Abstract
The correlation between the mechanical properties of Fillers/Epoxy composites and their tribological behavior was investigated. Tensile, hardness, wear, and friction tests were conducted for Neat Epoxy (NE), Graphite/Epoxy composites (GE), and Data Palm Fiber/Epoxy with or without Graphite composites (GFE and FE). The correlation was made between the tensile strength, the modulus of elasticity, elongation at the break, and the hardness, as an individual or a combined factor, with the specific wear rate (SWR) and coefficient of friction (COF) of composites. In general, graphite as an additive to polymeric composite has had an eclectic effect on mechanical properties, whereas it has led to a positive effect on tribological properties, whilst date palm fibers (DPFs), as reinforcement for polymeric composite, promoted a mechanical performance with a slight improvement to the tribological performance. Statistically, this study reveals that there is no strong confirmation of any marked correlation between the mechanical and the specific wear rate of filler/Epoxy composites. There is, however, a remarkable correlation between the mechanical properties and the friction coefficient of filler/Epoxy composites.
1. Introduction
In the last two decades, Polymer composites have been used in a wide variety of industrial applications, such as automobiles, furniture, and construction [1,2,3,4]. This is mainly due to their advantages compared to metal materials, such as their lower cost, low density, chemical resistance, high strength-to-weight ratio, less damage to processing equipment, and good relative mechanical properties [5,6,7,8]. In addition to the advantages of natural fibers, as an alternative option to synthetic fibers, date palm trees are spread widely throughout many areas, such as the Middle East, Northern Africa, India, and in the United States, and in large numbers. Moreover, date palm trees are considered from perennial trees, making them a renewable source of fibers. Using date palm fibers for reinforcing polymer composites is the attempt to create new manufacturing applications, added to their traditional and common applications, such as for ropes and baskets, where there are no tangible industrial applications for the date palm fibers [9,10,11]. However, there is a shortage of investigated research in the potential use of date palm fibers as reinforcement for polymer composites for mechanical and tribological applications, compared with other natural fibers, such as flax, jute, hemp, and coir [12,13,14]. From the mechanical point of view, fillers or fibers are an efficient way to reinforce and enhance the mechanical properties of polymers, i.e., tensile, impact, and flexural properties [8,15,16,17,18]. Extensive investigations have been carried out to improve the mechanical performance of polymer composites individually, without consideration of other types of performance, such as thermal or tribological performance. Most studies have focused on the effects of additives, such as fibers or filler, the percentage weight or modifications of the additives, and the operating conditions on the mechanical performance of polymer composites [8,18,19,20,21,22]. At the same time, few studies have investigated or considered the relationship between the mechanical and tribological properties of polymer composites. Moreover, the literature, as reported by many scholars, has not resolved the great dispute on the relation or correlation between the mechanical and the tribological performances of materials [23,24,25,26,27]. Enhancing the mechanical performance of polymer composites with convenient tribological performance, low specific wear rate and friction coefficient has been the main aim of many studies. Hence, they have considered the reverse relation between mechanical performance and tribological performance which materializes the optimal performance for polymer composites such as high density polyethylene (HDPE), polycarbonate (PC), polyethylene terephthalate (PETG), polypropylene (PP), polystyrene (PS) [26,28]. For instance, certain authors [26,29,30,31] have examined the correlation between the mechanical properties (S: tensile strength, e: elongation, and H: hardness) and the abrasion rate of a range of polymers. These studies, in considering the properties individually, reveal a weak correlation between the abrasion rate and S−1 or e−1 of the examined materials. Nevertheless, H−1 and the resistance abrasion of the examined materials were found to be closely correlated. However, other researchers have not found the same [32,33]. When factors are combined, they have emphasized the outcome of individual correlation analysis with further exploration of the mechanism of correlation and trade-offs between the studied properties [23,25,31,33,34,35]. Put differently, in order to get a clear understanding of the relation between mechanical properties and the tribological performance of polymer composites, several studies have combined mechanical properties in a single factor as opposed to specific wear rate or friction coefficient. For instance, Harsha et al. [35] studied the correlation between the mechanical properties and the three-body abrasive wear behavior of fillers/Polyaryletherketone composites. This study reported that the correlation between the wear volume and mechanical properties emerged with only some of the factors of the selected mechanical properties, such as (Se)−1 and (HSe)−1. In the same context, Lancaster et al. [36] mention a similar conclusion when studying the mechanical and tribological behaviours of different polymer composites.
Finally, establishing and comprehending the relationship between mechanical and tribological properties is considered an important element of work on enhancing the performance of polymeric composites in the future. The present study investigates the correlation between the specific wear rate (SWR) and the coefficient of friction (COF) of neat epoxy and its composites, based on different graphite percentages and date palm fibers with their mechanical properties.
