Anaerobic Biodegradability of Commercial Bioplastic Products: Systematic Bibliographic Analysis and Critical Assessment of the Latest Advances
Abstract
1. Introduction
2. Bioplastics: Definitions and Classification
- Bio-based aliphatic polyesters (PLA, PBS, PHAs);
- Cellulose-based bioplastics;
- Starch-based bioplastics;
- Bio-based aromatic polyesters (polyethylene furanoate, PEF);
- Bio-based polyurethanes;
- Fossil-derived biodegradable polymers (PVA, PBAT, PCL, Polyglycolic acid, PLGA).
2.1. PHAs
2.2. TPS
2.3. PLA
2.4. PCL
2.5. PBS
2.6. PBAT
3. Bioplastics Biodegradation
3.1. General Concepts and Influencing Factors
3.2. Biodegradation Mechanisms
3.3. Microbiology of Bioplastics Biodegradation
3.4. Biodegradation Monitoring Techniques
4. Methods
- Volume of the scientific production in the field and its time evolution, to highlight emerging research trends on the topic;
- Geographic distribution of the scientific studies, to identify the geographic areas most concerned on bioplastics degradability-related issues;
- Research areas, to visualize the main scientific fields of investigation;
- Frequency of keywords occurrence, to pick out research hot topics;
- Co-occurrence network of keywords, to find central keywords and clusters of research themes.
5. Summary and Discussion of Literature Data on Anaerobic Degradation of Bioplastics
5.1. General Bibliographic Analysis
- Cluster 1 included the main features of anaerobic digestion of bioplastics as well as co-digestion with other organic residues in the framework of waste management, with a focus on biogas production, digestion conditions, and pre-treatment;
- Cluster 2 included topics related to a comparative assessment of bioplastic degradation during composting and anaerobic digestion, modelling of the process mechanisms and kinetics as well as assessment of residual microplastics;
- Cluster 3 grouped the studies on specific bioplastic types (PCL, PLA, starch blends, composite materials);
- Cluster 4 addressed the microbial issues involved in bioplastics degradation and biopolymers generated by the fermentation of organic residues (PHA, PHB);
- Cluster 5 grouped the topics related to the evaluation of bioplastics degradability and the corresponding testing methods.
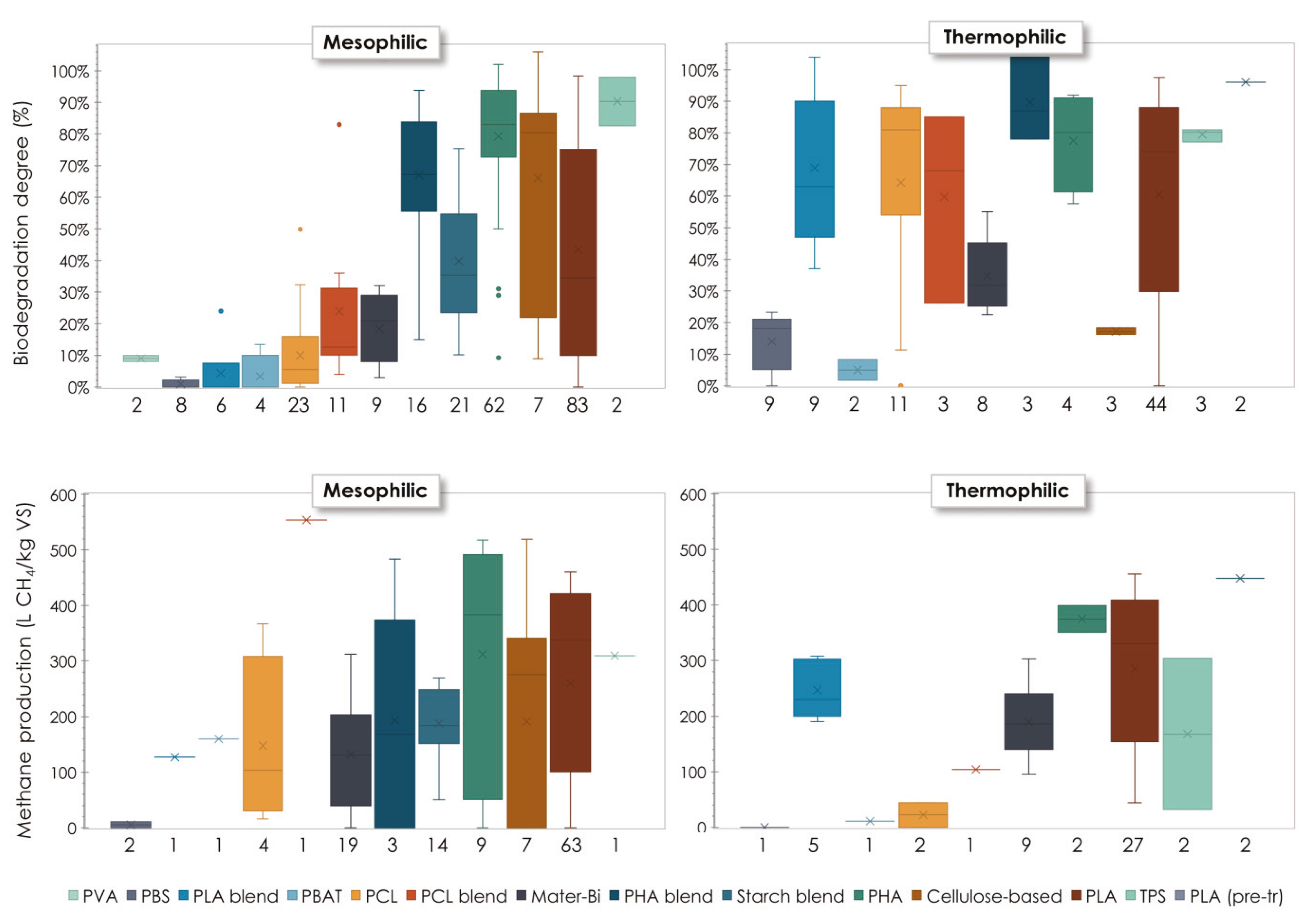
5.2. Discussion of Literature Data
- Materials displaying a generally low specific methane/biogas production and a related low degree of substrate conversion under all conditions reported in the searched literature. These include PBAT, PBS, PCL, PVA, Mater-Bi, and PLA blends, which—at least for the investigated conditions—are regarded to be poorly affected by biochemical anaerobic degradation reactions at mesophilic temperatures;
- Materials displaying typically high values of the specific methane/biogas production and the biodegradation degree. The range of polymer types belonging to this group is much narrower and includes several variants of PHAs (PHB, PHBV, PHBO, and their blends), confirming their widely demonstrated high degradability and TPS;
- Materials showing a notably variable response to anaerobic degradation, which is largely affected by the biopolymer properties and the digestion conditions as explained above. This group is made of cellulose and starch-based bioplastics as well as PLA. For these materials, the literature data are notably scattered and do not allow us to derive any conclusive general remark about their biodegradability profile.
6. Conclusions
- The research on the topic is relatively new and has progressed considerably over the last two decades, moving from a general assessment of different biopolymers and their degradation to the evaluation of the environmental behavior of bioplastics and of the most suitable management strategies once they are discarded as wastes. It was also evident that interest in the topic has grown remarkably over the last two years, likely as a result of, among other factors, those related to the implementation of environmental policies on single-use plastic products in different countries all over the world. This testifies that the assessment of the environmental behavior of bioplastics is currently a hot topic that will deserve further attention in the years to come;
- The data extracted during the detailed analysis of the available literature (regarding the polymer characteristics, the testing conditions, the analytical techniques used to assess biodegradation, the observed biogas/methane production yield, and the estimated degree of biodegradation) indicated that the investigated bioplastics can be grouped into three main categories with regard to their response to anaerobic degradation (at least within the investigated conditions available):
- -
- PHAs and TPS in most cases display high levels of biodegradation regardless of the test conditions;
- -
- PBAT, PBS, PVA, and Mater-Bi show a low degree of conversion regardless of the temperature regime (mesophilic or thermophilic) of the degradation process;
- -
- PLA, PCL, and various PLA blends have a notably large variability in their biodegradation behavior, although this is observed to improve or to be less scattered when shifting to thermophilic conditions.
- At the current state of the art of biological treatment of bioplastics, the application of anaerobic digestion for the purpose of energy recovery would be feasible and economically viable for some selected types of bioplastics only. In particular, various types of PHAs, PLA, TPS, and cellulose-based polymers were found to display relatively high methane production yields, with average values between ~260 and ~380 L CH4/kgVS under mesophilic conditions and between ~170 and ~450 L CH4/kgVS under thermophilic conditions.
- The experimental investigations were mainly carried out on pure biopolymers or ad hoc synthesized blends, while studies of commercial products are currently much more limited. Understanding the behavior of commercial bioplastic products also requires detailed knowledge of the composition of the specific blend of concern and its influence on the biodegradation features. Since the proprietary formulation of commercial blends may vary—even remarkably, depending on the intended uses of the bioplastic material—it is extremely important to relate the nature of the polymeric matrix to its biodegradation characteristics;
- While anaerobic degradation was mainly monitored through measurements of the evolved methane/biogas, additional advanced analytical techniques would be useful to describe the complex mechanisms involved in the degradation pathways;
- Harmonizing the approaches to the evaluation of bioplastic degradation and the way of expressing data is recommended to facilitate the comparison of experimental results and allow a thorough understanding of the process;
- Most of the studies have been carried out under mesophilic conditions and in a batch mode at the laboratory scale; therefore, exploring the real behavior of bioplastics at a larger scale is a matter deserving more extensive exploration. Further attention should also be paid to the effect of the degradation conditions on the kinetics and yields of the transformations involved, which may also assist in the identification of potentially useful pre-treatments that may be applied to enhance biodegradability;
- With regard to the management of bioplastic waste, in a short-to-medium-term scenario in which the collection and treatment of such residues is envisaged to be performed together with biowaste, it would be of paramount importance to assess the quality of the final digestate and its potential ecotoxicity. This would be required to identify potential environmental issues related to the presence of residual bioplastics (including microparticles).
