Abstract
The Mg-Zn-Ca system has previously been proposed as the most suitable biodegradable candidate for biomedical applications. In this work, a series of ribbon specimens was fabricated using a melt-spinning technique to explore the glass-forming ability of the Mg-Zn-Ca system along the concentration line of 7 at.% of calcium. A glassy state is confirmed for Mg50Zn43Ca7, Mg60Zn33Ca7, and Mg70Zn23Ca7. Those samples were characterised by standard methods to determine their mass density, hardness, elastic modulus, and crystallisation temperatures during devitrification. Their amorphous structure is described by means of pair distribution functions obtained by high-energy X-ray and neutron diffraction (HEXRD and ND) measurements performed at large-scale facilities. The contributions of pairs Mg-Mg, Mg-Zn, and Zn-Zn were identified. In addition, a transformation process from an amorphous to crystalline structure is followed in situ by HEXRD for Mg60Zn33Ca7 and Mg50Zn43Ca7. Intermetallic compounds IM1 and IM3 and hcp-Mg phase are proposed to be formed in multiple crystallisation eventss.
1. Introduction
Metallic glasses represent a group of disordered alloys that have attracted the attention of researchers because of their extraordinary features and properties with respect to their crystalline counterparts. One of the recent suggestions is the use of metallic glasses as biomaterials for implants [1,2]. Particularly, an Mg-Zn-Ca system was proposed as the most suitable biodegradable candidate [3]. It consists of the elements Mg, Zn, and Ca pre-existing in a human body that has an inherent tolerance to them [4], with their average quantities in an adult being 25 g, 2 g, and 1100 g, respectively. It has been demonstrated that Mg-based MGs have improved corrosion resistance compared with crystalline Mg-based alloys [5,6,7]. Their compression strength is about 900 MPa [8] and elastic modulus is about 40 GPa [6], closer to elastic modulus of human bones than other groups of biocompatible metallic glasses such as Zr- or Ti-based ones [9]. Many resent studies tailor a composition of the Mg-Zn-Ca system in the range of few percent for Ca (between ∼4 and ∼10 at.%) and Mg in the range from ∼60 to ∼75 at.% [10,11,12]. Specimens containing less than 50 at.% Zn show good corrosion resistance and tolerable cytotoxicity for biomedical applications [13]. To better understand those macroscopical properties, a microstructural description is desired. Unlike crystalline compounds, MGs lack a repetitive motive to produce the long-range ordering. Therefore, standard tools of crystallography are not applicable and different approaches shall be selected.
The amorphous structure of glassy alloys can be characterised by means of atomic pair distribution function analysis. Over years, pair distribution function (PDF) analysis has become a crucial tool in unveiling information about a local atomic arrangement in the short and medium range of MGs [14]. Experimental data necessary for PDF analysis are collected by scattering experiments using different types of radiation (X-rays, neutrons, and/or electrons) [15,16]. Data collection must be performed up to high Q values of the scattering vector. In the case of MGs, the structure factor oscillations are usually observable up to 15–20 Å−1, but oscillations can persist easily up to 25–30 Å−1 or even 45–50 Å−1 for oxide glasses [17,18]. Generally, the PDF reflects a probability of finding pairs of atoms separated by a given distance. Details about the terminology and definitions of various types of PDFs can be found elsewhere [19,20,21]. The interpretation of PDFs becomes more complicated when the investigated alloy consists of more than one type of atom. Then, a partial pair distribution function can be introduced defining the distribution of only those atom pairs coming from atoms of type i around atoms of type j. In principle, the aim is to decompose the total PDF of the alloy under study into its all-possible partials to understand completely the local atomic structure. Describing chemical order in a binary A-B system requires the separation of A-A, A-B, and B-B type partial pair correlations. For ternary and quaternary systems, there are six and ten pair partials contributing to the total PDF, respectively. Consequently, it becomes inevitable to apply various structural techniques to reveal as much as possible about the local atomic arrangement.
The aim of this work is to systematically explore the glass forming ability in the Mg-Zn-Ca system along a Ca composition line fixed at 7 at.% and characterise local atomic structure changes in as-prepared glassy alloys due to a gradual substitution of larger Mg atoms by smaller Zn ones. For that reason, a series of Mg93−xZnxCa7 ribbon specimens for x = 3, 13, 23, 33, 43, 53, 63, and 73 alloys was prepared using a melt-spinning technique. Both the total X-ray and total neutron scattering measurements were performed on three glassy alloys, Mg50Zn43Ca7, Mg60Zn33Ca7, and Mg70Zn23Ca7, to probe their local atomic arrangement by means of reduced pair distribution functions. To unambiguously identify the contribution of individual atomic pairs, the simultaneous fitting of the first maximum of the reduced X-ray and neutron pair distribution functions was proposed. In addition, the benefits and limits of using high-energy X-rays and neutron total scattering measurements are demonstrated on the Mg-Zn-Ca system. The PDF curves are present in a form of reduced pair distribution functions, generated via the sine Fourier transformation of corrected and normalised experimental data.
2. Materials and Methods
2.1. Sample Preparation and Standard Characterisation
Mg-Zn-Ca master alloys were prepared by arc-melting under vacuum (better than 3.0 × 10−3 Pa) mixing constituent elements of high purity (Mg 99.98 wt.%, Zn 99.9 wt.%, and Ca 99.5 wt.%). Ribbon specimens of the composition Mg93−xZnxCa7, where x = 3, 13, 23, 33, 43, 53, 63, and 73, were fabricated by ejecting molten master alloys under pressure of purified Ar through an orifice on the surface of a rotated cooper wheel. Ribbons were about 50 µm thick, 5 mm wide, and 100 mm long. The final chemical composition of the as-prepared ribbons was determined by energy-dispersive X-ray microanalysis, employing a scanning electron microscopy Jeol JSM 700F (JEOL Ltd., Akishima, Japan) with an accelerating voltage of 15 keV.
