Ultrasound Elasticity Imaging System with Chirp-Coded Excitation for Assessing Biomechanical Properties of Elasticity Phantom
Abstract
:1. Introduction
2. System Architecture


3. Methodology Description

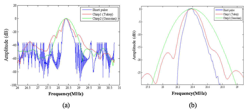
3.1. Chirp Pulse
| Name of Scheme | Window Function | Type of Compression Filter |
|---|---|---|
| Chirp 1 | Tukey | Matched |
| Chirp 2 | Gaussian | Matched |

3.1.1. Tukey Window

3.1.2. Gaussian Window

3.1.3. Matched Filter

3.2. Tissue-Mimicking Phantom

3.3. Signal Processor



3.3.1. Cross Correlation Algorithm, CC
3.3.2. Absolute Difference Algorithm, AD
4. Experimental Results
4.1. Trigger Single Trial




4.2. Strain-Stress Curve

4.3. Optimal Parameters of Algorithm in Elastography
4.3.1. Effect of Pulse Length

4.3.2. Effect of Applied Strain

4.3.3. Effect of Correlation Window Length

4.3.4. CNRe


4.3.5. Correlation Window Length
| Windows Length (mm) | Short Pulse | Chirp Pulse |
|---|---|---|
| 0.38 | 12.16 | 14.71 |
| 0.77 | 27.28 | 29.83 |
| 1.16 | 45.06 | 47.03 |
| 1.54 | 48.48 | 49.32 |


4.3.6. Differential Strain
| Phantom | CC | AD | ||
|---|---|---|---|---|
| Strain | Short | Chirp | Short | Chirp |
| 1% | 52.1 | 56.7 | 48.5 | 50.2 |
| 2% | 40.8 | 42.3 | 13.2 | 16.1 |
| 3% | 0.2 | 29.1 | 5.2 | 5.3 |

4.3.7. Lateral Resolution

4.4. Young’s Modulus
| Algorithm | Phantom | Short Pulse (kPa) | Chirp (kPa) |
|---|---|---|---|
| CC | Soft | 14.50 ± 0.16 | 14.97 ± 0.66 |
| Hard | 25.03 ± 0.77 | 25.52 ± 1.22 | |
| AD | Soft | 14.66 ± 0.53 | 14.43 ± 0.08 |
| Hard | 22.52 ± 0.70 | 22.72 ± 0.32 |


4.5. Discussion
| Pulse | Short Pulse | Chirp 1 (Tukey) | Chirp 2 (Gaussian) |
|---|---|---|---|
| eSNR (dB) | 20.22 | 33.09 | 30.36 |