Author Contributions
Funding
Institutional Review Board Statement
Informed Consent Statement
Data Availability Statement
Conflicts of Interest
Appendix A
| Class | Bioplastic Type | Size and Shape | T | Test Conditions | Time | Biogas/Methane Production | Degree of Biodegr. | Pre-Treatment | Biodegr. Eval. | Mass Loss | Analytical Techniques | Visual Insp. | Microb. Charact. | Ref. | |||||
|---|---|---|---|---|---|---|---|---|---|---|---|---|---|---|---|---|---|---|---|
| (°C) | (d) | (1) | (2) | (3) | (4) | (5) | (6) | (%) | (%) | ||||||||||
| Cellulose-based | Bioceta (Cellulose acetate) | 5 × 5 mm, 90 μm of thickness film | 35 | Plastic: 600 mg L−1. Inoculum: domestic sewage sludge | 60 | - | 22 * | CH4 & biogas | [113] | ||||||||||
| Cellulose-based | Sugar cane cellulosic fiber plates | 2 mm | 37 | ISR = 2 (VS basis) | 250 | 391.1 | CH4 | [114] | |||||||||||
| Cellulose-based | Sugar cane cellulosic fiber plates | 2 mm | 37 | ISR = 2 (VS basis) | 250 | 342.6 | 48 h, acidic pretreatment (HCl) to pH = 2 | CH4 | |||||||||||
| Cellulose-based | Sugar cane cellulosic fiber plates | 2 mm | 37 | ISR = 2 (VS basis) | 250 | 339.9 | 48 h, alkaline pretreatment (NaOH) to pH = 12 | CH4 | |||||||||||
| Cellulose-based | Cellulose-based metallised film | 1 × 1 cm film | 37 | Plastic to inoculum ratio: 0.25 (VS basis). Inoculum: digestate from a mesophilic digester treating municipal wastewater biosolids | 65 | - | 74.3 | 88.9 | [115] | ||||||||||
| Cellulose-based | Cellulose-based heat-sealable film | 1 × 1 cm film | 37 | Plastic to inoculum ratio: 0.25 (VS basis). Inoculum: digestate from a mesophilic digester treating municipal wastewater biosolids | 65 | - | 86.6 | 98.3 | |||||||||||
| Cellulose-based | Cellulose-based high barrier heat-sealable film | 1 × 1 cm film | 37 | Plastic to inoculum ratio: 0.25 (VS basis). Inoculum: digestate from a mesophilic digester treating municipal wastewater biosolids | 65 | - | 84 | 98.0 | |||||||||||
| Cellulose-based | Cellulose-based non heat-sealable film | 1 × 1 cm film | 37 | Plastic to inoculum ratio: 0.25 (VS basis). Inoculum: digestate from a mesophilic digester treating municipal wastewater biosolids | 65 | - | 80.4 | 96.4 | |||||||||||
| Cellulose-based | Cellulose diacetate film | 1 × 1 cm film | 37 | Plastic to inoculum ratio: 0.25 (VS basis). Inoculum: digestate from a mesophilic digester treating municipal wastewater biosolids | 65 | - | 8.9 | 10.3 | |||||||||||
| Cellulose-based | Cellulosic plates | Plate | 35 | Plastic to inoculum ratio: 0.25 (VS basis). Inoculum: digestate from a mesophilic digester treating municipal wastewater biosolids | 44 | 311 | CH4 | 100 | x | [116] | |||||||||
| Cellulose-based | Cellulosic plates | Plate | 35 | Plastic to inoculum ratio: 0.25 (VS basis). Inoculum: digestate from a mesophilic digester treating municipal wastewater biosolids | 30 | 304 | CH4 | 100 | x | ||||||||||
| Cellulose-based | Cellulosic plates | Plate | 35 | Plastic to inoculum ratio: 0.25 (VS basis). Inoculum: digestate from a mesophilic digester treating municipal wastewater biosolids | 15 | 276 | CH4 | 99.9 | x | ||||||||||
| Cellulose-based | Cellulose acetate | 25 × 25 mm | 37 | 400 g (ww) inoculum + 4.74 g (ww) CA; I/S = 2 (VS basis) | 30 | 519.3 | 106 | CH4 | x | [117] | |||||||||
| Mater-Bi | Mater-Bi (PCL + starch, Novamont) | Pieces of plastic bag < 1 mm | 35 | Plastic: 1 g. Inoculum: 5 mL of pig slurry mixed with synthetic medium for methanogens and acclimated to mesophilic anaerobic condition | 90 | 33 | 6 | x | [12] | ||||||||||
| Mater-Bi | Mater-Bi (Starch + PE, AF08H, Novamont) | 2 × 15 cm strips | 35 | Inoculum: Mixture of sewage sludge treating domestic sewage and paper sludge (3:1 ratio) | 40 | - | 32 | 53 | FT-IR; NMR; UV/VIS | x | [118] | ||||||||
| Mater-Bi | Mater-Bi (Starch + PE, AF10H, Novamont) | 2 × 15 cm strips | 35 | Inoculum: Mixture of sewage sludge treating domestic sewage and paper sludge (3:1 ratio) | 40 | - | 30 | 53 | FT-IR; NMR; UV/VIS | x | |||||||||
| Mater-Bi | Mater-Bi (60% starch, 40% hydrophilic resin) | Whole bag | 35 | Plastic to inoculum ratio: 0.5 (VS basis). Inoculum: liquid digestate from an anaerobic digester fed with manure, agro-wastes and residues | 15 | 144 | CH4 | 27.5 | x | [116] | |||||||||
| Mater-Bi | Mater-Bi (60% starch, 40% hydropilic resin) | Whole bag | 35 | Inoculum: liquid digestate from a full-scale mesophilic digester fed with manure and agro-wastes | 15 | 203 | Alkaline pretreatment (NaOH, 5% TS), 24 h | CH4 | 78.2 | x | |||||||||
| Mater-Bi | Mater-Bi (60% starch, 40% hydropilic resin) | Shredded bag (1 × 1 cm) | 35 | Inoculum: liquid digestate from a full-scale mesophilic digester fed with manure and agro-wastes | 15 | 117 | Mechanical shredding | CH4 | 29.3 | x | |||||||||
| Mater-Bi | Mater-Bi (60% starch, 40% hydropilic resin) | Pre-digested bag (1 × 1 cm) | 35 | Inoculum: liquid digestate from a full-scale mesophilic digester fed with manure and agro-wastes | 15 | 33 | Pre-digestion treatment (mesophilic) | CH4 | 4.8 | x | |||||||||
| Mater-Bi | Mater-Bi (60% starch, 40% hydropilic resin) | Pre-digested bag (1 × 1 cm) | 35 | Inoculum: liquid digestate from a full-scale mesophilic digester fed with manure and agro-wastes | 15 | 27 | Alkaline pre-treatment (NaOH, 5% TS, 24 h) on pre-digested (mesophilic) samples | CH4 | −0.3 | x | |||||||||
| Mater-Bi | Mater-Bi (60% starch, 40% hydropilic resin) | Whole bag | 35 | Inoculum: liquid digestate from a full-scale mesophilic digester fed with manure and agro-wastes, pre-acclimated | 15 | 42 | CH4 | x | |||||||||||
| Mater-Bi | Mater-Bi (60% starch, 40% hydropilic resin) | Pre-digested bag (1 × 1 cm) | 35 | Inoculum: liquid digestate from a full-scale mesophilic digester fed with manure and agro-wastes, pre-acclimated | 15 | 66 | Pre-digestion treatment (mesophilic) | CH4 | x | ||||||||||
| Mater-Bi | Mater-Bi (60% starch, 40% hydropilic resin) | Pre-digested bag (1 × 1 cm) | 35 | Inoculum: liquid digestate from a full-scale mesophilic digester fed with manure and agro-wastes, pre-acclimated | 15 | 70 | Alkaline pre-treatment (NaOH, 5% TS, 24 h) on pre-digested (mesophilic) samples | CH4 | x | ||||||||||
| Mater-Bi | Mater-Bi (PCL+Starch+Glycerin, ZI01U, Novamont) | Film | 35 | Inoculum: anaerobic sludge from an anaerobic digester. Method: ASTM D 5511-94 | 81 | 203.6 | 21 | X | TGA, SEM | [119] | |||||||||
| Mater-Bi | Mater-Bi (PCL+Starch+Glycerin, ZI01U, Novamont) | Pellets | 35 | Inoculum: anaerobic sludge from an anaerobic digester. Method: ASTM D 5511-94 | 81 | 96.4 | 10 | X | SEM | ||||||||||
| Mater-Bi | Mater-Bi (Starch + PCL, Novamont) | 2 × 2 cm film 20 μm of thickness | 35 | 28 | 485.2 | 23 | X | 44.8 | FTIR, SEC, NMR, DSC | X | [70] | ||||||||
| Mater-Bi | Mater-Bi ZF03U (PCL + starch, Novamont) | 5 × 5 mm 35 μm of thickness | 35 | Plastic: 600 and 400 mg L−1. Inoculum: domestic sewage sludge | 60 | 28 | CH4 & biogas | [113] | |||||||||||
| Mater-Bi | Mater-Bi (Novamont) | 0.5–1 mm film | 35 | Plastic to inoculum ratio: 0.6–1 (TS basis). Inoculum: anaerobic sludge from an anaerobic digestion plant treating effluents from a brewery Method: ASTM D5526-94d. | 32 | 220 | [120] | ||||||||||||
| Mater-Bi | Mater-Bi bags | 10 × 10 mm film | 37 | Inoculum: anaerobic sludge from an anaerobic digestion plant treating municipal wastewater | 180 | 30.4 | 2.9 | X | FTIR, DSC, microscopy | x | [121] | ||||||||
| Mater-Bi | Mater-Bi coffee capsules | <1 mm | 38 | Inoculum: sludge from a wastewater treatment plant, acclimated in the lab at 38 °C. Digestion conditions: ISR = 2.7 (VS basis), VS content = 9 g/L | 100 | 67 | 12 | X | x | [95] | |||||||||
| PBAT | PBAT | 2 × 2 cm film 20 μm of thickness | 35 | 28 | 0 | X | 44.8 | FTIR, SEC, NMR, DSC | x | [70] | |||||||||
| PBAT | PBAT 93,000 g/mol (Ecoflex, BASF) | 5 × 5 mm film 70 μm of thickness | 37 | Inoculum: mesophilic anaerobic sludge (37 °C) from a municipal waste water-treatment plant | 126 | 2.2 * | X | 2.8 | DSC, XRD, GPC | [122] | |||||||||
| PBAT | PBAT | 1 mm sheet | 38 | I/S = 2.85 (VS basis); working V = 300 mL | 500 | 159.7 | 13.4 | CH4 | x | [95] | |||||||||
| PBAT | 0.1–0.25 mm | 36 | Anaerobic aqueous conditions ISO 14853; working V = 1 L; 1 gTS/L inoculum + 150 mg/L test material | 77 | 0 | Biogas | [123] | ||||||||||||
| PBS | PBES (MW 100,000, Sky Green) | 20 × 40 mm film | 35 | Inoculum: anaerobic digested sludge from a WWTP. Method: ASTM D5210 | 100 | 0 | X | 35 | [124] | ||||||||||
| PBS | PBS (Sigma-Aldrich) | 125–250 μm | 37 | Plastic: 10 g. Inoculum: mesophilic digestate from a mesophilic anaerobic digester treating cow manure and green waste | 277 | 0 * | X | x | [100] | ||||||||||
| PBS | PBS (Elson Green) | 20 × 40 mm film | 35 | Inoculum: anaerobic digested sludge from a WWTP. Method: ASTM D5210 | 100 | 0 | X | 28 | [124] | ||||||||||
