Micro/Nanomechanical Characterization of ScAlMgO4 Single Crystal by Instrumented Indentation and Scratch Methods
Abstract
1. Introduction
2. Materials and Experimental Methods
2.1. SCAM Wafer
2.2. Microscratch of SCAM
2.3. Nanoindentation of SCAM
3. Results and Discussion
3.1. Analysis of Nanoindentation of SCAM by a Berkovich Indenter
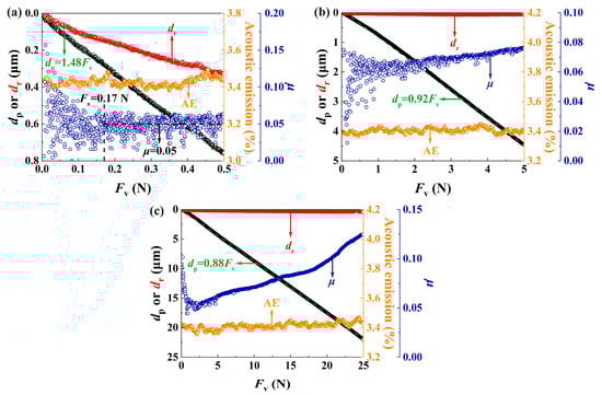
3.2. Analysis of Microscratch of SCAM by Different Indenters
3.3. Characterization of Fracture Toughness by Microscratch Method
3.4. Characterization of Fracture Toughness by Indenter-Induced Cracking
4. Conclusions
Author Contributions
Funding
Institutional Review Board Statement
Informed Consent Statement
Data Availability Statement
Conflicts of Interest
References
- Shin, J.; Noh, S.; Lee, J.; Kim, J.S.; Choi, I.; Ahn, H.-K. Structural and electrical characteristics of ultra-thin Si-doped GaN film regrown on patterned GaN/sapphire. J. Korean Phys. Soc. 2023, 82, 963–969. [Google Scholar] [CrossRef]
- Yang, Q.; Li, Z.; Peng, D.; Li, C.; Zhang, D.; Xu, X. Growth of high quality GaN on (0001) 4H-SiC with an ultrathin AlN nucleation layer. J. Cryst. Growth 2023, 607, 127107. [Google Scholar] [CrossRef]
- Meneghini, M.; De Santi, C.; Abid, I.; Buffolo, M.; Cioni, M.; Khadar, R.A.; Nela, L.; Zagni, N.; Chini, A.; Medjdoub, F. GaN-based power devices: Physics, reliability, and perspectives. J. Appl. Phys. 2021, 130, 181101. [Google Scholar] [CrossRef]
- Chaoyi, Z.; Huili, T.; Xianke, L.; Qingguo, W.; Ping, L.; Feng, W.; Chenbo, Z.; Yanyan, X.; Jun, X.; Jianfeng, H.; et al. Research Progress of ScAlMgO4 Crystal: A Novel GaN and ZnO Substrate. J. Inorg. Mater. 2023, 38, 228–242. [Google Scholar]
- Ohnishi, K.; Kuboya, S.; Tanikawa, T.; Iwabuchi, T.; Yamamura, K.; Hasuike, N.; Harima, H.; Fukuda, T.; Matsuoka, T. Reuse of ScAlMgO4 substrates utilized for halide vapor phase epitaxy of GaN. Jpn. J. Appl. Phys. 2019, 58, SC1023. [Google Scholar] [CrossRef]
- Wang, W.; Yao, P.; Wang, J.; Huang, C.; Kuriyagawa, T.; Zhu, H.; Zou, B.; Liu, H. Elastic stress field model and micro-crack evolution for isotropic brittle materials during single grit scratching. Ceram. Int. 2017, 43, 10726–10736. [Google Scholar] [CrossRef]
- Huang, W.; Yan, J. Deformation behaviour of soft-brittle polycrystalline materials determined by nanoscratching with a sharp indenter. Precis. Eng. 2021, 72, 717–729. [Google Scholar] [CrossRef]
- Santos, M.D.; Fukumasu, N.K.; Tschiptschin, A.P.; Lima, N.B.d.; Figueroa, C.A.; Weber, J.S.; Souza, R.M.d.; Machado, I.F. Effect of Ti/Si and Ti/TiN/Si interlayers on the structure, properties, and tribological behavior of an a-C film deposited onto a C17200 copper-beryllium alloy. Surf. Coat. Technol. 2022, 441, 128561. [Google Scholar] [CrossRef]
- Liu, M.; Hou, D.; Zheng, K.; Gao, C. Characterization of friction and wear of phenolic resin matrix composites reinforced by bamboo fibers of alkaline and LaCl3 treatment. Mater. Today Commun. 2023, 35, 106361. [Google Scholar] [CrossRef]
