Metaheuristics Algorithm-Based Optimization for High Conductivity and Hardness CuNi2Si1 Alloy
Highlights
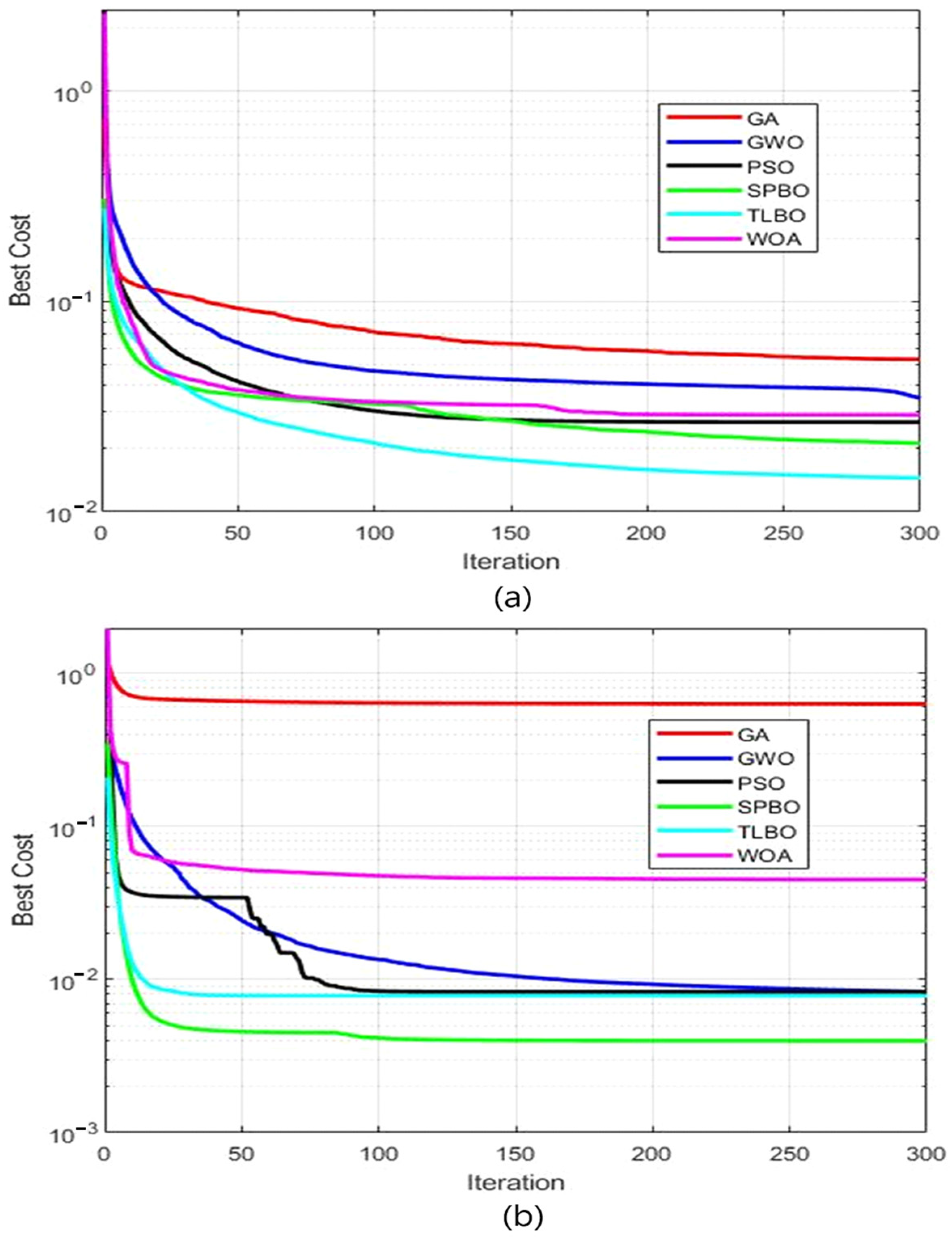
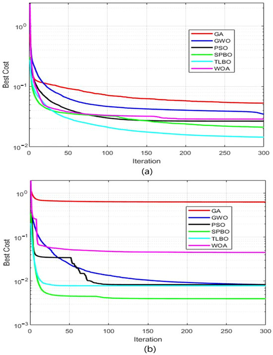
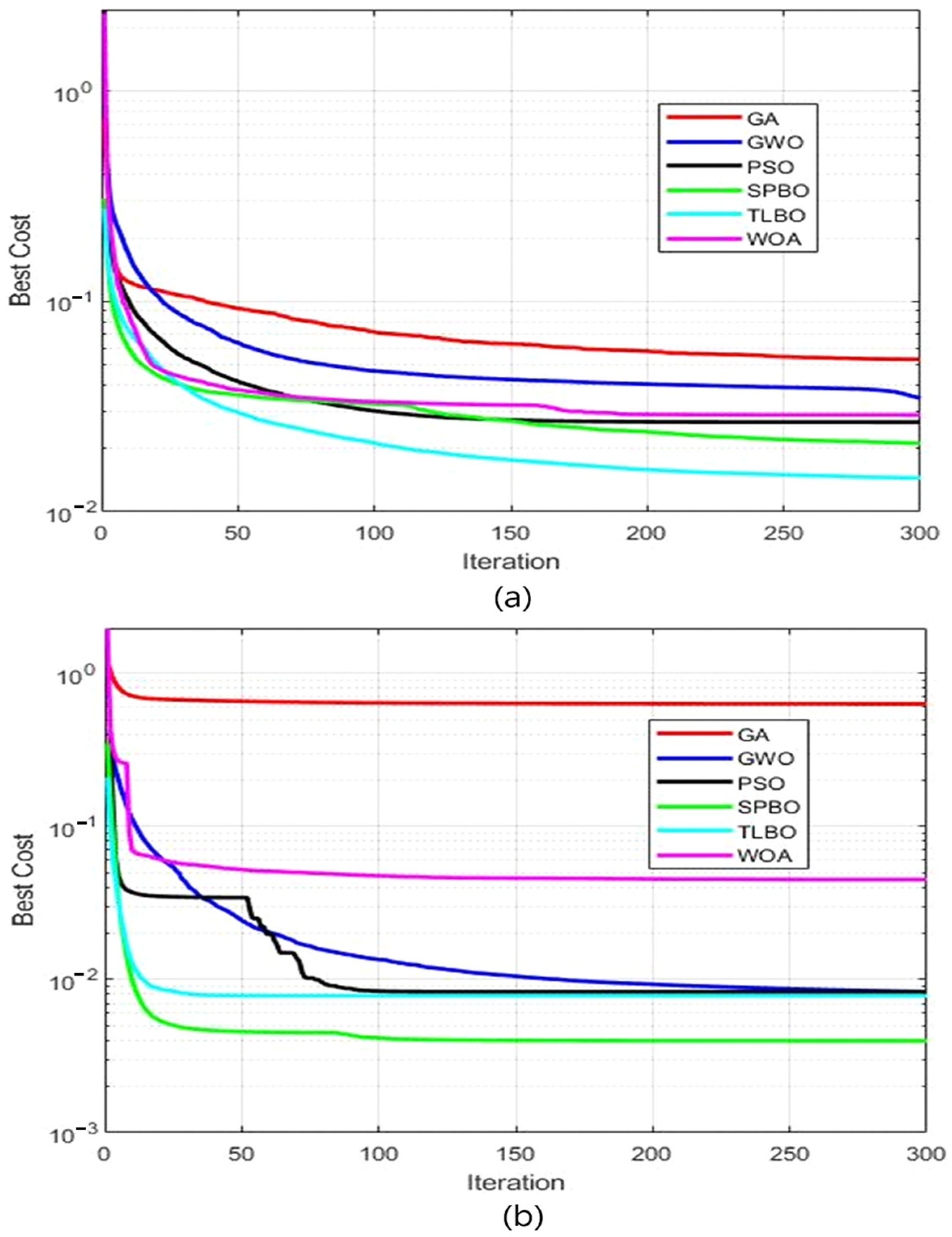
- SPBO outperformed all algorithms, predicting best aging at 450 °C for 61.75 min
- Cold rolling with 50% strain helped in strengthening Ni2Si, improving its properties.
- Optimized samples attained 267 HV and 14 MS/m conductance.
- Polynomial models confirmed experimental observations with an R2 value of 0.98 and 0.96.
- Metaheuristic offers effective optimization for CuNi2Si in aeronautics and electrical engineering technology.
Abstract
1. Introduction
2. Experimental Procedure
2.1. Material, Applied Thermo-Mechanical Treatments, and Property Determination
- Hot rolling with an 80% degree of deformations, up to a thickness of 3.0 mm;
- Solution annealing: heating at 950 °C for one hour and cooling in water;
- Aging at 450 °C, 500 °C, 550 °C, and 600 °C for 1 min, 5 min, 10 min, 15 min, 30 min, 60 min, 120 min, and 420 min.
- Hot rolling with an 80% degree of deformations, up to a thickness of 3.0 mm;
- Solution annealing: heating at 950 °C for one hour and cooling in water;
- Cold rolling with a 50% degree of deformations;
- Aging at 450 °C, 500 °C, 550 °C, and 600 °C for 1 min, 15 min, 30 min, 60 min, 120 min, and 420 min.
2.2. Mathematical Modeling
3. Implementation and Results
3.1. Microstructural Impacts of Cold Rolling and Aging
- Stress-Induced Phase Transformation: In materials like medium-carbon low-alloy steel, internal stresses can trigger phase transformations, such as the transformation-induced plasticity (TRIP) effect. This effect enhances both strength and plasticity by transforming retained austenite into martensite under stress.
- Injection-Molded Products: Internal stresses formed during the cooling process of injection-molded products significantly influence their mechanical properties. These stresses can lead to improved strength and dimensional stability by creating a complex stress distribution within the material.
- Thermodynamic Analysis: Studies using thermodynamic methods and molecular dynamics simulations have shown that internal stresses can drive phase transitions in materials, contributing to enhanced mechanical properties. For example, the stress-induced martensitic transformation in steels is a result of internal stress [40].