5. Conclusions
| Pulse Type | Peak Frequency (MHz) | Echo Peak Amplitude (V) |
|---|---|---|
| Unipolar Pulse | 25 | 0.96 |
| Bipolar Pulse | 25 | 1.04 |
| Coded excitation (Chirp) | 25 | 2.08 |
Acknowledgments
Author Contributions
Conflicts of Interest
References
- Ophir, J.; Alam, S.K.; Garra, B.S.; Kallel, F.; Konofagou, E.E.; Krouskop, T.; Merritt, C.R.B.; Righetti, R.; Souchon, R.; Srinivasan, S. Elastography: Imaging the elastic properties of soft tissues with ultrasound. J. Med. Ultrason. 2002, 29, 155–171. [Google Scholar] [CrossRef]
- Ophir, J.; Cespedes, I.; Ponnekanti, H.; Yazdi, Y.; Li, X. Elastography: A quantitative method for imaging the elasticity of biological tissues. Ultrason. Imaging 1991, 13, 111–134. [Google Scholar] [CrossRef] [PubMed]
- Zhai, L.; Madden, J.; Foo, W.C.; Palmeri, M.L.; Mouraviev, V.; Polascik, T.J.; Nightingale, K.R. Acoustic radiation force impulse imaging of human prostates ex vivo. Ultrasound Med. Biol. 2010, 36, 576–588. [Google Scholar] [CrossRef] [PubMed]
- Gallotti, A.; D’onofrio, M.; Romanini, L.; Cantisani, V.; Mucelli, R.P. Acoustic Radiation Force Impulse (ARFI) ultrasound imaging of solid focal liver lesions. Eur. J. Radiol. 2012, 81, 451–455. [Google Scholar] [CrossRef] [PubMed]
- Balleyguier, C.; Canale, S.; Hassen, W.B.; Vielh, P.; Bayou, E.H.; Mathieu, M.C.; Uzan, C.; Bourgier, C.; Dromain, C. Breast elasticity: Principles, technique, results: An update and overview of commercially available software. Eur. J. Radiol. 2013, 82, 427–434. [Google Scholar] [CrossRef] [PubMed]
- Destounis, S.; Gruttadauria, J.L. Elasticity imaging 101. J. Radiol. Nurs. 2013, 32, 124–130. [Google Scholar] [CrossRef]
- Gennisson, J.L.; Deffieux, T.; Fink, M.; Tanter, M. Ultrasound elastography: Principles and techniques. Diagn. Interv. Imaging 2013, 94, 487–495. [Google Scholar] [CrossRef] [PubMed]
- Varghese, T. Quasi-static ultrasound elastography. Ultrasound Clin. 2009, 4, 323–338. [Google Scholar] [CrossRef] [PubMed]
- Gao, L.; Parker, K.J.; Lerner, R.M.; Levinson, S.F. Imaging of the elastic properties of tissue—A review. Ultrasound Med. Biol. 1996, 22, 959–977. [Google Scholar] [CrossRef]
- Benson, J.; Fan, L. Tissue Strain Analytics—A Complete Ultrasound Solution for Elastography. 2012. Available online: http://www.google.com/url?sa=t&rct=j&q=&esrc=s&source=web&cd=1&ved=0ahUKEwjRqMarqKvJAhUKJ5QKHZ8CDd0QFggjMAA&url=http%3A%2F%2Fsonoworld.com%2FCommon%2FDownloadFile.aspx%3FModuleDocumentsId%3D66&usg=AFQjCNFvP5Ymuj2jd1BYncxUJoXKBSF9Xg&bvm=bv.108194040,d.dGo&cad=rja (accessed on 25 November 2015).
- Nightingale, K.R.; Palmeri, M.L.; Nightingale, R.W.; Trahey, G.E. On the feasibility of remote palpation using acoustic radiation force. J. Acoust. Soc. Am. 2001, 110, 625–634. [Google Scholar] [CrossRef] [PubMed]
- Sarvazyan, A.P.; Rudenko, O.V.; Swanson, S.D.; Fowlkes, J.B.; Emelianov, S.Y. Shear wave elasticity imaging: A new ultrasonic technology of medical diagnostics. Ultrasound Med. Biol. 1998, 24, 1419–1435. [Google Scholar] [CrossRef]
- Nightingale, K.; McAleavey, S.; Trahey, G. Shear-wave generation using acoustic radiation force: In vivo and ex vivo results. Ultrasound Med. Biol. 2003, 29, 1715–1723. [Google Scholar] [CrossRef] [PubMed]
- Peng, H.; Liu, D.C. Chirp-coded pulse excitation for ultrasound elasticity imaging. In Proceedings of the 2010 4th International Conference on Bioinformatics and Biomedical Engineering (iCBBE), Chengdu, China, 18–20 June 2010; pp. 1–4.
- Liu, J.; Insana, M.F. Coded pulse excitation for ultrasonic strain imaging. IEEE Trans. Ultrason. Ferroelectr. Freq. Control 2005, 52, 231–240. [Google Scholar] [PubMed]
- Chaturvedi, P.; Insana, M.F.; Hall, T.J. 2-D companding for noise reduction in strain imaging. IEEE Trans. Ultrason. Ferroelectr. Freq. Control 1998, 45, 179–191. [Google Scholar] [CrossRef] [PubMed]
- Cespedes, I.; Ophir, J.; Ponnekanti, H.; Maklad, N. Elastography: Elasticity imaging using ultrasound with application to muscle and breast in vivo. Ultrason. Imaging 1993, 15, 73–88. [Google Scholar] [CrossRef] [PubMed]
