Assessing the Effect of Damage and Steel Fiber Content on the Self-Sensing Ability of Coal Gangue-Cemented Composite by Electrochemical Impedance Spectroscopy (EIS)
Highlights
- A steel fiber-reinforced coal gangue-based cemented composite (SFs-CGCC) is proposed.
- An EIS method was proposed to evaluate the self-sensing mechanism of the SFs-CGCC
- An equivalent circuit model is applied to explain the EIS results obtained from the SFs-CGCC.
- An optimized steel fiber content for SFs-CGCC is obtained.
Abstract
1. Introduction
2. Experimental Methodology
2.1. Raw Materials
2.2. Mix Proportion
2.3. Testing Method
2.3.1. Uniaxial Compressive Test and Initial Damage Preparation
2.3.2. EIS Test
3. Results and Discussion
3.1. Mechanical Properties
3.2. Effect of Loading Levels on EIS
3.3. Effect of SF Content on EIS
3.4. Analysis of Electrochemical Impedance Parameters
4. Conclusions
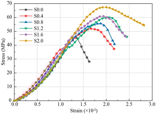
- The mechanical test results demonstrated that the compressive strengths of CGCC specimens showed a nearly linear increase with a growth rate of 32.62% as SF content increased from 0 to 0.8%. Beyond 0.8%, the increase in compressive strength stabilized. In addition, as SF content increases, the post-peak stress–axial strain curve becomes less steep.
- For SF-CGCC specimens loaded by different external pressures, the conductive pathways induced by SFs remain stable, while the conductive pathways induced by pores increase because of compaction, which results in a decrease of total resistance in the Nyquist plot. Except for specimens with 0.8% SF content, the loading levels primarily affect conductivity rather than capacitive properties.
- For SFs-CGCC specimens with varying SF content, resistance decreased as SF content increased. Beyond 0.8% SF content, changes in continuous conductive pathways stabilized, indicating that further SF additions did not significantly enhance conductivity.
- At 0.8% SF content, the fibers formed a preferable conductive network, showing better sensitivity to external forces and satisfactory strength. This suggests that 0.8% SF content optimizes both self-sensing performance, mechanical strength, and material efficiency.
Author Contributions
Funding
Institutional Review Board Statement
Informed Consent Statement
Data Availability Statement
Conflicts of Interest
References
- Cheng, Y.; Shen, H.; Zhang, J. Understanding the effect of high-volume fly ash on micro-structure and mechanical properties of cemented coal gangue paste backfill. Constr. Build. Mater. 2023, 378, 131202. [Google Scholar] [CrossRef]
- Wu, H.; Chen, C.; Song, W.; Hou, W. High-capacity utilization of coal gangue as supplementary cementitious material, geopolymer, and aggregate: A review. Constr. Build. Mater. 2024, 435, 136857. [Google Scholar] [CrossRef]
- Jin, J.; Li, M.; Liu, T.; Chen, Y.; Qin, Z.; Liu, Q.; Liang, B.; Zhao, J.; Zuo, S. Insights into factors influencing coal gangue-filled backfill cemented by self-consolidating alkali-activated slag grouts. Constr. Build. Mater. 2024, 411, 134422. [Google Scholar] [CrossRef]
- Jin, J.; Qin, Z.; Lü, X.; Liu, T.; Zhang, G.; Shi, J.; Zuo, S.; Li, D. Rheology control of self-consolidating cement-tailings grout for the feasible use in coal gangue-filled backfill. Constr. Build. Mater. 2022, 316, 125836. [Google Scholar] [CrossRef]
