Mechanical Properties and Atomic Explanation of Plastic Deformation for Diamond-Like BC2
Abstract
:1. Introduction
2. Computational Methods
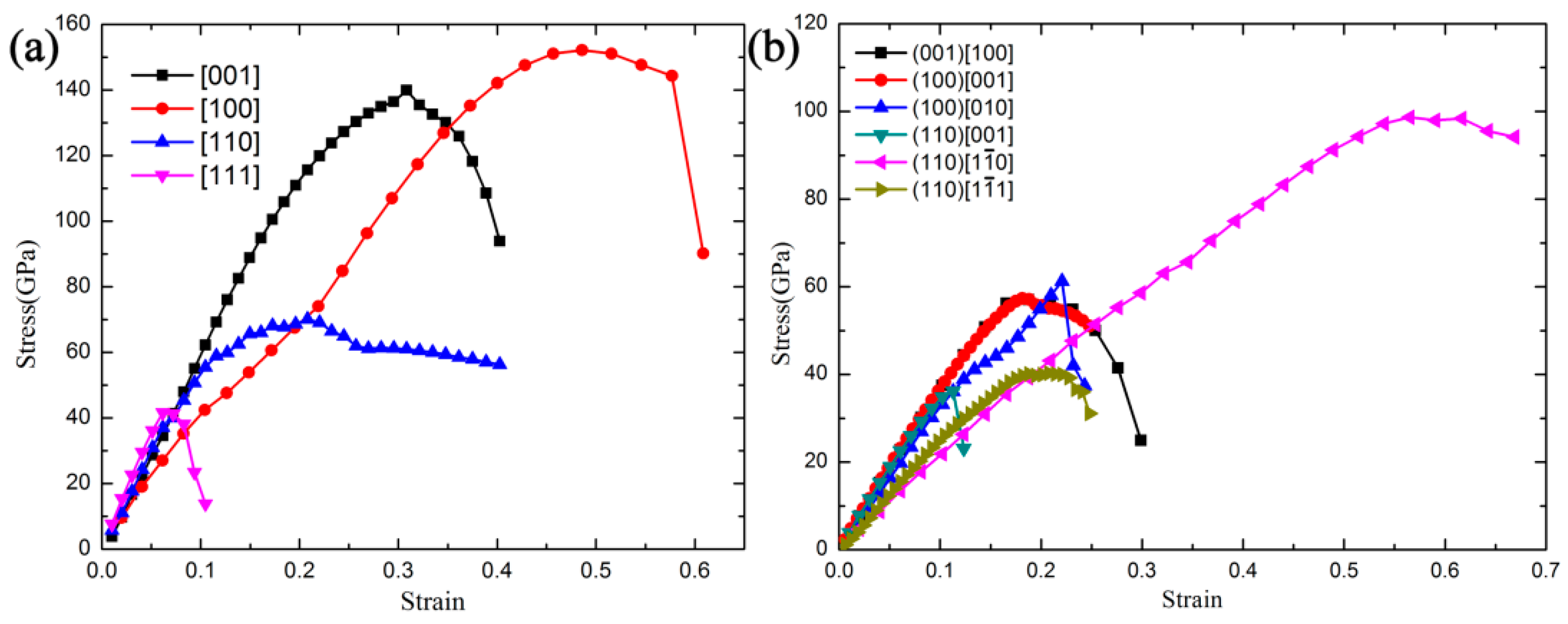
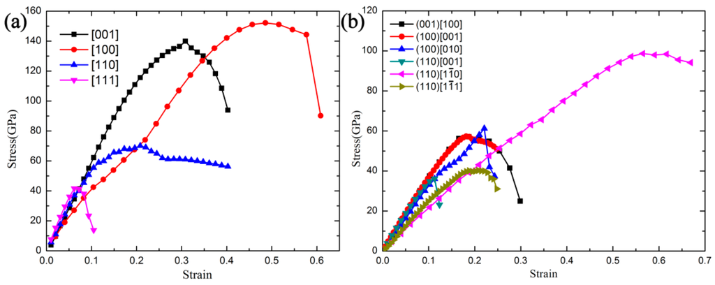
3. Results and Discussion
4. Conclusions
Acknowledgments
Author Contributions
Conflicts of Interest
References
- Domnich, V.; Reynaud, S.; Haber, R.A.; Chhowalla, M. Boron Carbide: Structure, Properties, and Stability under Stress. J. Am. Ceram. Soc. 2011, 94, 3605–3628. [Google Scholar] [CrossRef]
- Ming, L.C.; Zinin, P.V.; Liu, X.R.; Nakamoto, Y.; Jia, R. Synthesis of dense BCx phases under high-pressure and high-temperature. J. Phys. Conf. Ser. 2010, 215, 012135. [Google Scholar] [CrossRef]
- Cermignani, W.; Paulson, T.E.; Onneby, C.; Pantano, C.G. Synthesis and characterization of boron-doped carbons. Carbon 1995, 33, 367–374. [Google Scholar] [CrossRef]
- Zinin, P.V.; Ming, L.C.; Ishii, H.A.; Jia, R.; Acosta, T.; Hellebrand, E. Phase transition in BCx system under high-pressure and high-temperature: Synthesis of cubic dense BC3 nanostructured phase. J. Appl. Phys. 2012, 111, 114905. [Google Scholar] [CrossRef]
- Solozhenko, V.L.; Kurakevych, O.O.; Andrault, D.; Le Godec, Y.; Mezouar, M. Ultimate Metastable Solubility of Boron in Diamond: Synthesis of Superhard Diamondlike BC5. Phys. Rev. Lett. 2009, 102, 015506. [Google Scholar] [CrossRef] [PubMed]
- Xu, L.; Zhao, Z.; Wang, L.-M.; Xu, B.; He, J.; Liu, Z.; Tian, Y. Prediction of a Three-Dimensional Conductive Superhard Material: Diamond-like BC2. J. Phys. Chem. C 2010, 114, 22688–22690. [Google Scholar] [CrossRef]
- Liu, H.; Li, Q.; Zhu, L.; Ma, Y. Superhard and superconductive polymorphs of diamond-like BC3. Phys. Lett. A 2011, 375, 771–774. [Google Scholar] [CrossRef]
- Li, Q.; Wang, H.; Tian, Y.; Xia, Y.; Cui, T.; He, J.; Ma, Y.; Zou, G. Superhard and superconducting structures of BC5. J. Appl. Phys. 2010, 108, 023507. [Google Scholar] [CrossRef]
- Liu, H.; Li, Q.; Zhu, L.; Ma, Y. Superhard polymorphs of diamond-like BC7. Solid State Commun. 2011, 151, 716–719. [Google Scholar] [CrossRef]
- Morosin, B.; Kwei, G.H.; Lawson, A.C.; Aselage, T.L.; Emin, D. Neutron powder diffraction refinement of boron carbides nature of intericosahedral chains. J. Alloy. Compd. 1995, 226, 121–125. [Google Scholar] [CrossRef]
- Jiménez, I.; Sutherland, D.G.J.; van Buuren, T.; Carlisle, J.A.; Terminello, L.J.; Himpsel, F.J. Photoemission and X-ray-absorption study of boron carbide and its surface thermal stability. Phys. Rev. B 1998, 57, 13167–13174. [Google Scholar] [CrossRef]