Mechanical properties such as elastic modulus and hardness were obtained using a nano-indentation tester, TTX-NHT S/N:01-03730 CSM Instruments (Lausanne, Switzerland), using a Berkovich pyramid diamond tip. In total, 20 indentations were performed and the final data were statistically evaluated.
The mass density of as-prepared materials was determined using a helium pycnometer, AccuPyc II 1340.
Thermal analysis measurements were performed using a Perkin-Elmer differential scanning calorimeter, DSC 8500 (PerkinElmer, Waltham, MA, USA), at a heating rate of 10 °C/min. The baseline was modelled using a polynomial function of the fifth order and then subtracted from the raw data.
2.2. Synchrotron-Based High-Energy X-ray Diffraction
High-energy X-ray diffraction (HEXRD) measurements were carried out at the high energy beamlines P21.1 [22] at Deutsches Elektronen-Synchrotron in Hamburg (Germany) and I12-JEEP [23] at Diamond Light Source in Didcot (United Kingdom). All diffraction measurements were performed in transmission geometry using a monochromatic X-ray beam of energy above 100 keV. Diffracted signals were detected by flat-panel detectors. The precise energy calibration was realised by collecting calibration data from a fine CeO2 standard at several standard-to-detector distances [24]. Once the X-ray beam energy was established, the detector was positioned at a desired position. Then, the CeO2 standard was measured again to calibrate absolutely the sample-to-detector distance, the orthogonality of a detector with respect to an incoming X-ray beam, and the position of a beam centre on the detector. All of those calibration procedures together with data integration along the radius of diffraction circles into Q-space (Q stands for the scattering vector) were performed employing the DAWN software [25]. Preferring Q-space over 2θ-space (2θ is the scattering angle) reflects the definition of the magnitude of the scattering vector, Q, as Q = (4π/λ)sin(θ), which enables a direct comparison of diffraction patters collected using various wavelengths of a X-ray beam, λ. Raw data were corrected for background (air and container) contribution, self-absorption, fluorescence and Compton scattering, and normalised to electron [26].
For in situ high-temperature HEXRD measurements, sample heating from room temperature up to 550 °C at a heating rate of 10 °C/min was carried out using a commercial Linkam DSC600 furnace. The acquisition time of a diffraction image was 30 s. The temperature calibration was performed by measuring the Au powder sample and applying a state of equation derived by work presented elsewhere [27].
2.3. Neutron Diffraction
The neutron diffraction measurements were carried out at the 7C2 liquid and amorphous diffractometer of Laboratoire Léon Brillouin (LLB) in Saclay-Paris, France [28]. Measurements of V and Ni standard powder samples were firstly carried out to determine detector efficiency, wavelength, and detector position. The wavelength of incident neutrons was 0.724 Å. Specimens were loaded into vanadium sample holders of 6 mm in diameter. The correction of raw data for background scattering, multiple scattering, and detector efficiency followed established procedures [29].
2.4. X-ray and Neutron Structure Factor Calculation
Normalised elastically scattered X-ray and neutron intensities, IX(Q) and IN(Q), were used to calculate the total X-ray and neutron structure factors, SX(Q) and SN(Q), applying the Faber–Ziman formalism [30] as follows
- for X-rays:
- for neutrons:
In the case of multicomponent systems following the Faber–Ziman formalism, the total structure factor SM(Q) can be expressed as a weighted combination of partial structure factors defined for atom pairs coming from atoms of type i around atoms of type j as follows:
with weights and :
Then, the partial reduced pair distribution function can also be calculated as a sine Fourier sine transformation of the corresponding partial structure factor:
DN(r) can be expressed as a combination of :
We note that, for DX(r), Equation (7) is not strictly fulfilled because of the Q-dependence of wij weights. Nevertheless, the approximate equality can be used in a way similar to the case of DN(r).
3. Results
3.1. The As-Prepared State of the Alloys—Mechanical Properties
To start the characterisation of the as-prepared Mg-Zn-Ca specimens, their chemical compositions were verified by EDX. Small deviations between aimed and obtained chemical compositions were detected, especially for the concentration of Ca, which varies between 6 and 7 at.%. The mass density gradually increases from 1.72 g·cm−3 to 4.4 g·cm−3 as the compositions varies from Mg90Zn3Ca7 to Mg30Zn63Ca7. Mechanical properties such as elastic modulus and hardness were measured. It is confirmed that specimens prepared in an amorphous state have an elastic modulus in the range from 49 to 59 GPa and hardness between 3.6 and 5.0 GPa. All of the above-mentioned physical quantities are listed together for amorphous and crystalline Mg93−xZnxCa7 specimens in Table 1.
Table 1.
Chemical composition, phase, mass density, and corresponding calculated atomic mass density, hardness, and elastic modulus of the as-prepared Mg93−xZnxCa7 alloys.
3.2. The As-Prepared State of the Alloys—Structural Characterisation
The X-ray scattering signals, IX(Q), collected from a series of as-prepared Mg93−xZnxCa7 specimens, are shown in Figure 1. Those HEXRD data clearly demonstrate a fully amorphous character of Mg50Zn43Ca7, Mg60Zn33Ca7, and Mg70Zn23Ca7 by the absence of detectable sharp Bragg peaks and the presence of a broad first diffuse peak. While only a tiny trace of a crystalline Mg phase is detected in an amorphous matrix of Mg80Zn14Ca6, its presence is significant in Mg90Zn3Ca7. The appearance of strong Bragg peaks in scattering signals of Mg40Zn53Ca7, Mg30Zn63Ca7, and Mg20Zn73Ca7 also excludes the glassy character of these samples. Those peaks are mainly assigned to a hexagonal Ca4Mg13Zn29 phase (184415-ICSD) marked as an IM3-type structure in [31]. In the case of Mg20Zn73Ca7, a hexagonal CaZn11 (184413-ICSD) phase is also identified. The experimental observation of the glass forming ability of the Mg93−xZnxCa7 alloys is compared to a prediction for an Mg-Zn-Ca system based on a machine learning approach [32]. A colour map shown in Figure 1 displays the largest probability of particular Mg-Zn-Ca ternary compositions to form a metallic glass in the red. Considering a composition range of studied specimens along a line with 7 at.% Ca, the highest predicted probability for a formation of MG is in the range from x = 20 to x = 50 for Mg93−xZnxCa7. This prediction is fully confirmed experimentally by X-ray diffraction data.
