Next Article in Journal
A Comparative Study on the Finite Element Analysis of Multilayered Honeycomb Composite Materials for Aerospace Structures
Next Article in Special Issue
Determination of Quantum Yield in Scattering Media Using Monte Carlo Photoluminescence Cascade Simulation and Integrating Sphere Measurements
Previous Article in Journal
As-Casting Structure and Homogenization Behavior of Ta-Containing GH4151 Ni-Based Superalloy
Previous Article in Special Issue
Straight Disclinations in Fractional Nonlocal Medium
 
 
Font Type:
Arial Georgia Verdana
Font Size:
Aa Aa Aa
Line Spacing:
Column Width:
Background:
Article

Study of ZrO2 Gate Dielectric with Thin SiO2 Interfacial Layer in 4H-SiC Trench MOS Capacitors

1
Institute of Wide Bandgap Semiconductors and Future Lighting, Academy for Engineering & Technology, Fudan University, Shanghai 200433, China
2
Shanghai Research Center for Silicon Carbide Power Devices Engineering & Technology, Fudan University, Shanghai 200433, China
3
Institute of Wide Bandgap Semiconductor Materials and Devices, Research Institute of Fudan University in Ningbo, Ningbo 315327, China
*
Author to whom correspondence should be addressed.
Materials 2025, 18(8), 1741; https://doi.org/10.3390/ma18081741
Submission received: 27 February 2025 / Revised: 24 March 2025 / Accepted: 26 March 2025 / Published: 10 April 2025
(This article belongs to the Special Issue Feature Papers in Materials Physics (2nd Edition))

Abstract

The transition of SiC MOSFET structure from planar to trench-based architectures requires the optimization of gate dielectric layers to improve device performance. This study utilizes a range of characterization techniques to explore the interfacial properties of ZrO2 and SiO2/ZrO2 gate dielectric films, grown via atomic layer deposition (ALD) in SiC epitaxial trench structures to assess their performance and suitability for device applications. Scanning electron microscopy (SEM) and atomic force microscopy (AFM) measurements showed the deposition of smooth film morphologies with roughness below 1 nm for both ZrO2 and SiO2/ZrO2 gate dielectrics, while SE measurements revealed comparable physical thicknesses of 40.73 nm for ZrO2 and 41.55 nm for SiO2/ZrO2. X-ray photoelectron spectroscopy (XPS) shows that in SiO2/ZrO2 thin films, the binding energies of Zr 3d5/2 and Zr 3d3/2 peaks shift upward compared to pure ZrO2. Electrical characterization showed an enhancement of EBR (3.76 to 5.78 MV·cm−1) and a decrease of ION_EBR (1.94 to 2.09 × 10−3 A·cm−2) for the SiO2/ZrO2 stacks. Conduction mechanism analysis identified suppressed Schottky emission in the stacked film. This indicates that the incorporation of a thin SiO2 layer effectively mitigates the small bandgap offset, enhances the breakdown electric field, reduces leakage current, and improves device performance.

1. Introduction

The current SiC MOSFET market is experiencing a new phase of growth, fueled by the rapid expansion of the renewable energy sector [1]. In this context, high-performance SiC MOSFETs are progressively replacing traditional silicon-based power devices [2]. Among materials, SiC has attracted increasing interest in power electronics and renewable energy conversion systems owing to its low on-resistance, high voltage resistance, high-frequency switching capability, and excellent high-temperature reliability [3]. The evolution of SiC MOSFETs from traditional planar to trench-based architectures has led to notable performance improvements, such as higher current density, reduced on-resistance, faster switching speeds, and enhanced blocking voltages [4,5]. However, the introduction of trench structures has also brought technical challenges to the gate dielectric layer [6,7]. Advanced methods such as electron holographic tomography can now be used to study the internal device potential [8]. Despite the high critical breakdown electric field of SiC, the electric field concentrations at the trench corners may subject the oxide layer to excessive stress, severely impacting device reliability and stability [8,9,10]. Therefore, optimizing the design of the gate oxide layer and addressing interface engineering challenges in trench structures have become critical research and development priorities in the field of SiC devices [11,12,13].
Various alternative gate dielectric materials have so far been explored to address these challenges [14]. Wirths et al. demonstrated that integrating high-k dielectrics in place of traditional SiO2 in planar SiC MOSFETs effectively mitigates interface trap density, stabilizes threshold voltage behavior, and enhances operational reliability, thereby advancing device performance [15,16,17]. Among high-k materials, Al2O3, including certain ALON compounds, has been thoroughly investigated [18,19,20,21]. However, zirconia (ZrO2) has emerged as a promising candidate due to its high dielectric constant and wide bandgap (5.8 eV) [18]. In this view, Wang et al. investigated the impact of inserting a thin SiO2 interlayer between ZrO2 and SiC using first-principles calculations, predicting that such a structure could increase band offset, reduce leakage current, and preserve the dielectric advantages of ZrO2 [22]. However, the traditional thermal oxidation process of SiC/SiO2 interfaces often results in the low density of interface states (Dit), reducing channel mobility [23]. This problem can be solved by optimizing interface engineering to lower interface trap density as a critical focus.
In this study, high-performance gate oxide layers with exceptional uniformity were synthesized using atomic layer deposition (ALD) for the comparative assessment of interfacial characteristics in ZrO2-based and SiO2/ZrO2 trench capacitors. Compared to previous studies, this work provides a more complete experimental assessment of SiO2/ZrO2 gate dielectric stacks in trench MOS structures. The trench depth, width, and the growth of high-k thin films were studied by scanning electron microscopy (SEM). Comprehensive material validation was performed through multi-technique analysis, including surface morphology examination with atomic force microscopy (AFM), optoelectronic property evaluation by spectroscopic ellipsometry (SE), and chemical composition analysis via X-ray photoelectron spectroscopy (XPS). SE analysis provided critical data on layer thickness and optical bandgap, revealing that the integration of SiO2 interfacial layers systematically modulated the energy band structure. Key electrical parameters, such as the dielectric breakdown field intensity (EBR) and conduction current at the breakdown (ION_EBR), were quantified through current–voltage (I-V) profiling. Additionally, capacitance–voltage (C-V) hysteresis analysis allowed for precise determination of Dit and effective oxide charge (Neff), while further investigation of leakage current mechanisms was conducted through I-V curve modeling, providing a detailed understanding of the dominant transport pathways.
Compared to ZrO2 alone, the fabricated SiO2/ZrO2 stacked dielectric exhibited a higher EBR and lower ION_EBR, underscoring the feasibility and potential of SiO2/ZrO2 stacked dielectrics as a promising solution for gate oxide applications in trench-structured SiC MOSFETs.