- Liu, W.; Hu, Z.; Liu, C.; Huang, X.; Hou, J. Mechanical properties under triaxial compression of coal gangue-fly ash cemented backfill after cured at different temperatures. Constr. Build. Mater. 2024, 411, 134268. [Google Scholar] [CrossRef]
- Wang, X.; Zhang, J.; Han, R.; Han, N.; Xing, F. Evaluation of damage and repair rate of self-healing microcapsule-based cementitious materials using electrochemical impedance spectroscopy. J. Clean. Prod. 2019, 235, 966–976. [Google Scholar] [CrossRef]
- Le, H.V.; Kim, D.J. Detecting crack and damage location in self-sensing fiber reinforced cementitious composites. Constr. Build. Mater. 2020, 240, 117973. [Google Scholar] [CrossRef]
- Azhari, F.; Banthia, N. Cement-based sensors with carbon fibers and carbon nanotubes for piezoresistive sensing. Cem. Concr. Compos. 2012, 34, 866–873. [Google Scholar] [CrossRef]
- Chung, D.D.L. Carbon materials for structural self-sensing, electromagnetic shielding and thermal interfacing. Carbon 2012, 50, 3342–3353. [Google Scholar] [CrossRef]
- Ding, Y.; Liu, G.; Hussain, A.; Pacheco-Torgal, F.; Zhang, Y. Effect of steel fiber and carbon black on the self-sensing ability of concrete cracks under bending. Constr. Build. Mater. 2019, 207, 630–639. [Google Scholar] [CrossRef]
- Gupta, S.; Gonzalez, J.G.; Loh, K.J. Self-sensing concrete enabled by nano-engineered cement-aggregate interfaces. Struct. Health Monit.-Int. J. 2017, 16, 309–323. [Google Scholar] [CrossRef]
- Han, B.; Ding, S.; Yu, X. Intrinsic self-sensing concrete and structures: A review. Measurement 2015, 59, 110–128. [Google Scholar] [CrossRef]
- Maier, M. The effect of moisture and reinforcement on the self-sensing properties of hybrid-fiber-reinforced concrete. Eng. Res. Express 2020, 2, 025026. [Google Scholar] [CrossRef]
- Almotlaq, T.; Huang, B.; Saafi, M.; Ye, J. Enhancing the self-sensing and energy storage capabilities of cementitious composites through marine sand doping. Constr. Build. Mater. 2024, 428, 136218. [Google Scholar] [CrossRef]
- Sun, H.; Ren, Z.; Memon, S.A.; Zhao, D.; Zhang, X.; Li, D.; Xing, F. Investigating drying behavior of cement mortar through electrochemical impedance spectroscopy analysis. Constr. Build. Mater. 2017, 135, 361–368. [Google Scholar] [CrossRef]
- Meng, X.; Feng, J.; Pai, N.; Zequan, H.; Kaiyuan, L.; Cheng, Z.; Yazhen, Z. Effects of filler type and aging on self-sensing capacity of cement paste using eddy current-based nondestructive detection. Measurement 2021, 182, 109708. [Google Scholar] [CrossRef]
- He, H.; Zhu, Y.; Zhou, A. Electrochemical impedance spectroscopy (EIS) used to evaluate influence of different external pressures, curing ages and self-healing environments on the self-healing behavior of engineered cementitious composites (ECC). Constr. Build. Mater. 2018, 188, 153–160. [Google Scholar] [CrossRef]
- Abo Hashem, I.A.; Gaber, G.A.; Ahmed, A.S.I.; Abdel Ghany, N.A. Assessment of blended cement containing waste basalt powder: Physicomechanical and electrochemical impedance spectroscopy investigations. Discov. Appl. Sci. 2024, 6, 380. [Google Scholar] [CrossRef]