Figure 1.
(left) The X-ray diffraction patterns of the as-prepared Mg93−xZnxCa7 specimens indicated by legend (intensity curves are vertically offset for clarity reasons) and (right) the Mg-Zn-Ca ternary colourmap showing a prediction of the glass forming probability calculated by a machine learning algorithm. The alloys prepared in this work identified as crystalline are marked by circles and those identified as amorphous are labelled by squares.
In order to extract information about a local atomic structure of identified amorphous Mg-Zn-Ca samples, structure factors and corresponding reduced pair distribution functions were calculated for Mg50Zn43Ca7, Mg60Zn33Ca7, and Mg70Zn23Ca7 using X-ray and neutron diffraction data, as shown in Figure 2. The structure factors are dominated by one diffuse peak referred to as a first diffraction peak (FDP) followed by a series of wigglers vanishing beyond 15 Å−1. However, in the case of Mg70Zn23Ca7, some sharper features in SN(Q) can be seen, indicating that the sample is not completely amorphous. The position of the FDP shifts to lower Q-values from 2.61 Å−1 to 2.53 Å−1 for SN(Q) and from 2.71 Å−1 to 2.52 Å−1 for SX(Q) as the atomic concentration of magnesium is increased.
Figure 2.
(a) Neutron and (b) X-ray structure factors and corresponding (c) neutron and (d) X-ray reduced pair distribution functions for Mg70Zn23Ca7, Mg60Zn33Ca7, and Mg50Zn43Ca7 (from top to bottom). Individual curves are vertically offset for clarity reasons.
The D(r) signal of each sample is quickly suppressed at higher r values, and only very weak oscillations are present beyond 10 Å, indicating the lack of long-range order. Furthermore, systematic changes in D(r)s with composition are detected. As can be seen in Figure 2c,d, positions of all of the oscillations including the first maximum shift to larger r values with the increase in Mg content. D(r) in the range of distances from 2 Å to 4 Å indicates the presence of only one maximum, but with a clear shape asymmetry, mainly detectable by X-ray data. The first maximum of D(r) is a subject of a particular interest as it contains direct structural information about the first coordination shell of an alloy. A shift of the maximum position to larger r values when magnesium substitutes zinc can be viewed as an expansion of the average interatomic distance of the first shell due to the replacement of a smaller Zn atom (1.332 Å) by larger Mg one (1.6 Å). On the other hand, the alteration of the total coordination number proportional to the atomic density and area under the first maximum is not significantly influenced when Mg atoms replace Zn ones, as listed in Table 2.
Table 2.
Total coordination numbers, NX and NN, calculated in the range of 2.3 Å to 4.0 Å from DX(r) and DN(r) functions, respectively.
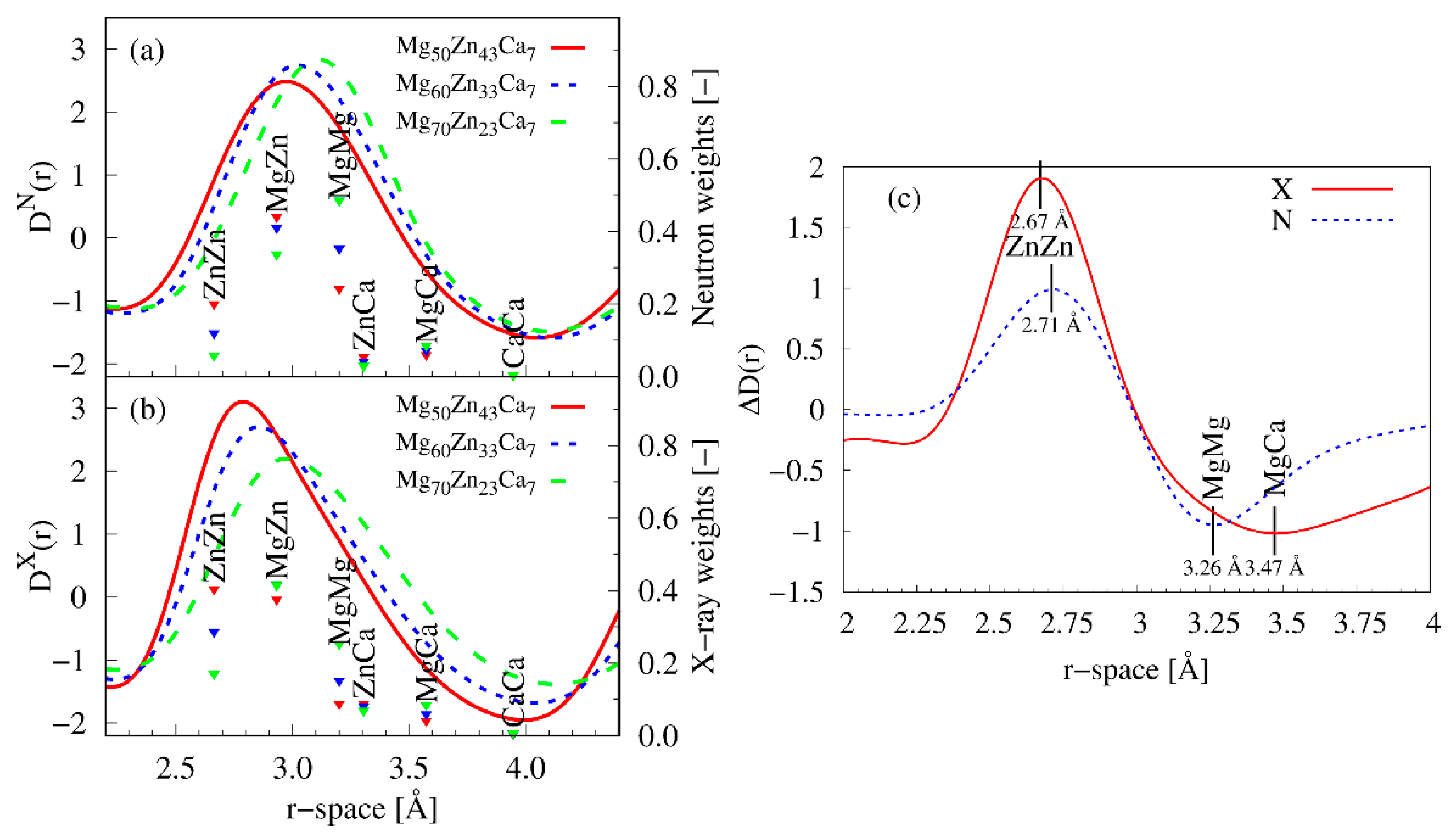
The interpretation of observed changes in D(r) is more challenging than one would anticipate. In a ternary system, six partial atomic pairs contribute simultaneously to the total D(r). The strength of individual contributions depends on the chemical composition of the alloy and an ability of the corresponding atoms to scatter X-rays and/or neutrons. In Figure 3a,b, the calculated X-ray and neutron weights of each partial reduced pair distribution function (see Equation (5)) of the investigated Mg-Zn-Ca alloys are displayed together with the part of total DX(r) and DN(r) functions corresponding to the first coordination shell. The position of atomic pairs was estimated on the basis of their metallic radii (rMg = 1.6 Å, rZn = 1.332 Å, rCa = 1.973 Å). The weights were calculated using the following values of X-ray atomic scattering factor (in electron units) and neutron coherent scattering length: fMg(0) = 12 e, fZn(0) = 30 e, fCa(0) = 20 e, bMg = 5.375 fm, bZn = 5.68 fm, and bCa = 4.7 fm. The atomic pairs contributing the most to both X-ray and neutron data are MgMg, MgZn, and ZnZn. Individual contributions of MgCa and ZnCa pairs to the total D(r) are weak and the effect of CaCa pairs on D(r) would be barely detectable either by X-rays or neutrons. The weight of MgMg pairs significantly rises as the amount of magnesium is increased in the sample, while the opposite behaviour is seen for ZnZn pairs. For clarity reasons, the X-ray and neutron weights of each of the studied Mg-Zn-Ca alloys are also listed in Table 3.