2. Experimental Section

The sample preparation process of the films and a scheme of the final product are depicted in Figure 1. The experiment commenced with a 4H-SiC epitaxial wafer (n-doped, (0001) orientation with 4° off-axis) as the substrate. A 2.5 µm-thick SiO2 masking layer was initially grown via chemical vapor deposition (CVD, SINO-Plasma 8000, amteglobal, Wuxi, China). Next, photolithography (ABM/6/350/NUV/DCCD/M, ABM Inc., San Jose, CA, USA) was employed to pattern the mask, defining trench arrays with 3 µm width. Following SiO2 layer patterning through dry etching, the residual photoresist was stripped via solvent treatment, enabling subsequent reactive ion etching of the SiC substrate to define trench architectures. The finalized structures exhibited precise dimensional control with trench widths of 3 µm, vertical depths of 1.5 µm, and inter-trench spacing of 5 µm. To ensure mask integrity, buffered oxide etch (BOE) was selectively applied to remove residual oxides from unpatterned regions.
After the formation of clean trench structures, the gate dielectric layer was deposited using an atomic layer deposition (ALD, Exploiter E200SP, SuperALD, Shenzhen, China) system at 270 °C. For the single-layer ZrO2 film, 400 deposition cycles were sufficient. For the SiO2/ZrO2 stacked dielectrics, sequential deposition of 10 nm SiO2 (precursor: plasma) and 30 nm ZrO2 (precursor: CpZr(NMe2)3) resulted in a composite dielectric layer with a total thickness of approximately 40 nm after 400 cycles, demonstrating excellent thickness uniformity. Finally, 200 nm aluminum electrodes were deposited on both device surfaces via magnetron sputtering, with standardized 200 × 200 μm2 test contacts formed. A schematic representation of the obtained ZrO2 thin film and SiO2/ZrO2 stacked film samples is also shown in Figure 1.
Following etching and ALD, the cleaved samples were fixed onto the sample stage using conductive adhesive. To improve conductivity, a thin layer of gold was applied to the sample surface using sputtering for 30 s. The cross sections were analyzed using a scanning electron microscope (SEM, Sigma 300, ZEISS, Oberkochen, Germany) to evaluate the trench etching quality and the uniformity of the film deposition within the trench.
Additional analysis of the ALD-deposited films was performed by determining the film thickness through spectroscopic ellipsometry (SE, Woollam RC2, J.A. Woollam, Lincoln, NE, USA). The SiC substrate was characterized using B-spline curves and the Cauchy dispersion model to determine the film thickness and optical parameters, enabling detailed characterization of the gate dielectric layer. The surface morphology was analyzed using atomic force microscopy (AFM, BRUKER BRK0003, Bruker Corporation, Karlsruhe, Germany) over a 5 µm × 5 µm area, with raw data processed by NanoScope analysis (3.0) (Billerica, MA, USA) software to determine surface roughness. X-ray photoelectron spectroscopy (XPS, ESCALAB 250Xi, Thermo Scientific, Waltham, MA, USA) examined the chemical states of the films, with all XPS spectra calibrated to the C 1s peak at a binding energy of 284.8 eV.
The electrical characterization of thin-film devices was systematically performed utilizing a TS2000-HP probe system (MPI Corporation, Hsinchu, Taiwan) coupled with a Keithley 4200A-S parametric analyzer (Tektronix Inc., Beaverton, OR, USA). Current–voltage characteristics were recorded through progressive elevation of the gate bias until dielectric failure occurred, enabling determination of both EBR and ION_EBR in metal–oxide–semiconductor structures. Capacitance–voltage profiling was implemented through gate voltage scanning under alternating current excitation (30 mV amplitude) across multiple frequency settings. Subsequent analysis of capacitance–voltage relationships permitted quantitative evaluation of Dit and Neff in the fabricated capacitors. All measurements were performed at room temperature.

