A Lightweight AlCrTiV0.5Cux High-Entropy Alloy with Excellent Corrosion Resistance
Abstract
1. Introduction
2. Experimental Materials and Methods
2.1. Material Preparation
2.2. Microstructural Characterization
2.3. Electrochemical Corrosion Measurements
3. Results and Discussion
3.1. Microstructure Characterization
3.2. Electrochemical Corrosion Behavior in NaCl solution
3.3. Corrosion Morphology Analysis
4. Conclusions
- (1)
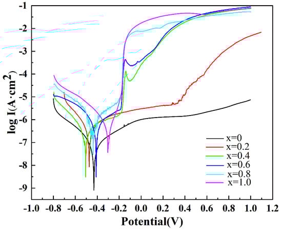
- In a solution of 0.6 M NaCl, the electrochemical behavior of AlCrTiV0.5Cux lightweight HEAs changes depending on the proportion of Cu. While AlCrTiV0.5 has the best corrosion resistance and the lowest self-corrosion current density at 0.131 μA/cm2, AlCrTiV0.5Cu has the greatest self-corrosion current density at 2.778 μA/cm2 and the poorest corrosion resistance. AlCrTiV0.5 has the lowest self-corrosion current density and the best corrosion resistance.
- (2)
- When Cu is added to the HEAs, it is polarised between the dendrites, forming a Cu-rich phase. A higher Cu content leads to more pronounced polarization. The segregation of Cu lead to a large potential difference between the Cu-rich and Cu-poor phases that formed between and within the dendrites, making the area between the dendrites more susceptible to galvanic coupling corrosion.
Author Contributions
Funding
Institutional Review Board Statement
Informed Consent Statement
Data Availability Statement
Conflicts of Interest
References
- Yeh, J.W.; Chen, S.K.; Lin, S.J.; Gan, J.Y.; Chin, T.S.; Shun, T.T.; Tsau, C.H.; Chang, S.Y. Nanostructured High-Entropy Alloys with Multiple Principal Elements: Novel Alloy Design Concepts and Outcomes. Adv. Eng. Mater. 2004, 6, 299–303. [Google Scholar] [CrossRef]
- Cantor, B.; Chang, I.T.H.; Knight, P.; Vincent, A.J.B. Microstructural development in equiatomic multicomponent alloys. Mater. Sci. Eng. A 2004, 375–377, 213–218. [Google Scholar] [CrossRef]
- Miracle, D.B.; Senkov, O.N. A critical review of high entropy alloys and related concepts. Acta Mater. 2017, 122, 448–511. [Google Scholar] [CrossRef]
- Otto, F.; Dlouhý, A.; Somsen, C.; Bei, H.; Eggeler, G.; George, E.P. The influences of temperature and microstructure on the tensile properties of a CoCrFeMnNi high-entropy alloy. Acta Mater. 2013, 61, 5743–5755. [Google Scholar] [CrossRef]
- Niu, S.Z.; Kou, H.C.; Wang, J.; Li, J.S. Improved tensile properties of Al0.5CoCrFeNi high-entropy alloy by tailoring microstructures. Rare Met. 2021, 40, 1–6. [Google Scholar] [CrossRef]
- Lei, Z.F.; Liu, X.J.; Wu, Y.; Wang, H.; Jiang, S.; Wang, S.D.; Hui, X.D.; Wu, Y.D.; Gault, B.; Kontis, P.; et al. Enhanced strength and ductility in a high-entropy alloy via ordered oxygen complexes. Nature 2018, 563, 546–550. [Google Scholar] [CrossRef] [PubMed]
- Lu, Z.P.; Wang, H.; Chen, M.W.; Baker, I.; Yeh, J.W.; Liu, C.T.; Nieh, T.G. An assessment on the future development of high-entropy alloys: Summary from a recent workshop. Intermetallics 2015, 66, 67–76. [Google Scholar] [CrossRef]
- Bhalla, S.; Melnekoff, D.T.; Aleman, A.; Leshchenko, V.; Restrepo, P.; Keats, J.; Onel, K.; Sawyer, J.R.; Madduri, D.; Richter, J.; et al. Patient similarity network of newly diagnosed multiple myeloma identifies patient subgroups with distinct genetic features and clinical implications. Sci. Adv. 2021, 7, eabg9551. [Google Scholar] [CrossRef] [PubMed]