- Zhang, Y.; Sun, H.; Chen, C. Superhard Cubic BC2N Compared to Diamond. Phys. Rev. Lett. 2004, 93, 195504. [Google Scholar] [CrossRef] [PubMed]
- Veprek, S.; Zhang, R.F.; Argon, A.S. Mechanical properties and hardness of boron and boron-rich solids. J. Superhard Mater. 2011, 33, 409–420. [Google Scholar] [CrossRef]
- Zhang, Y.; Sun, H.; Chen, C. Atomistic Deformation Modes in Strong Covalent Solids. Phys. Rev. Lett. 2005, 94, 145505. [Google Scholar] [CrossRef] [PubMed]
- Roundy, D.; Krenn, C.R.; Cohen, M.L.; Morris, J.W. Ideal Shear Strengths of fcc Aluminum and Copper. Phys. Rev. Lett. 1999, 82, 2713–2716. [Google Scholar] [CrossRef]
- Zhang, R.F.; Legut, D.; Niewa, R.; Argon, A.S.; Veprek, S. Shear-induced structural transformation and plasticity in ultraincompressible ReB2 limit its hardness. Phys. Rev. B 2010, 82, 104104. [Google Scholar] [CrossRef]
- Zheng, B.; Zhang, M.; Luo, H.-G. Mechanical anisotropy and origin of shear plastic deformation of tetragonal B4C4. Europhys. Lett. 2014, 108, 16001. [Google Scholar] [CrossRef]
- Zhang, M.; Yan, H.; Zhao, Y.; Wei, Q. Mechanical properties and atomistic deformation mechanism of spinel-type BeP2N4. Comput. Mater. Sci. 2014, 83, 457–462. [Google Scholar] [CrossRef]
- Perdew, J.P.; Burke, K.; Ernzerhof, M. Generalized Gradient Approximation Made Simple. Phys. Rev. Lett. 1996, 77, 3865–3868. [Google Scholar] [CrossRef] [PubMed]
- Kresse, G.; Furthmüller, J. Efficient iterative schemes for ab initio total-energy calculations using a plane-wave basis set. Phys. Rev. B 1996, 54, 11169–11186. [Google Scholar] [CrossRef]
- Kresse, G.; Joubert, D. From ultrasoft pseudopotentials to the projector augmented-wave method. Phys. Rev. B 1999, 59, 1758–1775. [Google Scholar] [CrossRef]
- Monkhorst, H.J.; Pack, J.D. Special points for Brillouin-zone integrations. Phys. Rev. B 1976, 13, 5188–5192. [Google Scholar] [CrossRef]
- Milman, V.; Warren, M.C. Elasticity of hexagonal BeO. J. Phys. Condens. Matter 2001, 13, 241. [Google Scholar] [CrossRef]
- Zhang, M.; Yan, H.; Zheng, B.; Wei, Q. Influences of carbon concentration on crystal structures and ideal strengths of B2CxO compounds in the B-C-O system. Sci. Rep. 2015, 5, 15481. [Google Scholar] [CrossRef] [PubMed]
- Hill, R. The Elastic Behaviour of a Crystalline Aggregate. Proc. Phys. Soc. Lond. Sect. A 1952, 65, 349. [Google Scholar] [CrossRef]
- Zhang, R.F.; Sheng, S.H.; Veprek, S. First principles studies of ideal strength and bonding nature of AlN polymorphs in comparison to TiN. Appl. Phys. Lett. 2007, 91, 031906. [Google Scholar] [CrossRef]