| PBS | PBS | 35 | Method: ASTM E1196-92 | 100 | 11 | 2 | CH4 & biogas | [125] | |||||||||||
| PBS | PBS (PBE 003, NaturePlast,) | <2 × 2 cm | 35 | Inoculum: sludge from a WWTP. Method: ISO 14853 | 56 | 0 | biogas | SEM | [126] | ||||||||||
| PBS | PBS (Enpol G4560, IRE Chemical Ltd.) | 5 × 5 mm thin film (100 μm thickness) | 37 | Plastic: 100 mg. Inoculum: mesophilic anaerobic sludge from a wastewater treatment plant. Method: ISO 11734 | 113 | 2.2 | biogas | DSC, XRD, SEM | [127] | ||||||||||
| PBS | PBS | 1 mm sheet | 38 | I/S = 2.85 (VS basis); working volume = 300 mL | 500 | 0 | 0 | CH4 | x | [95] | |||||||||
| PBS | 0.1–0.25 mm | 36 | Anaerobic aqueous conditions ISO 14853; working V = 1 L; 1 gTS/L inoculum + 150 mg/L test material | 77 | 3.1 | Biogas | [123] | ||||||||||||
| PCL | PCL (Sigma-Aldrich) | 125–250 μm | 37 | 277 | 3 | X | [100] | ||||||||||||
| PCL | PCL (Sigma-Aldrich) | 125–250 μm | 37 | 277 | 22 | X | |||||||||||||
| PCL | PCL (MW 50,000 g.mol−1, Polyscience Inc.) | 27 mm of diameter 100 μm of thickness film | 39 | Plastic: 0.2 g. Inoculum: sludge from a laboratory anaerobic reactor treating wastewater from a sugar factory. Method: ASTM D 5210-93 | 42 | 7.5 * | X | 30 | [97] | ||||||||||
| PCL | PCL (MW 50,000 g.mol−1, Polyscience Inc.) | 19 mm of diameter film | 37 | Plastic: 35–40 mg. Inoculum: sludge from an anaerobic laboratory reactor fed with wastewater from sugar industry. Method: ASTM D 5210-91 | 42 | 16 | Biogas | 30 | x | [128] | |||||||||
| PCL | 1,4-butanediol/adipic acid (MW 40,000, GBF) | 19 mm of diameter film | 37 | Plastic: 35–40 mg. Inoculum: sludge from an anaerobic laboratory reactor fed with wastewater from sugar industry. Method: ASTM D 5210-91 | 42 | 1.1 | Biogas | 1.2 | x | ||||||||||
| PCL | 1,4-butanediol (50 mol%) adipic acid (30 mol%)/Terephthalic acid (20 mol%) (MW 47,600, Hüls AG) | 19 mm of diameter film | 37 | Plastic: 35–40 mg. Inoculum: sludge from an anaerobic laboratory reactor fed with wastewater from sugar industry. Method: ASTM D 5210-91 | 42 | 5.5 | Biogas | 0.5 | x | ||||||||||
| PCL | PCL (MW 50,000 g.mol−1, Polyscience Inc.) | 19 mm of diameter film | 37 | Plastic: 35–40 mg. Inoculum: sludge from an anaerobic digester of a municipal WWTP. Method: ASTM D 5210-91 | 42 | 17 | Biogas | 30 | x | ||||||||||
| PCL | 1,4-butanediol/adipic acid (MW 40,000, GBF) | 19 mm of diameter film | 37 | Plastic: 35–40 mg. Inoculum: sludge from an anaerobic digester of a municipal WWTP. Method: ASTM D 5210-91 | 42 | 11 | Biogas | 2.1 | x | ||||||||||
| PCL | 1,4-butanediol (50 mol%) adipic acid (30 mol%)/Terephthalic acid (20 mol%) | 19 mm of diameter film | 37 | Plastic: 35–40 mg. Inoculum: sludge from an anaerobic digester of a municipal WWTP. Method: ASTM D 5210-91 | 42 | 11 | Biogas | 1% | x | ||||||||||
| PCL | PCL | 35 | Plastic: 10 mg.L−1. Inoculum: digestate from an anaerobic digester treating WWTP sludge | 122 | 0.2 | CH4 and biogas | [129] | ||||||||||||
| PCL | PCL | 1 cm2 film pieces | 37 | Plastic to inoculum ratio: 0.5 (VS basis). Inoculum: digestate from a mesophilic anaerobic digester fed with food waste and manure | 30 | 15.8 | 6.5 | CH4 | [130] | ||||||||||
| PCL | PCL 40% TPS 60% | 1 cm2 film pieces | 37 | Plastic to inoculum ratio: 0.5 (VS basis). Inoculum: digestate from a mesophilic anaerobic digester fed with food waste and manure | 30 | 133.3 | 32.3 | CH4 | |||||||||||
| PCL | PCL 60% TPS 40% | 1 cm2 film pieces | 37 | Plastic to inoculum ratio: 0.5 (VS basis). Inoculum: digestate from a mesophilic anaerobic digester fed with food waste and manure | 30 | 74.2 | 18.5 | CH4 | |||||||||||
| PCL | PCL (Tone, Union Carbide) | 2 × 15 cm strips | 35 | Inoculum: Mixture of sewage sludge treating domestic sewage and paper sludge (3:1 ratio) | 40 | 5 | 6% | FTIR, NMR, UV/VIS, SEM | [118] | ||||||||||
| PCL | Ecostarplus (starch + PE) | 2 × 15 cm strips | 35 | Inoculum: Mixture of sewage sludge treating domestic sewage and paper sludge (3:1 ratio) | 40 | 12 | 5% | FTIR; NMR; UV/VIS; SEM | |||||||||||
| PCL | PCL (Tone, Union Carbide) | Powder | 35 | Inoculum: 2 mL of digestate from an anaerobic digester treating sewage sludge. Method: ISO 14853 | 28 | 0 | X | 0% | FTIR, SEC, NMR, DSC, SEM | [70] | |||||||||
| PCL | PCL (CAPA 6500, Perstorp) | <2 × 2 cm | 35 | Inoculum: sludge from a WWTP. Method: ISO 14853 | 56 | 3 | Biogas | DSC, SEM | [126] | ||||||||||
| PCL | PCL (P787, Union Carbide) | 5 × 5 mm 55 μm of thickness and 250 μm powder | 35 | Plastic: 600 and 400 mg/L. Inoculum: domestic sewage sludge | 60 | 0 | CH4 & biogas | [113] | |||||||||||
| PCL | PCL | 1 mm sheet | 38 | I/S = 2.85 (VS basis); working volume = 300 mL | 500 | 366.9 | 49.9 | CH4 | x | [95] | |||||||||
| PCL | 0.1–0.25 mm | 36 | Anaerobic aqueous conditions ISO 14853; working V = 1 L; 1 g TS/L inoculum + 150 mg/L test material | 77 | 4.5 | Biogas | [123] | ||||||||||||
| PCL | film | 0.25 × 0.25 cm | 35 | ASTM D 5210-91; 150 mL working V + 100 mg polymer; flushed with N2 | 77 | 0 | Biogas | [131] | |||||||||||
| PCL | film | 0.25 × 0.25 cm | 35 | ISO 11734; 150 mL working V + 100 mg polymer; flushed with N2 | 77 | 1 | Biogas | ||||||||||||
| PCL | powder | 35 | 58.3 | 2 | Biogas | 6.5 | TGA, DSC, SEM | [132] | |||||||||||
| PCL * | PCL-Starch blend (55% PCL, 30% Starch, 15% aliphatic polyester) | 35 | Plastic to inoculum ratio: 2 g VS/L, Inoculum: 20 mL digestate from a anaerobic digester treating sewage sludge. | 139 | 554 | 83 | CH4 & biogas | [125] | |||||||||||
| PCL+PHO | PCL/PHO (85/15) | <2 × 2 cm | 35 | Inoculum: sludge from a WWTP. Method: ISO 14853 | 56 | 4 | Biogas | DSC, SEM | [126] | ||||||||||
| PCL+TPS | PCL/TPS (70/30) | <2 × 2 cm | 35 | Inoculum: sludge from a WWTP. Method: ISO 14853 | 56 | 36 | Biogas | DSC, SEM | |||||||||||
| PCL61/S-A26/G13 | PCL+starch+glycerol | 50 × 9(4) × 1 mm | 35 | 58.3 | 30.3 | Biogas | 30.6 | TGA, DSC, SEM, mech. properties | x | [132] | |||||||||
| PCL61/S-GI26/G13 | PCL+starch+glycerol | 50 × 9(4) × 1 mm | 35 | 58.3 | 29.8 | Biogas | 30.4 | TGA, DSC, SEM | |||||||||||
| PCL61/S-M26/G13 | PCL+starch+glycerol | 50 × 9(4) × 1 mm | 35 | 58.3 | 12.6 | Biogas | 13.8 | TGA, DSC, SEM | |||||||||||
| PCL61/S-W26/G13 | PCL+starch+glycerol | 50 × 9(4) × 1 mm | 35 | 58.3 | 31.2 | Biogas | 30.7 | TGA, DSC, SEM | |||||||||||
| PCL70/S-A30 | PCL+starch | 50 × 9(4) × 1 mm | 35 | 58.3 | 10.1 | Biogas | 11.9 | TGA, DSC, SEM | |||||||||||
| PCL70/S-GI30 | PCL+starch | 50 × 9(4) × 1 mm | 35 | 58.3 | 10.4 | Biogas | 13.9 | TGA, DSC, SEM | |||||||||||
| PCL70/S-M30 | PCL+starch | 50 × 9(4) × 1 mm | 35 | 58.3 | 5.6 | Biogas | 6.5 | TGA, DSC, SEM | |||||||||||
| PCL70/S-W30 | PCL+starch | 50 × 9(4) × 1 mm | 35 | 58.3 | 10.7 | Biogas | 9.8 | TGA, DSC, SEM | |||||||||||
| PHA | PHA (PHA-4100, Metabolix) | 1–2 mm wide pellets | 37 | Plastic to inoculum ratio: 4 g/L. Inoculum: sludge from a semi continuous anaerobic digester fed with food waste, olive, and cheese waste. Method: ASTM 5511-02 | 11 | 102 | Biogas | [133] | |||||||||||
| PHA | PHA (PHA-4100, Metabolix) | 1–2 mm wide pellets | 37 | Plastic to inoculum ratio: 8 g/L. Inoculum: sludge from a semi continuous anaerobic digester fed with food waste, olive, and cheese waste. Method: ASTM 5511-02 | 11 | 95 | Biogas | ||||||||||||
| PHA | PHA | PHA accumulated in activated sludge | 37 | Plastic: addition of 1 mL of PHA-accumulating sludge (30 g TS/L). Inoculum: 5 mL of sewage sludge from a WWTP | 15 | 250 | 53 | Biogas | [134] | ||||||||||
| PHB | PHB (ENMAT Y3000, TianAn) | <0.15 mm | 35 | Plastic: 125 mg. Inoculum: 50 mL of lab inoculum fed with nutritive media and powdered milk | 40 | 199 | 50 | CH4 | [11] | ||||||||||
| PHB | PHB (ENMAT) | <0.15 mm | 35 | Plastic: 125 mg. Inoculum: 50 mL of lab inoculum fed with nutritive media and powdered milk | 40 | 398 | 100 | 35 °C, addition of NaOH until pH 12 for 24 h | CH4 | ||||||||||
| PHB | PHB (MIREL F1006, Metabolix) | <0.15 mm | 35 | Plastic: 125 mg. Inoculum: 50 mL of lab inoculum fed with nutritive media and powdered milk | 40 | 233 | 59 | CH4 | |||||||||||
| PHB | PHB (Mirel F1006) | <0.15 mm | 35 | Plastic: 125 mg. Inoculum: 50 mL of lab inoculum fed with nutritive media and powdered milk | 40 | 359 | 90.9 | 35 °C, pH 7 for 48 h | CH4 | ||||||||||
| PHB | PHB (Mango materials) | <0.15 mm | 35 | Plastic: 125 mg. Inoculum: 50 mL of lab inoculum fed with nutritive media and powdered milk | 40 | 316 | 80 | CH4 | |||||||||||
| PHB | PHB (Mango materials) | <0.15 mm | 35 | Plastic: 125 mg. Inoculum: 50 mL of lab inoculum fed with nutritive media and powdered milk | 40 | 322 | 81.5 | 55 °C, addition of NaOH until pH = 10, 24 h | CH4 | ||||||||||
