Enhancement of the Desorption Properties of LiAlH4 by the Addition of LaCoO3
Abstract
1. Introduction
2. Materials and Methods
3. Results and Discussion
3.1. Onset Desorption Temperature

3.2. Isothermal Desorption Kinetics
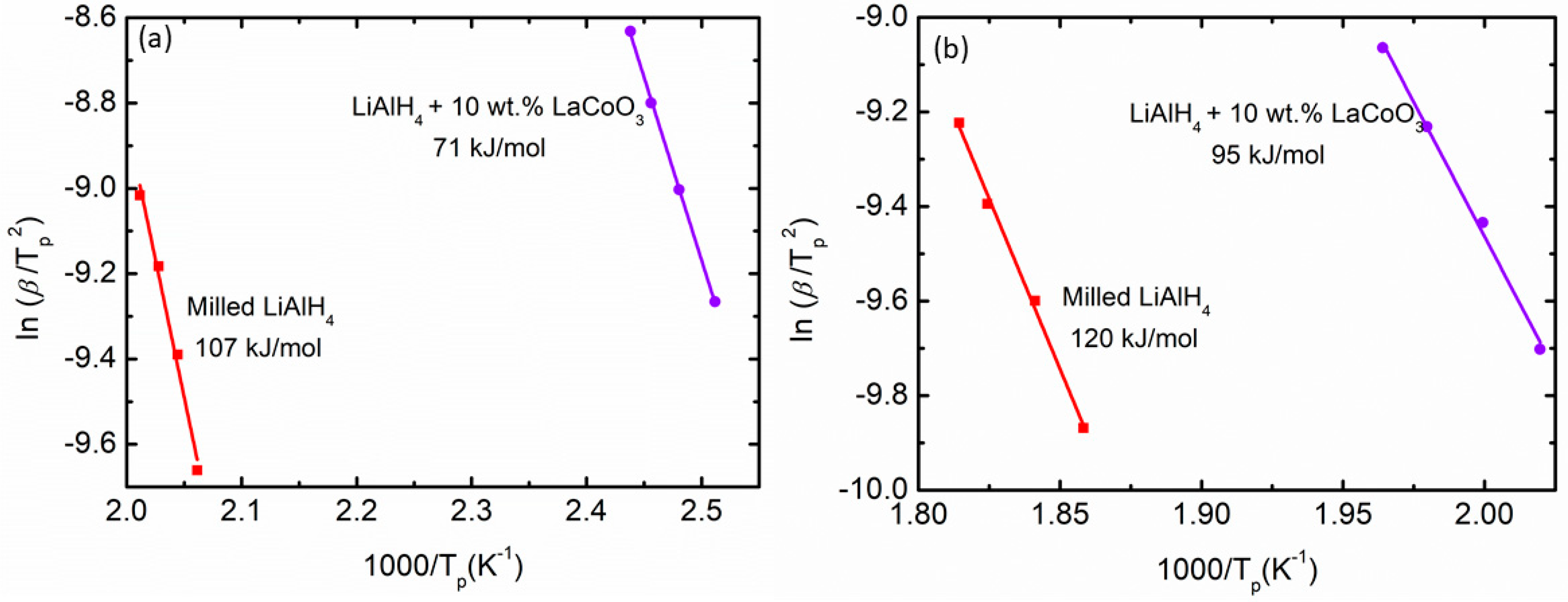
3.3. Activation Energy
3.4. Morphology and Microstructures
3.5. Particles Size Distribution
3.6. Phase Structure
4. Conclusions
Author Contributions
Funding
Institutional Review Board Statement
Informed Consent Statement
Data Availability Statement
Acknowledgments
Conflicts of Interest
References
- Du, W.; Wang, X.; Zhan, J.; Sun, X.; Kang, L.; Jiang, F.; Zhang, X.; Shao, Q.; Dong, M.; Liu, H.; et al. Biological cell template synthesis of nitrogen-doped porous hollow carbon spheres/MnO2 composites for high-performance asymmetric supercapacitors. Electrochim. Acta 2019, 296, 907–915. [Google Scholar] [CrossRef]
- Wu, D.; Xie, X.; Zhang, J.; Ma, Y.; Hou, C.; Sun, X.; Yang, X.; Zhang, Y.; Kimura, H.; Du, W. Embedding NiS nanoflakes in electrospun carbon fibers containing NiS nanoparticles for hybrid supercapacitors. Chem. Eng. J. 2022, 446, 137262. [Google Scholar] [CrossRef]
- Wu, D.; Xie, X.; Ma, Y.; Zhang, J.; Hou, C.; Sun, X.; Yang, X.; Zhang, Y.; Kimura, H.; Du, W. Morphology controlled hierarchical NiS/carbon hexahedrons derived from nitrilotriacetic acid-assembly strategy for high-performance hybrid supercapacitors. Chem. Eng. J. 2022, 433, 133673. [Google Scholar] [CrossRef]
- Guo, X.; Liang, C.; Umar, M.; Mirza, N. The impact of fossil fuel divestments and energy transitions on mutual funds performance. Technol. Forecast. Soc. Change 2022, 176, 121429. [Google Scholar] [CrossRef]
- Hansen, T.A. Stranded assets and reduced profits: Analyzing the economic underpinnings of the fossil fuel industry’s resistance to climate stabilization. Renew. Sust. Energ. Rev. 2022, 158, 112144. [Google Scholar] [CrossRef]
- Hienuki, S.; Noguchi, K.; Shibutani, T.; Fuse, M.; Noguchi, H.; Miyake, A. Risk identification for the introduction of advanced science and technology: A case study of a hydrogen energy system for smooth social implementation. Int. J. Hydrogen Energy 2020, 45, 15027–15040. [Google Scholar] [CrossRef]
- Chapman, A.; Itaoka, K.; Farabi-Asl, H.; Fujii, Y.; Nakahara, M. Societal penetration of hydrogen into the future energy system: Impacts of policy, technology and carbon targets. Int. J. Hydrogen Energy 2020, 45, 3883–3898. [Google Scholar] [CrossRef]
- Lebrouhi, B.E.; Djoupo, J.J.; Lamrani, B.; Benabdelaziz, K.; Kousksou, T. Global hydrogen development—A technological and geopolitical overview. Int. J. Hydrogen Energy 2022, 47, 7016–7048. [Google Scholar] [CrossRef]
- Zhang, Y.; Zheng, J.; Lu, Z.; Song, M.; He, J.; Wu, F.; Zhang, L. Boosting the hydrogen storage performance of magnesium hydride with metal organic framework-derived Cobalt@Nickel oxide bimetallic catalyst. Chin. J. Chem. Eng. 2022, 52, 161–171. [Google Scholar] [CrossRef]