3.2. Optimization Performance of Metaheuristic Algorithms
4. Conclusions
Author Contributions
Funding
Institutional Review Board Statement
Informed Consent Statement
Data Availability Statement
Conflicts of Interest
Abbreviations
| SPBO | student psychology-based optimization |
| IACS | International Annealed Copper Standard |
| HPT | high-pressure torsion |
| KLFA | high strength alloy- (Cu-3.2Ni-0.7Si-1.1Zn wt%, HV = 2.548 GPa) |
| ANN | artificial neural network |
| ML | multi level |
| MLDS | multi-level design system |
| DL-EL | deep learning and ensemble learning |
| HV | Vickers hardness tests |
| TEM | transmission electron microscope |
| SAD | selected area diffraction |
| EDS | energy dispersive X-ray spectrometer |
| FEI | Feldstein electron imaging |
| CF | curve fitting |
| GWO | gray wolf optimization |
| PSO | particle swarm optimization |
| WOA | whale optimization algorithm |
| TLBO | teaching–learing-based optimization |
| FFNN | feedforward neural network |
References
- Krupińska, B.; Borek, W.; Krupiński, M.; Karkoszka, T. The Influence of Ag on the Microstructure and Properties of Cu-Ni-Si Alloys. Materials 2020, 13, 3416. [Google Scholar] [CrossRef] [PubMed]
- Qin, Z.; Zhao, H.; Zhang, S.; Fan, Y.; Dong, X.; Lan, Z.; Hu, X.; Song, Y.; Guo, C. Design of high performance Cu-Ni-Si alloys via a multiobjective strategy based on machine learning. Mater. Today Commun. 2024, 39, 108833. [Google Scholar] [CrossRef]
- Lei, Q.; Li, Z.; Dai, C.; Wang, J.; Chen, X.; Xie, J.M.; Yang, W.W.; Chen, D.L. Effect of aluminum on microstructure and property of Cu–Ni–Si alloys. Mater. Sci. Eng. A 2013, 572, 65–74. [Google Scholar] [CrossRef]
- Głuchowski, W.; Rdzawski, Z.; Sobota, J.; Domagała-Dubiel, J. Effect of the Combined Heat Treatment and Severe Plastic Deformation on the Microstructure of CuNiSi Alloy. Arch. Metall. Mater. 2016, 61, 1207–1214. [Google Scholar] [CrossRef]
- Krupińska, B.; Rdzawski, Z.; Krupiński, M.; Pakieła, W. Precipitation Strengthening of Cu–Ni–Si Alloy. Materials 2020, 13, 1182. [Google Scholar] [CrossRef]
- Labisz, K.; Konieczny, J.; Jurczyk, S.; Tanski, T.; Krupinski, M. Thermo-derivative analysis of Al-Si-Cu alloy used for surface treatment. J. Therm. Anal. Calorim. 2017, 129, 895–903. [Google Scholar] [CrossRef]
- Konieczny, J.; Labisz, K. Thermal Analysis and Selected Properties of CuNi2Si Alloy Used for Railway Traction. Materials 2021, 14, 4613. [Google Scholar] [CrossRef] [PubMed]
- Kordaszewski, S.; Sadzikowski, M.; Kiesiewicz, G.; Kwaśniewski, P.; Noga, P.; Ściężor, W.; Franczak, K.; Kawecki, A. The Influence of Continuous Casting and Extrusion Processes on the Properties and Structure of CuNi2Si Alloy and the Morphology of the Ni-Si Phase Precipitates. Metalurgija 2024, 63, 128–131. Available online: https://hrcak.srce.hr/307434 (accessed on 26 January 2025).
- Wu, Y.; Lu, J.; Tan, S.; Jiang, F.; Sun, J. Accessing enhanced uniformity and property in CuNiSiCr alloy by high-temperature recrystallization. Mater. Sci. Eng. A 2019, 764, 138281. [Google Scholar] [CrossRef]
- Wu, Y.; Li, Y.; Lu, J.; Tan, S.; Jiang, F.; Sun, J. Effects of pre-deformation on precipitation behaviors and properties in Cu-Ni-Si-Cr alloy. Mater. Sci. Eng. A 2019, 742, 501–507. [Google Scholar] [CrossRef]
- Kim, H.G.; Lee, T.W.; Kim, S.M.; Han, S.Z.; Euh, K.; Kim, W.Y.; Lim, S.H. Effects of Ti addition and heat treatments on mechanical and electrical properties of Cu-Ni-Si alloys. Met. Mater. Int. 2013, 19, 61–65. [Google Scholar] [CrossRef]