3. Results

In this study, ZrO2 and SiO2/ZrO2 gate dielectric films were grown by atomic layer deposition, and their characteristics were studied by various analytical techniques. The trench structures observed by SEM in Figure 2a revealed the deposition films with trench widths of 3 µm, vertical depths of 1.5 µm, and a trench pitch of 5 µm. The SEM image in Figure 2b shows a gate oxide layer that was grown using ALD. The high-k layer demonstrated excellent uniformity and consistency across the entire trench surface, even at the trench corners. Thus, the ALD process can be used to deposit films with precisely controlled film thickness and uniformity, outperforming the traditional dry oxidation method.
The surface morphologies and roughnesses of ZrO2 thin films, SiO2/ZrO2 stacked films, and the interfacial SiO2 layer analyzed by AFM are compared in Figure 3. Both types of films exhibited relatively smooth surfaces, with a roughness value of 0.401 nm for ZrO2 thin films and 0.756 nm for SiO2/ZrO2 stacked films. Further analysis of the surface profiles revealed roughness within a sub-1 nm range, indicating the deposition of films with a smooth surface finish. By comparison, the surface roughness of the SiO2/ZrO2 stacked films was slightly higher than that of single-layer ZrO2 films. Such an increase in roughness can be attributed to the physical and chemical differences between SiO2 and ZrO2, which might induce interfacial stress or defects during the deposition process. Additionally, the multilayer nature of the stacked structure may have contributed to cumulative roughness since each additional layer introduced a minor increment to the overall surface roughness
Spectroscopic ellipsometry (SE) was employed to systematically analyze multiple regions of the deposited thin films to ensure measurement reliability and determine their thicknesses. The ZrO2 single-layer film exhibited an average thickness of 40.73 nm, while the SiO2 and ZrO2 layers in the SiO2/ZrO2 bilayer structure measured 10.73 nm and 30.82 nm, respectively. Figure 4a,b present the experimental Ψ and Δ parameters, while the corresponding refractive index (n) and extinction coefficient (k) are shown in Figure 4c.
The optical bandgap can be determined using the Tauc method, which is based on the relationship (αhν)2 ∝ (Eg), where α is the absorption coefficient, ν is photon frequency, and Eg is the optical bandgap [24]. This method relies on the fact that, for semiconductors, most electrons in the valence and conduction bands are located near the bandgap. When the energy of incident photons approaches the bandgap, electrons can absorb the photon energy. In this method, the absorption coefficient (α) is calculated using the relationship α = 4πk/λ, where λ is the wavelength of the incident light. The results are displayed in Figure 4. The optical bandgap is extracted by plotting (αhν)2 versus the photon energy () and then linearly extrapolating the results to zero [25].
Using this approach, the optical bandgaps of the ZrO2 and SiO2/ZrO2 composite films were determined to be 5.21 eV and 5.88 eV, respectively [26]. Despite the relatively thin SiO2 layer, its inherent high bandgap (approximately 9 eV) contributed to bandgap tuning in the composite film, thereby enhancing the device’s breakdown voltage and reducing leakage current. Therefore, the presence of the SiO2 buffer layer in the stack structure can significantly enhance the overall device performance by adjusting the bandgap [27,28].
XPS analysis was employed to probe the elemental composition and chemical bonding states of the dielectric surfaces. Figure 5a displays the full-range XPS spectra for both ZrO2 and SiO2/ZrO2 films. The O 1s core-level XPS spectra and peak deconvolutions for both thin films are presented in Figure 5b. For the ZrO2 thin film, the O 1s peak can be deconvoluted into two components at 529.6 eV and 530.7 eV. By comparison, the O 1s peak of SiO2/ZrO2 thin film can be deconvoluted into two components at 530.3 eV and 531.4 eV.
As shown in Figure 5c, he Zr 3d core-level XPS spectra exhibit well-resolved spin–orbit doublets (Zr 3d5/2 and Zr 3d3/2) for both ZrO2 and SiO2/ZrO2 thin films, with a characteristic splitting energy of 2.4 eV. For the pristine ZrO2 film, the binding energies of Zr 3d5/2 and Zr 3d3/2 were determined to be 181.8 eV and 184.2 eV, respectively [29]. Upon SiO2 interlayer incorporation, these values showed a systematic positive shift to 182.4 eV and 184.8 eV. The experimentally observed area ratio between Zr 3d5/2 and Zr 3d3/2 peaks was calculated to be 59:41 for ZrO2 and 58:42 for SiO2/ZrO2, closely approximating the theoretical 3:2 ratio dictated by spin–orbit coupling effects [30]. This ratio is consistent with the expected energy level splitting determined by the spin–orbit coupling effect. Spin–orbit coupling, which is the interaction between the spin angular momentum and the orbital angular momentum of an electron, causes energy level splitting. In this case, the spin–orbit coupling of the Zr 3d orbitals results in a consistent area ratio of the Zr 3d5/2 and Zr 3d3/2 peaks, reflecting the similar electronic states of Zr atoms in both samples.
The O 1s core-level and Si 2p XPS spectra of the SiO2 interlayer, along with their peak deconvolutions, are presented in Figure 5d,e. The O 1s peak can be deconvoluted into two components at 532.7 eV and 533.9 eV [31]. The stronger covalent bonding in SiO2 may have resulted in a higher electron cloud density around oxygen atoms, leading to higher binding energy of the O 1s peak when compared to that in ZrO2.
Overall, the XPS results demonstrate that in the SiO2/ZrO2 thin film, the binding energies of both the Zr 3d5/2 and Zr 3d3/2 peaks are shifted upward compared to those in pure ZrO2. This indicates that charge redistribution or polarization at the interface has altered the electronic environment of the Zr atoms, leading to an increase in their binding energies.
As illustrated in Figure 6a,b, the O 1s energy loss spectra (ELS) for both ZrO2 and SiO2/ZrO2 were analyzed by examining the energy differences between the O 1s peak positions. This approach enables the determination of the material’s band gap, as the onset of energy loss corresponds to the excitation of electrons from the valence band to the conduction band. The energy separation between the O 1s peak and the threshold energy loss provides an estimate of the band gap. Using this method, the band gaps were found to be 5.6 eV for ZrO2 and 5.7 eV for SiO2/ZrO2 [32]. The discrepancy between Eg values derived from ELS and Tauc methods can be attributed to their distinct probing mechanisms. ELS emphasizes localized electronic transitions near the surface, while Tauc analysis reflects bulk optical absorption. These results align with the optical bandgap values obtained from previous fitting analysis.
The comparative current density–voltage (J-V) characteristics of ZrO2-based MOS capacitors and their SiO2/ZrO2 stacked counterparts are illustrated in Figure 7. Current density values were normalized to the square electrode area using the relationship J = I A , where A donates the electrode area and I represents the measured current [33]. The J-V curves of both devices exhibited plateaus at lower voltages, followed by a gradual increase as the electric field intensified. However, no distinct breakdown phenomenon was observed for the single-layer ZrO2 capacitor, even at higher electric fields. Interestingly, the conduction current stabilized at sustained levels, displaying typical features of a metastable “soft breakdown” state [34]. The analysis revealed that the single-layer ZrO2 devices failed at a dielectric breakdown voltage of 19.1 V, corresponding to a critical field intensity of 3.76 MV·cm−1, which is notably lower than the theoretical breakdown field of bulk ZrO2. By contrast, the SiO2/ZrO2 stacked heterostructure exhibited significantly improved dielectric strength, with a breakdown voltage of 24.9 V and a corresponding field strength of 5.78 MV·cm−1. The improvement in breakdown performance stems from two synergistic mechanisms: on one hand, the wide bandgap of SiO2 (9 eV, higher than ZrO2’s 5.8 eV) enables the formation of a more favorable staggered band alignment at the ZrO2/SiC interface; on the other hand, the effective reduction in oxygen vacancy density substantially suppresses trap-assisted conduction pathways mediated by defect states, thereby collectively enhancing the dielectric properties. Therefore, the addition of the SiO2 layer not only reduced the ION_EBR but also enhanced the EBR, highlighting the critical role of the stacked structure in optimizing dielectric performance.
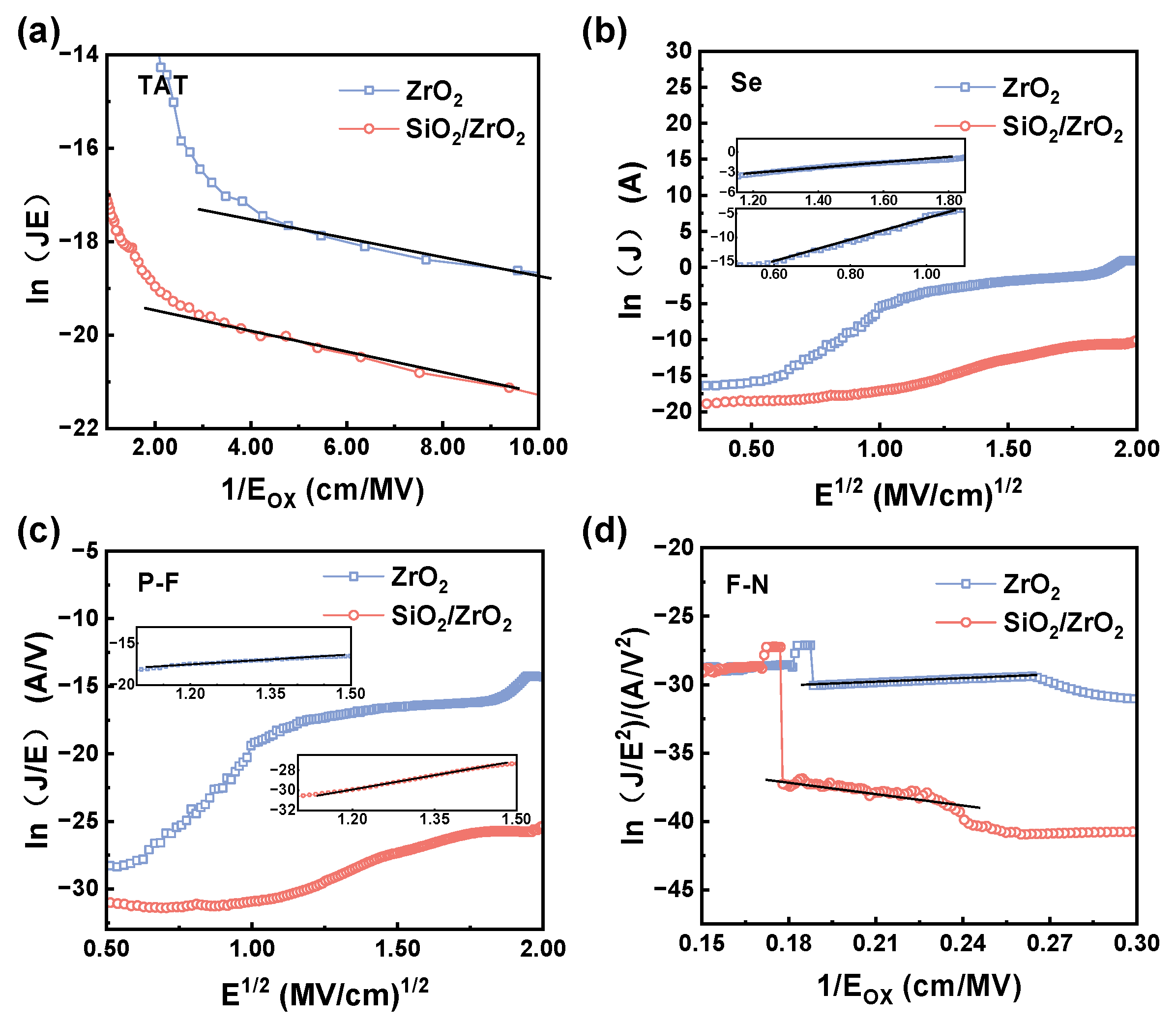
A methodical analysis of charge transport phenomena under low-leakage conditions was performed via rigorous numerical simulations across diverse gate electric field regimes. Linear regions of experimental current–voltage profiles were systematically examined to quantify key transport parameters. These parameters were subsequently implemented within computational models aligned with established theoretical frameworks, enabling precise reconstruction of individual conduction pathways.
