Using the Mooney Space to Characterize the Non-Affine Behavior of Elastomers
Abstract
1. Introduction
2. The Orientationally Non-Affine Chain Stretch
3. Non-Affine Model with Three Parameters
- Uniaxial test: (uniaxial stretch), and ;
- Equibiaxial test: (equibiaxial stretch), and ;
- Pure shear: (strip test stretch), and .
4. Mooney Space Representation
5. Prediction of Different Sets of Experiments in Elastomers
5.1. Prediction of the Treloar Tests [54]
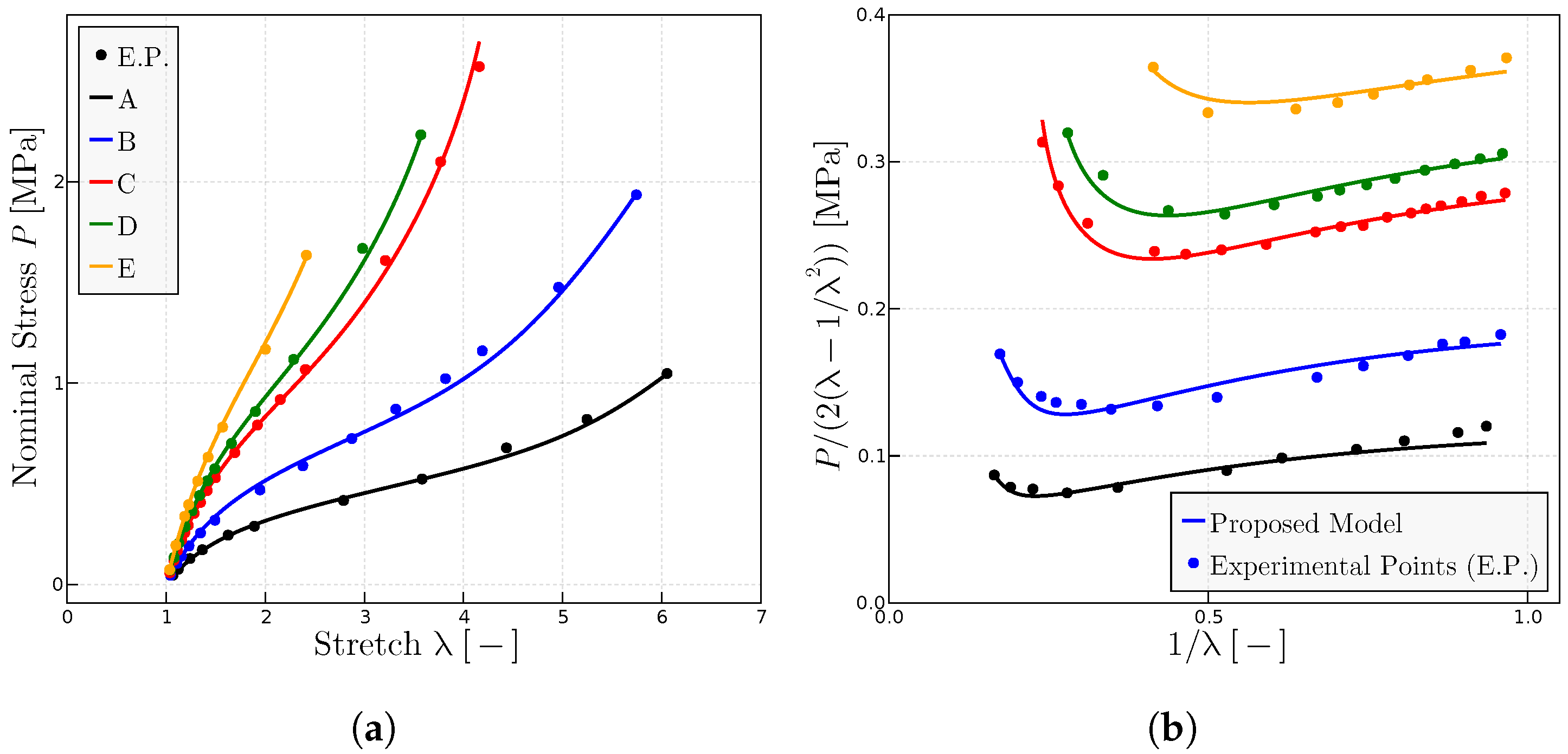
5.2. Grumbell et al. Experiments on Different Natural Rubber Vulcanizates [28]
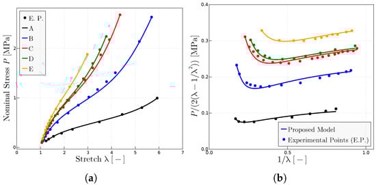
5.3. Mullins Experiments on Rubbers with Different Composition and Processing Conditions [27]
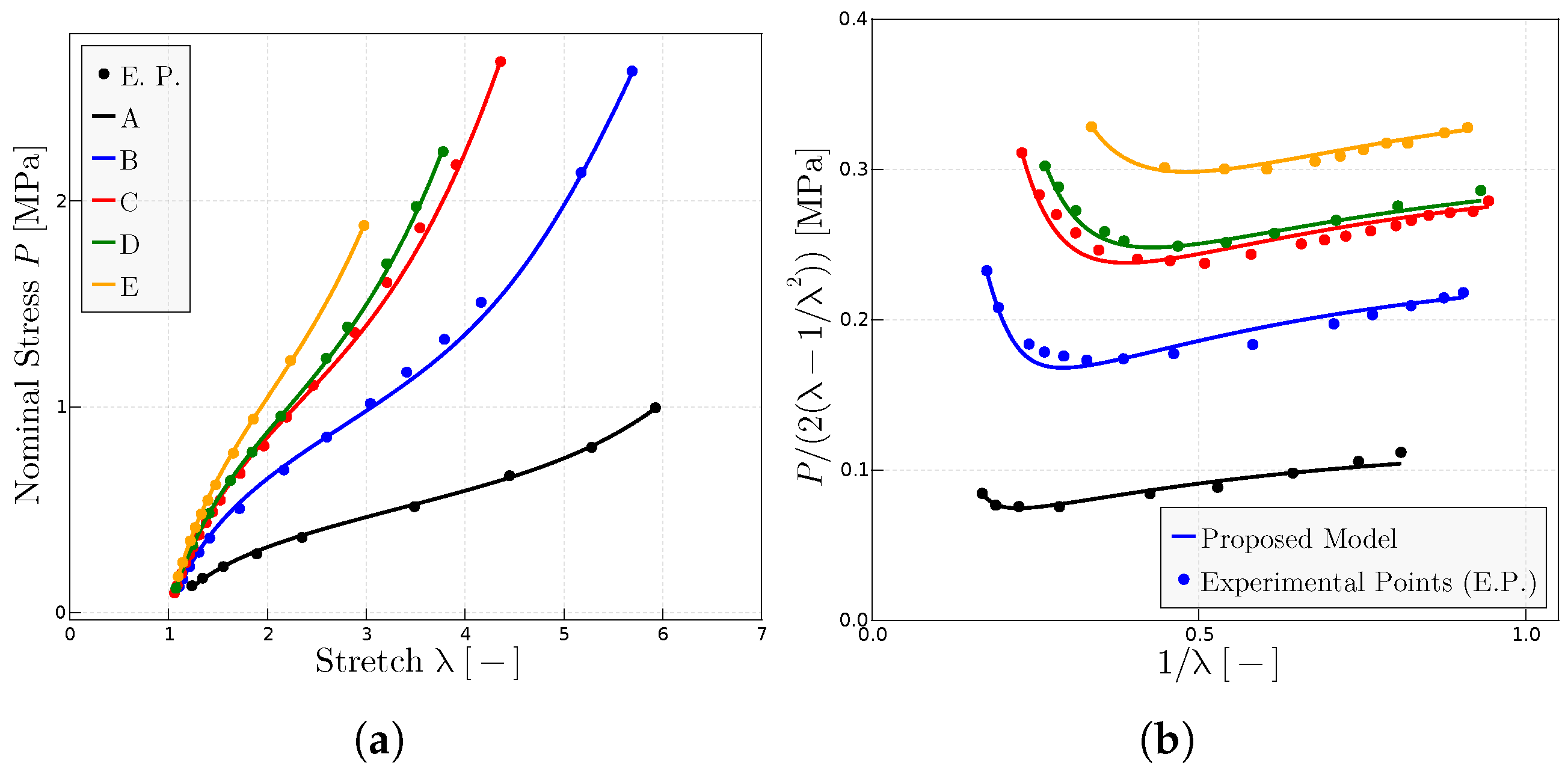
5.4. Morris’ Experiments on Rubbers with Different Concentration of Perioxide [26]
5.5. Predictions of the Kawabata et al. Experiments [55]
5.6. Predictions of the Kawamura et al. Experiments in Two Silicones [56]
6. Conclusions
- It is well known that the Neo-Hookean model from the classical statistical theory fails to properly represent the slope in the Mooney plots. This has been the origin of the use of the second invariant in the stored energy dependencies and