Figure 3.
The first maxima of (a) neutron and (b) X-ray reduced total pair distribution functions corresponding to the first coordination shells of Mg50Zn43Ca7, Mg60Zn33Ca7, and Mg70Zn23Ca7 together with neutron and X-ray weights (at Q = 0 Å) of the partial reduced pair distribution functions. (c) The difference curve, ΔD(r), between the total reduced pair distribution functions of Mg60Zn33Ca7 and Mg50Zn43Ca7 for neutrons (N) and X-rays (X) in the range of distances of the first coordination shell.
Table 3.
X-ray (at Q = 0 Å) and neutron weight coefficients, wX and wN, of each partial reduced pair distribution function of Mg50Zn23Ca7, Mg60Zn33Ca7, and Mg70Zn23Ca7.
Figure 3c shows the difference between the reduced pair distribution function of Mg50Zn43Ca7 and Mg70Zn23Ca7 for both types of radiations. The subtraction of the data for the sample with a higher Mg content from the data for the sample with a lower Mg content should result in positive peaks due to zinc correlations and negative peaks due to magnesium correlations. The positions of the maxima and minima in this difference curve could serve as a first guess for the estimation of the interatomic distances between different constituents. The detected maximum at 2.67 Å and 2.71 Å for X-ray and neutron data, respectively, is associated with ZnZn pairs, while the minimum at 3.26 Å should be assigned to MgMg pairs. Considering theoretical metallic radii, the minima at 3.47 Å could be attributed to MgCa correlations.
In the following step, attempts are made to deconvolute the first peaks of DN(r) and DX(r) into three Gaussian functions. A single Gaussian function is defined as , where A, p, and w stand for maximum/peak parameters: amplitude, peak position, and full width at the half maximum. Individual Gaussians are interpreted as representations of ZnZn, MgZn, and MgMg pair contributions. As discussed above, other pairs are neglected owing to their weak contribution to the measured diffraction data. In addition, the datasets of DN(r) and DX(r) are fitted simultaneously using the same parameters for peak positions and broadenings to decrease their uncertainties. While fitting in the case of Mg50Zn23Ca7 and Mg60Zn33Ca7 was relatively straightforward, Mg70Zn23Ca7 required further restrictions. To obtain a stable fit, peak positions for the first and third Gaussians were fixed at 2.71 Å and 3.27 Å, respectively. These restraints are proposed in accordance with the analysis based on the difference curves presented in Figure 3c. The result of the whole deconvolution procedure is displayed in Figure 4 and the final fitted parameter values are listed in Table 4. It is seen that the final fitting curves match the first peaks of both DN(r) and DX(r) nicely for all three alloys. Generally, it can be claimed that the obtained fits seem to be reasonable with physical expectations. The contribution of the ZnZn Gaussian is more pronounced for DX(r) than for DN(r), reflecting that the weight of the ZnZn partial structure factor is higher in the X-ray dataset (Table 3). Finally, an opposite tendency is observed for the MgMg Gaussian when DN(r) has a more pronounced contribution than DX(r), again mirroring the higher sensitivity of neutron data to Mg-related correlations.
Figure 4.
Decomposition of the first DX(r) and DN(r) into three Gaussians representing ZnZn, MgZn, and MgMg pairs for Mg50Zn43Ca7, Mg60Zn33Ca7, and Mg70Zn23Ca7.
Table 4.