Current leakage phenomena in MOS capacitor architectures originate from five principal mechanisms: (i) direct quantum tunneling across ultrathin dielectrics, (ii) trap-assisted tunneling (TAT) [35], (iii) Schottky emission [36], (iv) field-enhanced Poole–Frenkel (P-F) conduction [37], and (v) Fowler–Nordheim (F-N) tunneling [38]. Given that direct tunneling occurs primarily in thin oxide films, this study focused on a detailed characterization of TAT, Schottky emission, P-F emission, and F-N tunneling processes. The governing equations for each transport mechanism, along with their associated physical constants and fitting parameters, are summarized in Table 1.
The TAT effect occurs when electrons tunnel into trap states within the dielectric film, followed by a transition into the conduction band of the dielectric. As shown in Figure 8a, both ZrO2 and SiO2/ZrO2 dielectric exhibited TAT behavior, indicating the formation of traps within the samples. These traps facilitated the capture and release of electrons at low voltages, creating well-defined TAT conduction pathways [39]. At low-to-moderate bias conditions, TAT is the dominant conduction mechanism, as the applied electric field is insufficient to trigger significant thermal excitation of carriers.
However, as the applied voltage increases, TAT transitions into P-F emission, where charge carriers are thermally excited from bulk dielectric trap states to the conduction band. Under applied electric fields, charge carriers are thermally activated from bulk dielectric trap states to the conduction band, leading to P-F emission [40]. As depicted in Figure 8c, this emission mechanism was primarily observed in both samples under intermediate to strong field conditions, with its dominance increasing proportionally to the magnitude of the applied bias.
Schottky emission refers to the thermally activated transfer of electrons from the semiconductor to the conduction band of the insulator, similar to thermionic emission observed in metal–semiconductor junctions [41]. As shown in Figure 8b, the lower barrier height of ZrO2 facilitated Schottky emission, while the higher barrier provided by the SiO2 interlayer effectively suppressed this mechanism, reducing leakage current in the SiO2/ZrO2 stack. Additionally, tunneling effects at moderate electric field strengths caused a sharp increase in current, which contributed to the reduced the dielectric breakdown field intensity (EBR) and enhanced leakage current [42]. This observation is consistent with previous findings in high-k dielectric stacks, where SiO2 interlayers have been demonstrated to effectively block electron injection and suppress Schottky emission [43].
Under elevated gate bias conditions, electrons traversed the triangular energy barrier via quantum tunneling mechanisms, initiating F-N tunneling phenomena under intense electric fields. This behavior was consistently observed in both dielectric configurations, with the characteristic tunneling profiles comprehensively illustrated in Figure 8d. This transition from P-F to F-N conduction is dictated by the electric field strength and the barrier shape at the dielectric interface.
In summary, the leakage current behavior in ZrO2 thin films was predominantly governed by multiple mechanisms: TAT, Schottky emission, P-F emission, and F-N tunneling. The SiO2/ZrO2 stacked structure demonstrated leakage characteristics primarily dominated by TAT, P-F emission, and F-N tunneling, with SiO2 interlayer serving as a key modulator of charge transport pathways. Notably, Schottky emission was identified as a major contributor to leakage current variability in ZrO2 films, highlighting its distinct role compared to the bilayer configuration. This difference underscores the efficacy of the SiO2 interlayer in suppressing specific conduction mechanisms while maintaining overall dielectric integrity.
The interfacial properties of MOS capacitors were investigated by measuring the C-V curves of ZrO2 and SiO2/ZrO2 trench MOS capacitors at frequencies of 1 kHz, 10 kHz, 100 kHz, and 1 MHz. As shown in Figure 9a,b, minimal curve scatterings were observed in both samples, indicating the high quality of both gate dielectrics.
To further characterize the interfacial properties, normalized C-V hysteresis measurements were performed at a frequency of 1 MHz. As shown in Figure 9c, under an AC signal of 30 mV, the voltage was swept from negative bias to positive bias and back to negative bias. This cyclic testing protocol effectively captured the dynamic charge trapping and de-trapping behaviors at the dielectric–semiconductor interfaces, with the width of the closed hysteresis loop serving as a key indicator of interfacial quality and its potential degradation or improvement. For the SiO2/ZrO2 stacked structure, the weighted average method was employed to calculate its effective permittivity ( ε o x = d S i O 2 d t o t a l · ε S i O 2 + d Z r O 2 d t o t a l · ε Z r O 2 ). The effective permittivity of the SiO2/ZrO2 stack was calculated to be approximately 16 [42]. The flat-band voltage (VFB ) values for ZrO2 and SiO2/ZrO2 MOS capacitors were determined as 4.3 V and 3.4 V, respectively [22]. The reduction in flat-band voltage shift highlighted the significant impact of the introduced SiO2 layer into the stack.
During high-frequency C-V testing, boundary traps exhibit a delayed response to small AC signal variations due to their slower charge capture and release dynamics. However, these traps can gradually charge or discharge as the DC gate voltage is swept. As a result, when the gate voltage is swept from negative to positive or vice versa, the charge state of these interface traps affects the C-V curve, leading to hysteresis between the high-frequency C-V measurements. This hysteresis occurs because the interface traps are unable to fully charge or discharge at high frequencies, leading to a mismatch between charge accumulation/release and the voltage sweep, thus causing hysteresis [44]. Since the unstacked ZrO2 dielectric displayed more significant hysteresis than the SiO2/ZrO2 stacked dielectric, the lower hysteresis in the stacked structure suggests a reduction in slow trap density, which aligns with the quantitatively lower the low density of interface states (Dit) values obtained through the high–low frequency method.
As shown in Figure 9d, the Dit values calculated at EC-0.2 eV by the high–low frequency method were estimated to be 1.58 × 1012 eV−1·cm−2 for ZrO2 and 4.19 × 1011 eV−1·cm−2 for the SiO2/ZrO2 stack [45]. Thus, both gate dielectric samples contained certain defects, aligning with the TAT mechanism observed under moderate electric fields. The lower Dit value of the SiO2/ZrO2 can be attributed to the passivation effect of the SiO2 interlayer [46]. Material characterization via XPS and SE previously demonstrated that SiO2 forms a stable, uniform interface layer with reduced oxygen vacancy density, which correlates directly with the measured improvement in Dit. On the other hand, the SiO2 interlayer serves as a buffer, alleviating the lattice mismatch between ZrO2 and the SiC substrate. In the stacked structure, the buffering effect of the SiO2 layer isolated ZrO2 from direct contact with SiC, mitigating the impact of oxygen vacancies on Dit.
Furthermore, the degradation of channel mobility is primarily influenced by acoustic phonon scattering, surface roughness scattering, and interface defect scattering, with interface defect scattering being the dominant factor. This suggests that the suppression of interface defects via the SiO2 interlayer can mitigate mobility degradation, thereby improving channel conduction efficiency and device reliability. The increase in Dit may also be related to defects introduced during the etching process, where interface quality could be improved through annealing. Nevertheless, the Dit values of both ZrO2 and SiO2/ZrO2 samples were overall relatively low, indicating good electrical performance.
The Neff within the oxide layer can be quantitatively derived from the flat-band voltage (VFB) [23]. The Neff of ZrO2 and SiO2/ZrO2 dielectric MOS capacitors were calculated as −3.63 × 1012 cm−2 and −1.71 × 1012 cm−2. As summarized by the electrical and interfacial properties of the MOS capacitors in Table 2, the negative Neff values contributed to the forward shift of the flat-band voltage VFB. The fixed charges or interface traps within the dielectric layer, particularly in the presence of defective oxide layers, can capture or release electrons, thereby influencing the VFB. The negative fixed charges in the oxide layer cause the accumulation of electrons at the semiconductor–oxide interface when the gate voltage is low, resulting in a forward shift of the VFB [47]. For n-type semiconductors, this shift causes an increased accumulation of electrons at the interface. The introduction of a SiO2 interlayer into the SiO2/ZrO2 stacked structure reduced VFB shifts and lowered the Neff, thereby improving the interface quality of the devices. This improvement can primarily be attributed to the SiO2 interlayer’s ability to mitigate the effects of interface traps and other charge-related defects within the dielectric stack, resulting in enhanced electrical performance and reliability.