the origin of the need for several additional tests to characterize such new dependence. Remarkably, Mooney plots are just a different way of plotting the tensile test data that emphasizes the small stretches range, which is important in the characterization of hyperelastic materials.
- The Neo-Hookean model is the simplest model using the chain stretch obtained from the Cauchy–Green deformation tensor, which is consistent with the affine orientation assumption of the chains used in most models. Using the same simplest Neo-Hookean chain behavior, but employing instead a chain stretch from the stretch tensor, the slope in the Mooney plots is reproduced from the same experimental data and full integration structure as in the Neo-Hookean model.
- It is well known that at small stretches, the internal energy in elastomers is relevant compared to the entropic contribution. Then, internal energy terms are also important in correctly capturing the Mooney plot slopes. The proposed model includes a term to account for that effect.
- As in the Neo-Hookean model, the proposed model may be analytically integrated in the Gaussian domain; the expression is given herein for the first time. Furthermore, it is demonstrated that the constants may be obtained directly from the Mooney plot (y-intercept and slope) or from the Mooney–Rivlin constants and .
- With the previous material parameters, obtained only from tensile test data, the model is capable of reproducing with good accuracy biaxial tests under different principal stretch ratios in the Gaussian zone. These tests represent any general loading case for isotropic incompressible hyperelastic materials. To the authors’ knowledge, the proposed model is the first analytical model capable of reproducing these general tests, including both transverse and longitudinal axes, using only two parameters obtained from a tensile test. The observed errors are smaller than those reported in model comparisons even when parameters in those works are obtained, fitting all tests simultaneously; cf. [14,22,57].
- The model accounts also for the non-Gaussian stretch domains, where locking effects are relevant. These effects produce a reorientation of the chains toward a more affine configuration. This reorientation is considered through a non-affine chain stretch. With this modification, the model captures also the different locking behaviors observed experimentally for different tests.