- Davis, C.S.; Rencheck, M.L.; Woodcock, J.W.; Beams, R.; Wang, M.; Stranick, S.; Forster, A.M.; Gilman, J.W. Activation of mechanophores in a thermoset matrix by instrumented scratch. ACS Appl. Mater. Interfaces 2021, 13, 55498–55506. [Google Scholar] [CrossRef]
- Duan, W.; Yang, Z.; Cai, D.; Zhang, J.; Niu, B.; Jia, D.; Zhou, Y. Effect of sintering temperature on microstructure and mechanical properties of boron nitride whisker reinforced fused silica composites. Ceram. Int. 2020, 46, 5132–5140. [Google Scholar] [CrossRef]
- Liu, H.; Zhang, J.; Zhao, M.; Lu, C. Determination of the fracture toughness of glasses via scratch tests with a vickers indenter. Acta Mech. Solida Sin. 2022, 35, 129–138. [Google Scholar] [CrossRef]
- Fu, H.; Cai, L.; Chai, Z.; Liu, X.; Zhang, L.; Geng, S.; Zhang, K.; Liao, H.; Wu, X.; Wang, X. Evaluation of bonding properties by flat indentation method for an EBW joint of RAFM steel for fusion application. Nucl. Mater. Energy 2020, 25, 100861. [Google Scholar] [CrossRef]
- Raturi, A.; Biswas, K.; Gurao, N. Elastic and plastic anisotropy in a refractory high entropy alloy utilizing combinatorial instrumented indentation and electron backscatter diffraction. J. Alloys Compd. 2022, 896, 162902. [Google Scholar] [CrossRef]
- Peng, G.; Liu, Y.; Xu, F.; Jiang, H.; Jiang, W.; Zhang, T. On determination of elastic modulus and indentation hardness by instrumented spherical indentation: Influence of surface roughness and correction method. Mater. Res. Express 2023, 10, 086503. [Google Scholar] [CrossRef]
- Yu, F.; Fang, J.; Omacht, D.; Sun, M.; Li, Y. A new instrumented spherical indentation test methodology to determine fracture toughness of high strength steels. Theor. Appl. Fract. Mech. 2023, 124, 103744. [Google Scholar] [CrossRef]
- Ge, M.; Zhu, H.; Ge, P.; Zhang, C. Investigation on residual scratch depth and material removal rate of scratching machining single crystal silicon with Berkovich indenter. Mater. Sci. Semicond. Process. 2019, 100, 98–105. [Google Scholar] [CrossRef]
- Hou, D.; Liu, M.; Liu, S.; Yang, F. Indentation fracture of 4H-SiC single crystal. Int. J. Mech. Sci. 2024, 270, 109096. [Google Scholar] [CrossRef]
- Feng, P.-F.; Zhang, C.-L.; Wu, Z.-J.; Zhang, J.-F. Effect of scratch velocity on deformation features of C-plane Sapphire during nanoscratching. Stroj. Vestn. J. Mech. Eng. 2013, 59, 367–374. [Google Scholar] [CrossRef]
- Liu, M.; Chen, S. Micromechanical characterization of zirconia and silicon nitride ceramics using indentation and scratch methods. Ceram. Int. 2024, 50, 19982–20010. [Google Scholar] [CrossRef]
- Ness, E.; Zibbell, R. Abrasion and erosion of hard materials related to wear in the abrasive waterjet. Wear 1996, 196, 120–125. [Google Scholar] [CrossRef]