| PHB | PHB (Mirel M2100, Metabolix) | <0.15 mm | 35 | Plastic: 125 mg. Inoculum: 50 mL of lab inoculum fed with nutritive media and powdered milk | 40 | 316 | 80 | CH4 | |||||||||||
| PHB | PHB (Mirel M2100, Metabolix) | <0.15 mm | 35 | Plastic: 125 mg. Inoculum: 50 mL of lab inoculum fed with nutritive media and powdered milk | 40 | 357 | 90.4 | 55 °C, addition of NaOH until pH = 12, 24 h | CH4 | ||||||||||
| PHB | PHB (Sigma-Aldrich) | 125–250 μm | 37 | 9 | 90 | X | [100] | ||||||||||||
| PHB | PHB (MW 540,000 g.mol−1, Biopol BX G08) | 25 mm of diameter 100 μm of thickness film | 37 | Plastic: 0.2 g. Inoculum: sludge from a laboratory anaerobic reactor treating wastewater from a sugar factory. Method: ASTM D 5210-91 | 9 | 100 | Biogas | 100 | [97] | ||||||||||
| PHB | PHB (MW 540,000 g.mol−1, Biopol BX G08) | 19 mm of diameter film | 37 | Plastic: 35–40 mg. Inoculum: sludge from an anaerobic laboratory reactor fed with wastewater from sugar industry. Method: ASTM D 5210-91 | 8 | 101 | Biogas | [128] | |||||||||||
| PHB | PHB (MW 540,000 g.mol−1, Biopol BX G08) | 19 mm of diameter film | 37 | Plastic: 35–40 mg. Inoculum: sludge from an anaerobic laboratory reactor fed with wastewater from sugar industry. Method: ASTM D 5210-92 | 42 | 101 | Biogas | 100 | |||||||||||
| PHB | PHB (MW 540,000 g.mol−1, Biopol BX G08) | 19 mm of diameter film | 37 | Plastic: 35–40 mg. Inoculum: sludge from an anaerobic digester of a municipal WWTP. Method: ASTM D 5210-91 | 8 | 100 | Biogas | ||||||||||||
| PHB | PHB (MW 540,000 g.mol−1, Biopol BX G08) | 19 mm of diameter film | 37 | Plastic: 35–40 mg. Inoculum: sludge from an anaerobic digester of a municipal WWTP. Method: ASTM D 5210-91 | 42 | 101 | Biogas | 100 | |||||||||||
| PHB | PHB | Granular form | 35 | Plastic to inoculum ratio: 10 g VS g−1 VS. Inoculum: digestate from a WWTP anaerobic digester. | 23 | 100 | [135] | ||||||||||||
| PHB | PHB | Powder | 35 | Plastic: 5 mg. Inoculum: anaerobically digested domestic sewage sludge | 16 | 87 | Biogas | [136] | |||||||||||
| PHB | PHB (ENMAT Y1000, TianAn) | <2 × 2 cm | 35 | Inoculum: sludge from a WWTP. Method: ISO 14853 | 56 | - | 102 | Biogas | DSC, SEM | [126] | |||||||||
| PHB | PHB (MW 539,000, Biopol BX G08) | 200 μm powder | 35 | Plastic: 400 mg L−1. Inoculum: domestic sewage sludge | 30 | - | 80 | CH4 & biogas | [113] | ||||||||||
| PHB | PHB Biomer | 1 mm sheet | 38 | I/S = 2.85 (VS basis); working volume = 300 mL | 50 | 383.4 | 64.3 | CH4 | x | [95] | |||||||||
| PHB | PHB (K. D.) | 1 mm sheet | 38 | I/S = 2.85 (VS basis); working volume = 300 mL | 25 | 491.5 | 80.1 | CH4 | x | ||||||||||
| PHB | PHB (K.D.) | particles 1.01 mm (mean size) | 38 | I/S = 10 (VS basis) | 23 | 518 | 94 | CH4 | [99] | ||||||||||
| PHB | PHB (K.D.) | particles 1.01 mm (mean size) | 38 | I/S = 4 (VS basis) | 23 | 483 | 88 | CH4 | |||||||||||
| PHB | PHB (K.D.) | particles 1.01 mm (mean size) | 38 | I/S = 2.85 (VS basis) | 18 | 518 | 94 | CH4 | |||||||||||
| PHB | PHB (K.D.) | particles 1.01 mm (mean size) | 38 | I/S = 2 (VS basis) | 38 | 468 | 85 | CH4 | |||||||||||
| PHB | PHB (K.D.) | particles 1.01 mm (mean size) | 38 | I/S = 1 (VS basis) | 15 | 51 | 9 | CH4 | |||||||||||
| PHB | 0.1–0.25 mm | 36 | Anaerobic aqueous conditions ISO 14853; working V = 1 L; 1 g TS/L inoculum + 150 mg/L test material | 77 | 83.9 | Biogas | [123] | ||||||||||||
| PHB | 0.1–0.25 mm | 36 | Anaerobic standard test conditions—ISO 14852; polymer = 1 g VS/L | 77 | 495.8 | 85 | Biogas | ||||||||||||
| PHB | 0.1–0.25 mm | 36 | Anaerobic standard test conditions—ISO 14852; polymer = 1 g VS/L | 100 | 815.7 | 78.4 | Biogas | ||||||||||||
| PHB | 0.25–0.5 mm | 36 | Anaerobic standard test conditions—ISO 14852; polymer = 1 g VS/L | 100 | 759.3 | 72.9 | Biogas | ||||||||||||
| PHB | 0.5–1 mm | 36 | Anaerobic standard test conditions—ISO 14852; polymer = 1 g VS/L | 100 | 648.9 | 62.3 | Biogas | ||||||||||||
| PHB | Plates | 1.1 × 4.5 × 1.2 mm | 35 | Working V = 150 mL; polymer = 8 mg C/L | 85 | 1364 | 73.0 | Biogas | 100 | TGA, DSC, SEM | [137] | ||||||||
| PHB | Plates | 1.1 × 4.5 × 1.2 mm | 35 | Working V = 150 mL; polymer = 4.225 mg C/L | 65 | 1253 | 67.0 | Biogas | TGA, DSC, SEM | ||||||||||
| PHB | Plates | 1.1 × 4.5 × 1.2 mm | 35 | Working V = 150 mL; polymer = 4.665 mg C/L | 80 | 1546 | 82.8 | Biogas | 79.1 | TGA, DSC, SEM | |||||||||
| PHB powder | 35 | Working V = 150 mL; polymer = 1 mg C/L | 1185 | 63.4 | Biogas | TGA, DSC, SEM | |||||||||||||
| PHB powder | 35 | Working V = 150 mL; polymer = 1 mg C/L | 1274 | 68.0 | Biogas | TGA, DSC, SEM | |||||||||||||
| PHB/PHV | Film 0.06 mm | 0.2–0.63 mm | 35 | ASTM D 5210-91; 150 mL working V + 100 mg polymer; flushed with N2 | 41 | 70 | Biogas | [131] | |||||||||||
| PHB/PHV | Film 0.06 mm | 0.2–0.63 mm | 35 | ASTM D 5210-91; 150 mL working V + 100 mg polymer; flushed with 70% N2/30% CO2 | 33 | 64 | Biogas | ||||||||||||
| PHB/PHV | Film 0.06 mm | 0.2–0.63 mm | 35 | ISO 11734; 150 mL working V + 100 mg polymer; flushed with N2 | 41 | 62 | Biogas | ||||||||||||
| PHB/PHV | Film 0.06 mm | 0.2–0.63 mm | 35 | ISO 11734; 150 mL working V + 100 mg polymer; flushed with 70% N2/30% CO2 | 33 | 64 | Biogas | ||||||||||||
| PHB/TBC (85/15) | Plates; TBC = tributyl citrate | 1.1 × 4.5 × 1.2 mm | 35 | Working V = 150 mL; polymer = 4.004 mg C/L | 190 | 93.8 | Biogas | FTIR, DSC, SEM | [137] | ||||||||||
| PHB+PBS | PHB/PBS (50/50) | <2 × 2 cm | 35 | Inoculum: sludge from a WWTP. Method: ISO 14853 | 56 | - | 15 | Biogas | DSC, SEM | [126] | |||||||||
| PHB+PCL | PHB/PCL (60/40) | <2 × 2 cm | 35 | Inoculum: sludge from a WWTP. Method: ISO 14853 | 56 | - | 38 | Biogas | DSC, SEM | ||||||||||
| PHB+PHH | Poly(3-hydroxybutyrate-co-3-hydroxyhexanoate) 93% HB, 7% HHx | 5 × 5 × 1 mm Film | 38 | Plastic to inoculum ratio: 0.7–0.8 (VS basis). Inoculum: Digestate from a mesophilic anaerobic digester fed with sludge and fats | 80 | 483.8 | 77 | GPC | x | [138] | |||||||||
| PHB+PHH | Poly(3-hydroxybutyrate-co-3-hydroxyhexanoate) 93.5% HB 6.5% HHx | 5 × 5 × 1 mm Flake | 38 | Plastic to inoculum ratio: 0.7–0.8 (VS basis). Inoculum: Digestate from a mesophilic anaerobic digester fed with sludge and fats | 40 | 337.5 | 54 | x | |||||||||||
| PHB+PHH | Poly(3-hydroxybutyrate-co-3-hydroxyhexanoate) 93.5% HB 6.5% HHx | 5 × 5 × 1 mm Flake | 38 | Plastic to inoculum ratio: 0.7–0.8 (VS basis). Inoculum: Digestate from a mesophilic anaerobic digester fed with sludge and fats | 80 | 337.5 | 54 | 51.9 | |||||||||||
| PHB+PHO | PHB/PHO (85/15) | <2 × 2 cm | 35 | Inoculum: sludge from a WWTP. Method: ISO 14853 | 56 | - | 92 | Biogas | DSC, SEM | [126] | |||||||||
| PHBO | PHBO (90% PHB, 10% HO) | 35 | Plastic: 100 mg/L. Inoculum: digestate from an anaerobic digester treating WWTP sludge. | 60 | - | 88 | CH4 & biogas | [129] | |||||||||||
| PHBV | PHBV (0.5% HV, ENMAT Y1000P) | 31.25 mm × 6.2 mm × 2.1 mm rectangular prism | 37 | Plastic to inoculum ratio: 0.5 (VS basis). Inoculum: digestate from a mesophilic digester. | 42 | 630 | 83 | CH4 | SEM, 3D imaging with µCT | [139] | |||||||||
| PHBV | PHBV (ENMAT Y1000P China) | Rectangular prism 31.25 mm × 6.2 mm × 2.1 mm | 37 | Neat PHBV | 80 | 94 | CH4 | 100 | SEM, 3D imaging with µCT | ||||||||||
| PHBV | Maleated PHBV | Rectangular prism 31.25 mm × 6.2 mm × 2.1 mm | 37 | Maleated PHBV | 80 | 95 | CH4 | 100 | SEM, 3D imaging with µCT | ||||||||||
| PHBV | PHBV (0.5% HV ENMAT Y1000P) | 420–840 μm | 37 | Plastic to inoculum ratio: 0.5 (VS basis). Inoculum: digestate from a mesophilic digester treating municipal wastewater | 20 | 580 | 86 | CH4 | [140] | ||||||||||
| PHBV | PHBV (0.5% HV ENMAT Y1000P) | 3900 μm (pellets) | 37 | Plastic to inoculum ratio: 0.5 (VS basis). Inoculum: digestate from a mesophilic digester treating municipal wastewater | 36 | 580 | 86 | Size reduction | CH4 | ||||||||||
| PHBV | PHBV (0.5% HV ENMAT Y1000P) | 420–840 μm | 37 | Plastic to inoculum ratio: 0.5 (VS basis). Inoculum: digestate from a mesophilic digester treating municipal wastewater | 20 | 580 | 86 | Size reduction | CH4 | ||||||||||
| PHBV | PHBV (0.5% HV ENMAT Y1000P) | 250–420 μm | 37 | Plastic to inoculum ratio: 0.5 (VS basis). Inoculum: digestate from a mesophilic digester treating municipal wastewater | 22 | 580 | 86 | Size reduction | CH4 | ||||||||||
| PHBV | PHBV (0.5% HV ENMAT Y1000P) | 150–250 μm | 37 | Plastic to inoculum ratio: 0.5 (VS basis). Inoculum: digestate from a mesophilic digester treating municipal wastewater | 19 | 580 | 86 | Size reduction | CH4 | ||||||||||
| PHBV | PHBV (0.5% HV ENMAT Y1000P) | 10 μm | 37 | Plastic to inoculum ratio: 0.5 (VS basis). Inoculum: digestate from a mesophilic digester treating municipal wastewater | 23 | 580 | 86 | Size reduction | CH4 | ||||||||||
| PHBV | PHBV (0.5% HV ENMAT Y1000P) | Rectangular prism 31.25 mm × 6.2 mm × 2.1 mm | 37 | 42 | 630 | 83 | CH4 | 38 | DSC | [66] | |||||||||