2. Material Preparation and Experimental Procedure
2.1. Material Preparation
The resin mixture was prepared by mixing the epoxy and the hardener with a ratio of 1:3, in line with the industrial recommendation. Epoxy resin (R246TX) Kinetix (H160 medium) hardener were used for the current work and supplied by Australian calibrating services Pty. Ltd (Melbourne, Australia). Furthermore, different volume fractions of graphite (0, 1, 3, 5, and 7 wt %) were used. The 92% pure graphite filler size used in the current study is 45 μm, as supplied by chem- supply Pty Ltd, Australia. The graphite particles were mixed with the epoxy resin and the hardener and kept for a while until they reached the consistency of jelly. The fibers were separated from the meshes manually and washed with a tap water (2% detergent solution) to remove the contaminants, adhering dirt and dust. The extracted fibers were air dried for 48 h at room temperature. At this stage, optical microscopy (Motic stereomicroscope, SMZ168 series, Speed Fair Co., Ltd, Richmond, BC, Canada) was used to check and select the desired fibers (diameter = 0.5 ± 0.05 mm). In determining the fiber diameter, three measurements were taken at different cross sections in each fiber and the average diameter was calculated. Then, the fibers were cut to the desired length (80 mm) and preserved in polyethylene bags. The volume fraction of fibers (Vf) in the matrix was also fixed at about 35 vol %, as shown in Table 1. The mixture was carefully poured into the cavity of the molds, and a small steel tool was used to ensure the distribution of the matrix and the alignment of the fibers. The NE, GE, FE and GFE specimens for the mechanical test were prepared on the basis of ASTM D638-99 [37]. The standard dimensions (in specimen geometry) and the mold used are given in Figure 1a,b, respectively.
Table 1.
Designation of the fillers/epoxy composites.
| Material | Matrix (E) wt % | Graphite (G) wt % | Date palm fiber (F) vol % |
|---|---|---|---|
| NE | 100 | 0 | 0 |
| GE1 | 99 | 1 | 0 |
| GE3 | 97 | 3 | 0 |
| GE5 | 95 | 5 | 0 |
| GE7 | 93 | 7 | 0 |
| FE | 100 | 0 | 35 |
| GFE | 97 | 3 | 35 |
With regard to the tribological test, tribological composite specimens were prepared in conformity with the block on ring (BOR) technique, ASTM G77-98 [38]. Figure 1c,d show the specimen dimensions and the metal mold used for preparing the BOR specimens. The prepared specimens were cut into pieces with the desired dimensions of 25 mm × 58 mm × 20 mm for tribological experiments based on the block on ring technique. All the prepared mechanical and tribological specimens were removed from the mold and cured for 24 h in the same atmospheric conditions. Moreover, the specimens were cured again in an oven at a temperature of 50 °C for 24 h.
Figure 1.
(a) Tensile specimen dimensions; (b) Used tensile test mold; (c) Tribological specimen geometry; (d) Tribological mold and fiber position.
Figure 1.
(a) Tensile specimen dimensions; (b) Used tensile test mold; (c) Tribological specimen geometry; (d) Tribological mold and fiber position.

2.2. Experimental Procedures
2.2.1. Mechanical Experiments of the Composites
Tensile strength (S), Modulus of elasticity (M), and Elongation at break (e) were determined according to ASTM D638-99 [37], under ambient conditions, using TestStar Material Testing System (MTS 810) equipped with 100 KN. All tests were carried out with a gauge length of 50 mm and a cross head speed of 1 mm/min. The hardness was measured by means of a Durometer type D in accordance with ASTM D2240 [39]. The same three tests were repeated for each set of specimens, and the average values were calculated. Table 2 presents all the results of the mechanical experiments of filler/epoxy composites, with average values obtained from five test samples and the standard deviations (SD).
Table 2.