- Chi, L.; Xiaohong, Z.; Guoxing, S. Embedded resistivity sensor for compressive strength prediction of cement paste by electrochemical impedance spectroscopy. IEEE Sens. Lett. 2021, 5, 6002204. [Google Scholar] [CrossRef]
- Tziviloglou, E.; Metaxa, Z.S.; Maistros, G.; Kourkoulis, S.K.; Karousos, D.S.; Favvas, E.P.; Alexopoulos, N.D. Electrochemical Impedance as an Assessment Tool for the Investigation of the Physical and Mechanical Properties of Graphene-Based Cementitious Nanocomposites. Nanomaterials 2023, 13, 2652. [Google Scholar] [CrossRef]
- Song, W.; Guo, T.; Wang, X.; Wang, X.; Wang, R.; Han, P. Chloride ion permeation and electrochemical impedance response of red mud-coal metakaolin geopolymer concrete. Int. J. Electrochem. Sci. 2024, 19, 100436. [Google Scholar] [CrossRef]
- Zhang, J.; Heath, A.; Ball, R.J.; Chen, B.; Tan, L.; Li, G.; Pan, J.; Su-Cadirci, T.B.; Paine, K. Piezoresistivity and piezopermittivity of cement-based sensors under quasi-static stress and changing moisture. Constr. Build. Mater. 2024, 425, 136052. [Google Scholar] [CrossRef]
- Li, C.; Fan, Y.; Li, Q. Performance of Cement Paste with Metakaolin Based on Electrochemical Impedance Spectroscopy. Jianzhu Cailiao Xuebao/J. Build. Mater. 2020, 23, 755–762. [Google Scholar] [CrossRef]
- Tao, G.; Gao, C.; Qiao, Z. Electrochemical impedance spectroscopy study of the compressive strength of concrete. Int. J. Electrochem. Sci. 2017, 12, 11692–11700. [Google Scholar] [CrossRef]
- Fan, S.; Li, X.; Li, M. The effects of damage and self-healing on impedance spectroscopy of strain-hardening cementitious materials. Cem. Concr. Res. 2018, 106, 77–90. [Google Scholar] [CrossRef]
- Park, J.; Song, H.; Choi, H. Estimation of water-to-cement ratio in cementitious materials using electrochemical impedance spectroscopy and artificial neural networks. Constr. Build. Mater. 2022, 350, 128843. [Google Scholar] [CrossRef]
- Shen, P.; Han, P.; Guo, T.; Wang, R.; Song, W.; Bai, X.; Ma, F.; Wang, X.; He, B. Study on the Setting and Hardening Process of red mud-coal metakaolin geopolymer concrete by Electrochemical Impedance Spectroscopy. Int. J. Electrochem. Sci. 2022, 17, 221158. [Google Scholar] [CrossRef]
- Dong, B.; Qiu, Q.; Gu, Z.; Xiang, J.; Huang, C.; Fang, Y.; Xing, F.; Liu, W. Characterization of carbonation behavior of fly ash blended cement materials by the electrochemical impedance spectroscopy method. Cem. Concr. Compos. 2016, 65, 118–127. [Google Scholar] [CrossRef]
- Chi, L.; Du, T.; Lu, S.; Li, W.; Wang, M. Electrochemical impedance spectroscopy monitoring of hydration behaviors of cement with Na2CO3 accelerator. Constr. Build. Mater. 2022, 357, 129374. [Google Scholar] [CrossRef]
- Xiao, M. Comparison of Different Additives and Ages on Mechanical and Acoustic Behavior of Coal Gangue Cemented Composite. Appl. Sci. 2024, 14, 10418. [Google Scholar] [CrossRef]
- ASTM-C127; Standard Test Method for Relative Density (Specific Gravity) and Absorption of Coarse Aggregate. ASTM: West Conshohocken, PA, USA, 2024.
- GB/T 50080-2016; Standard for Test Method of Performance on Ordinary Fresh Concrete. Ministry of Housing and Urban-Rural Development of the People’s Replublic of China: Beijing, China, 2016.