- Luan, H.W.; Zhang, X.; Ding, H.Y.; Zhang, F.; Luan, J.H.; Jiao, Z.B.; Yang, Y.C.; Bu, H.T.; Wang, R.; Gu, J.L.; et al. High-entropy induced a glass-to-glass transition in a metallic glass. Nat. Commun. 2022, 13, 2183. [Google Scholar] [CrossRef] [PubMed]
- Peng, Z.; Sun, J.; Luan, H.W.; Chen, N.; Yao, K.F. Effect of Mo on the high temperature oxidation behavior of Al19Fe20-xCo20-xNi41Mo2x high entropy alloys. Intermetallics 2023, 155, 107845. [Google Scholar] [CrossRef]
- Zhang, Y.; Zuo, T.T.; Tang, Z.; Gao, M.C.; Dahmen, K.A.; Liaw, P.K.; Lu, Z.P. Microstructures and properties of high-entropy alloys. Prog. Mater. Sci. 2014, 61, 1–93. [Google Scholar] [CrossRef]
- Chen, X.F.; Wang, Q.; Cheng, Z.Y.; Zhu, M.L.; Zhou, H.; Jiang, P.; Zhou, L.L.; Xue, Q.; Yuan, F.P.; Zhu, J.; et al. Direct observation of chemical short-range order in a medium-entropy alloy. Nature 2021, 592, 712–716. [Google Scholar] [CrossRef] [PubMed]
- George, E.P.; Raabe, D.; Ritchie, R.O. High-entropy alloys. Nat. Rev. Mater. 2019, 4, 515–534. [Google Scholar] [CrossRef]
- Qiu, Y.; Hu, Y.J.; Taylor, A.; Styles, M.J.; Marceau, R.K.W.; Ceguerra, A.V.; Gibson, M.A.; Liu, Z.K.; Fraser, H.L.; Birbilis, N. A lightweight single-phase AlTiVCr compositionally complex alloy. Acta Mater. 2017, 123, 115–124. [Google Scholar] [CrossRef]
- Peng, Z.; Luo, Z.B.; Li, B.W.; Li, J.F.; Luan, H.W.; Gu, J.L.; Wu, Y.; Yao, K.F. Microstructure and mechanical properties of lightweight AlCrTiV0.5Cux high-entropy alloys. Rare Met. 2022, 41, 2016–2020. [Google Scholar] [CrossRef]
- Stepanov, N.D.; Yurchenko, N.Y.; Skibin, D.V.; Tikhonovsky, M.A.; Salishchev, G.A. Structure and mechanical properties of the AlCrxNbTiV (x = 0, 0.5, 1, 1.5) high entropy alloys. J. Alloy. Compd. 2015, 652, 266–280. [Google Scholar] [CrossRef]
- Senkov, O.N.; Senkova, S.V.; Miracle, D.B.; Woodward, C. Mechanical properties of low-density, refractory multi-principal element alloys of the Cr–Nb–Ti–V–Zr system. Mater. Sci. Eng. A 2013, 565, 51–62. [Google Scholar] [CrossRef]
- Youssef, K.M.; Zaddach, A.J.; Niu, C.; Irving, D.L.; Koch, C.C. A Novel Low-Density, High-Hardness, High-entropy Alloy with Close-packed Single-phase Nanocrystalline Structures. Mater. Res. Lett. 2015, 3, 95–99. [Google Scholar] [CrossRef]
- Stepanov, N.D.; Shaysultanov, D.G.; Salishchev, G.A.; Tikhonovsky, M.A. Structure and mechanical properties of a light-weight AlNbTiV high entropy alloy. Mater. Lett. 2015, 142, 153–155. [Google Scholar] [CrossRef]
- Jia, Y.F.; Jia, Y.D.; Wu, S.W.; Ma, X.D.; Wang, G. Novel Ultralight-Weight Complex Concentrated Alloys with High Strength. Materials 2019, 12, 1136. [Google Scholar] [CrossRef]
- Sun, Z.J.; Tan, X.P.; Wang, C.C.; Descoins, M.; Mangelinck, D.; Tor, S.B.; Jägle, E.A.; Zaefferer, S.; Raabe, D. Reducing hot tearing by grain boundary segregation engineering in additive manufacturing: Example of an AlxCoCrFeNi high-entropy alloy. Acta Mater. 2021, 204, 116505. [Google Scholar] [CrossRef]
- Qiu, Y.; Thomas, S.; Fabijanic, D.; Barlow, A.J.; Fraser, H.L.; Birbilis, N. Microstructural evolution, electrochemical and corrosion properties of AlxCoCrFeNiTiy high entropy alloys. Mater. Des. 2019, 170, 107698. [Google Scholar] [CrossRef]
- Huang, X.; Miao, J.; Luo, A.A. Lightweight AlCrTiV high-entropy alloys with dual-phase microstructure via microalloying. J. Mater. Sci. 2018, 54, 2271–2277. [Google Scholar] [CrossRef]