- Hai, K.; Li, L.; Hu, H.; Zhang, Z.; Bai, Y.; Luo, X.; Yi, L.; Yang, X.; Xue, D.; Zhang, X. Distribution model of the surface roughness in magnetorheological jet polishing. Appl. Opt. 2020, 59, 8740–8750. [Google Scholar] [CrossRef]
- Grajczyk, R.; Subramanian, M. Structure-property relationships of YbFe2O4- and Yb2Fe3O7-type layered oxides: A bird’s eye view. Prog. Solid State Chem. 2015, 43, 37–46. [Google Scholar] [CrossRef]
- Kimizuka, N.; Mohri, T.; Nakamura, M. Compounds which have InFeO3(ZnO)m-type structures (m = integer). J. Solid State Chem. 1989, 81, 70–77. [Google Scholar] [CrossRef]
- Katase, T.; Nomura, K.; Ohta, H.; Yanagi, H.; Kamiya, T.; Hirano, M.; Hosono, H. Large domain growth of GaN epitaxial films on lattice-matched buffer layer ScAlMgO4. Mater. Sci. Eng. B 2009, 161, 66–70. [Google Scholar] [CrossRef]
- Hanada, T.; Tajiri, H.; Sakata, O.; Fukuda, T.; Matsuoka, T. Characterization of the ScAlMgO4 cleaving layer by X-ray crystal truncation rod scattering. J. Appl. Phys. 2018, 123, 205305. [Google Scholar] [CrossRef]
- Haseman, M.S.; Noesges, B.A.; Shields, S.; Cetnar, J.S.; Reed, A.N.; Al-Atabi, H.A.; Edgar, J.H.; Brillson, L.J. Cathodoluminescence and x-ray photoelectron spectroscopy of ScN: Dopant, defects, and band structure. APL Mater. 2020, 8, 081103. [Google Scholar] [CrossRef]
- Seyama, H.; Soma, M. X-ray photoelectron spectroscopic study of montmorillonite containing exchangeable divalent cations. J. Chem. Soc. Faraday Trans. 1 Phys. Chem. Condens. Phases 1984, 80, 237–248. [Google Scholar] [CrossRef]
- Bou, M.; Martin, J.; Le Mogne, T.; Vovelle, L. Chemistry of the interface between aluminium and polyethyleneterephthalate by XPS. Appl. Surf. Sci. 1991, 47, 149–161. [Google Scholar] [CrossRef]
- Grosso, D.; Sermon, P. Scandia optical coatings for application at 351 nm. Thin Solid Film. 2000, 368, 116–124. [Google Scholar] [CrossRef]
- Liu, M.; Xu, Z. Scratch responses of ductile materials by instrumented scratch with a spherical indenter under progressive load. Sci. Sin. Phys. Mech. Astron. 2023, 53, 244612. [Google Scholar] [CrossRef]
- Liu, M.; Wang, W. Effects of sliding velocity on microscratch responses of thermoplastics by Berkovich indenter. Polym. Bull. 2023, 80, 7901–7926. [Google Scholar] [CrossRef]
- Liu, M.; Xu, Z.; Zhang, G. Effects of Dopants on Scratch Responses of Diamond-Like Carbon Films by Rockwell C Diamond Indenter. J. Mater. Eng. Perform. 2023, 32, 6092–6106. [Google Scholar] [CrossRef]
- Gao, C.; Liu, M. Effect of sample tilt on measurement of friction coefficient by constant-load scratch testing of copper with a spherical indenter. J. Test. Eval. 2020, 48, 970–989. [Google Scholar] [CrossRef]
- Liu, M.; Xie, P. Rate and Load Effects on Scratch Behavior of Thermoplastics by Berkovich Indenter. J. Mater. Eng. Perform. 2023, 32, 9323–9343. [Google Scholar] [CrossRef]