Author Contributions
Funding

Institutional Review Board Statement
Informed Consent Statement
Data Availability Statement
Conflicts of Interest
References
- Kuhn, W. Über die Gestalt fadenförmiger Moleküle in Lösungen. Kolloid-Z. 1934, 59, 208–216. [Google Scholar] [CrossRef]
- Kuhn, W. Beziehungen zwischen Molekülgrösse, statistischer Molekülgestalt und elastischen Eigenschaften hochpolymerer Stoffe. Kolloid-Z. 1936, 76, 258–271. [Google Scholar] [CrossRef]
- Kuhn, W.; Grün, F. Beziehungen zwischen elastischen Konstanten und Dehnungsdoppelbrechung hochelastischer Stoffe. Kolloid-Z. 1942, 101, 248–271. [Google Scholar] [CrossRef]
- Wall, F. Statistical Thermodynamics of Rubber (and part II). J. Chem. Phys. 1942, 10, 132–134. [Google Scholar] [CrossRef]
- Mooney, M. A theory of large elastic deformations. J. Appl. Phys. 1940, 11, 582. [Google Scholar] [CrossRef]
- Rivlin, R. Large elastic deformations of isotropic materials: IV. Further developments of the general theory. Philos. Trans. R. Soc. A 1948, 241, 379–397. [Google Scholar]
- Rivlin, R.; Saunders, D. Large elastic deformations of isotropic materials VII. Experiments on the deformation of rubber. Philos. Trans. R. Soc. A Math. Phys. Eng. Sci. 1951, 243, 251–288. [Google Scholar]
- Treloar, L. The Physics of Rubber Elasticity; Oxford University Press: Oxford, UK, 1975. [Google Scholar]
- Amores, V.J.; Nguyen, K.; Montáns, F.J. On the network orientational affinity assumption in polymers and the micro–macro connection through the chain stretch. J. Mech. Phys. Solids 2021, 148, 104279. [Google Scholar] [CrossRef]
- Marckmann, G.; Verron, E. Comparison of hyperelastic models for rubber-like materials. Rubber Chem. Technol. 2006, 79, 835–858. [Google Scholar] [CrossRef]
- Miehe, C.; Göktepe, S.; Lulei, F. A micro-macro approach to rubber-like materials—Part I: The non-affine micro-sphere model of rubber elasticity. J. Mech. Phys. Solids 2004, 52, 2617–2660. [Google Scholar] [CrossRef]
- Arruda, E.; Boyce, M. Constitutive models of rubber elasticity: A review. Rubber Chem. Technol. 2000, 73, 504–522. [Google Scholar]
- Rubinstein, M.; Panyukov, S. Nonaffine deformation and elasticity of polymer networks. Macromolecules 1997, 30, 8036–8044. [Google Scholar] [CrossRef]
- Kiêm, V.; Itskov, M. Analytical network-averaging of the tube model: Rubber elasticity. J. Mech. Phys. Solids 2016, 95, 254–269. [Google Scholar] [CrossRef]
- Flory, P. Statistical Mechanics of Chain Molecules; Interscience: New York, NY, USA, 1969. [Google Scholar]
- Flory, P. Statistical thermodynamics of random entworks. Proc. R. Soc. Lond. A Math. Phys. Eng. Sci. 1976, 351, 351–380. [Google Scholar]
- Steinmann, P.; Hossain, M.; Possart, G. Hyperelastic models for rubber-like materials: Consistent tangent operators and suitability for Treloar’s data. Arch. Appl. Mech. 2012, 82, 1183–1217. [Google Scholar] [CrossRef]
- Arruda, E.; Boyce, M. A three-dimensional constitutive model for the large stretch behavior of rubber elastic materials. J. Mech. Phys. Solids 1993, 41, 389–412. [Google Scholar] [CrossRef]
- Chagnon, G.; Rebouah, M.; Favier, D. Hyperelastic energy densities for soft biological tissues: A review. J. Elast. 2015, 120, 129–160. [Google Scholar] [CrossRef]