Fitted Gaussian parameters representing ZnZn, MgZn, and MgMg pairs for Mg50Zn43Ca7, Mg60Zn33Ca7, and Mg70Zn23Ca7. Errors of individual parameters correspond to the fitting errors.
The MgMg nearest neighbour distance of 3.27 Å obtained here could be viewed as larger compared with values proposed by other studies of similar systems, suggesting 3.12 Å [33], 3.00–3.05 Å [34], 3.025 Å [35], or 3.10 Å [36], mainly based on molecular dynamics (MD) simulations. One may advocate that a shift of MgMg Gaussian to larger r values is just a consequence of neglecting contributions of ZnCa, MgCa, and CaCa pairs trying to compensate for their absence in the model. On the other hand, it was demonstrated for amorphous Mg72Zn28 using X-ray and neutron diffraction data that the MgMg pair distance is 3.2 Å, a value seemingly larger than that proposed by modelling. Values of ~2.7 Å and ~2.95 Å for ZnZn pairs and MgZn pairs, respectively, are within the range of values proposed by theoretical works [33,35,36].
3.3. The Thermal Evolution of the Glassy Alloys
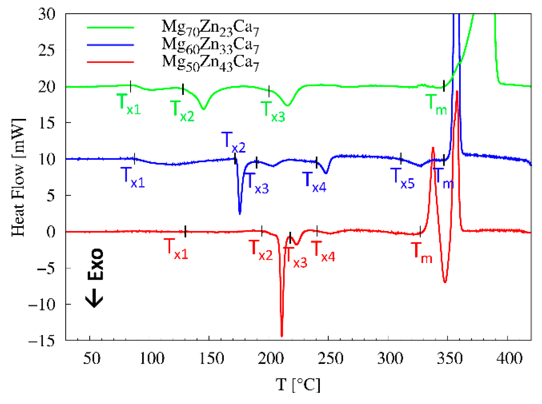
The thermal stability of Mg50Zn43Ca7, Mg60Zn33Ca7, and Mg70Zn23Ca7 was inspected by DSC measurements in the range of ambient temperature and 550 °C. The DSC curves displayed in Figure 5 show the presence of multiple exothermic events (their onsets are marked by Tx1, Tx2, Tx3, and so on), suggesting a complex devitrification process and one endothermic event Tm associated with melting. In the case of Mg70Zn23Ca7 and Mg60Zn33Ca7, the first exothermic event is clearly detected as a small exothermic peak with the onset Tx1 at ~87 °C followed by more pronounced second exothermic peaks Tx2 at 128 °C and 172 °C, respectively. the Mg50Zn43Ca7 DSC curve shows a shallow minimum appearing around TX1 ~130 °C followed by a sharp exothermic peak starting at TX2 ~205 °C, clearly indicating a crystallisation event. It can be concluded that a gradual substitution of Mg by Zn within the Mg93−xZnxCa7 system inhibits a first crystallisation event and leads to a better thermal stability at low temperatures. The melting temperature slightly decreases from 353 °C to 326 °C as a function of the increase in Zn.
Figure 5.
The DSC curves for Mg70Zn23Ca7, Mg60Zn33Ca7, and Mg50Zn43Ca7 (from top to bottom). Individual curves are vertically offset for clarity reasons.
In addition to DSC, in situ high temperature HEXRD measurements were performed for Mg60Zn33Ca7 and Mg50Zn43Ca7. Owing to technical issues during the beamtime, in situ data were not collected for Mg70Zn23Ca7. Diffraction patterns obtained uninterruptedly for the duration of the heating process from room temperature to 520 °C with a resolution of 5 °C per pattern are shown in Figure S1 as structure factor and reduced pair distribution function curves. Alike DSC, X-ray diffraction data confirm a complex temperature evolution of both Mg60Zn33Ca7 and Mg50Zn43Ca7 glasses. Firstly, structure factors possess a smooth character, demonstrating a glassy state of the samples. In the temperature range between 90 °C and 170 °C, only tiny changes in the region of the FDP of S(Q) are detectable in the form of a continuous formation of FDP splitting; see Figure 6. Those changes propose the formation of a minor nanocrystalline phase, but its phase identification was not possible at this stage by available XRD data. It is worthy to note that, observing corresponding D(r) curves, no changes are observed up to 4 Å (the first coordination shell). It can be proposed that the nearest atomic arrangement of a formed minor nanocrystalline phase could be very close to a local atomic arrangement of the amorphous matrix. The modest evolution of HEXRD patterns collected at low temperatures (between ~90 and 170 °C) is in a good accordance with the DSC data presented above, indicating a faint exothermic event in the same temperature interval.
Figure 6.
Selected structure factor and corresponding reduced pair distribution functions, S(Q) and D(r), collected at different temperatures during a first crystallisation event.
An undoubted formation of Bragg peaks is detected above ~164 °C and 201 °C for Mg60Zn33Ca7 and Mg50Zn43Ca7, respectively. It is clearly seen that some Bragg peaks appearing at an earlier stage later vanish and/or transform to new ones. At higher temperatures (above 350 °C), all Bragg peaks disappear, and diffraction patterns again have a diffuse profile, reflecting the liquid state of the samples. Crystallisation events observed by HEXRD are close to those detected by calorimetry measurements. They are compared and listed together in Table 5.
Table 5.
Crystallisation temperatures determined by DSC and in situ HEXRD measurements at a heating rate of 10 °C per minute.