- Bragança, M.O.G.P.; Hasparyk, N.P.; Bronholo, J.L.; Silva, A.S.; Portella, K.F.; Kuperman, S.C. Electrochemical impedance spectroscopy and ultrasound for monitoring expansive reactions and their interactions on cement composites. Constr. Build. Mater. 2021, 305, 124726. [Google Scholar] [CrossRef]
- Ren, J.; Zhang, J.; Wang, X.; Li, D.; Han, N.; Xing, F. Electrochemical Impedance Spectroscopy: A potential approach for detecting the breakage rate of microcapsules for self-healing cementitious materials. Cem. Concr. Compos. 2020, 114, 103776. [Google Scholar] [CrossRef]
- Wang, S.; Xu, L.; Li, B.; Liu, S.; Chi, Y. Mechanical behavior and stress-strain model of steel-polypropylene hybrid fiber reinforced ultra-high performance concrete under triaxial compression. Constr. Build. Mater. 2024, 450, 138595. [Google Scholar] [CrossRef]
- Chen, Y.; He, Q.; Jiang, R.; Ye, P. Mechanical properties of steel fiber reinforced recycled concrete under compression-shear stress state. J. Build. Eng. 2024, 93, 109820. [Google Scholar] [CrossRef]
- Hassi, S.; Ebn Touhami, M.; Boujad, A.; Benqlilou, H. Assessing the effect of mineral admixtures on the durability of Prestressed Concrete Cylinder Pipe (PCCP) by means of electrochemical impedance spectroscopy. Constr. Build. Mater. 2020, 262, 120925. [Google Scholar] [CrossRef]
- Zhu, Y.; Zhang, H.; Zhang, Z.; Dong, B.; Liao, J. Monitoring the cracking behavior of engineered cementitious composites (ECC) and plain mortar by electrochemical impedance measurement. Constr. Build. Mater. 2019, 209, 195–201. [Google Scholar] [CrossRef]
- Nguyen, D.-L.; Ngoc-Tra Lam, M.; Kim, D.-J.; Song, J. Direct tensile self-sensing and fracture energy of steel-fiber-reinforced concretes. Compos. Part B Eng. 2020, 183, 107714. [Google Scholar] [CrossRef]
- Fan, L.; Meng, W.; Teng, L.; Khayat, K.H. Effects of lightweight sand and steel fiber contents on the corrosion performance of steel rebar embedded in UHPC. Constr. Build. Mater. 2020, 238, 117709. [Google Scholar] [CrossRef]
- Fan, L.; Meng, W.; Teng, L.; Khayat, K.H. Effect of steel fibers with galvanized coatings on corrosion of steel bars embedded in UHPC. Compos. Part B Eng. 2019, 177, 107445. [Google Scholar] [CrossRef]
- Song, G. Equivalent circuit model for AC electrochemical impedance spectroscopy of concrete. Cem. Concr. Res. 2000, 30, 1723–1730. [Google Scholar] [CrossRef]



















| Material | SiO2 | Al2O3 | Fe2O3 | K2O | CaO | TiO2 | MgO | Na2O | SO5 | Others |
|---|---|---|---|---|---|---|---|---|---|---|
| CGA/% | 62.113 | 28.169 | 3.508 | 2.231 | 1.224 | 0.981 | 0.667 | 0.400 | 0.379 | 0.328 |
| Density (kg/m3) | Water Absorption (%) | Apparent Gravity | Specific Gravity |
|---|---|---|---|
| 2850 | 1.882% | 2.631579 | 2.507375 |
| Mix | Mixture Proportion (kg/m3) | |||||
|---|---|---|---|---|---|---|
| CGA | Cement | Silica Fume | WR | Water | SFs | |
| S0.0 | 1409.48 | 563.79 | 56.38 | 5.64 | 253.71 | 0.00 |
| S0.4 | 1403.84 | 561.54 | 56.15 | 5.62 | 252.69 | 31.40 |
| S0.8 | 1398.21 | 559.28 | 55.93 | 5.59 | 251.68 | 62.80 |
| S1.2 | 1392.57 | 557.03 | 55.70 | 5.57 | 250.66 | 94.20 |
| S1.6 | 1386.93 | 554.77 | 55.48 | 5.55 | 249.65 | 125.60 |
| S2.0 | 1381.29 | 552.52 | 55.25 | 5.53 | 248.63 | 157.00 |