- Momma, K.; Izumi, F. VESTA3 for three-dimensional visualization of crystal, volumetric and morphology data. J. Appl. Crystallogr. 2011, 44, 1272–1276. [Google Scholar] [CrossRef]
- Lowther, J.E. The Role Played by Computation in Understanding Hard Materials. Materials 2011, 4, 1104–1116. [Google Scholar] [CrossRef]
- Lowther, J.E.; Zinin, P.V.; Ming, L.C. Vibrational energies of graphene and hexagonal structured planar B–C complexes. Phys. Rev. B 2009, 79, 033401. [Google Scholar] [CrossRef]
- Nkambule, S.M.; Lowther, J.E. Crystalline and random “diamond-like” boron–carbon structures. Solid State Commun. 2010, 150, 133–136. [Google Scholar] [CrossRef]
- Zhang, M.; Liu, H.; Li, Q.; Gao, B.; Wang, Y.; Li, H.; Chen, C.; Ma, Y. Superhard BC3 in Cubic Diamond Structure. Phys. Rev. Lett. 2015, 114, 015502. [Google Scholar] [CrossRef] [PubMed]
- Wang, Y.-J.; Wang, C.-Y. Mechanical properties and electronic structure of superhard diamondlike BC5: A first-principles study. J. Appl. Phys. 2009, 106, 043513. [Google Scholar] [CrossRef]
- Dodd, S.P.; Saunders, G.A.; James, B. Temperature and pressure dependences of the elastic properties of ceramic boron carbide (B4C). J. Mater. Sci. 2002, 37, 2731–2736. [Google Scholar] [CrossRef]
- Lee, S.; Bylander, D.M.; Kleinman, L. Elastic moduli of B12 and its compounds. Phys. Rev. B 1992, 45, 3245–3247. [Google Scholar] [CrossRef]
- Zhang, R.F.; Veprek, S.; Argon, A.S. Anisotropic ideal strengths and chemical bonding of wurtzite BN in comparison to zincblende BN. Phys. Rev. B 2008, 77, 172103. [Google Scholar] [CrossRef]
- Zhang, R.F.; Lin, Z.J.; Veprek, S. Anisotropic ideal strengths of superhard monoclinic and tetragonal carbon and their electronic origin. Phys. Rev. B 2011, 83, 155452. [Google Scholar] [CrossRef]
- Mouhat, F.; Coudert, F.-X. Necessary and sufficient elastic stability conditions in various crystal systems. Phys. Rev. B 2014, 90, 224104. [Google Scholar] [CrossRef]
- Teter, D.M. Computational Alchemy: The Search for New Superhard Materials. MRS Bull. 1998, 23, 22–27. [Google Scholar] [CrossRef]
- He, Y.; Schwarz, R.B.; Migliori, A.; Whang, S.H. Elastic constants of single crystal γ-TiAl. J. Mater. Sci. 1995, 10, 1187–1195. [Google Scholar] [CrossRef]
- Guo, X.; Li, L.; Liu, Z.; Yu, D.; He, J.; Liu, R.; Xu, B.; Tian, Y.; Wang, H.-T. Hardness of covalent compounds: Roles of metallic component and d valence electrons. J. Appl. Phys. 2008, 104, 023503. [Google Scholar] [CrossRef]