The crystallisation processes of a similar system, Mg72−xZn24+xCa4 for x = 0, 2, 4, 8, 10, 12, and 14, have previously been investigated in detail using ex situ XRD by Zhang et al. [31]. They identified the formation of a cubic Mg51Zn20 phase at the early stage followed by the precipitation of an hcp-Mg phase and intermetallic compound IM1 (Ca3MgxZn15−x for 4.6 ≤ x ≤ 12 with Sc3Ni11Si3 prototype [37]) from the remaining amorphous matrix. At higher temperatures, the Mg51Zn20 phase disappeared and two other intermetallic compounds IM3 and IM4 were formed. Finally, before melting, the devitrification process ended with phases of hcp-Mg, IM1, and IM3 [31]. Phase analysis of our specimens, Mg60Zn33Ca7 and Mg50Zn43Ca7, was hampered by low angular resolution of the HEXRD setup, optimised for the study of amorphous systems. Selected diffraction patterns of Mg60Zn33Ca7 and Mg50Zn43Ca7 at different stages of their devitrification process are displayed in Figure 7. Nevertheless, we are able to confirm the precipitation of IM1-type and Mg phases during the second crystallization, and later followed by the formation of an IM3-type phase similar to Ca4Mg13Zn29 (184415-ICSD). The appearance and disappearance of an additional phase during the third crystallisation event for Mg60Zn33Ca7 was also observed. It is reasonable to identify it with the IM4 compound reported by Zhang et al. [31]. In contrast to the previous work, the crystallisation of Mg51Zn20 at the beginning of the devitrification process was not distinguished. Finally, comparing a diffraction pattern of Mg60Zn33Ca7 and Mg50Zn43Ca7 after all crystallisation events and before melting, it seems that the higher Zn concentration resulted in a more pronounced presence of the IM1 phase (see Figure 7).
Figure 7.
The selected S(Q) curves for Mg60Zn33Ca7 (left and Mg50Zn43Ca7 (right) obtained at different temperatures (indicated by legend) together with relative intensity plots of proposed crystalline phases IM3, IM1, Mg51Zn20, and hcp-Mg from top to bottom (indicated by legend). Individual S(Q) curves are vertically offset for clarity reasons.
4. Conclusions
It was demonstrated that amorphous ribbon alloys of the Mg93−xZnxCa7 system can be fabricated in the range of 20 < x < 50 at.%. The structure of as-prepared glassy alloys Mg70Zn23Ca7, Mg60Zn33Ca7, and Mg50Zn43Ca7 was investigated by means of atomic pair distribution analysis employing high-energy X-ray diffraction and neutron diffraction data. While the first maximum of reduced pair distribution functions gradually modifies its shape and shifts to larger r values with the decrease in Zn concentration, the total coordination number remains close to 12, without a significant change. Simultaneous fitting of the first peaks of DX(r) and DN(r) functions by three Gauss functions enables to approximate the contributions of MgMg, MgZn, and ZnZn pairs. Their nearest interatomic distances were estimated to be ~3.27 Å, ~2.95 Å, and ~2.7 Å. In order to determine the contributions of the remaining pairs (MgCa, ZnCa, and CaCa), additional experimental data would be required, involving techniques such as Ca K-edge extended X-ray absorption spectroscopy or neutron diffraction with isotopic substitutions, bringing their own challenges in data collection and sample preparation. The basic mechanical characterisation of the as-prepared amorphous specimens revealed a weak systematic influence of the chemical composition on the elastic modulus and hardness. The devitrification process of the samples was investigated by DSC and in situ HEXRD measurements. For all three glassy alloys (Mg70Zn23Ca7, Mg60Zn33Ca7 and Mg50Zn43Ca7), a complex crystallisation path was observed, exhibiting at least four crystallisation events. It was observed that the first crystallisation was inhibited with the increase in Zn content. At earlier stages of devitrification, the formation of hcp-Mg and intermetallic IM1 phases was recognised, followed by the precipitation of the intermetallic IM3 phase. For future work, Mg70Zn23Ca7, Mg60Zn33Ca7, and Mg50Zn43Ca7 could be used as precursors for microalloying with the aim to improve their mechanical properties (e.g., plasticity).
Supplementary Materials
The following supporting information can be downloaded at https://www.mdpi.com/article/10.3390/ma16062313/s1. Figure S1: SX(Q) and DX(r) temperature evolution during in situ HEXRD measurements.
Author Contributions
Conceptualization, K.S.; validation, K.S., Š.M. and P.J.; formal analysis, Š.M. and M.Š.; investigation, Š.M., Z.M., M.Š., K.K., P.J., J.D. and K.S.; resources, K.S., Š.M. and J.D.; data curation, Š.M., J.D. and P.J.; writing—original draft preparation, Š.M.; writing—review and editing, Š.M., Z.M., M.Š., K.K., P.J., J.D. and K.S.; visualization, Š.M.; supervision, K.S., Š.M. and P.J.; project administration, K.S. and Z.M.; funding acquisition, K.S. All authors have read and agreed to the published version of the manuscript.
Funding
This work was supported by the Slovak Research and Development Agency under contract No. APVV-20-0205, APVV-20-0138, SK-PL-21-0022, APVV-21-0274, APVV-20-0068, and APVV-17-0008. The authors are grateful to the Scientific Grant Agency of the Ministry of Education, Science, Research, and Sport of the Slovak Republic and the Slovak Academy of Sciences (VEGA project No. 2/0039/22). P.J. was supported by the ELKH project “Structure of energy storage materials”.
Institutional Review Board Statement
Not applicable.
Informed Consent Statement
Not applicable.
Data Availability Statement
Data will be made available upon request.
Acknowledgments
We thank Deutsches Elektronen-Synchrotron (DESY) for provision of the storage ring-based X-ray radiation source PETRA III in using the beamline P21.1, proposal I-20190621 EC. This work was carried out with the support of Diamond Light Source, instrument (beamline) I12-JEEP. The neutron diffraction data experiment was carried out at the ORPHÉE reactor, Laboratoire Léon Brillouin, CEA-Saclay, France. Beáta Balloková is acknowledged for her assistance with measurements of elasticity and hardness properties.
Conflicts of Interest
The authors declare no conflict of interest. The funders had no role in the design of the study; in the collection, analyses, or interpretation of data; in the writing of the manuscript; or in the decision to publish the results.