4. Conclusions

In summary, this study successfully fabricated MOS capacitors featuring ALD-grown ZrO2 and SiO2/ZrO2 gate dielectric layers on 4H-SiC trench structures. The AFM measurements showed roughnesses of both films less than 1 nm, indicating relatively smooth surfaces. The band gap energy of the SiO2/ZrO2 film is higher than that of the ZrO2 film, as evidenced by both the O 1s energy loss spectrum fitting and the (αhν)2 versus photon energy analysis. The electrostatic evaluations highlighted distinct variations in dielectric behavior. The ZrO2 single-layer configuration displayed an EBR of 3.76 MV·cm−1, accompanied by ION_EBR reaching 1.94 A·cm−2. Mechanistic investigations identified TAT, Schottky emission, PF emission, and F-N tunneling as the principal conduction pathways governing leakage in the monolithic ZrO2 system. By comparison, the SiO2/ZrO2 bilayer architecture achieved an enhanced EBR of 5.78 MV·cm−1 with ION_EBR reduced to 2.09 × 10−3 A·cm−2, reflecting a 54% improvement in EBR in leakage current compared to the ZrO2 monolayer. Within the stacked configuration, leakage mechanisms were predominantly mediated by TAT, PF emission, and F-N tunneling, with Schottky emission effectively suppressed through the interfacial SiO2 layer. The C-V hysteresis tests indicated a larger hysteresis in ZrO2, consistent with calculated Dit. As a result, the higher interface trap density in ZrO2 thin films had a more pronounced impact on the electrical performance. The incorporation of a thin SiO2 interlayer effectively addressed the small bandgap offset, enhancing the bandgap from 5.21 eV to 5.88 eV and reducing ION_EBR. However, the etching process induces interfacial defects in the trench structures, which could negatively impact device performance. Post-treatment techniques showed promise in mitigating these interface issues, with future investigations potentially focusing on methods such as annealing to further enhance interface quality. Additionally, research into other high-k materials, such as Y2O3, Ta2O5, and La2O3, could be considered. This comparative study provides a comprehensive evaluation of the electrical behavior of ZrO2 and SiO2/ZrO2 stacked dielectric configurations in SiC trench capacitors, offering valuable insights for optimizing future SiC trench-gate MOSFET designs.

Author Contributions

Q.H.: methodology, data curation, formal analysis, writing—original draft. Y.G.: formal analysis, investigation, validation. A.W.: investigation, validation. Z.B.: investigation, validation. L.G.: investigation, writing—review and editing. Z.W.: investigation. C.D.: validation, writing—review and editing. Y.S.: validation, writing—review and editing. H.M.: conceptualization, software, supervision, funding acquisition, project administration, writing—review and editing. Q.Z.: formal analysis, investigation, validation, supervision. All authors have read and agreed to the published version of the manuscript.

Funding

This work is supported by the National Key R&D Program of China (2023YFB4606300), National Natural Science Foundation of China (No. 62474049), the Science and Technology Innovation Plan of Shanghai Science and Technology Commission (Nos. 21DZ1100800, 23ZR1405300, 20501110700, and 20501110702), and the Joint Research Plan of sci-tech innovation community in Yangtze River Delta (No.2023CSJG0600).

Institutional Review Board Statement

Not applicable.

Informed Consent Statement

Not applicable.

Data Availability Statement

The original contributions presented in this study are included in the article. Further inquiries can be directed to the corresponding author.

Conflicts of Interest

The authors declare no conflict of interest.