- Fung, Y.C. Biomechanics: Mechanical Properties of Living Tissues; Springer: Berlin/Heidelberg, Germany, 1993. [Google Scholar]
- Qiu, W.; Yu, Y.; Tsang, F.K.; Zheng, H.; Sun, L. A novel modulated excitation imaging system for microultrasound. IEEE Trans. Biomed. Eng. 2013, 60, 1884–1890. [Google Scholar] [PubMed]
- Peng, H.; Liu, D.C. Enhanced ultrasound strain imaging using chirp-coded pulse excitation. Biomed. Signal Process. Control 2013, 8, 130–141. [Google Scholar] [CrossRef]
- Turin, G. An introduction to matched filters. IRE Trans. Inf. Theory 1960, 6, 311–329. [Google Scholar] [CrossRef]
- Zahiri-Azar, R.; Salcudean, S.E. Motion estimation in ultrasound images using time domain cross correlation with prior estimates. IEEE Trans. Biomed. Eng. 2006, 53, 1990–2000. [Google Scholar] [CrossRef] [PubMed]
- Chaturvedi, P.; Insana, M.F.; Hall, T.J. Testing the limitations of 2-D companding for strain imaging using phantoms. IEEE Trans. Ultrason. Ferroelectr. Freq. Control 1998, 45, 1022–1031. [Google Scholar] [CrossRef] [PubMed]
- Varghese, T.; Ophir, J. Enhancement of echo-signal correlation in elastography using temporal stretching. IEEE Trans. Ultrason. Ferroelectr. Freq. Control 1997, 44, 173–180. [Google Scholar] [CrossRef] [PubMed]
- Price, J.M.; Patitucci, P.; Fung, Y.C. Biomechanics. Mechanical Properties of Living Tissues; Springer: Berlin/Heidelberg, Germany, 1981. [Google Scholar]
- O’Donnell, M. Coded excitation system for improving the penetration of real-time phased-array imaging systems. IEEE Trans. Ultrason. Ferroelectr. Freq. Control 1992, 39, 341–351. [Google Scholar] [CrossRef] [PubMed]
- Liu, J.; Abbey, C.K.; Insana, M.F. Linear approach to axial resolution in elasticity imaging. IEEE Trans. Ultrason. Ferroelectr. Freq. Control 2004, 51, 716–725. [Google Scholar] [PubMed]
- Yamakawa, M.; Shiina, T. Tissue elasticity reconstruction based on 3-dimensional finite-element model. Jpn. J. Appl. Phys. 1999, 38, 3393. [Google Scholar] [CrossRef]
- Hu, C.H.; Liu, R.; Zhou, Q.; Yen, J.; Shung, K.K. Coded excitation using biphase-coded pulse with mismatched filters for high-frequency ultrasound imaging. Ultrasonics 2006, 44, 330–336. [Google Scholar] [CrossRef] [PubMed]
- Santos, S.D.; Domenjoud, M.; Prevorovsky, Z. Ultrasonic imaging of human tooth using chirp-coded nonlinear time reversal acoustics. Phys. Procedia 2010, 3, 913–918. [Google Scholar] [CrossRef]
- Pedersen, M.H.; Misaridis, T.X.; Jensen, J.A. Clinical evaluation of chirp-coded excitation in medical ultrasound. Ultrasound Med. Biol. 2003, 29, 895–905. [Google Scholar] [CrossRef]
© 2015 by the authors; licensee MDPI, Basel, Switzerland. This article is an open access article distributed under the terms and conditions of the Creative Commons by Attribution (CC-BY) license (http://creativecommons.org/licenses/by/4.0/).
Share and Cite
Chun, G.-C.; Chiang, H.-J.; Lin, K.-H.; Li, C.-M.; Chen, P.-J.; Chen, T. Ultrasound Elasticity Imaging System with Chirp-Coded Excitation for Assessing Biomechanical Properties of Elasticity Phantom. Materials 2015, 8, 8392-8413. https://doi.org/10.3390/ma8125458
Chun G-C, Chiang H-J, Lin K-H, Li C-M, Chen P-J, Chen T. Ultrasound Elasticity Imaging System with Chirp-Coded Excitation for Assessing Biomechanical Properties of Elasticity Phantom. Materials. 2015; 8(12):8392-8413. https://doi.org/10.3390/ma8125458
Chicago/Turabian StyleChun, Guan-Chun, Hsing-Jung Chiang, Kuan-Hung Lin, Chien-Ming Li, Pei-Jarn Chen, and Tainsong Chen. 2015. "Ultrasound Elasticity Imaging System with Chirp-Coded Excitation for Assessing Biomechanical Properties of Elasticity Phantom" Materials 8, no. 12: 8392-8413. https://doi.org/10.3390/ma8125458
APA StyleChun, G.-C., Chiang, H.-J., Lin, K.-H., Li, C.-M., Chen, P.-J., & Chen, T. (2015). Ultrasound Elasticity Imaging System with Chirp-Coded Excitation for Assessing Biomechanical Properties of Elasticity Phantom. Materials, 8(12), 8392-8413. https://doi.org/10.3390/ma8125458