| PHBV | PHBV (MW 397,000 g.mol−1, Biopol BX P027) | 26 mm of diameter 100 μm of thickness film | 38 | Plastic: 0.2 g. Inoculum: sludge from a laboratory anaerobic reactor treating wastewater from a sugar factory. Method: ASTM D 5210-92 | 42 | 29 | Biogas | 60 | [97] | ||||||||||
| PHBV | PHBV (MW 397,000 g.mol−1, Biopol BX P027) | 19 mm of diameter film | 37 | Plastic: 35–40 mg. Inoculum: sludge from an anaerobic laboratory reactor fed with wastewater from sugar industry. Method: ASTM D 5210-91 | 42 | 29 | Biogas | 57 | [128] | ||||||||||
| PHBV | PHBV (MW 397,000 g.mol−1, Biopol BX P027) | 19 mm of diameter film | 37 | Plastic: 35–40 mg. Inoculum: sludge from an anaerobic digester of a municipal WWTP. Method: ASTM D 5210-91 | 42 | 31 | Biogas | 63 | |||||||||||
| PHBV | PHBV (PHB/HV; 92/8, w/w) | 5 × 60 mm film | 35 | Inoculum: anaerobic digested sludge from a WWTP. Method: ASTM D5210 | 20 | 85 | Biogas | [124] | |||||||||||
| PHBV | Cellophane | 20 × 40 mm film | 35 | Inoculum: anaerobic digested sludge from a WWTP. Method: ASTM D5210 | 20 | 80 | Biogas | ||||||||||||
| PHBV | PHBV (ICI) | 2 × 15 cm strips | 35 | Inoculum: Mixture of sewage sludge treating domestic sewage and paper sludge (3:1 ratio) | 40 | 55 | 29 | FT-IR; NMR; UV/VIS | x | [118] | |||||||||
| PHBV | PHBV (13% HV) | Powder | 35 | Plastic: 5 mg. Inoculum: anaerobically digested domestic sewage sludge | 16 | 96 | Biogas | [136] | |||||||||||
| PHBV | PHBV (20% HV) | Powder | 35 | Plastic: 5 mg. Inoculum: anaerobically digested domestic sewage sludge | 16 | 83 | Biogas | ||||||||||||
| PHBV | PHBV (8.4% HV, ICI) | 46.4 μm | 35 | Plastic: 1% w/w, Inoculum: 10% w/w anaerobic sludge from a WWTP of a sugar factory | 30 | 95 | Biogas | [141] | |||||||||||
| PHBV | PHBV | Pellets | 35 | Inoculum: 1:1 mixture of mesophilic and thermophilic digestate from lab-scale AD reactors. ISR = 1 (VS basis). Solids content in the reactor: 7.22% TS | 104 | 271 | SEM | [142] | |||||||||||
| PHBV | 0.1–0.25 mm | 36 | Anaerobic aqueous conditions ISO 14853; working V = 1 L; 1 g TS/L inoculum + 150 mg/L test material | 77 | 81.2 | Biogas | [123] | ||||||||||||
| PHBV | 0.1–0.25 mm | 36 | Anaerobic standard test conditions—ISO 14852; polymer = 1 g VS/L | 77 | 480.1 | 76.4 | Biogas | ||||||||||||
| PHBV | 0.1–0.25 mm | 36 | Anaerobic standard test conditions—ISO 14852; polymer = 1 g VS/L | 100 | 792.3 | 73.2 | Biogas | ||||||||||||
| PHBV | 0.25–0.5 mm | 36 | Anaerobic standard test conditions—ISO 14852; polymer = 1 g VS/L | 100 | 777.8 | 71.8 | Biogas | ||||||||||||
| PHBV | 0.5–1 mm | 36 | Anaerobic standard test conditions —ISO 14852; polymer = 1 g VS/L | 100 | 748.8 | 69.1 | Biogas | ||||||||||||
| PHBV+wood flour | 80% PHBV 20% oak wood flour | Rectangular prism 31.25 mm × 6.2 mm × 2.1 mm | 37 | Addition of 20% oak wood flour | 50–63 | 84 | CH4 | 100 | SEM, 3D imaging with µCT | [139] | |||||||||
| PHBV+wood flour | 80% maleated PHBV 20% oak wood flour | Rectangular prism 31.25 mm × 6.2 mm × 2.1 mm | 37 | Maleated PHBV + addition of oak wood flour | 50–63 | 88 | CH4 | 100 | SEM, 3D imaging with µCT | ||||||||||
| PHBV+wood flour | 80% PHBV 20% silane treated oak wood flour | Rectangular prism 31.25 mm × 6.2 mm × 2.1 mm | 37 | Addition of silane treated oak wood flour | 50–63 | 83 | CH4 | 100 | SEM, 3D imaging with µCT | ||||||||||
| PHBV+wood flour | 80% PHBV and 20% oak wood flour | Rectangular prism 31.25 mm × 6.2 mm × 2.1 mm | 37 | Addition of 20% oak wood flour | 28 | 510 | 73 | CH4 | DSC | [66] | |||||||||
| PHBV+wood flour | 60% PHBV and 40% oak wood flour | Rectangular prism 31.25 mm × 6.2 mm × 2.1 mm | 37 | Addition of 40% oak wood flour | 28 | 430 | 60 | CH4 | DSC | ||||||||||
| PHO | PHO (Bioplastech R, Bioplastech) | <2 × 2 cm | 35 | Inoculum: sludge from a WWTP. Method: ISO 14853 | 56 | 12 | Biogas | DSC, SEM | [126] | ||||||||||
| PLA | PLA (Ingeo) | Pieces of plastic cup < 1 mm | 35 | Plastic: 1 g. Inoculum: 5 mL of pig slurry mixed with synthetic medium for methanogens and acclimated to mesophilic anaerobic condition | 90 | 0 | 0 | --- | 0 | [12] | |||||||||
| PLA | PLA (Fabri-Kal) | Plastic cup ground to 3 mm | 37 | Plastic: 1 g. Inoculum: 10 mL of anaerobic inoculum | 60 | 2 | 0.4 | [143] | |||||||||||
| PLA | PLA (Fabri-Kal) | Plastic cup ground to 3 mm | 37 | Plastic: 1 g. Inoculum: 10 mL of anaerobic inoculum | 56 | 90 | 19.30 | Steam exposition, 3 h 120 °C | |||||||||||
| PLA | PLA (Ingeo 2003D, NatureWorks) | 0.15 mm | 35 | Plastic: 125 mg. Inoculum: 50 mL of lab inoculum fed with nutritive media and powdered milk | 40 | 1 | 0 | CH4 | [11] | ||||||||||
| PLA | PLA (Ingeo 2003D NatureWorks) | 0.15 mm | 35 | Plastic: 125 mg. Inoculum: 50 mL of lab inoculum fed with nutritive media and powdered milk | 40 | 86 | 23.9 | 90 °C, addition of NaOH until pH = 10, 48 h | CH4 | ||||||||||
| PLA | PLA (Unitika) | 125–250 μm | 37 | 277 | 29 | X | [100] | ||||||||||||
| PLA | PLA (Unitika) | 125–250 μm | 37 | 277 | 49 | X | |||||||||||||
| PLA | PLA (NatureWorks) | 1–2 mm wide pellets | 37 | Plastic to inoculum ratio: 4 g/L. Inoculum: sludge from a semi continuous anaerobic digester fed with food waste, olive, and cheese waste. Method: ASTM 5511-02 | 20 | 5 | [133] | ||||||||||||
| PLA | PLA (lab) | 20 × 40 mm film | 35 | Inoculum: anaerobic digested sludge from a WWTP. Method: ASTM D5210 | 100 | 0 | [124] | ||||||||||||
| PLA | PLA (Argonne A) | 6 × 5 cm film | 35 | Inoculum: Mixture of sewage sludge treating domestic sewage and paper sludge (3:1 ratio) | 40 | 10 | 9 | FT-IR; NMR; UV/VIS | X | [118] | |||||||||
| PLA | PLA (Argonne B) | 6 × 5 cm film | 35 | Inoculum: Mixture of sewage sludge treating domestic sewage and paper sludge (3:1 ratio) | 40 | 15 | 3 | FT-IR; NMR; UV/VIS | X | ||||||||||
| PLA | PLA | Granules | 37 | Plastic: 30 mg. Inoculum: anaerobic sludge from a WWTP. Method: ASTM D 5210 | 100 | 60 | Biogas | [144] | |||||||||||
| PLA | PLA (NatureWorks, Cargill) | 2 × 2 cm film 20 μm of thickness | 35 | 28 | 0 | X | 0 | FTIR, SEC, NMR, DSC | X | [70] | |||||||||
| PLA | PLA (Biopolymer-4043D, NatureWorks) | <2 × 2 cm | 35 | Inoculum: sludge from a WWTP. Method: ISO 14853 | 56 | 0 | Biogas | DSC, SEM | [126] | ||||||||||
| PLA | PLA film | 1 × 1 cm film | 37 | Plastic to inoculum ratio: 0.25 (VS basis). Inoculum: digestate from a mesophilic digester treating municipal wastewater sludge | 65 | 18.8 | 20.2 | [115] | |||||||||||
| PLA | PLA blend | Pellets | 37 | Plastic to inoculum ratio: 0.25 (VS basis). Inoculum: digestate from a mesophilic digester treating municipal wastewater sludge | 65 | 2.6 | 3.0 | ||||||||||||
| PLA | PLA (plastic cup) | 2 × 2 × 0.5 mm | 37 | Plastic to inoculum ratio: 2–4 kg VS/m3. Inoculum: mesophilic digestate from a mesophilic wastewater treatment plant digester. Method: EN ISO 11734:2003 | 280 | 564 | 66 | Biogas | FTIR, opt. microscopy | [145] | |||||||||
| PLA | Mixture of PLA goods (dishes, glasses and cutlery) | 5 × 5 cm | 37 | Mesophilic digestate from a full-scale dry anaerobic digester treating OFMSW | 60 | 34 | CH4 | [10] | |||||||||||
| PLA | Mixture of PLA goods (dishes, glasses and cutlery) | 5 × 5 cm | 37 | Mesophilic digestate from a full-scale dry anaerobic digester treating OFMSW | 90 | CH4 | 24 | FTIR | |||||||||||
| PLA | Commercial PLA blend (80% PLA, 20% additives) | <2 mm | 37 | Mesophilic digestate from a full-scale dry anaerobic digester treating OFMSW | 146 | 50.5 | 10.8 | CH4 | [146] | ||||||||||
| PLA | Commercial PLA blend (80% PLA, 20% additives) | <2 mm | 37 | Mesophilic digestate from a full-scale dry anaerobic digester treating OFMSW | 40 | 61.3 | 13.1 | Hydrothermal (1 g VS-PLA, T = 120 °C, 10 min, 10 mL water) | CH4 | ||||||||||
| PLA | Commercial PLA blend (80% PLA, 20% additives) | <2 mm | 37 | Mesophilic digestate from a full-scale dry anaerobic digester treating OFMSW | 40 | 111.5 | 23.8 | Hydrothermal (1 g VS-PLA, T = 120 °C, 30 min, 10 mL 1% NaOH) | CH4 | ||||||||||
| PLA | Commercial PLA blend (80% PLA, 20% additives) | <2 mm | 37 | Mesophilic digestate from a full-scale dry anaerobic digester treating OFMSW | 40 | 136.1 | 29.1 | Hydrothermal (1 g VS-PLA, T = 120 °C, 60 min, 10 mL 5% NaOH) | CH4 | ||||||||||
| PLA | Commercial PLA blend (80% PLA, 20% additives) | <2 mm | 37 | Mesophilic digestate from a full-scale dry anaerobic digester treating OFMSW | 40 | 249.9 | 53.4 | Hydrothermal (1 g VS-PLA, T = 120 °C, 120 min, 10 mL 10% NaOH) | CH4 | ||||||||||
| PLA | Commercial PLA blend (80% PLA, 20% additives) | <2 mm | 37 | Mesophilic digestate from a full-scale dry anaerobic digester treating OFMSW | 40 | 161.3 | 34.5 | Hydrothermal (1 g VS-PLA, T = 160 °C, 10 min, 10 mL 1% NaOH) | CH4 | ||||||||||