References
- Li, H.F.; Zheng, Y.F. Recent Advances in Bulk Metallic Glasses for Biomedical Applications. Acta Biomater. 2016, 36, 1–20. [Google Scholar] [CrossRef] [PubMed]
- Kaushik, N.; Sharma, P.; Ahadian, S.; Khademhosseini, A.; Takahashi, M.; Makino, A.; Tanaka, S.; Esashi, M. Metallic Glass Thin Films for Potential Biomedical Applications. J. Biomed. Mater. Res. B Appl. Biomater. 2014, 102, 1544–1552. [Google Scholar] [CrossRef]
- Zberg, B.; Uggowitzer, P.J.; Löffler, J.F. MgZnCa Glasses without Clinically Observable Hydrogen Evolution for Biodegradable Implants. Nat. Mater. 2009, 8, 887–891. [Google Scholar] [CrossRef] [PubMed]
- Zheng, Y.F.; Gu, X.N.; Witte, F. Biodegradable Metals. Mater. Sci. Eng. R Rep. 2014, 77, 1–34. [Google Scholar] [CrossRef]
- Liu, Y.; Zheng, Y.; Chen, X.; Yang, J.; Pan, H.; Chen, D.; Wang, L.; Zhang, J.; Zhu, D.; Wu, S.; et al. Fundamental Theory of Biodegradable Metals—Definition, Criteria, and Design. Adv. Funct. Mater. 2019, 29, 1805402. [Google Scholar] [CrossRef]
- Li, H.; Pang, S.; Liu, Y.; Sun, L.; Liaw, P.K.; Zhang, T. Biodegradable Mg-Zn-Ca-Sr Bulk Metallic Glasses with Enhanced Corrosion Performance for Biomedical Applications. Mater. Des. 2015, 67, 9–19. [Google Scholar] [CrossRef]
- Zhang, X.L.; Chen, G.; Bauer, T. Mg-Based Bulk Metallic Glass Composite with High Bio-Corrosion Resistance and Excellent Mechanical Properties. Intermetallics 2012, 29, 56–60. [Google Scholar] [CrossRef]
- Zhao, Y.Y.; Ma, E.; Xu, J. Reliability of Compressive Fracture Strength of Mg–Zn–Ca Bulk Metallic Glasses: Flaw Sensitivity and Weibull Statistics. Scr. Mater. 2008, 58, 496–499. [Google Scholar] [CrossRef]
- Biały, M.; Hasiak, M.; Łaszcz, A. Review on Biocompatibility and Prospect Biomedical Applications of Novel Functional Metallic Glasses. J. Funct. Biomater. 2022, 13, 245. [Google Scholar] [CrossRef]
- Jin, C.; Liu, Z.; Yu, W.; Qin, C.; Yu, H.; Wang, Z. Biodegradable Mg–Zn–Ca-Based Metallic Glasses. Materials 2022, 15, 2172. [Google Scholar] [CrossRef]
- Li, Y.; Liang, Z.; Yang, L.; Zhao, W.; Wang, Y.; Yu, H.; Qin, C.; Wang, Z. Surface Morphologies and Mechanical Properties of Mg-Zn-Ca Amorphous Alloys under Chemistry-Mechanics Interactive Environments. Metals 2019, 9, 327. [Google Scholar] [CrossRef]
- Fijołek, A.; Lelito, J.; Krawiec, H.; Ryba, J.; Rogal, Ł. Corrosion Resistance of Mg72Zn24Ca4 and Zn87Mg9Ca4 Alloys for Application in Medicine. Materials 2020, 13, 3515. [Google Scholar] [CrossRef] [PubMed]
- Li, J.; Gittleson, F.S.; Liu, Y.; Liu, J.; Loye, A.M.; McMillon-Brown, L.; Kyriakides, T.R.; Schroers, J.; Taylor, A.D. Exploring a Wider Range of Mg–Ca–Zn Metallic Glass as Biocompatible Alloys Using Combinatorial Sputtering. Chem. Commun. 2017, 53, 8288–8291. [Google Scholar] [CrossRef] [PubMed]
- Billinge, S.J.L.; Kanatzidis, M.G. Beyond Crystallography: The Study of Disorder, Nanocrystallinity and Crystallographically Challenged Materials with Pair Distribution Functions. Chem. Commun. 2004, 7, 749–760. [Google Scholar] [CrossRef]
- Hirata, A.; Hirotsu, Y. Structure Analyses of Fe-Based Metallic Glasses by Electron Diffraction. Materials 2010, 3, 5263–5273. [Google Scholar] [CrossRef]
- Fischer, H.E.; Barnes, A.C.; Salmon, P.S. Neutron and X-ray Diffraction Studies of Liquids and Glasses. Rep. Prog. Phys. 2006, 69, 233–299. [Google Scholar] [CrossRef]
- Pethes, I.; Jóvári, P.; Michalik, S.; Wagner, T.; Prokop, V.; Kaban, I.; Száraz, D.; Hannon, A.; Krbal, M. Short Range Order and Topology of Binary Ge-S Glasses. J. Alloy. Compd. 2023, 936, 168170. [Google Scholar] [CrossRef]
- Hoppe, U.; Kranold, R.; Barz, A.; Stachel, D.; Neuefeind, J. The Structure of Vitreous P2O5 Studied by High-Energy X-ray Diffraction. Solid State Commun. 2000, 115, 559–562. [Google Scholar] [CrossRef]
- Dove, M.T.; Li, G. Review: Pair Distribution Functions from Neutron Total Scattering for the Study of Local Structure in Disordered Materials. Nucl. Anal. 2022, 1, 100037. [Google Scholar] [CrossRef]
- Peterson, P.F.; Keen, D.A. Illustrated Formalisms for Total Scattering Data: A Guide for New Practitioners. Corrigendum and Addendum. J. Appl. Crystallogr. 2021, 54, 1542–1545. [Google Scholar] [CrossRef]
- Keen, D.A. A Comparison of Various Commonly Used Correlation Functions for Describing Total Scattering. J. Appl. Crystallogr. 2001, 34, 172–177. [Google Scholar] [CrossRef]