- Mihai, L.A.; Goriely, A. How to characterize a nonlinear elastic material. A review on nonlinear constitutive parameters in isotropic finite elasticity. Proc. R. Soc. A Math. Phys. Eng. Sci. 2017, 473, 20170607. [Google Scholar] [CrossRef]
- Dal, H.; Açan, A.K.; Durcan, C.; Hossain, M. An In Silico-Based Investigation on Anisotropic Hyperelastic Constitutive Models for Soft Biological Tissues. Arch. Comput. Methods Eng. 2023, 30, 4601–4632. [Google Scholar] [CrossRef]
- Hossain, M.; Steinmann, P. More hyperelastic models for rubber-like materials: Consistent tangent operators and comparative study. J. Mech. Behav. Mater. 2013, 22, 27–50. [Google Scholar] [CrossRef]
- Hossain, M.; Amin, A.; Kabir, M.N. Eight-chain and full-network models and their modified versions for rubber hyperelasticity: A comparative study. J. Mech. Behav. Mater. 2015, 24, 11–24. [Google Scholar] [CrossRef]
- Amores, V.; Benítez, J.; Montáns, F. Data-driven, structure-based hyperelastic manifolds: A macro-micro-macro approach to reverse-engineer the chain behavior and perform efficient simulations of polymers. Comput. Struct. 2020, 231, 106209. [Google Scholar] [CrossRef]
- Amores, V.J.; Moreno, L.; Benítez, J.M.; Montáns, F.J. A model for rubber-like materials with three parameters obtained from a tensile test. Eur. J. Mech.-A/Solids 2023, 100, 104931. [Google Scholar] [CrossRef]
- Morris, M. Network characterization from stress–strain behavior at large extensions. J. Appl. Polym. Sci. 1964, 8, 545–553. [Google Scholar] [CrossRef]
- Mullins, L. Determination of degree of crosslinking in natural rubber vulcanizates. Part IV. Stress-strain behavior at large extensions. J. Appl. Polym. Sci. 1959, 2, 257–263. [Google Scholar] [CrossRef]
- Gumbrell, S.; Mullins, L.; Rivlin, R. Departures of the elastic behaviour of rubbers in simple extension from the kinetic theory. Trans. Faraday Soc. 1953, 49, 1495–1505. [Google Scholar] [CrossRef]
- Destrade, M.; Saccomandi, G.; Sgura, I. Methodical fitting for mathematical models of rubber-like materials. Proc. R. Soc. A Math. Phys. Eng. Sci. 2017, 473, 20160811. [Google Scholar] [CrossRef]
- He, H.; Zhang, Q.; Zhang, Y.; Chen, J.; Zhang, L.; Li, F. A comparative study of 85 hyperelastic constitutive models for both unfilled rubber and highly filled rubber nanocomposite material. Nano Mater. Sci. 2022, 4, 64–82. [Google Scholar] [CrossRef]
- Delides, C.G.; Pethrick, R.A. High-extension properties of polyurethane elastomers—effects of variation of the ester isocyanate ratio. Polym. Eng. Sci. 2015, 55, 2433–2438. [Google Scholar] [CrossRef]
- Anthony, R.L.; Caston, R.H.; Guth, E. Equations of state for natural and synthetic rubber-like materials. I. Unaccelerated natural soft rubber. J. Phys. Chem. 1942, 46, 826–840. [Google Scholar] [CrossRef]
- Bergström, J. Mechanics of Solid Polymers; Elsevier: Amsterdam, The Netherlands, 2015. [Google Scholar]
- Thylander, S.; Menzel, A.; Ristinmaa, M. A non-affine electro-viscoelastic microsphere model for dielectric elastomers: Application to VHB 4910 based actuators. J. Intell. Mater. Syst. Struct. 2017, 28, 627–639. [Google Scholar] [CrossRef]
- Lion, A.; Diercks, N.; Caillard, J. On the directional approach in constitutive modelling: A general thermomechanical framework and exact solutions for Mooney–Rivlin type elasticity in each direction. Int. J. Solids Struct. 2013, 50, 2518–2526. [Google Scholar] [CrossRef]
