; Xu, W.H.; Li, Y.; Ouyang, Z.Y.; DeFries, R.; Liu, J.G. Range-wide analysis of wildlife habitat: Implications for conservation. Biol. Conserv. 2010, 143, 1960–1969. [Google Scholar] [CrossRef]
- Olden, J.D.; Lawler, J.J.; Poff, N.L. Machine learning methods without tears: A primer for ecologists. Q. Rev. Biol. 2008, 83, 171–193. [Google Scholar] [CrossRef] [PubMed]
- Ridgeway, G. gbm: Generalized boosted regression models. R package version 2.1. Available online: http://cran.r-project.org/web/packages/gbm (accessed on 1 September 2016).
- Elith, J.; Leathwick, J.R.; Hastie, T. A working guide to boosted regression trees. J. Anim. Ecol. 2008, 77, 801–813. [Google Scholar] [CrossRef] [PubMed]
- Loreau, M. Linking biodiversity and ecosystems: Towards a unifying ecological theory. Philos. Trans. R. Soc. B Biol. Sci. 2010, 365, 49–60. [Google Scholar] [CrossRef]
- Xu, W.; Xiao, Y.; Zhang, J.; Yang, W.; Zhang, L.; Hull, V.; Ouyang, Z. Strengthening protected areas for biodiversity and ecosystem services in China. Proc. Natl. Acad. Sci. USA 2017, 114, 1601–1606. [Google Scholar] [CrossRef] [PubMed]
- Anderson, B.J.; Armsworth, P.R.; Eigenbrod, F.; Thomas, C.D.; Gillings, S.; Heinemeyer, A.; Roy, D.B.; Gaston, J.K. Spatial covariance between biodiversity and other ecosystem service priorities. J. Appl. Ecol. 2009, 46, 888–896. [Google Scholar] [CrossRef]
- Krishnaswamy, J.; Bawa, K.S.; Ganeshaiah, K.N.; Kiran, M.C. Quantifying and mapping biodiversity and ecosystem services: Utility of a multi-season NDVI based Mahalanobis distance surrogate. Remote Sens. Environ. 2009, 113, 857–867. [Google Scholar] [CrossRef]
- Loreau, M.; Naeem, S.; Inchausti, P.; Bengtsson, J.; Grime, J.P.; Hector, A.; Hooper, D.U.; Huston, M.A.; Raffaelli, D.; Schmid, B.; et al. Biodiversity and ecosystem functioning: Current knowledge and future challenges. Science 2001, 294, 804–808. [Google Scholar] [CrossRef]
- Benayas, J.M.R.; Bullock, J.M. Enhancement of biodiversity and ecosystem services by ecological restoration: A meta-analysis. Science 2009, 325, 1121–1124. [Google Scholar] [CrossRef]
- Cimon-Morin, J.; Darveau, M.; Poulin, M. Fostering synergies between ecosystem services and biodiversity in conservation planning: A review. Biol. Conserv. 2013, 166, 144–154. [Google Scholar] [CrossRef]
- Urquiza-Haas, T.; Peres, C.A.; Dolman, P.M. Regional scale effects of human density and forest disturbance on large-bodied vertebrates throughout the Yucatán Peninsula, Mexico. Biol. Conserv. 2009, 142, 134–148. [Google Scholar] [CrossRef]
- Gao, T.; Nielsen, A.B.; Hedblom, M. Reviewing the strength of evidence of biodiversity indicators for forest ecosystems in Europe. Ecol. Indic. 2015, 57, 420–434. [Google Scholar] [CrossRef]
- Quan, J.; Ouyang, Z.; Xu, W.; Miao, H. Assessment of the effectiveness of nature reserve management in China. Biodivers. Conserv. 2011, 20, 779–792. [Google Scholar] [CrossRef]
- Hector, A.; Bagchi, R. Biodiversity and ecosystem multi-functionality. Nature 2007, 448, 188–190. [Google Scholar] [CrossRef]
- Midgley, G.F. Biodiversity and Ecosystem Function. Science 2012, 335, 174–175. [Google Scholar] [CrossRef] [PubMed]
- Pfeifer, M.; Disney, M.; Quaife, T.; Marchant, R. Terrestrial ecosystems from space: A review of earth observation products for macro-ecology applications. Glob. Ecol. Biogeogr. 2012, 21, 603–624. [Google Scholar] [CrossRef]
- Buij, R.; Mcshea, W.J.; Campbell, P.; Lee, M.E.; Dallmeier, F.; Guimondou, S.; Mackaga, L.; Guisseougou, N.; Mboumba, S.; Hines, J.E.; et al. Patch-occupancy models indicate human activity as major determinant of forest elephant loxodontacyclotis, seasonal distribution in an industrial corridor in Gabon. Biol. Conserv. 2007, 135, 189–201. [Google Scholar] [CrossRef]
- Benítez-López, A.; Alkemade, R.; Verweij, P.A. The impacts of roads and other infrastructure on mammal and bird populations: A meta-analysis. Biol. Conserv. 2010, 143, 1307–1316. [Google Scholar] [CrossRef]