- Hegedüs, Z.; Müller, T.; Hektor, J.; Larsson, E.; Bäcker, T.; Haas, S.; Conceiçao, A.; Gutschmidt, S.; Lienert, U. Imaging Modalities at the Swedish Materials Science Beamline at PETRA III. IOP Conf. Ser. Mater. Sci. Eng. 2019, 580, 012032. [Google Scholar] [CrossRef]
- Drakopoulos, M.; Connolley, T.; Reinhard, C.; Atwood, R.; Magdysyuk, O.; Vo, N.; Hart, M.; Connor, L.; Humphreys, B.; Howell, G.; et al. I12: The Joint Engineering, Environment and Processing (JEEP) Beamline at Diamond Light Source. J. Synchrotron Radiat. 2015, 22, 828–838. [Google Scholar] [CrossRef] [PubMed]
- Hart, M.L.; Drakopoulos, M.; Reinhard, C.; Connolley, T. Complete Elliptical Ring Geometry Provides Energy and Instrument Calibration for Synchrotron-Based Two-Dimensional X-ray Diffraction. J. Appl. Crystallogr. 2013, 46, 1249–1260. [Google Scholar] [CrossRef] [PubMed]
- Filik, J.; Ashton, A.W.; Chang, P.C.Y.; Chater, P.A.; Day, S.J.; Drakopoulos, M.; Gerring, M.W.; Hart, M.L.; Magdysyuk, O.v.; Michalik, S.; et al. Processing Two-Dimensional X-Ray Diffraction and Small-Angle Scattering Data in DAWN 2. J. Appl. Crystallogr. 2017, 50, 959–966. [Google Scholar] [CrossRef]
- Egami, T.; Billinge, S.J.L. Underneath the Bragg Peaks: Structural Analysis of Complex Materials; Cahn, R.W., Ed.; Pergamon: King of Prussia, PA, USA, 2003; ISBN 9780080426983. [Google Scholar]
- Dutta, B.N.; Dayal, B. Lattice Constants and Thermal Expansion of Gold up to 878 °C by X-Ray Method. Phys. Status Solidi B 1963, 3, 473–477. [Google Scholar] [CrossRef]
- Cuello, G.J.; Darpentigny, J.; Hennet, L.; Cormier, L.; Dupont, J.; Homatter, B.; Beuneu, B. 7C2, the New Neutron Diffractometer for Liquids and Disordered Materials at LLB. J. Phys. Conf. Ser. 2016, 746, 012020. [Google Scholar] [CrossRef]
- Bizid, A.; Defrain, A.; Bellissent, R.; Tourand, G. Neutron Diffraction Investigation and Structural Model for Liquid Gallium from Room Temperature up to 1 303 K. J. Phys. 1978, 39, 554–560. [Google Scholar] [CrossRef]
- Faber, T.E.; Ziman, J.M. A Theory of the Electrical Properties of Liquid Metals. Philos. Mag. 1965, 11, 153–173. [Google Scholar] [CrossRef]
- Zhang, Y.N.; Rocher, G.J.; Briccoli, B.; Kevorkov, D.; Liu, X.B.; Altounian, Z.; Medraj, M. Crystallization Characteristics of the Mg-Rich Metallic Glasses in the Ca–Mg–Zn System. J. Alloys Compd. 2013, 552, 88–97. [Google Scholar] [CrossRef]
- Ren, F.; Ward, L.; Williams, T.; Laws, K.J.; Wolverton, C.; Hattrick-Simpers, J.; Mehta, A. Accelerated Discovery of Metallic Glasses through Iteration of Machine Learning and High-Throughput Experiments. Sci. Adv. 2018, 4, eaaq1566. [Google Scholar] [CrossRef] [PubMed]
- Ju, S.-P.; Huang, H.-H.; Huang, J.C.-C. Predicted Atomic Arrangement of Mg67Zn28Ca5 and Ca50Zn30Mg20 Bulk Metallic Glasses by Atomic Simulation. J. Non-Cryst. Solids 2014, 388, 23–31. [Google Scholar] [CrossRef]
- Christie, J.K. Atomic Structure of Biodegradable Mg-Based Bulk Metallic Glass. Phys. Chem. Chem. Phys. 2015, 17, 12894–12898. [Google Scholar] [CrossRef] [PubMed]
- Gulenko, A.; Forto Chungong, L.; Gao, J.; Todd, I.; Hannon, A.C.; Martin, R.A.; Christie, J.K. Atomic Structure of Mg-Based Metallic Glasses from Molecular Dynamics and Neutron Diffraction. Phys. Chem. Chem. Phys. 2017, 19, 8504–8515. [Google Scholar] [CrossRef]
- Mahjoub, R.; Laws, K.J.; Scicluna, J.P.; Daniels, J.E.; Ferry, M. A First Principles Molecular Dynamics Study of the Relationship between Atomic Structure and Elastic Properties of Mg–Zn–Ca Amorphous Alloys. Comput. Mater. Sci. 2015, 96, 246–255. [Google Scholar] [CrossRef]
- Zhang, Y.N.; Kevorkov, D.; Bridier, F.; Medraj, M. Morphological and Crystallographic Characterizations of the Ca-Mg-Zn Intermetallics Appearing in Ternary Diffusion Couples. Adv. Mater. Res. 2011, 409, 387–392. [Google Scholar]
Disclaimer/Publisher’s Note: The statements, opinions and data contained in all publications are solely those of the individual author(s) and contributor(s) and not of MDPI and/or the editor(s). MDPI and/or the editor(s) disclaim responsibility for any injury to people or property resulting from any ideas, methods, instructions or products referred to in the content. |
© 2023 by the authors. Licensee MDPI, Basel, Switzerland. This article is an open access article distributed under the terms and conditions of the Creative Commons Attribution (CC BY) license (https://creativecommons.org/licenses/by/4.0/).