- Zhang, J.; Hou, Q.; Guo, X.; Yang, X. Achieve high-efficiency hydrogen storage of MgH2 catalyzed by nanosheets CoMoO4 and rGO. J. Alloys Compd. 2022, 911, 165153. [Google Scholar] [CrossRef]
- Nasser, M.; Megahed, T.F.; Ookawara, S.; Hassan, H. Techno-economic assessment of clean hydrogen production and storage using hybrid renewable energy system of PV/Wind under different climatic conditions. Sustain. Energy Technol. Assess. 2022, 52, 102195. [Google Scholar] [CrossRef]
- Nasri, A.; Jaleh, B.; Shabanlou, E.; Nasrollahzadeh, M.; Ali Khonakdar, H.; Kruppke, B. Ionic liquid-based (nano)catalysts for hydrogen generation and storage. J. Mol. Liq. 2022, 365, 120142. [Google Scholar] [CrossRef]
- Wang, H.; Zhao, Y.; Dong, X.; Yang, J.; Guo, H.; Gong, M. Thermodynamic analysis of low-temperature and high-pressure (cryo-compressed) hydrogen storage processes cooled by mixed-refrigerants. Int. J. Hydrogen Energy 2022, 47, 28932–28944. [Google Scholar] [CrossRef]
- Sürer, M.G.; Arat, H.T. Advancements and current technologies on hydrogen fuel cell applications for marine vehicles. Int. J. Hydrogen Energy 2022, 47, 19865–19875. [Google Scholar] [CrossRef]
- Sahoo, R.K.; Sahu, S. Transition from chemisorption to physisorption of H2 on Ti functionalized [2,2,2]paracyclophane: A computational search for hydrogen storage. J. Energy Storage 2023, 63, 106951. [Google Scholar] [CrossRef]
- Zhu, Z.W.; Zheng, Q.R. Investigation of cryo-adsorption hydrogen storage capacity of rapidly synthesized MOF-5 by mechanochemical method. Int. J. Hydrogen Energy 2023, 48, 5166–5174. [Google Scholar] [CrossRef]
- Pandey, A.P.; Shaz, M.A.; Sekkar, V.; Tiwari, R.S. Synergistic effect of CNT bridge formation and spillover mechanism on enhanced hydrogen storage by iron doped carbon aerogel. Int. J. Hydrogen Energy 2022, in press, corrected proof. [Google Scholar] [CrossRef]
- Mishra, S.; Luhadiya, N.; Kundalwal, S.I. Atomistic insights into the H2 adsorption and desorption behavior of novel Li-functionalized polycrystalline CNTs. Carbon 2023, 207, 23–35. [Google Scholar] [CrossRef]
- Liang, H.; Du, X.; Li, J.; Sun, L.; Song, M.; Li, W. Manipulating active sites on carbon nanotube materials for highly efficient hydrogen storage. Appl. Surf. Sci. 2023, 619, 156740. [Google Scholar] [CrossRef]
- Desai, F.J.; Uddin, M.N.; Rahman, M.M.; Asmatulu, R. A critical review on improving hydrogen storage properties of metal hydride via nanostructuring and integrating carbonaceous materials. Int. J. Hydrogen Energy 2023, in press, corrected proof. [Google Scholar] [CrossRef]
- Meduri, S.; Nandanavanam, J. Materials for hydrogen storage at room temperature—An overview. Mater. Today Proc. 2023, 72, 1–8. [Google Scholar] [CrossRef]