| Mix | Loading Level | Rm1 (Ω) | Cm1 (nF) | Rm2 (Ω) | Cm2 (pF) |
|---|---|---|---|---|---|
| S0.0 | 0.0 | 178.9 | 5.40 | 679.3 | 7.00 |
| 0.5 | 158.2 | 3.77 | 736 | 15.60 | |
| 0.6 | 384.9 | 2.48 | 1321 | 446.00 | |
| 0.7 | 341.7 | 3.83 | 2998 | 549.00 | |
| 0.8 | 384.6 | 2.93 | 1712 | 519.00 | |
| S0.4 | 0.0 | 306.6 | 2.63 | 420.2 | 18.80 |
| 0.5 | 223.8 | 3.44 | 498 | 283.00 | |
| 0.6 | 375.1 | 2.50 | 1049 | 344.00 | |
| 0.7 | 416.4 | 2.43 | 1192 | 484.00 | |
| 0.8 | 317.9 | 2.99 | 664 | 372.00 | |
| S0.8 | 0.0 | 328.8 | 982.00 | 329.2 | 0.00 |
| 0.5 | 357.7 | 3.00 × 104 | 435.7 | 0.00 | |
| 0.6 | 718.5 | 2.18 × 104 | 209 | 0.00 | |
| 0.7 | 498.5 | 1.06 × 104 | 366.6 | 233.00 | |
| 0.8 | 2.13 × 107 | 7.53 × 103 | 95.59 | 5.54 × 107 | |
| S1.2 | 0.0 | 984.1 | 29.30 | 282.6 | 576.00 |
| 0.5 | 986.3 | 18.10 | 249.4 | 0.00 | |
| 0.6 | 363.4 | 3.02 | 537.2 | 96.20 | |
| 0.7 | 361.8 | 2.28 | 246.7 | 0.00 | |
| 0.8 | 299.8 | 3.27 | 420 | 278.00 | |
| 0.9 | 332.6 | 3.28 | 423.8 | 0.00 | |
| S1.6 | 0.0 | 510.8 | 2.55 | 456.4 | 560.00 |
| 0.5 | 462.8 | 2.50 | 502.7 | 424.00 | |
| 0.6 | 1981 | 94.60 | 194.8 | 346.00 | |
| 0.7 | 6826 | 0.00 | 200.5 | 386.00 | |
| 0.8 | 694.2 | 173.00 | 145.8 | 0.00 | |
| 0.9 | 529.6 | 2.47 | 433 | 560.00 | |
| S2.0 | 0.0 | 383.3 | 925.00 | 388.8 | 0.01 |
| 0.5 | 558.4 | 765.00 | 211 | 18.70 | |
| 0.6 | 423 | 2.64 | 1135 | 600.00 | |
| 0.7 | 1188 | 62.90 | 387.4 | 1810.00 | |
| 0.8 | 508.7 | 147.00 | 253.2 | 608.00 | |
| 0.9 | 1022 | 5.84 | 164.7 | 0.00 |
Disclaimer/Publisher’s Note: The statements, opinions and data contained in all publications are solely those of the individual author(s) and contributor(s) and not of MDPI and/or the editor(s). MDPI and/or the editor(s) disclaim responsibility for any injury to people or property resulting from any ideas, methods, instructions or products referred to in the content. |
© 2025 by the authors. Licensee MDPI, Basel, Switzerland. This article is an open access article distributed under the terms and conditions of the Creative Commons Attribution (CC BY) license (https://creativecommons.org/licenses/by/4.0/).
Share and Cite
Xiao, M.; Ju, F.; He, Z.; Ning, P.; Wang, T.; Wang, D. Assessing the Effect of Damage and Steel Fiber Content on the Self-Sensing Ability of Coal Gangue-Cemented Composite by Electrochemical Impedance Spectroscopy (EIS). Materials 2025, 18, 2467. https://doi.org/10.3390/ma18112467
Xiao M, Ju F, He Z, Ning P, Wang T, Wang D. Assessing the Effect of Damage and Steel Fiber Content on the Self-Sensing Ability of Coal Gangue-Cemented Composite by Electrochemical Impedance Spectroscopy (EIS). Materials. 2025; 18(11):2467. https://doi.org/10.3390/ma18112467
Chicago/Turabian StyleXiao, Meng, Feng Ju, Zequan He, Pai Ning, Tengfei Wang, and Dong Wang. 2025. "Assessing the Effect of Damage and Steel Fiber Content on the Self-Sensing Ability of Coal Gangue-Cemented Composite by Electrochemical Impedance Spectroscopy (EIS)" Materials 18, no. 11: 2467. https://doi.org/10.3390/ma18112467
APA StyleXiao, M., Ju, F., He, Z., Ning, P., Wang, T., & Wang, D. (2025). Assessing the Effect of Damage and Steel Fiber Content on the Self-Sensing Ability of Coal Gangue-Cemented Composite by Electrochemical Impedance Spectroscopy (EIS). Materials, 18(11), 2467. https://doi.org/10.3390/ma18112467