- Liu, M.; Xu, Z. Micromechanical characterization of microwave dielectric ceramic BaO-Sm2O3-5TiO2 by indentation and scratch methods. J. Adv. Ceram. 2023, 12, 1136–1165. [Google Scholar]
- Gao, C.; Liu, M. Effects of normal load on the coefficient of friction by microscratch test of copper with a spherical indenter. Tribol. Lett. 2019, 67, 1–12. [Google Scholar] [CrossRef]
- Liu, K.; Ostadhassan, M.; Bubach, B. Applications of nano-indentation methods to estimate nanoscale mechanical properties of shale reservoir rocks. J. Nat. Gas Sci. Eng. 2016, 35, 1310–1319. [Google Scholar] [CrossRef]
- Gao, C.; Liu, M. Power law creep of polycarbonate by Berkovich nanoindentation. Mater. Res. Express 2017, 4, 105302. [Google Scholar] [CrossRef]
- Gao, C.; Yao, L.; Liu, M. Berkovich nanoindentation of borosilicate K9 glass. Opt. Eng. 2018, 57, 034104. [Google Scholar] [CrossRef]
- Gao, C.; Liu, M. Instrumented indentation of fused silica by Berkovich indenter. J. Non-Cryst. Solids 2017, 475, 151–160. [Google Scholar] [CrossRef]
- Chicot, D.; Montagne, A.; Mejias, A.; Roudet, F.; Coorevits, T. Improvement in Calibration Procedure in Nanoindentation: An Indenter Bluntness Indicator. Exp. Mech. 2024, 64, 1–19. [Google Scholar] [CrossRef]
- Gao, C.; Liu, M. Characterization of spherical indenter with fused silica under small deformation by Hertzian relation and Oliver and Pharr’s method. Vacuum 2018, 153, 82–90. [Google Scholar] [CrossRef]
- Gong, J.; Deng, B.; Jiang, D. A universal function for the description of nanoindentation unloading data: Case study on soda-lime glass. J. Non-Cryst. Solids 2020, 544, 120067. [Google Scholar] [CrossRef]
- Gerk, A. The effect of work-hardening upon the hardness of solids: Minimum hardness. J. Mater. Sci. 1977, 12, 735–738. [Google Scholar] [CrossRef]
- Bandyopadhyay, P.; Dey, A.; Mukhopadhyay, A.K. Novel combined scratch and nanoindentation experiments on soda-lime-silica glass. Int. J. Appl. Glass Sci. 2012, 3, 163–179. [Google Scholar] [CrossRef]
- Liu, M.; Hou, D.; Wang, Y.; Lakshminarayana, G. Micromechanical properties of Dy3+ ion-doped (LuxY1-x) 3Al5O12 (x= 0, 1/3, 1/2) single crystals by indentation and scratch tests. Ceram. Int. 2023, 49, 4482–4504. [Google Scholar] [CrossRef]
- Lafaye, S.; Troyon, M. On the friction behaviour in nanoscratch testing. Wear 2006, 261, 905–913. [Google Scholar] [CrossRef]
- Choudhary, A.; Paul, S. Surface generation in high-speed grinding of brittle and tough ceramics. Ceram. Int. 2021, 47, 30546–30562. [Google Scholar] [CrossRef]
- Ran, Y.; Kang, R.; Dong, Z.; Jin, Z.; Bao, Y. Ultrasonic assisted grinding force model considering anisotropy of SiCf/SiC composites. Int. J. Mech. Sci. 2023, 250, 108311. [Google Scholar] [CrossRef]
- Liu, M.; Zheng, Q.; Gao, C. Sliding of a diamond sphere on fused silica under ramping load. Mater. Today Commun. 2020, 25, 101684. [Google Scholar] [CrossRef]