The mechanical properties of fillers/epoxy composites.
| Material | Tensile, MPa (SD) | Modulus, GPa (SD) | Elongation, % (SD) | Shore Hardness (SD) |
|---|---|---|---|---|
| NE | 55.5 (±3.57) | 0.62 (±0.84) | 9.1 (±5.91) | 82.2 (±3.38) |
| GE1 | 50 (±0.36) | 0.983 (±0.73) | 9.3 (±4.61) | 82.7 (±2.64) |
| GE3 | 39.1 (±2.81) | 1.01 (±2.08) | 10.8 (±5.94) | 83.4 (±4.05) |
| GE5 | 35.7 (±1.31) | 0.61 (±0.57) | 11.7 (±2.61) | 83.7 (±3.45) |
| GE7 | 30.86 (±4.22) | 0.4 (±3.46) | 12.8 (±4.05) | 84.5 (±4.12) |
| FE | 66.2 (±3.92) | 1.36 (±0.51) | 7.3 (±4.84) | 84.2 (±3.29) |
| GFE | 62.3 (±2.48) | 1.28 (±0.72) | 7.9 (±5.61) | 84.7 (±3.14) |
2.2.2. Tribological Experiments
In this work, the friction and wear characteristics of fillers/epoxy composites are investigated in dry contact conditions and ambient conditions as follows: temperature, 25 °C; humidity, 50 ± 5 RH against stainless steel (AISI 304; hardness = 1250 HB, Ra = 0.1 μm) counterface. The experiments were conducted using the block on ring (BOR) technique. The test was conducted for 7.56 Km sliding distance and speed = 2.8 m/s at an applied load of 50 N.
2.2.3. Linear Regression for Mechanical and Tribological Data
A linear regression is a statistical analysis applied to assess the association between two variables. It was conducted to assess the relation between the mechanical and tribological performances of fillers/epoxy composites by finding the Coefficient of Determination, R2, as shown in Equation (1). The coefficient of determination, R2, is useful because it gives the proportion of the variance (fluctuation) of one variable that is predictable from the other variable. In other words, the coefficient of determination represents the percentage of the data that is the closest to the line of best fit.
3. Result and Discussion
3.1. Specific Wear Rate and Friction Coefficient of Fillers/Epoxy Composites
The summary of specific wear rate of the fillers/epoxy composites is presented in Figure 2. Generally, it is found that the optimum graphite percentage is about 3%, which leads to the lowest specific wear rate in the steady state. It is suggested that the reasons behind these findings is that there could be a high influence on the composite porosity, graphite film transfer, and the modifications on both rubbed surfaces on the wear performance of the composites [40].
Figure 2.
Specific wear rate of the filler/epoxy composites after a 7.5-km sliding distance.
Figure 2.
Specific wear rate of the filler/epoxy composites after a 7.5-km sliding distance.

The friction coefficients of the filler/epoxy composites are shown in Figure 3. The presence of the graphite in the composites helps to reduce the friction coefficient, since graphite is well known as a solid lubricant material, which is the main reason for selecting it as filler in the current study. The filler/epoxy composites exhibit much better friction behavior when these composites are filled with graphite rather than neat epoxy. In other words, the coefficient of friction also decreases in the presence of graphite. It seems that the addition of the one weight percent of graphite reduces the friction coefficient of composites by about 12%. Moreover, filled epoxy composite with date palm fibers has led to a slight decrease in coefficient of friction, while the addition of graphite to this composite has led to a remarkable decrease in coefficient of friction, compared to the neat epoxy composite. This behavior may contribute to the lubricating action of the layer-lattice structure of graphite.
Figure 3.
Coefficient of friction of the fillers/epoxy composites after a 7.5-km sliding distance.
Figure 3.
Coefficient of friction of the fillers/epoxy composites after a 7.5-km sliding distance.

3.2. Correlation of Tribological Behavior with Mechanical Behavior
3.2.1. Specific Wear Rate and Mechanical Properties of Fillers/Epoxy Composites
For the current work on neat epoxy and its composites, based on different graphite percentage and date palm fibers, the mechanical and wear properties of the materials were extracted and plotted to study the correlation between the adhesive wear performance and the mechanical properties.
Several attempts were made to find any correlation between individual mechanical properties with the steady state of the specific wear rate under a 50 N applied load after a 7.56-km sliding distance using the BOR technique. The sample of the plotted figures are given in Figure 4, showing the inverse of the tensile strength (S−1), modulus of elasticity (M−1), elongation at the break (e−1) and hardness (H−1) against the specific wear rate of the studied materials. Considering the individual mechanical property, there is no remarkable and significant correlation between the mechanical properties and the specific wear rate. In other words, tensile strength, modulus of elasticity, elongation at the break, or hardness has no correlation with the specific wear rate of the materials. For instance, the maximum R2 was approximately 12% out of 100%, which was between the modulus of elasticity and the specific wear rate. This confirms the concept of wear, as it is the response to the interaction between the asperities, is not dependent on the mechanical properties of the materials [41].
The combination of more than one mechanical property may give better a correlation with the specific wear rate. Figure 5 displays some of the mechanical properties combined together against a specific wear rate. Despite the fact that there is a slight increase in the error square (36%) compared to the individual properties (<12%), there is no strong evidence to confirm that there is correlation between the mechanical and the tribological properties. Therefore, this work is highly in agreement with the literature stating that there is no correlation, as reported by [29,42,43,44]. All the results of the correlation analysis between the mechanical properties with specific wear rate are presented in Table 3.