- Lei, Q.; Li, S.; Zhu, J.; Xiao, Z.; Zhang, F.; Li, Z. Microstructural evolution, phase transition, and physics properties of a high strength Cu–Ni–Si–Al alloy. Mater. Charact. 2019, 147, 315–323. [Google Scholar] [CrossRef]
- Lee, S.; Matsunaga, H.; Sauvage, X.; Horita, Z. Strengthening of Cu–Ni–Si alloy using high-pressure torsion and aging. Mater. Charact. 2014, 90, 62–70. [Google Scholar] [CrossRef]
- Lei, Q.; Li, Z.; Wang, M.P.; Zhang, L.; Xiao, Z.; Jia, Y.L. The evolution of microstructure in Cu–8.0Ni–1.8Si–0.15Mg alloy during aging. Mater. Sci. Eng. A 2010, 527, 6728–6733. [Google Scholar] [CrossRef]
- Li, Z.M.; Meng, W.L.; Hu, Y.L.; Zheng, Y.H.; Liu, R.W.; Li, J.S.; Liu, T.; Liu, Q.; Li, X.N. Differential effects of Sn and Si solutes on the microstructure and properties of Cu–Ni–Al alloys with coherent L12-γ′ phases. Vacuum 2023, 215, 112355. [Google Scholar] [CrossRef]
- Kang, J.; Tan, H.; Lei, Q.; Liang, Y.; Li, J.; Wang, Y.; Zhu, M.; Wu, J.; Gao, Y.; Jiang, Y. Discontinuous precipitation in a Cu-10Ni-1Si alloy with ultra-high strength, high shock absorption, and good stress relaxation resistance. J. Alloys Compd. 2023, 934, 167676. [Google Scholar] [CrossRef]
- Li, D.; Wang, Q.; Jiang, B.; Li, X.; Zhou, W.; Dong, C.; Wang, H.; Chen, Q. Minor-alloyed Cu-Ni-Si alloys with high hardness and electric conductivity designed by a cluster formula approach. Prog. Nat. Sci. Mater. Int. 2017, 27, 467–473. [Google Scholar] [CrossRef]
- Lei, Q.; Xiao, Z.; Hu, W.; Derby, B.; Li, Z. Phase transformation behaviors and properties of a high strength Cu-Ni-Si alloy. Mater. Sci. Eng. A 2017, 697, 37–47. [Google Scholar] [CrossRef]
- Zeraati, M.; Khayati, G.R. Optimization of micro hardness of nanostructure Cu-Cr-Zr alloys prepared by the mechanical alloying using artificial neural networks and genetic algorithm. J. Ultrafine Grained Nanostructured Mater. 2018, 51, 183–192. Available online: https://jufgnsm.ut.ac.ir (accessed on 26 January 2025).
- Khandelwal, P.; Harshit, H.; Manna, I. Intelligent Design of High Strength and High Conductivity Copper Alloys Using Machine Learning Assisted by Genetic Algorithm. SSRN. Available online: https://ssrn.com/abstract=4266767 (accessed on 26 January 2025).
- Kolev, M. A novel approach to predict the effect of chemical composition and thermo-mechanical processing parameters on Cu–Ni–Si alloys using a hybrid deep learning and ensemble learning model. Compos. Commun. 2024, 48, 101903. [Google Scholar] [CrossRef]
- Pan, S.; Wang, Y.; Yu, J.; Yang, M.; Zhang, Y.; Wei, H.; Chen, Y.; Wu, J.; Han, J.; Liu, X.; et al. Accelerated discovery of high-performance Cu-Ni-Co-Si alloys through machine learning. Mater. Des. 2021, 209, 109929. [Google Scholar] [CrossRef]
- Wang, C.; Fu, H.; Jiang, L.; Xue, D.; Xie, J. A property-oriented design strategy for high performance copper alloys via machine learning. Npj Comput. Mater. 2019, 5, 87. [Google Scholar] [CrossRef]
- Li, L.; Jie, J.; Guo, X.; Liu, G.; Kang, H.; Chen, Z.; Wang, T. Accelerated composition-process-properties design of precipitation-strengthened copper alloys using machine learning based on Bayesian optimization. Mater. Res. Lett. 2024, 1–9. [Google Scholar] [CrossRef]
- Zhao, S.; Li, N.; Hai, G.; Zhang, Z. An improved composition design method for high-performance copper alloys based on various machine learning models. AIP Adv. 2023, 13, 025262. [Google Scholar] [CrossRef]
- ASTM E92; Standard Test Methods for Vickers Hardness and Knoop Hardness of Metallic Materials. ASTM: West Conshohocken, PA, USA, 2023.
- IEC 60028 (IEC 60028:1925); International Standard of Resistance for Copper. IEC: Geneva, Switzerland, 1925.