- Zhang, D.; Sun, Y.; Gao, C.; Liu, M. Measurement of fracture toughness of copper via constant-load microscratch with a spherical indenter. Wear 2020, 444, 203158. [Google Scholar] [CrossRef]
- Liu, M. Characterization of bulk metallic glasses by microscratch test under Rockwell C diamond indenter and progressive normal load. Eng. Fract. Mech. 2023, 281, 109126. [Google Scholar] [CrossRef]
- Ouchterlony, F. Stress intensity factors for the expansion loaded star crack. Eng. Fract. Mech. 1976, 8, 447–448. [Google Scholar] [CrossRef]
- Niihara, K. A fracture mechanics analysis of indentation-induced Palmqvist crack in ceramics. J. Mater. Sci. Lett. 1983, 2, 221–223. [Google Scholar] [CrossRef]
- Lawn, B.R.; Evans, A.G.; Marshall, D. Elastic/plastic indentation damage in ceramics: The median/radial crack system. J. Am. Ceram. Soc. 1980, 63, 574–581. [Google Scholar] [CrossRef]
- Laugier, M. New formula for indentation toughness in ceramics. J. Mater. Sci. Lett. 1987, 6, 355–356. [Google Scholar] [CrossRef]
- Shetty, D.; Wright, I.; Mincer, P.; Clauer, A. Indentation fracture of WC-Co cermets. J. Mater. Sci. 1985, 20, 1873–1882. [Google Scholar] [CrossRef]
- Lawn, B.R.; Swain, M. Microfracture beneath point indentations in brittle solids. J. Mater. Sci. 1975, 10, 113–122. [Google Scholar] [CrossRef]
- Tanaka, K. Elastic/plastic indentation hardness and indentation fracture toughness: The inclusion core model. J. Mater. Sci. 1987, 22, 1501–1508. [Google Scholar] [CrossRef]
- Lawn, B.R.; Fuller, E.R. Equilibrium penny-like cracks in indentation fracture. J. Mater. Sci. 1975, 10, 2016–2024. [Google Scholar] [CrossRef]
- EVans, A.G.; Charles, E.A. Fracture toughness determinations by indentation. J. Am. Ceram. Soc. 1976, 59, 371–372. [Google Scholar] [CrossRef]
- Niihara, K.; Morena, R.; Hasselman, D. Evaluation of KIc of brittle solids by the indentation method with low crack-to-indent ratios. J. Mater. Sci. Lett. 1982, 1, 13–16. [Google Scholar] [CrossRef]
- Anstis, G.; Chantikul, P.; Lawn, B.R.; Marshall, D. A critical evaluation of indentation techniques for measuring fracture toughness: I, direct crack measurements. J. Am. Ceram. Soc. 1981, 64, 533–538. [Google Scholar] [CrossRef]
- Evans, A. Fracture Toughness: The Role of Indentation Techniques. In Fracture Mechanics Applied to Brittle Materials; Freiman, S., Ed.; ASTM International: West Conshohocken, PA, USA, 1979; pp. 112–135. [Google Scholar]
- Lankford, J. Indentation microfracture in the Palmqvist crack regime: Implications for fracture toughness evaluation by the indentation method. J. Mater. Sci. Lett. 1982, 1, 493–495. [Google Scholar] [CrossRef]
- Blendell, J.E. The Origins of Internal Stresses in Polycrystalline AL2O3 and Their Effects on Mechanical Properties. Ph.D. Thesis, Massachusetts Institute of Technology, Cambridge, MA, USA, 1979. [Google Scholar]
- Chicot, D.; Pertuz, A.; Roudet, F.; Staia, M.; Lesage, J. New developments for fracture toughness determination by Vickers indentation. Mater. Sci. Technol. 2004, 20, 877–884. [Google Scholar] [CrossRef]