Figure 4.
Correlation between the individual mechanical properties and specific wear rate (SWR) of the materials. (a) Tensile strength; (b) Modulus of elasticity; (c) Elongation at the break; (d) Hardness.
Figure 4.
Correlation between the individual mechanical properties and specific wear rate (SWR) of the materials. (a) Tensile strength; (b) Modulus of elasticity; (c) Elongation at the break; (d) Hardness.

Figure 5.
Correlation between the combined mechanical properties and SWR of materials. (a) (Me)−1; (b) (MeH)−1; (c) (SH)−1; (d) (SMH)−1.
Figure 5.
Correlation between the combined mechanical properties and SWR of materials. (a) (Me)−1; (b) (MeH)−1; (c) (SH)−1; (d) (SMH)−1.

Table 3.
Correlation analysis results of the correlation between the mechanical properties and specific wear rate (SWR) of the materials.
| Factor | S−1 | M−1 | e−1 | H−1 | (SM)−1 | (Se)−1 | (SH)−1 | (Me)−1 |
|---|---|---|---|---|---|---|---|---|
| R2% | 4.38 | 11.8 | 6.45 | 0.03 | 3.17 | 9.36 | 4.63 | 36.63 |
| Factor | (MH)−1 | (eH)−1 | (SMe)−1 | (SMH)−1 | (SHe)−1 | (MeH)−1 | (SMeH)−1 | - |
| R2% | 12.06 | 6.7 | 6.27 | 3.18 | 10.33 | 36.66 | 6.39 | - |
3.2.2. Coefficient of Friction and Mechanical Properties of Fillers/Epoxy Composites
From the literature review, there remains a lack of research in the studying of the correlations between the mechanical properties and the friction coefficient of filler/polymer composite materials. Therefore, various attempts were made to find any correlation between individual mechanical properties with the steady state of the coefficient of friction (COF) under 50 N applied load after a 7.56-km sliding distance using the BOR technique. Considering individual mechanical properties, Figure 6 shows the correlation results of the tensile strength (S−1), modulus of elasticity (M−1), elongation at the break (e−1), and hardness (H−1) against the coefficient of friction of the studied materials. The correlation results show a remarkable and significant correlation between S−1 and e−1 (83.3% and 73.2%), while the modulus of elasticity and hardness have no correlation with the coefficient of friction of the materials (22.5%, 11.9%).
Figure 6.
Correlation between the individual mechical properties and COF of the materials. (a) Tensile strength; (b) Elongation at the break; (c) Modulus of elasticity; (d) Hardness.
Figure 6.
Correlation between the individual mechical properties and COF of the materials. (a) Tensile strength; (b) Elongation at the break; (c) Modulus of elasticity; (d) Hardness.

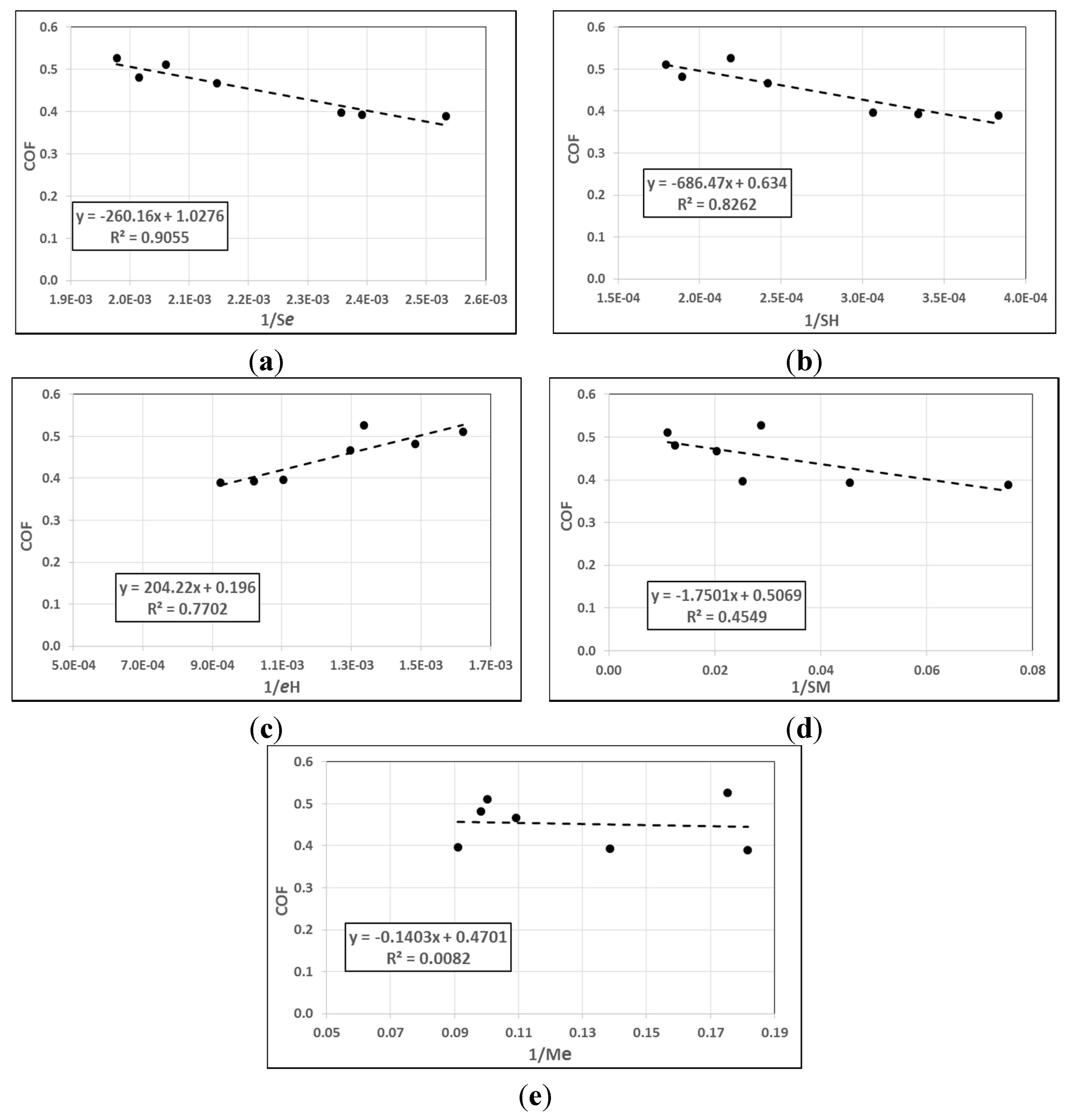