References

  1. Kimoto, T. Material Science and Device Physics in SiC Technology for High-Voltage Power Devices. Jpn. J. Appl. Phys. 2015, 54, 040103. [Google Scholar] [CrossRef]
  2. Town, G.; Taghizadeh, S.; Deilami, S. Review of Fast Charging for Electrified Transport: Demand, Technology, Systems, and Planning. Energies 2022, 15, 1276. [Google Scholar] [CrossRef]
  3. She, X.; Huang, A.Q.; Lucia, O.; Ozpineci, B. Review of Silicon Carbide Power Devices and Their Applications. IEEE Trans. Ind. Electron. 2017, 64, 8193–8205. [Google Scholar] [CrossRef]
  4. Baliga, B.J. Fundamentals of Power Semiconductor Devices; Springer: Cham, Switzerland, 2019. [Google Scholar]
  5. Zhang, Y.; Dong, D.; Li, Q.; Zhang, R.; Udrea, F.; Wang, H. Wide-Bandgap Semiconductors and Power Electronics as Pathways to Carbon Neutrality. Nat. Rev. Electr. Eng. 2025, 2, 155–172. [Google Scholar] [CrossRef]
  6. Jayant Baliga, B. Silicon Carbide Power Devices: Progress and Future Outlook. IEEE J. Emerg. Sel. Top. Power Electron. 2023, 11, 2400–2411. [Google Scholar] [CrossRef]
  7. Baliga, B.J. Wide Bandgap Semiconductor Power Devices; Woodhead Publishing: Cambridge, UK, 2018. [Google Scholar]
  8. Wolf, D.; Lubk, A.; Prete, P.; Lovergine, N.; Lichte, H. 3D Mapping of Nanoscale Electric Potentials in Semiconductor Structures Using Electron-Holographic Tomography. J. Phys. D Appl. Phys. 2016, 49, 364004. [Google Scholar] [CrossRef]
  9. Yu, L.C.; Dunne, G.T.; Matocha, K.S.; Cheung, K.P.; Suehle, J.S.; Sheng, K. Reliability Issues of SiC MOSFETs: A Technology for High-Temperature Environments. IEEE Trans. Device Mater. Reliab. 2010, 10, 418–426. [Google Scholar] [CrossRef]
  10. Wei, J.; Wei, Z.; Fu, H.; Cao, J.; Wu, T.; Sun, J.; Zhu, X.; Li, S.; Zhang, L.; Liu, S.; et al. Review on the Reliability Mechanisms of SiC Power MOSFETs: A Comparison between Planar-Gate and Trench-Gate Structures. IEEE Trans. Power Electron. 2023, 38, 8990–9005. [Google Scholar] [CrossRef]
  11. Qian, J.; Shi, L.; Jin, M.; Bhattacharya, M.; Shimbori, A.; Yu, H.; Houshmand, S.; White, M.H.; Agarwal, A.K. An Investigation of Body Diode Reliability in Commercial 1.2 KV SiC Power MOSFETs with Planar and Trench Structures. Micromachines 2024, 15, 177. [Google Scholar] [CrossRef]
  12. Takaya, H.; Misumi, T.; Fujiwara, H.; Ito, T. 4H-SiC Trench MOSFET with Low On-Resistance at High Temperature. In Proceedings of the 2020 32nd International Symposium on Power Semiconductor Devices and ICs (ISPSD), Vienna, Austria, 13–18 September 2020; pp. 118–121. [Google Scholar] [CrossRef]
  13. Huang, H.-L.; Hsuesh, L.-T.; Tu, Y.-C.; Tsui, B.-Y. A 4H-SiC Trench MOS Capacitor Structure for Sidewall Oxide Characteristics Measurement. In Proceedings of the 2024 IEEE 36th International Conference on Microelectronic Test Structures (ICMTS), Edinburgh, UK, 15–18 April 2024; pp. 1–5. [Google Scholar] [CrossRef]
  14. Siddiqui, A.; Khosa, R.Y.; Usman, M. High-k Dielectrics for 4H-Silicon Carbide: Present Status and Future Perspectives. J. Mater. Chem. C 2021, 9, 5055–5081. [Google Scholar] [CrossRef]
  15. Race, S.; Kumar, P.; Natzke, P.; Kovacevic-Badstuebner, I.; Bathen, M.E.; Grossner, U.; Romano, G.; Arango, Y.; Bolat, S.; Wirths, S.; et al. Gate Impedance Analysis of SiC Power MOSFETs with SiO2 and High-k Dielectric. In Proceedings of the 2023 35th International Symposium on Power Semiconductor Devices and ICs (ISPSD), Hong Kong, China, 28 May–1 June 2023. [Google Scholar] [CrossRef]
  16. Wirths, S.; Mihaila, A.; Romano, G.; Schneider, N.; Ceccarelli, E.; Alfieri, G.; Arango, Y.; Knoll, L. Study of 1.2kV High-k SiC Power MOSFETS under Harsh Repetitive Switching Conditions. In Proceedings of the 2021 33rd International Symposium on Power Semiconductor Devices and ICs (ISPSD), Nagoya, Japan, 30 May–3 June 2021; pp. 107–110. [Google Scholar] [CrossRef]
  17. Wirths, S.; Arango, Y.C.; Prasmusinto, A.; Alfieri, G.; Bianda, E.; Mihaila, A.; Kranz, L.; Bellini, M.; Knoll, L. Vertical 1.2kV SiC Power MOSFETs with High-k/Metal Gate Stack. In Proceedings of the 2019 31st International Symposium on Power Semiconductor Devices and ICs (ISPSD), Shanghai, China, 19–23 May 2019. [Google Scholar] [CrossRef]
  18. Idris, M.I.; Wright, N.G.; Horsfall, A.B. Effect of Post Oxide Annealing on the Electrical and Interface 4H-SiC/Al2O3 MOS Capacitors. Mater. Sci. Forum 2018, 924, 486–489. [Google Scholar] [CrossRef]
  19. Khosa, R.Y.; Thorsteinsson, E.B.; Winters, M.; Rorsman, N.; Karhu, R.; Hassan, J.; Sveinbjörnsson, E.Ö. Electrical Characterization of Amorphous Al2O3 Dielectric Films on N-Type 4H-SiC. AIP Adv. 2018, 8, 025304. [Google Scholar] [CrossRef]
  20. Hosoi, T.; Kashiwagi, Y.; Hosaka, S.; Yamamoto, K.; Aketa, M.; Nakamura, T.; Kimoto, T.; Shimura, T.; Watanabe, H. Comprehensive and Systematic Design of Metal/High-K Gate Stack for High-Performance and Highly Reliable SiC Power MOSFET. Jpn. J. Appl. Phys. 2019, 59, 021001. [Google Scholar] [CrossRef]
  21. Ye, G.; Wang, H.; Ji, R. Band Alignment between 4H-SiC and Atomic-Layer-Deposited ZrO2Determined by X-ray Photoelectron Spectroscopy. Appl. Phys. Express 2015, 8, 091302. [Google Scholar] [CrossRef]
  22. Wang, Z.; Zhang, Z.; Shao, C.; Robertson, J.; Liu, S.; Guo, Y. Tuning the High-κ Oxide (HfO2, ZrO2)/4H-SiC Interface Properties with a SiO2 Interlayer for Power Device Applications. Appl. Surf. Sci. 2020, 527, 146843. [Google Scholar] [CrossRef]
  23. Guo, Z.; Wu, J.; Tian, R.; Wang, F.; Xu, P.; Yang, X.; Fan, Z.; Yang, F.; He, Z. Extraction of the Trench Sidewall Capacitances in an N-Type 4H-SiC Trench Metal– Oxide–Semiconductor Structure. IEEE Trans. Electron. Devices 2021, 68, 2879–2885. [Google Scholar] [CrossRef]
  24. Fowler, R.H.; Nordheim, L. Electron Emission in Intense Electric Fields. Proc. R. Soc. Lond. A 1928, 119, 173–181. [Google Scholar] [CrossRef]
  25. Nguyen, T.T.; Jung, D.H.; Lee, J.J.; Lee, H. Optical Study of Ga2−XSnxO3 (0 ≤ X ≤ 0.7) Thin Films Using Spectroscopic Ellipsometry and Cathodoluminescence. Thin Solid Film. 2023, 764, 139611. [Google Scholar] [CrossRef]
  26. Zhang, Q.X. The Electrical Performances and Leakage Current Conduction Mechanism of Al2O3/ZrO2/SiO2/ZrO2/Al2O3 MIM Capacitors. Integr. Ferroelectr. 2021, 217, 233–239. [Google Scholar] [CrossRef]
  27. Haider, M.; Shaim, A.; Elsayed-Ali, H.E. Boron and Barium Incorporation at the 4H-SiC/SiO2 Interface Using a Laser Multi-Charged Ion Source. J. Mater. Sci. Mater. Electron. 2021, 32, 16079–16087. [Google Scholar] [CrossRef]
  28. Behera, M.K.; Yarbrough, K.A.; Bahoura, M. Study of Dielectric Properties in Stacked High-k Dielectric Metal Oxide Semiconductor Capacitor (MOSCAP) Devices. J. Mater. Sci. Mater. Electron. 2024, 35, 1316. [Google Scholar] [CrossRef]
  29. Shishodia, G.; Gupta, S.; Pahwa, N.; Shishodia, P.K. ZrO2 Nanoparticles Synthesized by the Sol–Gel Method: Dependence of Size on PH and Annealing Temperature. J. Electron. Mater. 2024, 53, 5159–5168. [Google Scholar] [CrossRef]
  30. Jung, E.S.; Yoo, J.; Choi, T.M.; Lee, H.R.; Lee, C.Y.; Kim, D.H.; Pyo, S.G. Performance Variation with Pristine and Doped High-K Materials via Atomic Layer Deposition. Int. J. Appl. Ceram. Technol. 2024, 15001. [Google Scholar] [CrossRef]
  31. Ye, G.; Wang, H.; Arulkumaran, S.; Ng, G.I.; Li, Y.; Liu, Z.H.; Ang, K.S. Band Alignment between GaN and ZrO2 Formed by Atomic Layer Deposition. Appl. Phys. Lett. 2014, 105, 022106. [Google Scholar] [CrossRef]
  32. Cañas, J.; Alba, G.; Leinen, D.; Lloret, F.; Gutierrez, M.; Eon, D.; Pernot, J.; Gheeraert, E.; Araujo, D. Diamond/γ-Alumina Band Offset Determination by XPS. Appl. Surf. Sci. 2020, 535, 146301. [Google Scholar] [CrossRef]