- Kurakevych, O.O.; Solozhenko, V.L. Experimental study and critical review of structural, thermodynamic and mechanical properties of superhard refractory boron suboxide B6O. J. Superhard Mater. 2011, 33, 421–428. [Google Scholar] [CrossRef]
- Mukhanov, V.A.; Kurakevych, O.O.; Solozhenko, V.L. Thermodynamic model of hardness: Particular case of boron-rich solids. J. Superhard Mater. 2010, 32, 167–176. [Google Scholar] [CrossRef]
- Yu, R.; Zhan, Q.; Zhang, X.F. Elastic stability and electronic structure of pyrite type PtN2: A hard semiconductor. Appl. Phys. Lett. 2006, 88, 051913. [Google Scholar] [CrossRef]





| Compounds | Source | C11 | C12 | C13 | C33 | C44 | C66 | B | G | E | G/B |
|---|---|---|---|---|---|---|---|---|---|---|---|
| t-BC2 | Present | 571 | 173 | 226 | 612 | 395 | 324 | 333 | 282 | 659 | 0.847 |
| B4C4 | Theory 1 | 656 | 191 | 167 | 562 | 311 | 382 | 324 | 285 | 660 | 0.879 |
| dl-BC3 | Theory 2 | 720 | 206 | 220 | 788 | 464 | 268 | 391 | 344 | 798 | |
| d-BC3 | Theory 3 | 658 | 195 | 393 | 349 | 318 | 731 | ||||
| dl-BC5 | Theory 4 | 818 | 156 | 442 | 376 | 394 | 876 | ||||
| B4C | Experiment 5 | 240 | 193 | 456 | |||||||
| Theory 6 | 562 | 124 | 70 | 518 | 234 | ||||||
| c-BN | Theory 7 | 786 | 172 | 445 | 376 | 390 | |||||
| Diamond | Theory 8 | 1052 | 122 | 555 | 432 | 517 |
| Bond | γ = 0.10288 | γ = 0.12336 | ||||
|---|---|---|---|---|---|---|
| B1–C1(d1) | 1.821 | 0.733 | −4.717 | 2.061 | 0.461 | −0.606 |
| B2–C1(d2) | 1.579 | 1.128 | −1.800 | 1.540 | 1.254 | −1.906 |
| C1–C2(d3) | 1.500 | 1.731 | −16.179 | 1.485 | 1.791 | −17.796 |
| B2–C2(d4) | 1.821 | 0.733 | −4.746 | 2.061 | 0.461 | −0.606 |
© 2016 by the authors; licensee MDPI, Basel, Switzerland. This article is an open access article distributed under the terms and conditions of the Creative Commons Attribution (CC-BY) license (http://creativecommons.org/licenses/by/4.0/).
Share and Cite
Zheng, B.; Zhang, M.; Chang, S. Mechanical Properties and Atomic Explanation of Plastic Deformation for Diamond-Like BC2. Materials 2016, 9, 514. https://doi.org/10.3390/ma9070514
Zheng B, Zhang M, Chang S. Mechanical Properties and Atomic Explanation of Plastic Deformation for Diamond-Like BC2. Materials. 2016; 9(7):514. https://doi.org/10.3390/ma9070514
Chicago/Turabian StyleZheng, Baobing, Meiguang Zhang, and Shaomei Chang. 2016. "Mechanical Properties and Atomic Explanation of Plastic Deformation for Diamond-Like BC2" Materials 9, no. 7: 514. https://doi.org/10.3390/ma9070514
APA StyleZheng, B., Zhang, M., & Chang, S. (2016). Mechanical Properties and Atomic Explanation of Plastic Deformation for Diamond-Like BC2. Materials, 9(7), 514. https://doi.org/10.3390/ma9070514