On the other hand, the correlation results between the combination of mechanical properties with the coefficient of friction are shown in Figure 7. The figure indicates that there was a stronger correlation between COF and (Se)−1, 90.5%, than when considering S−1 or e−1 individually. Additionally, Figure 7 displays that when considering S−1 or e−1 alone, each one obtains a better correlation than when combines with modulus of elasticity (M), 45.5% and 0.82%, respectively. In contrast, SH−1 and eH−1 (82.6%, and 77%, respectively), show a fluctuation in correlation degree with COF than considering S−1 or e−1 individually. It can be concluded that in filler/epoxy composite materials, the tensile strength and elongation at the break play a significant role in controlling COF. In other words, increasing the strength and elongation at the break leads to a low in COF. At the same time, the modulus of elasticity had more influence on the COF compared to the hardness. All the results of the correlation analysis between the mechanical properties with coefficient of friction are presented in Table 4.
Figure 7.
Correlation between the combined mechanical properties and COF of the materials. (a) (Se)−1; (b) (SH)−1; (c) (eH)−1; (d) (SM)−1; (e) (Me)−1.
Figure 7.
Correlation between the combined mechanical properties and COF of the materials. (a) (Se)−1; (b) (SH)−1; (c) (eH)−1; (d) (SM)−1; (e) (Me)−1.

Table 4.
Correlation analysis results of the correlation between the mechanical.
| Factor | S−1 | M−1 | e−1 | H−1 | (SM)−1 | (Se)−1 | (SH)−1 | (Me)−1 |
|---|---|---|---|---|---|---|---|---|
| R2% | 83.3 | 22.6 | 73.2 | 11.9 | 45.5 | 90.55 | 82.62 | 0.82 |
| Factor | (MH)−1 | (eH)−1 | (SMe)−1 | (SMH)−1 | (SHe)−1 | (MeH)−1 | (SMeH)−1 | - |
| R2% | 21.37 | 77.02 | 35.61 | 45.14 | 89.29 | 0.46 | 34.78 | - |
Micrographs of the neat epoxy worn surface after sliding against a stainless steel counterface under 50 N applied load and a 2.8-m/s sliding velocity for different sliding distances are presented in Figure 8. The surface of the neat epoxy suffers from fragmentation (marked as “fg”). This is mainly due to the influence of the thermo-mechanical loading in the rubbing region. Additionally, there is a softening process (marked as “so”) taking place. At this long sliding distance, there is the appearance of fracture on the surface, which is due to the high shear loading in the interface, associated with the high temperature. Such behavior has been reported elsewhere, when vinyl ester [42] and polyester [13,43] have been tested under adhesive wear loading.