- Wang, B.; Li, M.; Fan, W.; Yu, Y.; Chen, J. Relationship between Net Primary Productivity and Forest Stand Age under Different Site Conditions and Its Implications for Regional Carbon Cycle Study. Forests 2018, 9, 5. [Google Scholar] [CrossRef]




| Regions | Ecological Indicators | Soil Retention | Water Retention | Birds | Mammals | Plants |
|---|---|---|---|---|---|---|
| Qinling Mountain (fine scale) | Soil retention | - | 0.120 ** | 0.008 | 0.036 | 0.038 |
| Water retention | 0.120 ** | - | 0.148 ** | 0.605 ** | 0.300 ** | |
| China (coarse scale) | Soil retention | - | 0.555 ** | 0.149 ** | 0.148 ** | 0.400 ** |
| Water retention | 0.555 ** | - | 0.122 ** | 0.156 ** | 0.389 ** |
| Fine Scale | NPP | Biomass | R2 | ||||
| Coefficients | Std. Error | p-Value | Coefficients | Std. Error | p-Value | ||
| Water retention | −0.083 | 0.009 | <0.001 | _ | _ | _ | 0.053 |
| Soil retention | _ | _ | _ | _ | _ | _ | _ |
| Bird richness | 2.148 × 10−5 | 9.677 × 10−6 | 0.027 | 3.656 × 10−5 | 1.523 × 10−5 | 0.016 | 0.006 |
| Mammal richness | 1.542 × 10−5 | 2.379 × 10−5 | <0.001 | −8.614 × 10−5 | 2.427 × 10−5 | <0.001 | 0.023 |
| Plant richness | −1.492 × 10−5 | 7.152 × 10−6 | 0.037 | 3.459 × 10−5 | 1.126 × 10−5 | 0.002 | 0.009 |
| Coarse scale | NPP | Biomass | R2 | ||||
| Coefficients | Std. Error | p-Value | Coefficients | Std. Error | p-Value | ||
| Water retention | 0.055 | 0.001 | <0.001 | 0.017 | 0.008 | 0.030 | 0.493 |
| Soil retention | 0.011 | 2.287 × 10−4 | <0.001 | _ | _ | _ | 0.260 |
| Bird richness | 6.921 × 10−6 | 6.388 × 10−7 | <0.001 | 4.046 × 10−5 | 5.026 × 10−6 | <0.001 | 0.095 |
| Mammal richness | 2.925 × 10−5 | 1.770 × 10−6 | <0.001 | 8.089 × 10−5 | 1.392 × 10−5 | <0.001 | 0.131 |
| Plant richness | 6.411 × 10−5 | 1.872 × 10−6 | <0.001 | _ | _ | _ | 0.164 |
| Variable | Coefficients | Std. Error | p-Value | VIF | R2 | |||||
|---|---|---|---|---|---|---|---|---|---|---|
| CS | FS | CS | FS | CS | FS | CS | FS | CS | FS | |
| Constant | 2.866 | −43.178 | 0.884 | 4.621 | 0.55 | 0.659 | ||||
| Biomass | 0 | −0.001 | 0 | 0 | 0 | 0.032 | 2.175 | 1.165 | ||
| FC | −0.203 | 0.468 | 0.011 | 0.042 | 0 | 0 | 8.37 | 1.365 | ||
| NPP | 0 | 0.004 | 0 | 0.003 | 0 | 0.141 | 16.168 | 1.145 | ||
| DEM | 0.001 | 0.003 | 0 | 0.001 | 0 | 0 | 4.14 | 7.596 | ||
| Slope | 0.089 | 0.005 | 0.014 | 0.012 | 0 | 0.661 | 1.499 | 1.011 | ||
| Temperature | −0.013 | −0.041 | 0.003 | 0.012 | 0 | 0.001 | 6.65 | 6.011 | ||
| Precipitation | 0 | 0.012 | 0 | 0.001 | 0 | 0 | 5.132 | 1.649 | ||
| Radiation | 0 | −0.007 | 0 | 0.001 | 0.006 | 0 | 2.659 | 1.32 | ||
| SOM | 0.01 | 0 | 0.002 | 0.003 | 0 | 0.962 | 1.479 | 1.111 | ||
| Ecoregion | 0.053 | 0.063 | 0.007 | 0.015 | 0 | 0 | 1.334 | 1.256 | ||
© 2019 by the authors. Licensee MDPI, Basel, Switzerland. This article is an open access article distributed under the terms and conditions of the Creative Commons Attribution (CC BY) license (http://creativecommons.org/licenses/by/4.0/).
Share and Cite
Zhang, L.; Ouyang, Z. Exploring the Relationships between Key Ecological Indicators to Improve Natural Conservation Planning at Different Scales. Forests 2019, 10, 32. https://doi.org/10.3390/f10010032
Zhang L, Ouyang Z. Exploring the Relationships between Key Ecological Indicators to Improve Natural Conservation Planning at Different Scales. Forests. 2019; 10(1):32. https://doi.org/10.3390/f10010032
Chicago/Turabian StyleZhang, Lu, and Zhiyun Ouyang. 2019. "Exploring the Relationships between Key Ecological Indicators to Improve Natural Conservation Planning at Different Scales" Forests 10, no. 1: 32. https://doi.org/10.3390/f10010032
APA StyleZhang, L., & Ouyang, Z. (2019). Exploring the Relationships between Key Ecological Indicators to Improve Natural Conservation Planning at Different Scales. Forests, 10(1), 32. https://doi.org/10.3390/f10010032