- Zhang, X.; Sun, Y.; Xia, G.; Yu, X. Light-weight solid-state hydrogen storage materials characterized by neutron scattering. J. Alloys Compd. 2022, 899, 163254. [Google Scholar] [CrossRef]
- Pawelczyk, E.; Łukasik, N.; Wysocka, I.; Rogala, A.; Gębicki, J. Recent progress on hydrogen storage and production using chemical hydrogen carriers. Energies 2022, 15, 4964. [Google Scholar] [CrossRef]
- Akbayrak, S.; Özkar, S. Ammonia borane as hydrogen storage materials. Int. J. Hydrogen Energy 2018, 43, 18592–18606. [Google Scholar] [CrossRef]
- Andersson, J.; Grönkvist, S. Large-scale storage of hydrogen. Int. J. Hydrogen Energy 2019, 44, 11901–11919. [Google Scholar] [CrossRef]
- Sazelee, N.; Ismail, M. Recent advances in catalyst-enhanced LiAlH4 for solid-state hydrogen storage: A review. Int. J. Hydrogen Energy 2021, 46, 9123–9141. [Google Scholar] [CrossRef]
- Feng, W.; Xue Ping, Z.; Xue Qin, M.; Yue Hui, D.; Xiao Yan, Z.; Zi Wei, X. Catalytic effects of FGO-Ni addition on the dehydrogenation properties of LiAlH4. Int. J. Hydrogen Energy 2022, 47, 26458–26467. [Google Scholar] [CrossRef]
- Sazelee, N.; Ali, N.; Yahya, M.; Mustafa, N.; Halim Yap, F.; Mohamed, S.; Ghazali, M.; Suwarno, S.; Ismail, M. Recent advances on Mg–Li–Al systems for solid-state hydrogen storage: A Review. Front. Energy Res. 2022, 10, 875405. [Google Scholar] [CrossRef]
- Graetz, J.; Wegrzyn, J.; Reilly, J.J. Regeneration of lithium aluminum hydride. J. Am. Chem. Soc. 2008, 130, 17790–17794. [Google Scholar] [CrossRef]
- Li, Z.; Li, P.; Wan, Q.; Zhai, F.; Liu, Z.; Zhao, K.; Wang, L.; Lü, S.; Zou, L.; Qu, X. Dehydrogenation improvement of LiAlH4 catalyzed by Fe2O3 and Co2O3 nanoparticles. J. Phys. Chem. C 2013, 117, 18343–18352. [Google Scholar] [CrossRef]
- Ali, N.A.; Idris, N.H.; Sazelee, N.A.; Yahya, M.S.; Halim Yap, F.A.; Ismail, M. Catalytic effects of MgFe2O4 addition on the dehydrogenation properties of LiAlH4. Int. J. Hydrogen Energy 2019, 44, 28227–28234. [Google Scholar] [CrossRef]
- Sazelee, N.A.; Yahya, M.S.; Ali, N.A.; Idris, N.H.; Ismail, M. Enhancement of dehydrogenation properties in LiAlH4 catalysed by BaFe12O19. J. Alloys Compd. 2020, 835, 155183. [Google Scholar] [CrossRef]
- Ismail, M.; Ali, N.A.; Sazelee, N.A.; Suwarno, S. Catalytic effect of Al2TiO5 on the dehydrogenation properties of LiAlH4. Int. J. Hydrogen Energy 2022, 47, 31903–31910. [Google Scholar] [CrossRef]
- Cao, Z.; Ma, X.; Wang, H.; Ouyang, L. Catalytic effect of ScCl3 on the dehydrogenation properties of LiAlH4. J. Alloys Compd. 2018, 762, 73–79. [Google Scholar] [CrossRef]
- Ismail, M.; Zhao, Y.; Yu, X.B.; Dou, S.X. Effects of NbF5 addition on the hydrogen storage properties of LiAlH4. Int. J. Hydrogen Energy 2010, 35, 2361–2367. [Google Scholar] [CrossRef]