- Tseng, K.; Yang, Y.; Juan, C.; Chin, T.; Tsai, C.; Yeh, J. A light-weight high-entropy alloy Al20Be20Fe10Si15Ti. Sci. China Technol. Sci. 2018, 61, 184–188. [Google Scholar] [CrossRef]
- Ji, C.W.; Ma, A.B.; Jiang, J.H. Mechanical properties and corrosion behavior of novel Al-Mg-Zn-Cu-Si lightweight high entropy alloys. J. Alloy. Compd. 2022, 900, 163508. [Google Scholar] [CrossRef]
- Qiu, Y.; Thomas, S.; Gibson, M.A.; Fraser, H.L.; Pohl, K.; Birblis, N. Microstructure and corrosion properties of the low-density single-phase compositionally complex alloy AlTiVCr. Corros. Sci. 2018, 133, 386–396. [Google Scholar] [CrossRef]
- Yuan, Y.; Feng, K.; Liu, J.J.; Cheng, J.; Qiao, Z.H.; Yang, J.; Li, J.S.; Liu, W.M. Effects of Ti and Cu on the Microstructure Evolution of AlCoCrFeNi High-Entropy Alloy During Heat Treatment. Acta Metall. Sin. (Engl. Lett.) 2020, 33, 1077–1090. [Google Scholar]
- Zhang, Y.; Zhou, Y.J.; Lin, J.P.; Chen, G.L.; Liaw, P.K. Solid-Solution Phase Formation Rules for Multi-component Alloys. Adv. Eng. Mater. 2008, 10, 534–538. [Google Scholar] [CrossRef]
- Guo, S.; Ng, C.; Lu, J.; Liu, C.T. Effect of valence electron concentration on stability of fcc or bcc phase in high entropy alloys. J. Appl. Phys. 2011, 109, 103505. [Google Scholar]
- Shi, Y.Z.; Yang, B.; Xie, X.; Brechtl, J.; Dahmen, K.A.; Liaw, P.K. Corrosion of Al xCoCrFeNi high-entropy alloys: Al-content and potential scan-rate dependent pitting behavior. Corros. Sci. 2017, 119, 33–45. [Google Scholar] [CrossRef]
- Lu, C.W.; Lu, Y.S.; Lai, Z.H.; Yen, H.W.; Lee, Y.L. Comparative corrosion behavior of Fe50Mn30Co10Cr10 dual-phase high-entropy alloy and CoCrFeMnNi high-entropy alloy in 3.5 wt% NaCl solution. J. Alloy. Compd. 2020, 842, 155824. [Google Scholar] [CrossRef]
- Muangtong, P.; Rodchanarowan, A.; Chaysuwan, D.; Chanlek, N.; Goodall, R. The corrosion behaviour of CoCrFeNi-x (x = Cu, Al, Sn) high entropy alloy systems in chloride solution. Corros. Sci. 2020, 172, 108740. [Google Scholar] [CrossRef]
- Xu, Z.L.; Zhang, H.; Du, X.J.; He, Y.Z.; Luo, H.; Song, G.S.; Mao, L.; Zhou, T.W.; Wang, L.L. Corrosion resistance enhancement of CoCrFeMnNi high-entropy alloy fabricated by additive manufacturing. Corros. Sci. 2020, 177, 108954. [Google Scholar] [CrossRef]
- Luo, H.; Li, Z.M.; Mingers, A.M.; Raabe, D. Corrosion behavior of an equiatomic CoCrFeMnNi high-entropy alloy compared with 304 stainless steel in sulfuric acid solution. Corros. Sci. 2018, 134, 131–139. [Google Scholar] [CrossRef]
- Gong, P.; Wang, D.L.; Zhang, C.; Wang, Y.; Shirvan, Z.J.; Yao, K.F.; Wang, X.Y. Corrosion behavior of TiZrHfBeCu(Ni) high-entropy bulk metallic glasses in 3.5 wt. % NaCl. NPJ Mater. Degrad. 2022, 6, 77. [Google Scholar] [CrossRef]
- Pao, L.; Muto, I.; Sugawara, Y. Pitting at inclusions of the equiatomic CoCrFeMnNi alloy and improving corrosion resistance by potentiodynamic polarization in H2SO. Corros. Sci. 2021, 191, 109748. [Google Scholar] [CrossRef]
- Hsu, K.M.; Chen, S.H.; Lin, C.S. Microstructure and corrosion behavior of FeCrNiCoMnx (x = 1.0, 0.6, 0.3, 0) high entropy alloys in 0.5 M H2SO. Corros. Sci. 2021, 190, 109694. [Google Scholar] [CrossRef]
- Shi, Y.Z.; Yang, B.; Liaw, P.K. Corrosion-Resistant High-Entropy Alloys: A Review. Metals 2017, 7, 43. [Google Scholar] [CrossRef]
- Chou, Y.L.; Yeh, J.W.; Shih, H.C. The effect of molybdenum on the corrosion behaviour of the high-entropy alloys Co1.5CrFeNi1.5Ti0.5Mox in aqueous environments. Corros. Sci. 2010, 52, 2571–2581. [Google Scholar] [CrossRef]