Figure 9 shows the micrographs of the worn surfaces, indicating that there is a sign of film transfer and micro-cracks can be seen on the micrograph. From the literature, the high content of the fillers, graphite, in the composite may act as a crack initiator and be a weak area on the composite surface, as reported by [44,45]. There is no good integration between the two surfaces due to presence the graphite on the surface of the composites.
Figure 8.
Micrographs of neat epoxy after adhesive testing. (fg: fragmentation; so: softening; Cr: cracks)
Figure 8.
Micrographs of neat epoxy after adhesive testing. (fg: fragmentation; so: softening; Cr: cracks)

Figure 9.
Micrographs of 5% graphite/epoxy composites after adhesive testing. (fl: film transfer; gr: graphite; mc: micro-crack)
Figure 9.
Micrographs of 5% graphite/epoxy composites after adhesive testing. (fl: film transfer; gr: graphite; mc: micro-crack)

Figure 10 shows that there is a debonding between the fiber and its surroundings, and also cracks on the surface of fiber. This is due to the rougher surface of the counterface associated with the high thermo-mechanical loading. Further, there is plowing process that occurs in the resinous region.
Figure 10.
Micrographs of 3% graphite/date palm fiber/epoxy after tensile test. (Pg: plowing; Cr: Crack; Db: debonding)
Figure 10.
Micrographs of 3% graphite/date palm fiber/epoxy after tensile test. (Pg: plowing; Cr: Crack; Db: debonding)

4. Conclusions
- Graphite, as an additive to polymer composites, has led to eclectic effects on mechanical properties of graphite/epoxy composites, at the same time as affirmative effects on tribological properties of graphite/epoxy composites.
- Date palm fiber reinforced epoxy composites with or without graphite have shown an amended mechanical performance and slight improvement of the tribological performance.
- Correlation studies did not reveal any correlation between the mechanical properties and the specific wear rate.
- Tensile strength and elongation at the break play a significant role in the friction behavior of fillers/epoxy composite materials.
- The correlation results between the combination of mechanical properties with the COF are revealed:
- ○
- The modulus of elasticity had more influence on the COB compared to the hardness.
- ○
- Hardness has a wobbling correlation with COF.
Acknowledgments
I would like to express my appreciation to Public Authority for Applied Education and Training (PAAET), Research Support Sector, for their support, encouragement, and guidance provided at every stage of this work.
Author Contributions
Abdullah Shalwan conceived and designed the experiments and wrote the literature review for this article. Mahdi Alajmi performed the mechanical experiments and obtained the funding from PAAET. Abdullah Shalwan performed the tribological experiments and statistical work. Mahdi Alajmi and Abdullah Shalwan contributed in analysis the data, wrote the article, the critical revision of the article and approve the final article.
Conflicts of Interest
The authors declare no conflict of interest.
References
- Vishwanath, B.; Verma, A.P.; Rao, C.V.S.K. Effect of reinforcement on friction and wear of fabric reinforced polymer composites. Wear 1993, 167, 93–99. [Google Scholar] [CrossRef]
- Aldousiri, B.; Shalwan, A.; Chin, C.W. A review on tribological behaviour of polymeric composites and future reinforcements. Adv. Mater. Sci. Eng. 2013, 2013, 645923. [Google Scholar] [CrossRef]
- Hashmi, S.A.R.; Dwivedi, U.K.; Chand, N. Friction and sliding wear of UHMWPE modified cotton fibre reinforced polyester composites. Tribol. Lett. 2006, 21, 79–87. [Google Scholar] [CrossRef]
- Mylsamy, K.; Rajendran, I. Influence of fibre length on the wear behaviour of chopped agave americana fibre reinforced epoxy composites. Tribol. Lett. 2011, 44, 75–80. [Google Scholar] [CrossRef]