- Novey, M.; Adali, T.; Roy, A. A complex generalized Gaussian distribution—Characterization, generation, and estimation. IEEE Trans. Signal Process. 2009, 58, 1427–1433. [Google Scholar] [CrossRef]
- Bazant, Z.; Oh, B. Efficient numerical integration on the surface of a sphere. ZAMM J. Appl. Math. Mech. Z. Angew. Math. Mech. 1986, 66, 37–49. [Google Scholar] [CrossRef]
- Benítez, J.M.; Montáns, F.J. A simple and efficient numerical procedure to compute the inverse Langevin function with high accuracy. J. Non-Newton. Fluid Mech. 2018, 261, 153–163. [Google Scholar] [CrossRef]
- Ammar, A. Effect of the inverse Langevin approximation on the solution of the Fokker–Planck equation of non-linear dilute polymer. J. Non-Newton. Fluid Mech. 2016, 231, 1–5. [Google Scholar] [CrossRef]
- Nguessong, A.N.; Beda, T.; Peyraut, F. A new based error approach to approximate the inverse Langevin function. Rheol. Acta 2014, 53, 585–591. [Google Scholar] [CrossRef]
- Itskov, M.; Dargazany, R.; Hörnes, K. Taylor expansion of the inverse function with application to the Langevin function. Math. Mech. Solids 2012, 17, 693–701. [Google Scholar] [CrossRef]
- Jedynak, R. New facts concerning the approximation of the inverse Langevin function. J. Non-Newton. Fluid Mech. 2017, 249, 8–25. [Google Scholar] [CrossRef]
- Marchi, B.C.; Arruda, E.M. An error-minimizing approach to inverse Langevin approximations. Rheol. Acta 2015, 54, 887–902. [Google Scholar] [CrossRef]
- Darabi, E.; Itskov, M. A simple and accurate approximation of the inverse Langevin function. Rheol. Acta 2015, 54, 455–459. [Google Scholar] [CrossRef]
- Petrosyan, R. Improved approximations for some polymer extension models. Rheol. Acta 2017, 56, 21–26. [Google Scholar] [CrossRef]
- Banfield, J.D.; Raftery, A.E. Model-based Gaussian and non-Gaussian clustering. Biometrics 1993, 803–821. [Google Scholar] [CrossRef]
- Bocchini, P.; Deodatis, G. Critical review and latest developments of a class of simulation algorithms for strongly non-Gaussian random fields. Probabilistic Eng. Mech. 2008, 23, 393–407. [Google Scholar] [CrossRef]
- Anssari-Benam, A.; Bucchi, A.; Saccomandi, G. On the central role of the invariant I2 in nonlinear elasticity. Int. J. Eng. Sci. 2021, 163, 103486. [Google Scholar] [CrossRef]
- Anssari-Benam, A.; Bucchi, A.; Destrade, M.; Saccomandi, G. The generalised mooney space for modelling the response of rubber-like materials. J. Elast. 2022, 151, 127–141. [Google Scholar] [CrossRef]
- Beda, T. Modeling hyperelastic behavior of rubber: A novel invariant-based and a review of constitutive models. J. Polym. Sci. Part B Polym. Phys. 2007, 45, 1713–1732. [Google Scholar] [CrossRef]
- Khajehsaeid, H.; Arghavani, J.; Naghdabadi, R. A hyperelastic constitutive model for rubber-like materials. Eur. J. Mech.-A/Solids 2013, 38, 144–151. [Google Scholar] [CrossRef]
- Anssari-Benam, A.; Bucchi, A. A generalised neo-Hookean strain energy function for application to the finite deformation of elastomers. Int. J. Non-Linear Mech. 2021, 128, 103626. [Google Scholar] [CrossRef]
- Fukahori, Y.; Seki, W. Molecular behaviour of elastomeric materials under large deformation: 1. Re-evaluation of the Mooney-Rivlin plot. Polymer 1992, 33, 502–508. [Google Scholar] [CrossRef]