- Dziczkowski, L. Effect of eddy current frequency on measuring properties of devices used in non- destructive measurements of non-ferromagnetic metal plates. Arch. Mater. Sci. Eng. 2008, 32, 77–84. [Google Scholar]
- Chatterjee, S.; Malik, O.; Gupta, S. Chemical Sensing Employing Plant Electrical Signal Response-Classification of Stimuli Using Curve Fitting Coefficients as Features. Biosensors 2018, 8, 83. [Google Scholar] [CrossRef]
- Chicco, D.; Warrens, M.J.; Jurman, G. The coefficient of determination R-squared is more informative than SMAPE, MAE, MAPE, MSE and RMSE in regression analysis evaluation. PeerJ Comput. Sci. 2021, 7, e623. [Google Scholar] [CrossRef] [PubMed]
- Jianlong, W.; Jaaman, S.H.; Samsudin, H.B. R-squared measurement in multifactor pricing model. AIP Conf. Proc. 2015, 1678, 060001. [Google Scholar] [CrossRef]
- Ürgün, S.; Yiğit, H.; Fidan, S.; Sınmazçelik, T.; Canel, T. Optimization of laser-texturing process parameters of Ti6Al4V alloys using metaheuristic algorithms. Proc. Inst. Mech. Eng. Part E J. Process Mech. Eng. 2024. [Google Scholar] [CrossRef]
- Stobrawa, J.; Rdzawski, Z.; Głuchowski, W.; Malec, W. Microstructure and properties of CuNi2Si1 alloy processed by continuous RCS method. J. Achiev. Mater. Manuf. Eng. 2009, 37, 466–479. [Google Scholar]
- Meng, A.; Nie, J.; Wei, K.; Kang, H.; Liu, Z.; Zhao, Y. Optimization of strength, ductility and electrical conductivity of a Cu–Cr–Zr alloy by cold rolling and aging treatment. Vacuum 2019, 167, 329–335. [Google Scholar] [CrossRef]
- Guo, F.; Niu, Y.; Fu, B.; Qiao, J.; Qiu, S. Influence Mechanisms of Cold Rolling Reduction Rate on Microstructure, Texture and Magnetic Properties of Non-Oriented Silicon Steel. Crystals 2024, 14, 853. [Google Scholar] [CrossRef]
- Rdzawski, Z.; Stobrawa, J. Thermomechanical processing of Cu–Ni–Si–Cr–Mg alloy. Mater. Sci. Technol. 1993, 9, 142–150. [Google Scholar] [CrossRef]
- Nagarjuna, S.; Balasubramanian, K.; Sarma, D.S. Effect of prior cold work on mechanical properties and structure of an age-hardened Cu-1.5wt% Ti alloy. J. Mater. Sci. 1997, 32, 3375–3385. [Google Scholar] [CrossRef]
- Rdzawski, Z.; Stobrawa, J.; Głuchowski, W.; Konieczny, J. Thermomechanical processing of CuTi4 alloy. J. Achiev. Mater. Manuf. Eng. 2010, 42, 9–25. [Google Scholar]
- Konieczny, J. Forming of the structure and application properties of precipitation reinforced titanium copper. Open Access Libr. 2013, 4, 67–73, 75–80. [Google Scholar]
- Lu, M.; Chen, X.; Liu, W.; Chen, Y.R.; Li, Q.; Wang, K.; Huang, Y. Mechanisms of strength–plasticity enhancement and stress-induced phase transition in a medium-carbon low-alloy steel. J. Iron Steel Res. Int. 2024, 31, 2255–2270. [Google Scholar] [CrossRef]



| Cu | Si | Zn | P | Pb | Sn | Mn | Ni | Sb | Bi | As | Cd |
|---|---|---|---|---|---|---|---|---|---|---|---|
| 97.02 | 0.89 | 0.13 | 0.065 | 0.003 | 0.009 | 0.030 | 2.08 | 0.001 | 0.001 | 0.001 | 0.001 |
| Aging Temperature (T, °C) | Aging Time (t, min) | Condition | |||
|---|---|---|---|---|---|
| Undeformed and Aged | Deformed and Aged | ||||
| Electrical Conductivity (MS/m) | Hardness (HV5) | Electrical Conductivity (MS/m) | Hardness (HV5) | ||
| 450 | 1 | 8.6 | 68.7 | 8.6 | 230 |
| 10 | 10.4 | 126 | - | - | |
| 15 | 10.5 | 132 | 11.8 | 259 | |
| 30 | 11.2 | 167 | 13 | 266 | |
| 60 | 11.4 | 180 | 14 | 267 | |
| 120 | 12.1 | 181 | 14.4 | 257 | |
| 500 | 1 | 9 | 70 | 8.2 | 230 |
| 10 | 10.7 | 156.5 | - | - | |
| 15 | 11 | 164.1 | 13.3 | 259 | |
| 30 | 11.5 | 185 | 14.3 | 254 | |
| 60 | 12.1 | 188 | 14.6 | 242 | |
| 120 | 11.8 | 175 | 15.2 | 212 | |
| 550 | 1 | 8.7 | 77 | 8.6 | 230 |
| 10 | 11.1 | 192 | - | - | |
| 15 | 11.4 | 189 | 14.3 | 248 | |
| 30 | 11.5 | 167 | 14.7 | 224 | |
| 60 | 11.5 | 157 | 14.9 | 203 | |