- Cenna, A.A.; Doyle, J.; Page, N.W.; Beehag, A.; Dastoor, P. Wear mechanisms in polymer matrix composites abraded by bulk solids. Wear 2000, 240, 207–214. [Google Scholar] [CrossRef]
- Shao, L.; Low, B.T.; Chung, T.S.; Greenberg, A.R. Polymeric membranes for the hydrogen economy: Contemporary approaches and prospects for the future. J. Membr. Sci. 2009, 327, 18–31. [Google Scholar] [CrossRef]
- Yousif, B.F. Effect of oil palm fibres volume fraction on mechanical properties of polyester composites. Int. J. Mod. Phys. B 2010, 24, 4459–4470. [Google Scholar] [CrossRef]
- Aldousiri, B.; Alajmi, M.; Shalwan, A. Mechanical properties of palm fibre reinforced recycled HDPE. Adv. Mater. Sci. Eng. 2013, 2013. [Google Scholar] [CrossRef]
- Cheung, H.Y.; Ho, M.P.; Lau, K.T.; Cardona, F.; Hui, D. Natural fibre-reinforced composites for bioengineering and environmental engineering applications. Compos. Part B Eng. 2009, 40, 655–663. [Google Scholar] [CrossRef]
- Wambua, P.; Ivens, J.; Verpoest, I. Natural fibres: Can they replace glass in fibre reinforced plastics? Compos. Sci. Technol. 2003, 63, 1259–1264. [Google Scholar] [CrossRef]
- Thomas, S.; Pothan, L.A. Natural Fibre Reinforced Polymer Composites: From Macro to Nanoscale; Old City Publishing: Philadelphia, PA, USA, 2008; pp. 3–12. [Google Scholar]
- Azwa, Z.N.; Yousif, B.F.; Manalo, A.C.; Karunasena, W. A review on the degradability of polymeric composites based on natural fibres. Mater. Des. 2013, 47, 424–442. [Google Scholar] [CrossRef]
- Albdiry, M.T.; Yousif, B.F. Morphological structures and tribological performance of unsaturated polyester based untreated/silane-treated halloysite. Mater. Des. 2013, 48, 68–76. [Google Scholar]
- Yousif, B.F.; Nirmal, U. Wear and frictional performance of polymeric composites aged in various solutions. Wear 2011, 272, 97–104. [Google Scholar] [CrossRef]
- Pavlidou, S.; Papaspyrides, C.D. A review on polymer–layered silicate nanocomposites. Prog. Polym. Sci. 2008, 33, 1119–1198. [Google Scholar] [CrossRef]
- Alexandre, M.; Dubois, P. Polymer-layered silicate nanocomposites: Preparation, properties and uses of a new class of materials. Mater. Sci. Eng. R Rep. 2000, 28, 1–63. [Google Scholar] [CrossRef]
- Kiliaris, P.; Papaspyrides, C.D. Polymer/layered silicate (clay) nanocomposites: An overview of flame retardancy. Prog. Polym. Sci. 2010, 35, 902–958. [Google Scholar] [CrossRef]
- Yousif, B.F.; Shalwan, A.; Chin, C.W.; Ming, K.C. Flexural properties of treated and untreated kenaf/epoxy composites. Mater. Des. 2012, 40, 378–385. [Google Scholar] [CrossRef]
- Gopinath, A.; Kumar, M.S.; Elayaperumal, A. Experimental investigations on mechanical properties of jute fiber reinforced composites with polyester and epoxy resin matrices. Procedia Eng. 2014, 97, 2052–2063. [Google Scholar] [CrossRef]
- Li, J.; Wu, Z.; Huang, C.; Li, L. Multiscale carbon nanotube-woven glass fiber reinforced cyanate ester/epoxy composites for enhanced mechanical and thermal properties. Compos. Sci. Technol. 2014, 104, 81–88. [Google Scholar] [CrossRef]
- Withers, G.J.; Yu, Y.; Khabashesku, V.N.; Cercone, L.; Hadjiev, V.G.; Souza, J.M.; Davis, D.C. Improved mechanical properties of an epoxy glass–fiber composite reinforced with surface organomodified nanoclays. Compos. Part B Eng. 2015, 72, 175–182. [Google Scholar] [CrossRef]
- Kaymakci, A.; Ayrilmis, N. Investigation of correlation between Brinell hardness and tensile strength of wood plastic composites. Compos. Part B Eng. 2014, 58, 582–585. [Google Scholar] [CrossRef]
- Yousif, B.F.; El-Tayeb, N.S.M. Wear characteristics of thermoset composite under high stress three-body abrasive. Tribol. Int. 2010, 43, 2365–2371. [Google Scholar] [CrossRef]
- Fowler, G.; Pashby, I.R.; Shipway, P.H. The effect of particle hardness and shape when abrasive water jet milling titanium alloy Ti6Al4V. Wear 2009, 266, 613–620. [Google Scholar] [CrossRef]
- Harsha, A.P.; Tewari, U.S. Two-body and three-body abrasive wear behaviour of polyaryletherketone composites. Polym. Test. 2003, 22, 403–418. [Google Scholar] [CrossRef]