- Schultz, R.A.; Jensen, M.C.; Bradt, R.C. Single crystal cleavage of brittle materials. Int. J. Fract. 1994, 65, 291–312. [Google Scholar] [CrossRef]
















| Equation | Expression | Crack Type |
|---|---|---|
| P-1 | Kc = 0.0117(l/a)−0.5[HV/(ΦE)]−0.4HVa0.5 [55] | Palmqvist |
| P-2 | Kc = 0.036 × 101.8E0.4F0.6(2a)−0.7(l/a)−1.5 [56] | Palmqvist |
| P-3 | Kc = 0.015(a/l)0.5(E/HV)2/3(F/c1.5) [57] | Palmqvist |
| P-4 | Kc = β × 101.5(HVF/4l)0.5 [58] | Palmqvist |
| M-1 | Kc = (1 − 2ν)[(2HV/π)(F/c)]0.5/(2√2π2) [59] | Median |
| M-2 | Kc = 72.5(F/c1.5) [60] | Median |
| M-3 | Kc = 72.6(F/c1.5) [61] | Median |
| M-4 | Kc = 75.2(F/c1.5) [62] | Median |
| M-5 | Kc = 0.043(c/a)−1.5[HV/(ΦE)]−0.4HVa0.5 [63] | Median |
| M-6 | Kc = 16[E/HV]0.5(F/c1.5) [64] | Median |
| C-1 | Kc = 10y[HV/(ΦE)]−0.4HVa0.5 [65] | Both |
| C-2 | Kc = 0.0473(c/a)−1.56[HV/(ΦE)]−0.4HVa0.5 [66] | Both |
| C-3 | Kc = 0.0183lg(8.4a/c)[HV/(ΦE)]−0.4HVa0.5 [67] | Both |
| Equation | P-1 | P-2 | P-3 | P-4 | M-1 | M-2 | M-3 | M-4 | M-5 | M-6 | C-1 | C-2 | C-3 |
|---|---|---|---|---|---|---|---|---|---|---|---|---|---|
| Kc | 1.18 | 0.48 | 0.13 | 0.43 | 0.42 | 0.46 | 0.46 | 0.48 | 0.91 | 0.37 | 3.54 | 1.03 | 3.75 |
Disclaimer/Publisher’s Note: The statements, opinions and data contained in all publications are solely those of the individual author(s) and contributor(s) and not of MDPI and/or the editor(s). MDPI and/or the editor(s) disclaim responsibility for any injury to people or property resulting from any ideas, methods, instructions or products referred to in the content. |
© 2024 by the authors. Licensee MDPI, Basel, Switzerland. This article is an open access article distributed under the terms and conditions of the Creative Commons Attribution (CC BY) license (https://creativecommons.org/licenses/by/4.0/).
Share and Cite
Ni, Z.; Yu, J.; Chen, G.; Ji, M.; Qian, S.; Bian, D.; Liu, M. Micro/Nanomechanical Characterization of ScAlMgO4 Single Crystal by Instrumented Indentation and Scratch Methods. Materials 2024, 17, 3811. https://doi.org/10.3390/ma17153811
Ni Z, Yu J, Chen G, Ji M, Qian S, Bian D, Liu M. Micro/Nanomechanical Characterization of ScAlMgO4 Single Crystal by Instrumented Indentation and Scratch Methods. Materials. 2024; 17(15):3811. https://doi.org/10.3390/ma17153811
Chicago/Turabian StyleNi, Zifeng, Jie Yu, Guomei Chen, Mingjie Ji, Shanhua Qian, Da Bian, and Ming Liu. 2024. "Micro/Nanomechanical Characterization of ScAlMgO4 Single Crystal by Instrumented Indentation and Scratch Methods" Materials 17, no. 15: 3811. https://doi.org/10.3390/ma17153811
APA StyleNi, Z., Yu, J., Chen, G., Ji, M., Qian, S., Bian, D., & Liu, M. (2024). Micro/Nanomechanical Characterization of ScAlMgO4 Single Crystal by Instrumented Indentation and Scratch Methods. Materials, 17(15), 3811. https://doi.org/10.3390/ma17153811