- Liu, S.S.; Li, Z.B.; Jiao, C.L.; Si, X.L.; Yang, L.N.; Zhang, J.; Zhou, H.Y.; Huang, F.-L.; Gabelica, Z.; Schick, C. Improved reversible hydrogen storage of LiAlH4 by nano-sized TiH2. Int. J. Hydrogen Energy 2013, 38, 2770–2777. [Google Scholar] [CrossRef]
- Varin, R.A.; Zbroniec, L.; Czujko, T.; Wronski, Z.S. The effects of nanonickel additive on the decomposition of complex metal hydride LiAlH4 (lithium alanate). Int. J. Hydrogen Energy 2011, 36, 1167–1176. [Google Scholar] [CrossRef]
- Xueping, Z.; Ping, L.; Fuqiang, A.; Guoqing, W.; Xuanhui, Q. Effects of Ti and Fe additives on hydrogen release from lithium alanate. Rare Metal. Mat. Eng. 2008, 37, 400–403. [Google Scholar] [CrossRef]
- Tan, C.Y.; Tsai, W.T. Effects of Ni and Co-decorated MWCNTs addition on the dehydrogenation behavior and stability of LiAlH4. Int. J. Hydrogen Energy 2015, 40, 14064–14071. [Google Scholar] [CrossRef]
- Resan, M.; Hampton, M.D.; Lomness, J.K.; Slattery, D.K. Effect of TixAly catalysts on hydrogen storage properties of LiAlH4 and NaAlH4. Int. J. Hydrogen Energy 2005, 30, 1417–1421. [Google Scholar] [CrossRef]
- Jiao, C.; Sun, L.; Xu, F.; Liu, S.S.; Zhang, J.; Jiang, X.; Yang, L. NiCo nanoalloy encapsulated in graphene layers for improving hydrogen storage properties of LiAlH4. Sci. Rep. 2016, 6, 27429. [Google Scholar] [CrossRef] [PubMed]
- Li, Z.; Zhai, F.; Wan, Q.; Liu, Z.; Shan, J.; Li, P.; Volinsky, A.A.; Qu, X. Enhanced hydrogen storage properties of LiAlH4 catalyzed by CoFe2O4 nanoparticles. RSC Adv. 2014, 4, 18989–18997. [Google Scholar] [CrossRef]
- Wei, S.; Liu, J.; Xia, Y.; Zhang, H.; Cheng, R.; Sun, L.; Xu, F.; Huang, P.; Rosei, F.; Pimerzin, A.A.; et al. Remarkable catalysis of spinel ferrite XFe2O4 (X = Ni, Co, Mn, Cu, Zn) nanoparticles on the dehydrogenation properties of LiAlH4: An experimental and theoretical study. J. Mater. Sci. Technol. 2022, 111, 189–203. [Google Scholar] [CrossRef]
- Wu, C.; Wang, Y.; Liu, Y.; Ding, W.; Sun, C. Enhancement of hydrogen storage properties by in situ formed LaH3 and Mg2NiH4 during milling MgH2 with porous LaNiO3. Catal. Today 2018, 318, 113–118. [Google Scholar] [CrossRef]
- Sazelee, N.A.; Idris, N.H.; Md Din, M.F.; Yahya, M.S.; Ali, N.A.; Ismail, M. LaFeO3 synthesised by solid-state method for enhanced sorption properties of MgH2. Results Phys. 2020, 16, 102844. [Google Scholar] [CrossRef]
- Sazelee, N.A.; Yahya, M.S.; Idris, N.H.; Md Din, M.F.; Ismail, M. Desorption properties of LiAlH4 doped with LaFeO3 catalyst. Int. J. Hydrogen Energy 2019, 44, 11953–11960. [Google Scholar] [CrossRef]
- Zhou, S.; Zou, J.; Zeng, X.; Ding, W. Effects of REF3 (RE = Y, La, Ce) additives on dehydrogenation properties of LiAlH4. Int. J. Hydrogen Energy 2014, 39, 11642–11650. [Google Scholar] [CrossRef]
- Xueping, Z.; Qiuhua, M.; Zhen, F.; Feng, M.; Shenglin, L.; Xin, F.; Guo, X.; Jiaojiao, Z. Effect of La3+ on dehydrogenation capacity of the LiAlH4− NH4Cl system. Rare Metal. Mat. Eng. 2014, 43, 2075–2078. [Google Scholar] [CrossRef]