| 120 | 11.7 | 154 | 15 | 187 | |
| 600 | 1 | 8.6 | 69.5 | 8.6 | 230 |
| 10 | 9.6 | 175 | - | - | |
| 15 | 9.7 | 164 | 14.5 | 211 | |
| 30 | 9.8 | 158 | 14.4 | 197 | |
| 60 | 10.7 | 136 | 14.4 | 171 | |
| 120 | 10.9 | 129 | 14.7 | 155 | |
| Algorithm | Parameters | Description | Value |
|---|---|---|---|
| Genetic Algorithm (GA) | Population size | The total number of individuals (solutions) in each generation | 100 |
| Crossover rate | The probability of applying the crossover operation to selected individuals | 0.8 | |
| Mutation rate | The probability of making random changes in the genes of individuals | 0.3 | |
| Selection | The process of choosing individuals from the population for reproduction | Roulette wheel | |
| Particle Swarm Optimization (PSO) | Swarm size | The total number of particles (candidate solution) in the swarm | 100 |
| Cognitive coefficient (c1) | Determines the influence of a particle’s personal best on its velocity. | 2 | |
| Social coefficient (c2) | Determines the influence of the global best on a particle’s velocity. | 2 | |
| Inertia weight | Controls the influence of a particle’s previous velocity on its current one | decrease from 0.9 to 0.2 | |
| Gray Wolf Optimizer (GWO) | Population size | The total number of gray wolves (candidate solutions) in the population | 100 |
| Alpha, beta, delta parameters | Hierarchical effect of leader wolves | Dynamic | |
| Random coefficients (r1 and r2) | Two random values adjusting wolves’ positions dynamically | [0, 1] | |
| Control parameter (a) | It balances global exploration and local exploitation | linearly decreased from 2 to 0 | |
| Whale Optimization Algorithm (WOA) | Population size | The total number of whales (candidate solutions) in the population | 100 |
| Control parameter (a) | It balances exploration (searching globally) and exploitation (focusing locally) | linearly decreased from 2 to 0 | |
| Random parameter (p) | A random value deciding between encircling or spiral-based position updates | [0, 1] | |
| Teaching–Learning-Based Optimization (TLBO) | Population size | The number of learners in the population | 100 |
| Teaching factor (TF) | The rate at which the teacher influences the learners | 1 or 2 | |
| Student Psychology-Based Optimization (SPBO) | Population size | The number of students (solutions) in the population | 100 |
| Motivation factor (M) | The student’s motivation to solve a problem, influencing their willingness to find better solutions | 1.00 | |
| Learning rate (LR) | The effect of students’ individual and group learning | 0.5 |
| TLBO | GA | PSO | ||||||||
| Desired Electrical Conductivity | Desired Hardness | Process | Optimum Aging Temperature | Optimum Aging Time | Process | Optimum Aging Temperature | Optimum Aging Time | Process | Optimum Aging Temperature | Optimum Aging Time |
| MS/m | HV5 | ToC | t min | ToC | t min | ToC | t min | |||
| 11.2 | 167 | UD | 472.879 | 23.88 | UD | 546.06 | 34.29 | UD | 472.88 | 23.88 |
| 11.4 | 189 | UD | 450.000 | 62.12 | UD | 542.46 | 20.51 | UD | 542.46 | 20.51 |
| 12.1 | 188 | UD | 512.232 | 63.44 | UD | 523.52 | 63.44 | UD | 512.24 | 63.44 |
| 8.6 | 69.5 | UD | 473.409 | 1.45 | UD | 480.62 | 1.22 | UD | 487.67 | 1.00 |
| 13 | 266 | D | 461.058 | 22.45 | D | 480.20 | 76.11 | D | 461.06 | 22.45 |
| 14.3 | 248 | D | 484.738 | 57.93 | D | 570.01 | 84.65 | D | 519.89 | 23.71 |
| 14 | 267 | D | 450.000 | 61.75 | D | 585.05 | 93.80 | D | 450.00 | 61.75 |
| 8.6 | 230 | D | 566.737 | 1.02 | D | 450.00 | 69.87 | D | 566.51 | 1.00 |
| 11 | 150 | UD | 450.611 | 31.75 | UD | 462.32 | 45.58 | UD | 557.14 | 41.72 |
| 12 | 180 | UD | 517.644 | 61.88 | UD | 517.90 | 61.55 | UD | 517.66 | 61.88 |
| 14 | 200 | D | 565.521 | 74.39 | UD | 564.41 | 74.19 | D | 564.10 | 47.62 |