| PLA | Commercial PLA blend (80% PLA, 20% additives) | <2 mm | 37 | Mesophilic digestate from a full-scale dry anaerobic digester treating OFMSW | 40 | 262.8 | 56.2 | Hydrothermal (1 g VS-PLA, T = 160 °C, 30 min, 10 mL water) | CH4 | ||||||||||
| PLA | Commercial PLA blend (80% PLA, 20% additives) | <2 mm | 37 | Mesophilic digestate from a full-scale dry anaerobic digester treating OFMSW | 40 | 432.3 | 92.4 | Hydrothermal (1 g VS-PLA, T = 160 °C, 60 min, 10 mL 10% NaOH) | CH4 | ||||||||||
| PLA | Commercial PLA blend (80% PLA, 20% additives) | <2 mm | 37 | Mesophilic digestate from a full-scale dry anaerobic digester treating OFMSW | 40 | 430.8 | 92.1 | Hydrothermal (1 g VS-PLA, T = 160 °C, 120 min, 10 mL 5% NaOH) | CH4 | ||||||||||
| PLA | Commercial PLA blend (80% PLA, 20% additives) | <2 mm | 37 | Mesophilic digestate from a full-scale dry anaerobic digester treating OFMSW | 40 | 441.6 | 94.4 | Hydrothermal (1 g VS-PLA, T = 200 °C, 10 min, 10 mL 5% NaOH) | CH4 | ||||||||||
| PLA | Commercial PLA blend (80% PLA, 20% additives) | <2 mm | 37 | Mesophilic digestate from a full-scale dry anaerobic digester treating OFMSW | 40 | 456 | 97.5 | Hydrothermal (1 g VS-PLA, T = 200 °C, 30 min, 10 mL 10% NaOH) | CH4 | ||||||||||
| PLA | Commercial PLA blend (80% PLA, 20% additives) | <2 mm | 37 | Mesophilic digestate from a full-scale dry anaerobic digester treating OFMSW | 40 | 421.3 | 90.1 | Hydrothermal (1 g VS-PLA, T = 200 °C, 60 min, 10 mL water) | CH4 | ||||||||||
| PLA | Commercial PLA blend (80% PLA, 20% additives) | <2 mm | 37 | Mesophilic digestate from a full-scale dry anaerobic digester treating OFMSW | 40 | 442 | 94.5 | Hydrothermal (1 g VS-PLA, T = 200 °C, 120 min, 10 mL 1% NaOH) | CH4 | ||||||||||
| PLA | Commercial PLA blend (80% PLA, 20% additives) | <2 mm | 37 | Mesophilic digestate from a full-scale dry anaerobic digester treating OFMSW | 40 | 460.1 | 98.4 | Hydrothermal (1 g VS-PLA, T = 240 °C, 10 min, 10 mL 10% NaOH) | CH4 | ||||||||||
| PLA | Commercial PLA blend (80% PLA, 20% additives) | <2 mm | 37 | Mesophilic digestate from a full-scale dry anaerobic digester treating OFMSW | 40 | 449.8 | 96.2 | Hydrothermal (1 g VS-PLA, T = 240 °C, 30 min, 10 mL 5% NaOH) | CH4 | ||||||||||
| PLA | Commercial PLA blend (80% PLA, 20% additives) | <2 mm | 37 | Mesophilic digestate from a full-scale dry anaerobic digester treating OFMSW | 40 | 396.4 | 84.8 | Hydrothermal (1 g VS-PLA, T = 240 °C, 60 min, 10 mL 1% NaOH) | CH4 | ||||||||||
| PLA | Commercial PLA blend (80% PLA, 20% additives) | <2 mm | 37 | Mesophilic digestate from a full-scale dry anaerobic digester treating OFMSW | 40 | 351.5 | 75.2 | Hydrothermal (1 g VS-PLA, T = 240 °C, 120 min, 10 mL water) | CH4 | ||||||||||
| PLA | PLA bags | 10 × 10 mm film | 37 | Inoculum: anaerobic sludge from an anaerobic digester treating municipal wastewater | 180 | 25.2 | 2.3 * | Biogas | SEM | [121] | |||||||||
| PLA | PLA film | 1–2 mm, thickness 80 μm | Inoculum: mesophilic digestate from a UASB anaerobic digester treating drink production effluents | 60 | 5 | 34 | Biogas | SEM | [147] | ||||||||||
| PLA | PLA film | 1–2 mm, thickness 80 μm | Not spec. | Inoculum: mesophilic digestate from a UASB anaerobic digester treating drink production effluents | 60 | 148.3 | 230 | Alkaline (1 g PLA, 10 mL 0.5 M NaOH, 2.5 d, room T) | Biogas | SEM | |||||||||
| PLA | PLA film | 3–5 mm, thickness 80 μm | 30 | Inoculum: mesophilic digestate from a UASB anaerobic digester treating drink production effluents | 90 | 58.28 | 5.5 | Biogas | SEM | ||||||||||
| PLA | PLA film | 3–5 mm, thickness 80 μm | 30 | Inoculum: mesophilic digestate from a UASB anaerobic digester treating drink production effluents | 90 | 126.72 | 8.7 * | Thermal (45 °C, 12 h) | Biogas | SEM | |||||||||
| PLA | PLA film | 3–5 mm, thickness 80 μm | 30 | Inoculum: mesophilic digestate from a UASB anaerobic digester treating drink production effluents | 90 | 125.21 | 8.8 * | Thermal (60 °C, 12 h) | Biogas | SEM | |||||||||
| PLA | PLA film | 3–5 mm, thickness 80 μm | 30 | Inoculum: mesophilic digestate from a UASB anaerobic digester treating drink production effluents | 90 | 164.74 | 11.3 * | Thermal + alkaline (45 °C, 0.5 M NaOH, 10% w/v PLA, 12 h) | Biogas | SEM | |||||||||
| PLA | PLA film | 3–5 mm, thickness 80 μm | 30 | Inoculum: mesophilic digestate from a UASB anaerobic digester treating drink production effluents | 90 | 212.86 | 15.0 * | Thermal + alkaline (60 °C, 0.5 M NaOH, 10% w/v PLA, 12 h) | Biogas | SEM | |||||||||
| PLA | PLA film | 3–5 mm, thickness 80 μm | 30 | Inoculum: mesophilic digestate from a UASB anaerobic digester treating drink production effluents | 90 | 215.47 | 20.2 * | Thermal + alkaline (60 °C, 0.5 M NaOH, 10% w/v PLA, 24 h) | Biogas | SEM | |||||||||
| PLA | PLA film | 3–5 mm, thickness 80 μm | 30 | Inoculum: mesophilic digestate from a UASB anaerobic digester treating drink production effluents | 90 | 230.21 | 21.6 * | Thermal + alkaline (45 °C, 0.25 M NaOH, 10% w/v PLA, 32.2 h) | Biogas | SEM | |||||||||
| PLA | PLA film | 3–5 mm, thickness 80 μm | 30 | Inoculum: mesophilic digestate from a UASB anaerobic digester treating drink production effluents | 90 | 126.15 | 11.8 * | Thermal + alkaline (20 °C, 0.25 M NaOH, 10% w/v PLA, 12 h) | Biogas | SEM | |||||||||
| PLA | PLA film | 3–5 mm, thickness 80 μm | 30 | Inoculum: mesophilic digestate from a UASB anaerobic digester treating drink production effluents | 90 | 132.42 | 12.4 * | Thermal + alkaline (45 °C, 0.25 M NaOH, 10% w/v PLA, 12 h) | Biogas | SEM | |||||||||
| PLA | PLA film | 3–5 mm, thickness 80 μm | 30 | Inoculum: mesophilic digestate from a UASB anaerobic digester treating drink production effluents | 90 | 147.14 | 13.8 * | Thermal + alkaline (70 °C, 0.25 M NaOH, 10% w/v PLA, 12 h) | Biogas | SEM | |||||||||
| PLA | Commercial PLA items | 2 mm | 37 | ISR=2 (VS basis) | 250 | 130 | CH4 | [114] | |||||||||||
| PLA | Commercial PLA items | 2 mm | 37 | ISR=2 (VS basis) | 250 | 125 | 48 h, acidic pretreatment (HCl) to pH = 2 | CH4 | |||||||||||
| PLA | Commercial PLA items | 2 mm | 37 | ISR=2 (VS basis) | 250 | 101 | 48 h, alkaline pretreatment (NaOH) to pH = 12 | CH4 | |||||||||||
| PLA | Crystalline PLA | cups, 2 × 2 cm | 37 | Inoculum: anaerobic digestate from a digester treating wastewater | 70 | 687 | CH4 | 98.2 | [148] | ||||||||||
| PLA | Crystalline PLA | cups, 2 × 2 cm | 37 | Inoculum: anaerobic digestate from a digester treating wastewater | 70 | 928 | Alkaline pretreatment (NaOH), 21 °C, pH = 12.96, 15 d | CH4 | |||||||||||
| PLA | NaturePlast | 1 mm sheet | 38 | I/S = 2.85 (VS basis); working V = 300 mL | 500 | 438 | 80.3 | CH4 | x | [95] | |||||||||
| PLA | Total Corbion | 1 mm sheet | 38 | I/S = 2.85 (VS basis); working V = 300 mL | 500 | 344.4 | 74.7 | CH4 | x | ||||||||||
| PLA | Commercial spoons | 2–5 mm | 38 | 49 | 63.4 | CH4 | FTIR, DSC | [149] | |||||||||||
| PLA | NaturePlast | Granules | 38 | BMP tests with I/S = 2.85 (VS basis) | 520 | 429 | 82 | CH4 | SEM | [150] | |||||||||
| PLA | NaturePlast | 1–2 mm | 38 | BMP tests with I/S = 2.85 (VS basis) | 520 | 427 | 82 | CH4 | SEM | ||||||||||
| PLA | NaturePlast | 0.8–1 mm | 38 | BMP tests with I/S = 2.85 (VS basis) | 520 | 441 | 84 | CH4 | SEM | ||||||||||
| PLA | NaturePlast | 0.5–0.8 mm | 38 | BMP tests with I/S = 2.85 (VS basis) | 520 | 441 | 84 | CH4 | SEM | ||||||||||
| PLA | NaturePlast | 0.3–0.5 mm | 38 | BMP tests with I/S = 2.85 (VS basis) | 520 | 455 | 87 | CH4 | SEM | ||||||||||
| PLA | NaturePlast | 0.05–0.3 mm | 38 | BMP tests with I/S = 2.85 (VS basis) | 520 | 460 | 88 | CH4 | SEM | ||||||||||
| PLA | NaturePlast | Granules | 38 | BMP tests with I/S = 2.85 (VS basis) | 25 | 14 | 3 | CH4 | SEM | ||||||||||
| PLA | NaturePlast | Granules | 38 | BMP tests with I/S = 2.85 (VS basis) | 25 | 389 | 75 | 150 °C 6 h | CH4 | SEM | |||||||||
| PLA | NaturePlast | Granules | 38 | BMP tests with I/S = 2.85 (VS basis) | 25 | 382 | 73 | 150 °C + 5% Ca(OH)2 1 h | CH4 | SEM | |||||||||
| PLA | NaturePlast | Granules | 38 | BMP tests with I/S = 2.85 (VS basis) | 25 | 370 | 71 | 120 °C 24 h | CH4 | SEM | |||||||||
| PLA | NaturePlast | Granules | 38 | BMP tests with I/S = 2.85 (VS basis) | 25 | 391 | 75 | 120 °C + 5% Ca(OH)2 6 h | CH4 | SEM | |||||||||
| PLA | NaturePlast | Granules | 38 | BMP tests with I/S = 2.85 (VS basis) | 25 | 147 | 28 | 90 °C 48 h | CH4 | SEM | |||||||||
| PLA | NaturePlast | Granules | 38 | BMP tests with I/S = 2.85 (VS basis) | 25 | 351 | 67 | 90 °C + 5% Ca(OH)2 48 h | CH4 | SEM | |||||||||
| PLA | NaturePlast | Granules | 38 | BMP tests with I/S = 2.85 (VS basis) | 25 | 24 | 5 | 70 °C 48 h | CH4 | SEM | |||||||||
| PLA | NaturePlast | Granules | 38 | BMP tests with I/S = 2.85 (VS basis) | 25 | 328 | 63 | 70 °C + 5% Ca(OH)2 48 h | CH4 | SEM | |||||||||
| PLA | NaturePlast | Granules | 38 | BMP tests with I/S = 2.85 (VS basis) | 30 | 21 | 4 | CH4 | SEM | ||||||||||