- Shipway, P.H.; Ngao, N.K. Microscale abrasive wear of polymeric materials. Wear 2003, 255, 742–750. [Google Scholar] [CrossRef]
- Arhaim, Y.H.; Shalwan, A.; Yousif, B.F. Correlation between frictional force, interface temperature and specific wear rate of fibre polymer composites. Adv. Mater. Res. 2013, 685, 45–49. [Google Scholar] [CrossRef]
- Yamaguchi, Y. Preface. In Tribology of Plastic Materials; Elsevier: Amsterdam, The Netherlands, 1990. [Google Scholar]
- Yamaguchi, Y. Their characteristics and applications to sliding components. In Tribology of Plastic Materials; Elsevier: Amsterdam, The Netherlands, 1990; pp. 93–141. [Google Scholar]
- Dwivedi, U.K.; Chand, N. Influence of MA-g-PP on abrasive wear behaviour of chopped sisal fibre reinforced polypropylene composites. J. Mater. Process. Technol. 2009, 209, 5371–5375. [Google Scholar] [CrossRef]
- Chand, N.; Dwivedi, U.K. Effect of coupling agent on abrasive wear behaviour of chopped jute fibre-reinforced polypropylene composites. Wear 2006, 261, 1057–1063. [Google Scholar] [CrossRef]
- Goriparthi, B.K.; Suman, K.N.S.; Rao, N.M. Effect of fiber surface treatments on mechanical and abrasive wear performance of polylactide/jute composites. Compos. Part A Appl. Sci. Manuf. 2012, 43, 1800–1808. [Google Scholar] [CrossRef]
- Zhao, G.; Hussainova, I.; Antonov, M.; Wang, Q.; Wang, T. Friction and wear of fiber reinforced polyimide composites. Wear 2013, 301, 122–129. [Google Scholar] [CrossRef]
- Budinski, K.G. Resistance to particle abrasion of selected plastics. Wear 1997, 203–204, 302–309. [Google Scholar] [CrossRef]
- Harsha, A.P.; Tewari, U.S.; Venkatraman, B. Three-body abrasive wear behaviour of polyaryletherketone composites. Wear 2003, 254, 680–692. [Google Scholar] [CrossRef]
- Larsen-Basse, J.; Tadjvar, A. Slurry abrasion of polymers under simulated submarine conditions. Wear 1988, 122, 135–149. [Google Scholar] [CrossRef]
- American Society for Testing Materials. Standard Test Method for Tensile Properties of Plastics; ASTM D638-99; ASTM International: West Conshohocken, PA, USA, 2000. [Google Scholar]
- American Society for Testing Materials. Standard Test Method for Ranking Resistance of Materials to Sliding Wear Using Block-on-Ring Wear Test; ASTM G77-98; ASTM International: West Conshohocken, PA, USA, 2010. [Google Scholar]
- American Society for Testing Materials. Standard Test Method for Rubber Property—Durometer Hardness; ASTM International: West Conshohocken, PA, USA, 2005. [Google Scholar]
- Busick, D.N.; Spontak, R.J.; Balik, C.M. Effects of graphite content on the morphology and barrier properties of poly(vinylidene fluoride) composites. Polymer 1999, 40, 6023–6029. [Google Scholar] [CrossRef]
- Stachowiak, G.W. Wear: Materials, Mechanisms and Practice; Wiley: Hoboken, NJ, USA, 2005. [Google Scholar]
- Suresha, B.; Kumar, K.S.; Seetharamu, S.; Kumaran, P.S. Friction and dry sliding wear behavior of carbon and glass fabric reinforced vinyl ester composites. Tribol. Int. 2010, 43, 602–609. [Google Scholar] [CrossRef]
- Pihtili, H. An experimental investigation of wear of glass fibre–epoxy resin and glass fibre–polyester resin composite materials. Eur. Polym. J. 2009, 45, 149–154. [Google Scholar] [CrossRef]
- Bahadur, S.; Gong, D.; Anderegg, J. Investigation of the influence of CaS, CaO and CaF2 fillers on the transfer and wear of nylon by microscopy and XPS analysis. Wear 1996, 197, 271–279. [Google Scholar] [CrossRef]
- Friedrich, K.; Zhang, Z.; Schlarb, A.K. Effects of various fillers on the sliding wear of polymer composites. Compos. Sci. Technol. 2005, 65, 2329–2343. [Google Scholar] [CrossRef]
© 2015 by the authors; licensee MDPI, Basel, Switzerland. This article is an open access article distributed under the terms and conditions of the Creative Commons Attribution license (http://creativecommons.org/licenses/by/4.0/).