| 13 | 250 | D | 497.217 | 74.54 | UD | 497.22 | 74.54 | UD | 497.22 | 74.54 |
| SPBO | GWO | WOA | ||||||||
| Desired Electrical Conductivity | Desired Hardness | Process | Optimum Aging Temperature | Optimum Aging Time | Process | Optimum Aging Temperature | Optimum Aging Time | Process | Optimum Aging Temperature | Optimum Aging Time |
| MS/m | HV5 | ToC | t min | ToC | t min | ToC | t min | |||
| 11.2 | 167 | UD | 473.05 | 24.85 | UD | 472.84 | 24.34 | UD | 472.87 | 23.89 |
| 11.4 | 189 | UD | 451.14 | 62.06 | UD | 542.43 | 20.52 | UD | 542.46 | 20.51 |
| 12.1 | 188 | UD | 512.45 | 63.48 | UD | 600.00 | 78.17 | UD | 600.00 | 78.17 |
| 8.6 | 69.5 | UD | 473.77 | 1.43 | UD | 473.55 | 1.44 | UD | 486.73 | 1.03 |
| 13 | 266 | D | 461.05 | 22.46 | D | 460.85 | 22.73 | D | 461.06 | 22.45 |
| 14.3 | 248 | D | 484.74 | 57.93 | D | 519.88 | 23.72 | D | 507.90 | 31.09 |
| 14 | 267 | D | 449.13 | 61.01 | D | 450.00 | 61.75 | D | 450.00 | 61.75 |
| 8.6 | 230 | D | 566.74 | 1.02 | D | 566.74 | 1.02 | D | 566.74 | 1.02 |
| 11 | 150 | D | 561.62 | 124.41 | UD | 450.00 | 31.43 | UD | 450.00 | 31.43 |
| 12 | 180 | UD | 517.79 | 61.90 | UD | 596.44 | 75.96 | UD | 597.02 | 76.02 |
| 14 | 200 | D | 564.07 | 47.65 | D | 564.09 | 47.63 | D | 563.88 | 47.90 |
| 13 | 250 | D | 521.30 | 12.41 | D | 521.29 | 12.41 | UD | 497.23 | 74.54 |
| Parameters | Value |
|---|---|
| Training algorithm | Levenberg–Marquard |
| Regularization parameter | 0.1 |
| The number of hidden layers | 1 |
| The number of hidden neurons | 11 |
| Max fail (early stopping) | 10 |
| Transfer functions of hidden layer and output layer | “tansig”, “linear” |
| The ratio of the number of training, validation, and testing samples | 0.8, 0.1, 0.1 |
| The number of multiple runs | 1000 |
| TLBO Polynom | TLBO ANN | GA Polynom | GA ANN | PSO Polynom | PSO ANN | ||||||||
| Desired Electrical Conductivity | Desired Hardness | Optimum Elect. Cond. % Error | Optimum Hardness % Error | Optimum Elect. Cond. % Error | Optimum Hardness % Error | Optimum Elect. Cond. % Error | Optimum Hardness % Error | Optimum Elect. Cond. % Error | Optimum Hardness % Error | Optimum Elect. Cond. % Error | Optimum Hardness % Error | Optimum Elect. Cond. % Error | Optimum Hardness % Error |
| MS/m | HV5 | ToC | t min | ToC | t min | ToC | t min | ToC | t min | ToC | t min | ToC | t min |
| 11.2 | 167 | 0.0017 | 0.0006 | 0.0391 | 0.0063 | 0.0020 | 0.0014 | 0.0368 | 0.0424 | 0.0000 | 0.0000 | 0.0399 | 0.0058 |
| 11.4 | 189 | 0.0013 | 0.0001 | 0.0018 | 0.0437 | 0.0099 | 0.0001 | 0.0739 | 0.0436 | 0.0099 | 0.0001 | 0.0728 | 0.0435 |
| 12.1 | 188 | 0.0000 | 0.0000 | 0.0547 | 0.0447 | 0.0010 | 0.0278 | 0.0611 | 0.0734 | 0.0027 | 0.0090 | 0.0569 | 0.0443 |
| 8.6 | 70 | 0.0122 | 0.0007 | 0.0491 | 0.0253 | 0.0124 | 0.0001 | 0.0479 | 0.0291 | 0.0131 | 0.0000 | 0.0421 | 0.0205 |
| 13.0 | 266 | 0.0000 | 0.0000 | 0.0626 | 0.0186 | 0.3626 | 0.0205 | 0.0977 | 0.0712 | 0.0000 | 0.0000 | 0.0622 | 0.0181 |
| 14.3 | 248 | 0.0000 | 0.0000 | 0.0363 | 0.0148 | 0.3098 | 0.1486 | 0.0325 | 0.2819 | 0.0037 | 0.0000 | 0.0180 | 0.0012 |
| 14.0 | 267 | 0.0104 | 0.0002 | 0.0306 | 0.0042 | 0.4196 | 0.2235 | 0.0521 | 0.3745 | 0.0104 | 0.0002 | 0.0304 | 0.0040 |
| 8.6 | 230 | 0.0001 | 0.0000 | 0.0472 | 0.0052 | 0.8327 | 0.1852 | 0.0627 | 0.0475 | 0.0014 | 0.0000 | 0.0463 | 0.0048 |
| 11.0 | 150 | 0.0000 | 0.0000 | 0.0072 | 0.1159 | 0.0002 | 0.0018 | 0.0164 | 0.1882 | 0.0000 | 0.0000 | 0.0165 | 0.1021 |
| 12.0 | 180 | 0.0000 | 0.0000 | 0.0507 | 0.0134 | 0.0019 | 0.0068 | 0.0532 | 0.0145 | 0.0000 | 0.0001 | 0.0527 | 0.0132 |
| 14.0 | 200 | 0.0110 | 0.0002 | 0.0012 | 0.0134 | 0.0916 | 0.0002 | 0.0470 | 0.0724 | 0.0110 | 0.0000 | 0.0021 | 0.0133 |
| 13.0 | 250 | 0.0000 | 0.0000 | 0.0786 | 0.0149 | 0.0000 | 0.0000 | 0.1091 | 0.0565 | 0.0000 | 0.0000 | 0.0778 | 0.0146 |