| PLA | NaturePlast | Granules | 38 | BMP tests with I/S = 2.85 (VS basis) | 30 | 136 | 26 | 90 °C 48 h | CH4 | SEM | |||||||||
| PLA | NaturePlast | Granules | 38 | BMP tests with I/S = 2.85 (VS basis) | 30 | 354 | 68 | 90 °C + 5% Ca(OH)2 48 h | CH4 | SEM | |||||||||
| PLA | NaturePlast | Granules | 38 | BMP tests with I/S = 2.85 (VS basis) | 30 | 352 | 67 | 90 °C + 2.5% Ca(OH)2 48 h | CH4 | SEM | |||||||||
| PLA | NaturePlast | Granules | 38 | BMP tests with I/S = 2.85 (VS basis) | 30 | 260 | 50 | 90 °C + 1.25% Ca(OH)2 48 h | CH4 | SEM | |||||||||
| PLA | NaturePlast | Granules | 38 | BMP tests with I/S = 2.85 (VS basis) | 30 | 178 | 34 | 90 °C + 0.5% Ca(OH)2 48 h | CH4 | SEM | |||||||||
| PLA | NaturePlast | Granules | 38 | BMP tests with I/S = 2.85 (VS basis) | 30 | 48 | 9 | 70 °C 48 h | CH4 | SEM | |||||||||
| PLA | NaturePlast | Granules | 38 | BMP tests with I/S = 2.85 (VS basis) | 30 | 338 | 65 | 70 °C + 5% Ca(OH)2 48 h | CH4 | SEM | |||||||||
| PLA | NaturePlast | Granules | 38 | BMP tests with I/S = 2.85 (VS basis) | 30 | 381 | 73 | 70 °C + 2.5% Ca(OH)2 48 h | CH4 | SEM | |||||||||
| PLA | NaturePlast | Granules | 38 | BMP tests with I/S = 2.85 (VS basis) | 30 | 286 | 55 | 70 °C + 1.25% Ca(OH)2 48 h | CH4 | SEM | |||||||||
| PLA | NaturePlast | Granules | 38 | BMP tests with I/S = 2.85 (VS basis) | 30 | 167 | 32 | 70 °C + 0.5% Ca(OH)2 48 h | CH4 | SEM | |||||||||
| PLA | PLA (NaturePlast) | particles 1.01 mm (mean size) | 38 | I/S = 10 (VS basis) | 400 | 426 | 82 | CH4 | [99] | ||||||||||
| PLA | PLA (NaturePlast) | particles 1.01 mm (mean size) | 38 | I/S = 4 (VS basis) | 400 | 385 | 74 | CH4 | |||||||||||
| PLA | PLA (NaturePlast) | particles 1.01 mm (mean size) | 38 | I/S = 2.85 (VS basis) | 400 | 401 | 77 | CH4 | |||||||||||
| PLA | PLA (NaturePlast) | particles 1.01 mm (mean size) | 38 | I/S = 2 (VS basis) | 400 | 417 | 80 | CH4 | |||||||||||
| PLA | PLA (NaturePlast) | particles 1.01 mm (mean size) | 38 | I/S = 1 (VS basis) | 400 | 404 | 77 | CH4 | |||||||||||
| PLA | 0.1–0.25 mm | 36 | Anaerobic aqueous conditions ISO 14853; working V = 1 L; 1 gTS/L inoculum + 150 mg/L test material | 77 | 4.6 | Biogas | [123] | ||||||||||||
| PLA | 1.1 × 4.5 × 1.2 mm | 35 | Working V = 150 mL; polymer = 4.151 mg C/L | 140 | 0 | 0 | Biogas | 0 | FTIR, DSC, SEM | [137] | |||||||||
| PLA | PLA (crystallinity 35%) | 35 | 170 | 0 | 0 | 0 | CH4 | [151] | |||||||||||
| PLA | PLA (crystallinity 50%) | 35 | 170 | 0 | 0 | 0 | CH4 | ||||||||||||
| PLA | PLA (amorphous) | 35 | 170 | 189 | 40 | CH4 | |||||||||||||
| PLA blend | Ecovio® (PLA + fossil biodegradable Ecoflex® plastic) coffee capsules | <1 mm | 38 | Inoculum: sludge from a wastewater treatment plant, acclimated in the lab at 38 °C. Digestion conditions: ISR = 2.7 (VS basis), VS content = 9 g/L | 100 | 127 | 24 | X | [95] | ||||||||||
| PLA/PCL | PLA/PCL (80/20) | 0.1–0.25 mm | 36 | Method ISO 14853; working V = 1 L; 1 g TS/L inoculum + 150 mg/L test material | 77 | 0 | Biogas | [123] | |||||||||||
| PLA+PBS | PLA/PBS (80/20) | <2 × 2 cm | 35 | Inoculum: sludge from a WWTP. Method: ISO 14853 | 56 | 0 | Biogas | DSC, SEM | [126] | ||||||||||
| PLA+PCL | PLA/PCL (80/20) | <2 × 2 cm | 35 | Inoculum: sludge from a WWTP. Method: ISO 14853 | 56 | 0 | Biogas | DSC, SEM | |||||||||||
| PLA+PHB | PLA/PHB (80/20) | <2 × 2 cm | 35 | Inoculum: sludge from a WWTP. Method: ISO 14853 | 56 | 0 | Biogas | DSC, SEM | |||||||||||
| PLA+PHO | PLA/PHO (80/15) | <2 × 2 cm | 35 | Inoculum: sludge from a WWTP. Method: ISO 14853 | 56 | 2 | Biogas | DSC, SEM | |||||||||||
| PVA | Film | 0.25 × 0.25 cm | 35 | ASTM D 5210-91; 150 mL working V + 100 mg polymer; flushed with N2 | 77 | 8 | Biogas | [131] | |||||||||||
| PVA | Film | 0.25 × 0.25 cm | 35 | ISO 11734; 150 mL working V+ 100 mg polymer; flushed with N2 | 77 | 10 | Biogas | ||||||||||||
| PVA | PVA (Dupont) | 5 × 5 × 1 mm film | 38 | Plastic: 2 g. Inoculum: supernatant from a laboratory scale digester fed with a mixture of primary domestic sludge and food waste | 100 | 5 | --- | --- | --- | [152] | |||||||||
| Starch-based | Vegemat® coffee capsules | <1 mm | 38 | Inoculum: sludge from a wastewater treatment plant, acclimated in the lab at 38 °C. Digestion conditions: ISR = 2.7 (VS basis), VS content = 9 g/L | 100 | 92 | 18 | CH4 | x | [95] | |||||||||
| Starch blend | Starch (25% amylose) and PVA blend | Film | 35 | Plastic: 20 g. Inoculum: digestate from a wastewater treatment plant. Method: ASTM D5210-92. | 25 | 52 | [153] | ||||||||||||
| Starch blend | High-amylose starch (80% amylose)-PVA blend | Film | 35 | Plastic: 20 g. Inoculum: digestate from a wastewater treatment plant. Method: ASTM D5210-92. | 20 | 54 | |||||||||||||
| Starch blend | Starch (from wheat)/PVOH | Foam | 37 | Substrate to inoculum ratio: 1 (VS basis). Inoculum: digestate from a mesophilic anaerobic digester | 10 | 270 | 72.1 | CH4 | [154] | ||||||||||
| Starch blend | Starch (from potato)/PVOH | Foam | 37 | Substrate to inoculum ratio: 1 (VS basis). Inoculum: digestate from a mesophilic anaerobic digester | 10 | 265 | 68.6 | CH4 | |||||||||||
| Starch blend | Starch (from maize)/PVOH | Foam | 37 | Substrate to inoculum ratio: 1 (VS basis). Inoculum: digestate from a mesophilic anaerobic digester | 10 | 248 | 75.4 | CH4 | |||||||||||
| Starch blend | Starch:PVOH blends (90/10%) | 5 × 5 × 1 mm film | 38 | Plastic: 2 g. Inoculum: supernatant from a laboratory scale digester fed with a mixture of primary domestic sludge and food waste | 100 | 140 | [152] | ||||||||||||
| Starch blend | Starch:PVOH blends (75/25%) | 5 × 5 × 1 mm film | 38 | Plastic: 2 g. Inoculum: supernatant from a laboratory scale digester fed with a mixture of primary domestic sludge and food waste | 100 | 118 | |||||||||||||
| Starch blend | Starch:PVOH blends (50/50%) | 5 × 5 × 1 mm film | 38 | Plastic: 2 g. Inoculum: supernatant from a laboratory scale digester fed with a mixture of primary domestic sludge and food waste | 100 | 60 | |||||||||||||
| Starch blend | Starch-based film blend 1 | 1 × 1 cm film | 37 | Plastic to inoculum ratio: 0.25 (VS basis). Inoculum: digestate from a mesophilic digester treating municipal wastewater sludge | 65 | 18.3 | 18.0 | [115] | |||||||||||
| Starch blend | Starch-based film blend 2 | 1 × 1 cm film | 37 | Plastic to inoculum ratio: 0.25 (VS basis). Inoculum: digestate from a mesophilic digester treating municipal wastewater sludge | 65 | 10.2 | 10.6 | ||||||||||||
| Starch blend | Starch-based blend | 4.3 mm | 37 | ISR: 4 (VS basis). Inoculum: digestate from a mesophilic lab-scale digester | 26 | 250 | 35.9 ● | CH4 | [155] | ||||||||||
| Starch blend | Starch-based blend | 0.72 mm | 37 | ISR: 4 (VS basis). Inoculum: digestate from a mesophilic lab-scale digester | 26 | 246 | 35.4 ● | CH4 | |||||||||||
| Starch blend | Starch-based blend | 4.3 mm | 37 | ISR: 3 (VS basis). Inoculum: digestate from a mesophilic lab-scale digester | 26 | 197 | 28.3 ● | CH4 | |||||||||||
| Starch blend | Starch-based blend | 0.72 mm | 37 | ISR: 3 (VS basis). Inoculum: digestate from a mesophilic lab-scale digester | 26 | 186 | 26.7 ● | CH4 | |||||||||||
| Starch blend | Starch-based blend | 7.87 mm | 37 | ISR: 4 (VS basis). Inoculum: digestate from a mesophilic lab-scale digester | 26 | 182 | 26.2 ● | CH4 | |||||||||||
| Starch blend | Starch-based blend | 7.87 mm | 37 | ISR: 3 (VS basis). Inoculum: digestate from a mesophilic lab-scale digester | 26 | 161 | 23.1 ● | CH4 | |||||||||||
| Starch blend | Starch-based blend | 4.3 mm | 37 | ISR: 2 (VS basis). Inoculum: digestate from a mesophilic lab-scale digester | 26 | 166 | 23.9 ● | CH4 | |||||||||||
| Starch blend | Starch-based blend | 0.72 mm | 37 | ISR: 2 (VS basis). Inoculum: digestate from a mesophilic lab-scale digester | 26 | 157 | 22.6 ● | CH4 | |||||||||||
| Starch blend | Starch-based blend | 7.87 mm | 37 | ISR: 2 (VS basis). Inoculum: digestate from a mesophilic lab-scale digester | 26 | 135 | 19.4 ● | CH4 | |||||||||||
| Starch blend | Starch-based shopping bags | film, 5 × 5 cm | 37 | Mesophilic digestate from a full-scale dry anaerobic digester treating OFMSW | 60 | 119 | 29.5 | CH4 | FTIR | [10] | |||||||||
| Starch blend | Starch-based shopping bags | film, 5 × 5 cm | 37 | Mesophilic digestate from a full-scale dry anaerobic digester treating OFMSW | 90 | CH4 | 67.3 | FTIR | |||||||||||
| Starch blend | Commercial spoons | 2–5 mm | 38 | 49 | 50.38 | CH4 | FTIR, DSC | [149] | |||||||||||
| starch blend | Granulate | 0.2–0.63 mm | 35 | ASTM D 5210-91; 150 mL working V + 100 mg polymer; flushed with N2 | 41 | 57 | Biogas | [131] | |||||||||||
| starch blend | Granulate | 0.2–0.63 mm | 35 | ASTM D 5210-91; 150 mL working V + 100 mg polymer; flushed with 70% N2/30% CO2 | 33 | 55 | Biogas | ||||||||||||