  33. Lee, T.-E.; Toprasertpong, K.; Takenaka, M.; Takagi, S. Re-Examination of Effects of ALD High-k Materials on Defect Reduction in SiGe Metal–Oxide–Semiconductor Interfaces. AIP Adv. 2021, 11, 085021. [Google Scholar] [CrossRef]
  34. Martínez-Puente, M.A.; Horley, P.; Aguirre-Tostado, F.S.; López-Medina, J.; Borbón-Núñez, H.A.; Tiznado, H.; Susarrey-Arce, A.; Martínez-Guerra, E. ALD and PEALD Deposition of HfO2 and Its Effects on the Nature of Oxygen Vacancies. Mater. Sci. Eng. B 2022, 285, 115964. [Google Scholar] [CrossRef]
  35. Esakki, P.; Kailath, B.J. Extraction and Analysis of Gate Leakage Current Mechanism in Silicon Carbide (SiC) MIS Capacitors. IETE J. Res. 2019, 68, 592–601. [Google Scholar] [CrossRef]
  36. Reddy, V.R.; Prasad, C.V. Surface Chemical States, Electrical and Carrier Transport Properties of Au/ZrO2/N-GaN MIS Junction with a High-k ZrO2 as an Insulating Layer. Mater. Sci. Eng. B 2018, 231, 74–80. [Google Scholar] [CrossRef]
  37. Chaudhuri, S.K.; Nag, R.; Mandal, K.C. A Novel Ni/Y2O3/4H-SiC Heteroepitaxial Metal–Oxide–Semiconductor (MOS) Betavoltaic Cell. J. Mater. Sci. Mater. Electron. 2023, 34, 543. [Google Scholar] [CrossRef]
  38. Król, K.; Kwietniewski, N.; Gierałtowska, S.; Wachnicki, Ł.; Sochacki, M. Electronic Properties of Stacked ZrO2 Films Fabricated by Atomic Layer Deposition on 4H-SiC. Acta Phys. Pol. A 2017, 132, 329–331. [Google Scholar] [CrossRef]
  39. Cheong, K.Y.; Bahng, W.; Kim, N.-K. Analysis of Charge Conduction Mechanisms in Nitrided SiO2 Film on 4H SiC. Phys. Lett. A 2008, 372, 529–532. [Google Scholar] [CrossRef]
  40. Liu, J.; Liao, M.; Imura, M.; Tanaka, A.; Iwai, H.; Koide, Y. Low On-Resistance Diamond Field Effect Transistor with High-k ZrO2 as Dielectric. Sci. Rep. 2014, 4, 6395. [Google Scholar] [CrossRef]
  41. Sasikumar, K.; Bharathikannan, R.; Raja, M. Effect of Annealing Temperature on Structural and Electrical Properties of Al/ZrO2/P-Si MIS Schottky Diodes. Silicon 2018, 11, 137–143. [Google Scholar] [CrossRef]
  42. Galizia, B.; Fiorenza, P.; Schilirò, E.; Pecz, B.; Foragassy, Z.; Greco, G.; Saggio, M.; Cascino, S.; Lo Nigro, R.; Roccaforte, F. Towards Aluminum Oxide/Aluminum Nitride Insulating Stacks on 4H–SiC by Atomic Layer Deposition. Mater. Sci. Semicond. Process. 2024, 174, 108244. [Google Scholar] [CrossRef]
  43. Lin, L.M.; Lai, P.T. Improved High-Field Reliability for a SiC Metal–Oxide–Semiconductor Device by the Incorporation of Nitrogen into Its HfTiO Gate Dielectric. J. Appl. Phys. 2007, 102, 054515. [Google Scholar] [CrossRef]
  44. Jia, Y.; Lv, H.; Tang, X.; Han, C.; Song, Q.; Zhang, Y.; Zhang, Y.; Dimitrijev, S.; Han, J.; Haasmann, D. Influence of Various NO Annealing Conditions on N-Type and P-Type 4H-SiC MOS Capacitors. J. Mater. Sci. Mater. Electron. 2019, 30, 10302–10310. [Google Scholar] [CrossRef]
  45. Seo, Y.; Lee, S.; An, I.; Song, C.; Jeong, H. Conduction Mechanism of Leakage Current due to the Traps in ZrO2 Thin Film. Semicond. Sci. Technol. 2009, 24, 115016. [Google Scholar] [CrossRef]
  46. Kurniawan, T.; Wong, Y.H.; Yew Cheong, K.; Moon, J.H.; Bahng, W.; Abdul Razak, K.; Lockman, Z.; Joon Kim, H.; Kim, N.-K. Effects of Post-Oxidation Annealing Temperature on ZrO2 Thin Film Deposited on 4H-SiC Substrate. Mater. Sci. Semicond. Process. 2011, 14, 13–17. [Google Scholar] [CrossRef]
  47. Noborio, M.; Suda, J.; Kimoto, T. 4H-SiC MIS Capacitors and MISFETs with Deposited SiNx/SiO2 Stack-Gate Structures. IEEE Trans. Electron Devices 2008, 55, 2054–2060. [Google Scholar] [CrossRef]
Figure 1. Fabrication process flow and final trench MOS device structure.
Figure 1. Fabrication process flow and final trench MOS device structure.
Materials 18 01741 g001
Figure 2. SEM images of (a) the trench structure and (b) the magnified view of the corner region marked by the red box in (a) after the ALD process.
Figure 2. SEM images of (a) the trench structure and (b) the magnified view of the corner region marked by the red box in (a) after the ALD process.
Materials 18 01741 g002
Figure 3. 3D and 2D AFM images within a 5 × 5 µm2 area are shown for: (a1,a2) ZrO2, (b1,b2) SiO2/ZrO2, (c1,c2) interlayer SiO2.
Figure 3. 3D and 2D AFM images within a 5 × 5 µm2 area are shown for: (a1,a2) ZrO2, (b1,b2) SiO2/ZrO2, (c1,c2) interlayer SiO2.
Materials 18 01741 g003
Figure 4. The SE analysis of ZrO2 and SiO2/ZrO2 film heterostructures: (a) Ψ and (b) Δ components of complex reflectance. (c) Refractive index (n) and extinction coefficient (k) profiles. (d) Tauc plot ((αhν)2 vs. photon energy) for bandgap determination.
Figure 4. The SE analysis of ZrO2 and SiO2/ZrO2 film heterostructures: (a) Ψ and (b) Δ components of complex reflectance. (c) Refractive index (n) and extinction coefficient (k) profiles. (d) Tauc plot ((αhν)2 vs. photon energy) for bandgap determination.
Materials 18 01741 g004
Figure 5. (a) XPS spectra of ZrO2 and SiO2/ZrO2, (b) O 1s core level and (c) Zr 3d core level spectra of ZrO2 and SiO2/ZrO2, (d) O 1s core level and (e) Si 2p core level spectra of the intermediate SiO2 layer.
Figure 5. (a) XPS spectra of ZrO2 and SiO2/ZrO2, (b) O 1s core level and (c) Zr 3d core level spectra of ZrO2 and SiO2/ZrO2, (d) O 1s core level and (e) Si 2p core level spectra of the intermediate SiO2 layer.
Materials 18 01741 g005
Figure 6. O 1s energy loss spectrum for fitting the band gap of (a) ZrO2 and (b) SiO2/ZrO2.
Figure 6. O 1s energy loss spectrum for fitting the band gap of (a) ZrO2 and (b) SiO2/ZrO2.
Materials 18 01741 g006
Figure 7. J-V curves of MOS capacitors.
Figure 7. J-V curves of MOS capacitors.
Materials 18 01741 g007
Figure 8. Electric fields of ZrO2 and SiO2/ZrO2 dielectric MOS capacitors for (a) TAT, (b) Schottky emission, (c) F-N emission, and (d) F-N tunneling model fitting plots.
Figure 8. Electric fields of ZrO2 and SiO2/ZrO2 dielectric MOS capacitors for (a) TAT, (b) Schottky emission, (c) F-N emission, and (d) F-N tunneling model fitting plots.
Materials 18 01741 g008
Figure 9. C-V curves of (a) ZrO2 MOS and (b) SiO2/ZrO2 MOS at 1 kHz, 10 kHz, 100 kHz, and 1 MHz, (c) normalized C-V hysteresis curves of MOS capacitors with ZrO2 and SiO2/ZrO2 dielectrics, and (d) calculated Dit plots.
Figure 9. C-V curves of (a) ZrO2 MOS and (b) SiO2/ZrO2 MOS at 1 kHz, 10 kHz, 100 kHz, and 1 MHz, (c) normalized C-V hysteresis curves of MOS capacitors with ZrO2 and SiO2/ZrO2 dielectrics, and (d) calculated Dit plots.
Materials 18 01741 g009
Table 1. Conduction plots and analytical model equations of different gate leakage current mechanisms.
Table 1. Conduction plots and analytical model equations of different gate leakage current mechanisms.
Conduction MechanismsConduction PlotAnalytical Model Equations
TAT ln ( J E )   vs .   1 E J T A T = 2 q c T N T ϕ T e x p D ϕ T 3 2 E o x 3 E o x [35]
Schottky emission ln ( J )   vs . E J S E = A T 2 e x p q ϕ B q E o x 4 ε o x k T [36]
P-F emission ln ( J E )   vs . E J P F = q N c μ E o x e x p q ϕ t q E o x π ε 0 k r k T [37]
F-N tunneling ln ( J E 2 )   vs . 1 E J F N = A E o x 2 e x p B E o x [38]
Table 2. Electrostatic and interfacial performance metrics of MOS capacitor structures by ZrO2 and SiO2/ZrO2 dielectric.
Table 2. Electrostatic and interfacial performance metrics of MOS capacitor structures by ZrO2 and SiO2/ZrO2 dielectric.
EBR (MV·cm−1)VFB (V)EBR (MV·cm−1)ION_EBR (A·cm−2)Dit (eV−1·cm−2)
EC-0.2 eV
Neff (cm−2)
ZrO23.764.33.761.941.58 × 1012−3.63 × 1012
SiO2/ZrO25.783.45.782.09 × 10−34.19 × 1011−1.71 × 1012
Disclaimer/Publisher’s Note: The statements, opinions and data contained in all publications are solely those of the individual author(s) and contributor(s) and not of MDPI and/or the editor(s). MDPI and/or the editor(s) disclaim responsibility for any injury to people or property resulting from any ideas, methods, instructions or products referred to in the content.