| SPBO Polynom | SPBO ANN | GWO Polynom | GWO ANN | WOA Polynom | WOA ANN | ||||||||
| Desired Electrical Conductivity | Desired Hardness | Optimum Elect. Cond. % Error | Optimum Hardness % Error | Optimum Elect. Cond. % Error | Optimum Hardness % Error | Optimum Elect. Cond. % Error | Optimum Hardness % Error | Optimum Elect. Cond. % Error | Optimum Hardness % Error | Optimum Elect. Cond. % Error | Optimum Hardness % Error | Optimum Elect. Cond. % Error | Optimum Hardness % Error |
| MS/m | HV5 | ToC | t min | ToC | t min | ToC | t min | ToC | t min | ToC | t min | ToC | t min |
| 11.2 | 167 | 0.0009 | 0.0025 | 0.0369 | 0.0014 | 0.0004 | 0.0014 | 0.0397 | 0.0022 | 0.0000 | 0.0000 | 0.0391 | 0.0078 |
| 11.4 | 189 | 0.0022 | 0.0001 | 0.0012 | 0.0436 | 0.0099 | 0.0001 | 0.0745 | 0.0443 | 0.0099 | 0.0001 | 0.0736 | 0.0435 |
| 12.1 | 188 | 0.0003 | 0.0003 | 0.0571 | 0.0461 | 0.0033 | 0.0001 | 0.0866 | 0.2895 | 0.0033 | 0.0001 | 0.0877 | 0.2891 |
| 8.6 | 70 | 0.0119 | 0.0009 | 0.0487 | 0.0289 | 0.0120 | 0.0003 | 0.0487 | 0.0324 | 0.0130 | 0.0002 | 0.0471 | 0.0242 |
| 13.0 | 266 | 0.0000 | 0.0000 | 0.0420 | 0.0190 | 0.0001 | 0.0003 | 0.0616 | 0.0187 | 0.0000 | 0.0000 | 0.0626 | 0.0187 |
| 14.3 | 248 | 0.0000 | 0.0000 | 0.0362 | 0.0146 | 0.0037 | 0.0000 | 0.0184 | 0.0010 | 0.0201 | 0.0000 | 0.0690 | 0.0086 |
| 14.0 | 267 | 0.0000 | 0.0000 | 0.0313 | 0.0025 | 0.0104 | 0.0002 | 0.0303 | 0.0044 | 0.0104 | 0.0002 | 0.0306 | 0.0038 |
| 8.6 | 230 | 0.0001 | 0.0000 | 0.0486 | 0.0047 | 0.0001 | 0.0000 | 0.0477 | 0.0047 | 0.0001 | 0.0000 | 0.0481 | 0.0037 |
| 11.0 | 150 | 0.0002 | 0.0002 | 0.0152 | 0.0464 | 0.0001 | 0.0000 | 0.0095 | 0.1126 | 0.0001 | 0.0000 | 0.0085 | 0.1113 |
| 12.0 | 180 | 0.0001 | 0.0000 | 0.0529 | 0.0153 | 0.0013 | 0.0013 | 0.0809 | 0.2507 | 0.0001 | 0.0001 | 0.0814 | 0.2513 |
| 14.0 | 200 | 0.0110 | 0.0000 | 0.0003 | 0.0135 | 0.0110 | 0.0000 | 0.0026 | 0.0143 | 0.0110 | 0.0000 | 0.0015 | 0.0129 |
| 13.0 | 250 | 0.0000 | 0.0000 | 0.0375 | 0.0158 | 0.0000 | 0.0040 | 0.0765 | 0.0154 | 0.0000 | 0.0000 | 0.0004 | 0.0151 |
Disclaimer/Publisher’s Note: The statements, opinions and data contained in all publications are solely those of the individual author(s) and contributor(s) and not of MDPI and/or the editor(s). MDPI and/or the editor(s) disclaim responsibility for any injury to people or property resulting from any ideas, methods, instructions or products referred to in the content. |
© 2025 by the authors. Licensee MDPI, Basel, Switzerland. This article is an open access article distributed under the terms and conditions of the Creative Commons Attribution (CC BY) license (https://creativecommons.org/licenses/by/4.0/).
Share and Cite
Konieczny, J.; Labisz, K.; Ürgün, S.; Yiğit, H.; Fidan, S.; Bora, M.Ö.; Atapek, Ş.H. Metaheuristics Algorithm-Based Optimization for High Conductivity and Hardness CuNi2Si1 Alloy. Materials 2025, 18, 1060. https://doi.org/10.3390/ma18051060
Konieczny J, Labisz K, Ürgün S, Yiğit H, Fidan S, Bora MÖ, Atapek ŞH. Metaheuristics Algorithm-Based Optimization for High Conductivity and Hardness CuNi2Si1 Alloy. Materials. 2025; 18(5):1060. https://doi.org/10.3390/ma18051060
Chicago/Turabian StyleKonieczny, Jarosław, Krzysztof Labisz, Satılmış Ürgün, Halil Yiğit, Sinan Fidan, Mustafa Özgür Bora, and Ş. Hakan Atapek. 2025. "Metaheuristics Algorithm-Based Optimization for High Conductivity and Hardness CuNi2Si1 Alloy" Materials 18, no. 5: 1060. https://doi.org/10.3390/ma18051060
APA StyleKonieczny, J., Labisz, K., Ürgün, S., Yiğit, H., Fidan, S., Bora, M. Ö., & Atapek, Ş. H. (2025). Metaheuristics Algorithm-Based Optimization for High Conductivity and Hardness CuNi2Si1 Alloy. Materials, 18(5), 1060. https://doi.org/10.3390/ma18051060