- Sazelee, N.; Md Din, M.F.; Ismail, M.; Rather, S.U.; Bamufleh, H.S.; Alhumade, H.; Taimoor, A.A.; Saeed, U. Effect of LaCoO3 synthesized via solid-state method on the hydrogen storage properties of MgH2. Materials 2023, 16, 2449. [Google Scholar] [CrossRef]
- Halim Yap, F.A.; Mustafa, N.S.; Ismail, M. A study on the effects of K2ZrF6 as an additive on the microstructure and hydrogen storage properties of MgH2. RSC Adv. 2015, 5, 9255–9260. [Google Scholar] [CrossRef]
- Ismail, M. Effect of adding different percentages of HfCl4 on the hydrogen storage properties of MgH2. Int. J. Hydrogen Energy 2021, 46, 8621–8628. [Google Scholar] [CrossRef]
- Luo, Y.; Wang, Q.; Li, J.; Xu, F.; Sun, L.; Zou, Y.; Chu, H.; Li, B.; Zhang, K. Enhanced hydrogen storage/sensing of metal hydrides by nanomodification. Mater. Today Nano 2020, 9, 100071. [Google Scholar] [CrossRef]
- He, Q.; Zhu, D.; Wu, X.; Dong, D.; Xu, M.; Tong, Z. Hydrogen desorption properties of LiBH4/xLiAlH4 (x = 0.5, 1, 2) composites. Molecules 2019, 24, 1861. [Google Scholar] [CrossRef]
- Xia, Y.; Zhang, H.; Sun, Y.; Sun, L.; Xu, F.; Sun, S.; Zhang, G.; Huang, P.; Du, Y.; Wang, J. Dehybridization effect in improved dehydrogenation of LiAlH4 by doping with two-dimensional Ti3C2. Mater. Today Nano 2019, 8, 100054. [Google Scholar] [CrossRef]
- Ahmad, M.A.N.; Sazelee, N.A.; Ali, N.A.; Ismail, M. Enhancing the dehydrogenation properties of LiAlH4 using K2NiF6 as additive. Int. J. Hydrogen Energy 2022, 47, 24843–24851. [Google Scholar] [CrossRef]
- Sulaiman, N.N.; Ismail, M. Catalytic effect of SrFe12O19 on the hydrogen storage properties of LiAlH4. Int. J. Hydrogen Energy 2017, 42, 19126–19134. [Google Scholar] [CrossRef]
- Ali, N.A.; Ahmad, M.A.N.; Yahya, M.S.; Sazelee, N.; Ismail, M. Improved dehydrogenation properties of LiAlH4 by addition of nanosized CoTiO3. Nanomaterials 2022, 12, 3921. [Google Scholar] [CrossRef]
- Wei, S.; Xue, S.; Huang, C.; Che, B.; Zhang, H.; Sun, L.; Xu, F.; Xia, Y.; Cheng, R.; Zhang, C. Multielement synergetic effect of NiFe2O4 and h-BN for improving the dehydrogenation properties of LiAlH4. Inorg. Chem. Front. 2021, 8, 3111–3126. [Google Scholar] [CrossRef]
- Li, Z.L.; Zhai, F.Q.; Qiu, H.C.; Wan, Q.; Li, P.; Qu, X.H. Dehydrogenation characteristics of ZrC-doped LiAlH4 with different mixing conditions. Rare Met. 2020, 39, 383–391. [Google Scholar] [CrossRef]
- Ismail, M.; Sinin, A.; Sheng, C.; Nik, W. Desorption behaviours of lithium alanate with metal oxide nanopowder additives. Int. J. Electrochem. Sci. 2014, 9, 495. [Google Scholar]
- Ismail, M.; Sazelee, N.A.; Ali, N.A.; Suwarno, S. Catalytic effect of SrTiO3 on the dehydrogenation properties of LiAlH4. J. Alloys Compd. 2021, 855, 157475. [Google Scholar] [CrossRef]