- Qiu, Y.; Thomas, S.; Gibson, M.A.; Fraser, H.L.; Birbilis, N. Corrosion of high entropy alloys. Npj Mater. Degrad. 2017, 1, 15. [Google Scholar] [CrossRef]
- Hermas, A.A.; Morad, M.S. A comparative study on the corrosion behaviour of 304 austenitic stainless steel in sulfamic and sulfuric acid solutions. Corros. Sci. 2008, 50, 2710–2717. [Google Scholar] [CrossRef]
- Kocijan, A.; Merl, D.K.; Jenko, M. The corrosion behaviour of austenitic and duplex stainless steels in artificial saliva with the addition of fluoride. Corros. Sci. 2011, 53, 776–783. [Google Scholar] [CrossRef]
- Wang, Y.; Jin, J.S.; Zhang, M.; Liu, F.M.; Wang, X.Y.; Gong, P.; Tang, X.F. Influence of plastic deformation on the corrosion behavior of CrCoFeMnNi high entropy alloy. J. Alloy. Compd. 2022, 891, 161822. [Google Scholar] [CrossRef]
- Yao, Y.H.; Jin, Y.H.; Gao, W.; Liang, X.Y.; Chen, J.; Zhu, S.D. Corrosion Behavior of AlFeCrCoNiZrx High-Entropy Alloys in 0.5 M Sulfuric Acid Solution. Metals 2021, 11, 1471. [Google Scholar] [CrossRef]










| Samples | Ecorr(V) | Icorr(μA/cm2) |
|---|---|---|
| x = 0 | −0.411 | 0.131 |
| x = 0.2 | −0.572 | 0.499 |
| x = 0.4 | −0.526 | 0.695 |
| x = 0.6 | −0.389 | 1.145 |
| x = 0.8 | −0.407 | 2.182 |
| x = 1.0 | −0.239 | 2.778 |
| 304 L | −0.415 | 4.7 |
| Samples | R1(Ω·cm2) | CPE1-T (μF·cm−2) | CPE1-P | R2(Ω·cm2) | CPE2-T (μF·cm−2) | CPE2-P | R3(Ω·cm2) |
|---|---|---|---|---|---|---|---|
| x = 0 | 3.183 | 0.0383 | 0.967 | 15.09 | 34.954 | 0.747 | 437,920 |
| x = 0.2 | 2.444 | 0.0359 | 0.962 | 6.416 | 28.217 | 0.770 | 255,620 |
| x = 0.4 | 3.106 | 0.0659 | 0.994 | 18.17 | 38.641 | 0.817 | 75,311 |
| x = 0.6 | 2.818 | 0.0462 | 0.959 | 10.8 | 33.676 | 0.775 | 70,653 |
| x = 0.8 | 5.808 | 0.0344 | 0.977 | 59.19 | 30.418 | 0.782 | 45,098 |
| x = 1.0 | 1.934 | 0.0862 | 0.871 | 10.56 | 37.656 | 0.790 | 31,276 |
Disclaimer/Publisher’s Note: The statements, opinions and data contained in all publications are solely those of the individual author(s) and contributor(s) and not of MDPI and/or the editor(s). MDPI and/or the editor(s) disclaim responsibility for any injury to people or property resulting from any ideas, methods, instructions or products referred to in the content. |
© 2023 by the authors. Licensee MDPI, Basel, Switzerland. This article is an open access article distributed under the terms and conditions of the Creative Commons Attribution (CC BY) license (https://creativecommons.org/licenses/by/4.0/).
Share and Cite
Peng, Z.; Li, B.; Luo, Z.; Chen, X.; Tang, Y.; Yang, G.; Gong, P. A Lightweight AlCrTiV0.5Cux High-Entropy Alloy with Excellent Corrosion Resistance. Materials 2023, 16, 2922. https://doi.org/10.3390/ma16072922
Peng Z, Li B, Luo Z, Chen X, Tang Y, Yang G, Gong P. A Lightweight AlCrTiV0.5Cux High-Entropy Alloy with Excellent Corrosion Resistance. Materials. 2023; 16(7):2922. https://doi.org/10.3390/ma16072922
Chicago/Turabian StylePeng, Zhen, Baowei Li, Zaibin Luo, Xuefei Chen, Yao Tang, Guannan Yang, and Pan Gong. 2023. "A Lightweight AlCrTiV0.5Cux High-Entropy Alloy with Excellent Corrosion Resistance" Materials 16, no. 7: 2922. https://doi.org/10.3390/ma16072922
APA StylePeng, Z., Li, B., Luo, Z., Chen, X., Tang, Y., Yang, G., & Gong, P. (2023). A Lightweight AlCrTiV0.5Cux High-Entropy Alloy with Excellent Corrosion Resistance. Materials, 16(7), 2922. https://doi.org/10.3390/ma16072922