Share and Cite

MDPI and ACS Style

Huang, Q.; Guo, Y.; Wang, A.; Bai, Z.; Gu, L.; Wang, Z.; Ding, C.; Shen, Y.; Ma, H.; Zhang, Q. Study of ZrO2 Gate Dielectric with Thin SiO2 Interfacial Layer in 4H-SiC Trench MOS Capacitors. Materials 2025, 18, 1741. https://doi.org/10.3390/ma18081741

AMA Style

Huang Q, Guo Y, Wang A, Bai Z, Gu L, Wang Z, Ding C, Shen Y, Ma H, Zhang Q. Study of ZrO2 Gate Dielectric with Thin SiO2 Interfacial Layer in 4H-SiC Trench MOS Capacitors. Materials. 2025; 18(8):1741. https://doi.org/10.3390/ma18081741

Chicago/Turabian Style

Huang, Qimin, Yunduo Guo, Anfeng Wang, Zhaopeng Bai, Lin Gu, Zhenyu Wang, Chengxi Ding, Yi Shen, Hongping Ma, and Qingchun Zhang. 2025. "Study of ZrO2 Gate Dielectric with Thin SiO2 Interfacial Layer in 4H-SiC Trench MOS Capacitors" Materials 18, no. 8: 1741. https://doi.org/10.3390/ma18081741

APA Style

Huang, Q., Guo, Y., Wang, A., Bai, Z., Gu, L., Wang, Z., Ding, C., Shen, Y., Ma, H., & Zhang, Q. (2025). Study of ZrO2 Gate Dielectric with Thin SiO2 Interfacial Layer in 4H-SiC Trench MOS Capacitors. Materials, 18(8), 1741. https://doi.org/10.3390/ma18081741

Note that from the first issue of 2016, this journal uses article numbers instead of page numbers. See further details here.

Article Metrics

Back to TopTop