- Li, Z.; Liu, S.; Si, X.; Zhang, J.; Jiao, C.; Wang, S.; Liu, S.; Zou, Y.-J.; Sun, L.; Xu, F. Significantly improved dehydrogenation of LiAlH4 destabilized by K2TiF6. Int. J. Hydrogen Energy 2012, 37, 3261–3267. [Google Scholar] [CrossRef]
- Zhang, T.; Isobe, S.; Wang, Y.; Liu, C.; Hashimoto, N.; Takahashi, K. Enhanced hydrogen desorption properties of LiAlH4 by doping lithium metatitanate. Phys. Chem. Chem. Phys. 2016, 18, 27623–27629. [Google Scholar] [CrossRef] [PubMed]
- Varin, R.; Zbroniec, L. Decomposition behavior of unmilled and ball milled lithium alanate (LiAlH4) including long-term storage and moisture effects. J. Alloys Compd. 2010, 504, 89–101. [Google Scholar] [CrossRef]
- Ares, J.R.; Aguey Zinsou, K.F.; Porcu, M.; Sykes, J.M.; Dornheim, M.; Klassen, T.; Bormann, R. Thermal and mechanically activated decomposition of LiAlH4. Mater. Res. Bull. 2008, 43, 1263–1275. [Google Scholar] [CrossRef]
- Li, L.; Qiu, F.; Wang, Y.; Xu, Y.; An, C.; Liu, G.; Jiao, L.; Yuan, H. Enhanced hydrogen storage properties of TiN–LiAlH4 composite. Int. J. Hydrogen Energy 2013, 38, 3695–3701. [Google Scholar] [CrossRef]
- Zhai, F.; Li, P.; Sun, A.; Wu, S.; Wan, Q.; Zhang, W.; Li, Y.; Cui, L.; Qu, X. Significantly improved dehydrogenation of LiAlH4 destabilized by MnFe2O4 nanoparticles. J. Phys. Chem. C 2012, 116, 11939–11945. [Google Scholar] [CrossRef]
- Rahmaninasab, M.A.; Raygan, S.; Abdizadeh, H.; Pourabdoli, M.; Mirghaderi, S.H. Properties of activated MgH2+ mischmetal nanostructured composite produced by ball-milling. Mater. Renew. Sustain. Energy 2018, 7, 15. [Google Scholar] [CrossRef]
- Dittrich, M.; Schumacher, G. Evolution of crystallite size, lattice parameter and internal strain in Al precipitates during high energy ball milling of partly amorphous Al87Ni8La5 alloy. Mater. Sci. Eng. A 2014, 604, 27–33. [Google Scholar] [CrossRef]
- Li, P.; Li, Z.; Zhai, F.; Wan, Q.; Li, X.; Qu, X.; Volinsky, A.A. NiFe2O4 nanoparticles catalytic effects of improving LiAlH4 dehydrogenation properties. J. Phys. Chem. C 2013, 117, 25917–25925. [Google Scholar] [CrossRef]
- Ismail, M.; Zhao, Y.; Yu, X.B.; Nevirkovets, I.P.; Dou, S.X. Significantly improved dehydrogenation of LiAlH4 catalysed with TiO2 nanopowder. Int. J. Hydrogen Energy 2011, 36, 8327–8334. [Google Scholar] [CrossRef]
- Pratthana, C.; Aguey-Zinsou, K.F. Surfactant induced synthesis of LiAlH4 and NaAlH4 nanoparticles for hydrogen storage. Appl. Sci. 2022, 12, 4742. [Google Scholar] [CrossRef]
- Shen, X.; Zhang, X.; Xiao, Q.; Liu, H. Catalytical enhancement on hydrogen production from LiAlH4 by Fe–Fe2O3 addition. Int. J. Hydrogen Energy 2022, 47, 16964–16977. [Google Scholar] [CrossRef]
- Wang, Y.; Ren, Q.; Wang, Y.; Li, L.; Song, D.; Jiao, L.; Yuan, H. A facile two-step synthesis and dehydrogenation properties of NaAlH4 catalyzed with Co–B. Int. J. Hydrogen Energy 2010, 35, 11004–11008. [Google Scholar] [CrossRef]