- Treloar, L. Stress-strain data for vulcanized rubber under various types of deformation. Rubber Chem. Technol. 1944, 17, 813–825. [Google Scholar] [CrossRef]
- Kawabata, S.; Matsuda, M.; Tei, K.; Kawai, H. Experimental survey of the strain energy density of isoprene rubber. Macromolecules 1981, 14, 154–162. [Google Scholar] [CrossRef]
- Kawamura, T.; Urayama, K.; Kohjiya, S. Multiaxial deformations of end-linked poly(dimethylsiloxane) networks. 1. phenomenological approach tro strain energy density function. Macromolecules 2001, 34, 8252–8260. [Google Scholar] [CrossRef]
- Verron, E.; Gros, A. An equal force theory for network models of soft materials with arbitrary molecular weight distribution. J. Mech. Phys. Solids 2017, 106, 176–190. [Google Scholar] [CrossRef]















| Rubber | A | B | C | D | E | F | G |
|---|---|---|---|---|---|---|---|
| P0 MPa | 1.925 | 1.925 | 1.925 | 1.925 | 1.925 | 1.925 | 1.925 |
| MPa | 0.115 | 0.069 | 0.185 | 0.263 | 0.275 | 0.485 | 0.6125 |
| 7.5 | 7.5 | 7.5 | 7.5 | 7.5 | 7.5 | 7.5 |
| Rubber | A | B | C | D | E | F | G |
|---|---|---|---|---|---|---|---|
| P0 MPa | 1.925 | 1.71 | 2.28 | 2.65 | 2.735 | 3.735 | 4.315 |
| MPa | 0.115 | 0.115 | 0.115 | 0.115 | 0.115 | 0.115 | 0.115 |
| 7.5 | 7.5 | 7.5 | 7.5 | 7.5 | 7.5 | 7.5 |
| Rubber | A | B | C | D | E |
|---|---|---|---|---|---|
| P0 MPa | 0.8 | 1.25 | 2.00 | 2.25 | 2.5 |
| MPa | 0.12 | 0.2 | 0.27 | 0.28 | 0.325 |
| 9.7 | 8.25 | 5.6 | 5.25 | 4.3 |
| Rubber | A | B | C | D | E |
|---|---|---|---|---|---|
| P0 MPa | 0.7 | 1.3 | 1.5 | 1.6 | 2.2 |
| MPa | 0.14 | 0.3 | 0.4 | 0.38 | 0.35 |
| 10.25 | 8.25 | 6.575 | 5.95 | 5.05 |
| Rubber | A | B | C | D |
|---|---|---|---|---|
| P0 MPa | 1.25 | 1.45 | 1.5 | 1.5 |
| MPa | 0.375 | 0.39 | 0.4 | 0.415 |
| 7.0 | 6.4 | 6.1 | 6.65 |
Disclaimer/Publisher’s Note: The statements, opinions and data contained in all publications are solely those of the individual author(s) and contributor(s) and not of MDPI and/or the editor(s). MDPI and/or the editor(s) disclaim responsibility for any injury to people or property resulting from any ideas, methods, instructions or products referred to in the content. |
© 2024 by the authors. Licensee MDPI, Basel, Switzerland. This article is an open access article distributed under the terms and conditions of the Creative Commons Attribution (CC BY) license (https://creativecommons.org/licenses/by/4.0/).
Share and Cite
Moreno-Corrales, L.; Sanz-Gómez, M.Á.; Benítez, J.M.; Saucedo-Mora, L.; Montáns, F.J. Using the Mooney Space to Characterize the Non-Affine Behavior of Elastomers. Materials 2024, 17, 1098. https://doi.org/10.3390/ma17051098
Moreno-Corrales L, Sanz-Gómez MÁ, Benítez JM, Saucedo-Mora L, Montáns FJ. Using the Mooney Space to Characterize the Non-Affine Behavior of Elastomers. Materials. 2024; 17(5):1098. https://doi.org/10.3390/ma17051098
Chicago/Turabian StyleMoreno-Corrales, Laura, Miguel Ángel Sanz-Gómez, José María Benítez, Luis Saucedo-Mora, and Francisco J. Montáns. 2024. "Using the Mooney Space to Characterize the Non-Affine Behavior of Elastomers" Materials 17, no. 5: 1098. https://doi.org/10.3390/ma17051098
APA StyleMoreno-Corrales, L., Sanz-Gómez, M. Á., Benítez, J. M., Saucedo-Mora, L., & Montáns, F. J. (2024). Using the Mooney Space to Characterize the Non-Affine Behavior of Elastomers. Materials, 17(5), 1098. https://doi.org/10.3390/ma17051098