- Hu, J.; Pohl, A.; Wang, S.; Rothe, J.; Fichtner, M. Additive effects of LiBH4 and ZrCoH3 on the hydrogen sorption of the Li-Mg-NH hydrogen storage system. J. Phys. Chem. C 2012, 116, 20246–20253. [Google Scholar] [CrossRef]
- Lv, L.; Lin, J.; Yang, G.; Ma, Z.; Xu, L.; He, X.; Han, X.; Liu, W. Hydrogen storage performance of LaNi3.95Al0.75Co0.3 alloy with different preparation methods. Prog. Nat. Sci. Mater. 2022, 32, 206–214. [Google Scholar] [CrossRef]
- Ali, N.A.; Ismail, M.; Nasef, M.M.; Jalil, A.A. Enhanced hydrogen storage properties of NaAlH4 with the addition of CoTiO3 synthesised via a solid-state method. J. Alloys Compd. 2023, 934, 167932. [Google Scholar] [CrossRef]









| Samples | Onset Desorption Temperature (1st Stage) (°C) | Onset Desorption Temperature (2nd Stage) (°C) | Hydrogen Content (wt.%) | Hydrogen Loss (wt.%) |
|---|---|---|---|---|
| Pure LiAlH4 | 151 | 182 | 7.39 | - |
| Milled LiAlH4 | 147 | 177 | 7.09 | 0.30 |
| LiAlH4 + 5 wt.% LaCoO3 | 98 | 153 | 6.01 | 1.38 |
| LiAlH4 + 10 wt.% LaCoO3 | 70 | 156 | 5.86 | 1.53 |
| LiAlH4 + 15 wt.% LaCoO3 | 105 | 164 | 5.72 | 1.67 |
| LiAlH4 + 20 wt.% LaCoO3 | 106 | 169 | 5.67 | 1.72 |
Disclaimer/Publisher’s Note: The statements, opinions and data contained in all publications are solely those of the individual author(s) and contributor(s) and not of MDPI and/or the editor(s). MDPI and/or the editor(s) disclaim responsibility for any injury to people or property resulting from any ideas, methods, instructions or products referred to in the content. |
© 2023 by the authors. Licensee MDPI, Basel, Switzerland. This article is an open access article distributed under the terms and conditions of the Creative Commons Attribution (CC BY) license (https://creativecommons.org/licenses/by/4.0/).
Share and Cite
Sazelee, N.; Ali, N.A.; Ismail, M.; Rather, S.-U.; Bamufleh, H.S.; Alhumade, H.; Taimoor, A.A.; Saeed, U. Enhancement of the Desorption Properties of LiAlH4 by the Addition of LaCoO3. Materials 2023, 16, 4056. https://doi.org/10.3390/ma16114056
Sazelee N, Ali NA, Ismail M, Rather S-U, Bamufleh HS, Alhumade H, Taimoor AA, Saeed U. Enhancement of the Desorption Properties of LiAlH4 by the Addition of LaCoO3. Materials. 2023; 16(11):4056. https://doi.org/10.3390/ma16114056
Chicago/Turabian StyleSazelee, Noratiqah, Nurul Amirah Ali, Mohammad Ismail, Sami-Ullah Rather, Hisham S. Bamufleh, Hesham Alhumade, Aqeel Ahmad Taimoor, and Usman Saeed. 2023. "Enhancement of the Desorption Properties of LiAlH4 by the Addition of LaCoO3" Materials 16, no. 11: 4056. https://doi.org/10.3390/ma16114056
APA StyleSazelee, N., Ali, N. A., Ismail, M., Rather, S.-U., Bamufleh, H. S., Alhumade, H., Taimoor, A. A., & Saeed, U. (2023). Enhancement of the Desorption Properties of LiAlH4 by the Addition of LaCoO3. Materials, 16(11), 4056. https://doi.org/10.3390/ma16114056