| starch blend | Granulate | 0.2–0.63 mm | 35 | ISO 11734; 150 mL working V+ 100 mg polymer; flushed with N2 | 41 | 54.6 | Biogas | ||||||||||||
| starch blend | Granulate | 0.2–0.63 mm | 35 | ISO 11734; 150 mL working V+ 100 mg polymer; flushed with 70% N2/30% CO2 | 33 | 49 | Biogas | ||||||||||||
| Starch-based | Starch-based bags | 2 mm | 37 | ISR = 2 (VS basis) | 250 | 200.9 | CH4 | [114] | |||||||||||
| Starch-based | Starch-based bags | 2 mm | 37 | ISR = 2 (VS basis) | 250 | 203.9 | 48 h, acidic pretreatment (HCl) to pH = 2 | CH4 | |||||||||||
| Starch-based | Starch-based bags | 2 mm | 37 | ISR = 2 (VS basis) | 250 | 158 | 48 h, alkaline pretreatment (NaOH) to pH = 12 | CH4 | |||||||||||
| Starch-based | Starch-based cutlery | 2 mm | 37 | ISR = 2 (VS basis) | 250 | 312.5 | CH4 | ||||||||||||
| Starch-based | Starch-based cutlery | 2 mm | 37 | ISR = 2 (VS basis) | 250 | 302.5 | 48 h, acidic pretreatment (HCl) to pH = 2 | CH4 | |||||||||||
| Starch-based | Starch-based cutlery | 2 mm | 37 | ISR=2 (VS basis) | 250 | 252.9 | 48 h, alkaline pretreatment (NaOH) to pH = 12 | CH4 | |||||||||||
| TPS | TPS (Bioplast TPS, BIOTEC) | <2 × 2 cm | 35 | Inoculum: sludge from a WWTP. Method: ISO 14853 | 56 | 98% | biogas | DSC, SEM | [126] | ||||||||||
| TPS | TPS | 1 mm sheet | 38 | I/S = 2.85 (VS basis); working V = 300 mL | 30 | 309.5 | 82.6% | CH4 | x | [95] | |||||||||
| Class | Bioplastic Type | Size and Shape | T | Test Conditions | Time | Biogas/Methane Production | Degree of Biodegr. | Pre-Treatment | Biodegr. Eval. | Mass Loss | Analytical Techniques | Visual Insp. | Microb. Charact. | Ref. | |||
|---|---|---|---|---|---|---|---|---|---|---|---|---|---|---|---|---|---|
| (°C) | (1) | (2) | (3) | (4) | (%) | (%) | |||||||||||
| Cellulose-based | Cellulose | 1 × 1 cm film | 55 | Plastic to inoculum ratio: 0.5. Inoculum: sludge from a waste management company | 35 | 280 | 18.3 | biogas | x | [156] | |||||||
| Cellulose-based | Cellulose | 2 × 2 cm film | 55 | Plastic to inoculum ratio: 0.5. Inoculum: sludge from a waste management company | 35 | 260 | 17.1 | biogas | x | ||||||||
| Cellulose-based | Cellulose | 3 × 3 cm film | 55 | Plastic to inoculum ratio: 0.5. Inoculum: sludge from a waste management company | 35 | 250 | 16.3 | biogas | x | x | |||||||
| Starch-based | Vegemat® coffee capsules | <1 mm | 58 | Inoculum: sludge from a wastewater treatment plant, acclimated in the lab at 58 °C. Digestion conditions: ISR = 2.7 (VS basis), VS content = 9 g/L | 100 | 355 | 69 | CH4 | [95] | ||||||||
| Mater-Bi | Mater-Bi coffee capsules | <1 mm | 58 | Inoculum: sludge from a wastewater treatment plant, acclimated in the lab at 58 °C. Digestion conditions: ISR = 2.7 (VS basis), VS content = 9 g/L | 100 | 257 | 47 | CH4 | x | ||||||||
| Mater-Bi | Mater-Bi (60% starch, 40% hydrophilic resin) | entire bag | 55 | Plastic to inoculum ratio: 0.5 (VS basis). Inoculum: liquid digestate from mesophilic anaerobic digester fed with manure, agro-wastes, and residues shifted progressively to thermophilic condition | 30 | 186 | CH4 | 28.5 | x | [116] | |||||||
| Mater-Bi | Mater-Bi (PCL + starch, Novamont) | Small piece of plastic bags <1 mm | 55 | Plastic: 1 g. Inoculum: 5 mL of pig slurry mixed with synthetic medium for methanogens and acclimated to mesophilic anaerobic condition | 90 | 303 | 55 | --- | x | [12] | |||||||
| Mater-Bi | Shopper | 2.5 × 2.5 cm | 55 | 300 mL inoculum + 3 g bioplastic | 15 | 95 | 22.5 | CH4 | 21.7 | FTIR | x | [157] | |||||
| Mater-Bi | Shopper | 2.5 × 2.5 cm | 55 | 300 mL inoculum + 3 g bioplastic | 30 | 139 | 25.5 | CH4 | 28.7 | FTIR | x | ||||||
| Mater-Bi | Shopper | 2.5 × 2.5 cm | 55 | 300 mL inoculum + 3 g bioplastic | 60 | 165 | 29.2 | CH4 | 30.0 | FTIR | x | ||||||
| Mater-Bi | Shopper | 2.5 × 2.5 cm | 55 | 300 mL inoculum + 3 g bioplastic | 30 | 142 | 25.1 | CH4 | 26.8 | FTIR | x | [158] | |||||
| Mater-Bi | Shopper | 2.5 × 2.5 cm | 55 | 300 mL inoculum + 3 g bioplastic | 60 | 194 | 34.4 | CH4 | 35.0 | FTIR | x | ||||||
| Mater-Bi | Shopper | 2.5 × 2.5 cm | 55 | 300 mL inoculum + 3 g bioplastic | 90 | 224 | 40 | CH4 | 37.8 | FTIR | x | ||||||
| PBAT | Commercial PBAT | 2 × 2 mm, thickness 0.1 mm | 52 | Inoculum: mixture of soil (70%) and anaerobic sludge (30%) from a municipal wastewater treatment plant. PBAT addition: 1% wt. | 75 | --- | 9.3 | SEM | x | [159] | |||||||
| PBAT | PBAT 93 000 g/mol (Ecoflex, BASF) | 5 × 5 mm film 70 μm of thickness | 55 | Inoculum: mesophilic anaerobic sludge (37 °C) from a municipal waste water-treatment plant acclimated to thermophilic temperature (55 °C) for two weeks | 126 | 8.3 | biogas | 8.5 | DSC, XRD | [122] | |||||||
| PBAT | PBAT | 1 mm sheet | 58 | I/S = 2.85 (VS basis); working volume = 300 mL | 100 | 11.05 | 1.7 | CH4 | x | [95] | |||||||
| PBS | Commercial PBS | 2 × 2 mm, thickness 0.1 mm | 52 | Inoculum: mixture of soil (70%) and anaerobic sludge (30%) from a municipal wastewater treatment plant. PBS addition: 1% wt. | 75 | --- | 36.2 | SEM | x | [159] | |||||||
| PBS | PBS (PBE 003, NaturePlast | <2 × 2 cm | 55 | Method: high solid anaerobic digestion (ISO 15985) | 90 | 12 | biogas | DSC, SEM | [126] | ||||||||
| PBS | PBS (Enpol G4560, IRE Chemical Ltd.) | 5 × 5 mm thin film (100 μm) | 55 | Plastic: 50 mg. Inoculum: mesophilic anaerobic sludge from a wastewater treatment plant acclimated to thermophilic temperature | 113 | 20.2 | biogas | DSC, XRD, SEM | [127] | ||||||||
| PBS | PBS (Enpol G4560, IRE Chemical Ltd.) | 5 × 5 mm thick film (1.02 mm) | 55 | Plastic: 50 mg. Inoculum: mesophilic anaerobic sludge from a wastewater treatment plant acclimated to thermophilic temperature | 113 | 20.1 | biogas | 24.8 | DSC, XRD, SEM | ||||||||
| PBS | PBS (Enpol G4560, IRE Chemical Ltd.) | Powder (320 μm) | 55 | Plastic: 50 mg. Inoculum: mesophilic anaerobic sludge from a wastewater treatment plant acclimated to thermophilic temperature | 113 | 18.1 | biogas | DSC, XRD, SEM | |||||||||
| PBS | PBS (Enpol G4560, IRE Chemical Ltd.) | 5 × 5 mm thin film (100 μm) | 55 | Plastic: 50 mg. Inoculum: mesophilic anaerobic sludge from a wastewater treatment plant shifted to thermophilic temperature with addition of a PBS acclimated inoculum from a previous experiment | 113 | 23.3 | biogas | DSC, XRD, SEM | |||||||||
| PBS | PBS (Enpol G4560, IRE Chemical Ltd.) | 5 × 5 mm thick film (1.02 mm) | 55 | Plastic: 50 mg. Inoculum: mesophilic anaerobic sludge from a wastewater treatment plant shifted to thermophilic temperature with addition of a PBS acclimated inoculum from a previous experiment | 113 | 22 | biogas | 25.4 | DSC, XRD, SEM | ||||||||
| PBS | PBS (Enpol G4560, IRE Chemical Ltd.) | Powder (320 μm) | 55 | Plastic: 50 mg. Inoculum: mesophilic anaerobic sludge from a wastewater treatment plant shifted to thermophilic temperature with addition of a PBS acclimated inoculum from a previous experiment | 113 | 10.3 | biogas | DSC, XRD, SEM | |||||||||
| PBS | PBS (Sigma-Aldrich) | 125–250 μm | 55 | Plastic: 10 g. Inoculum: digestate from a mesophilic anaerobic digester treating cow manure and green waste acclimated to 55 °C. Pre-incubation of the inoculum with 20 mL of sludge acclimated to PLA | 100 | 3 | biogas | x | [101] | ||||||||
| PBS | PBS | 1 mm sheet | 58 | I/S = 2.85 (VS basis); working volume = 300 mL | 100 | 0 | 0 | CH4 | x | [95] | |||||||
| PCL | PCL (Mn 58.1 kg.mol−1) | 10 × 10 × 0.7 mm film | 55 | Plastic to inoculum ratio: 0.38 g COD/g VSS. Inoculum: thermophilic digested sludge from a digester | 140 | 663 | 60 | biogas | DSC, SEM | [160] | |||||||
| PCL | PCL (Mn 38. kg.mol−1) | Powder | 55 | 80 | 643 | 54 | biogas | DSC, SEM | |||||||||
| PCL | PCL (Mn 13 kg.mol−1) | 55 | 70 | 676 | 57 | biogas | DSC, SEM | ||||||||||
| PCL | PCL (CAPA 6500, Perstorp) | <2 × 2 cm | 55 | Method: high solid anaerobic digestion (ISO 15985) | 127 | 95 | biogas | DSC, SEM | [126] | ||||||||
| PCL | PCL (Mw 65,000, Aldrich) | 125–250 μm | 55 | Plastic: 10 g. Inoculum: digestate from a mesophilic anaerobic digester treating cow manure and green waste acclimated to 55 °C | 47 | 697 | 92 * | biogas | [161] | ||||||||
| PCL | PCL (Sigma-Aldrich) | 125–250 μm | 55 | Plastic: 10 g. Inoculum: digestate from a mesophilic anaerobic digester treating cow manure and green waste acclimated to 55 °C. Pre-incubation of the inoculum with 20 mL of sludge acclimated to PLA | 45 | 84 | biogas | x | [101] | ||||||||
| PCL | PCL | 1-cm2 film | 52 | Plastic to inoculum ratio: 0.5 (VS basis). Inoculum: digestate from a mesophilic anaerobic digester fed with food wastes and manure shifted to thermophilic temperature (10 days) | 30 | 44.4 | 11.3 | CH4 | [130] | ||||||||
| PCL | PCL | 1 mm sheet | 58 | I/S = 2.85 (VS basis); working volume = 300 mL | 100 | 0 | 0 | CH4 | x | [95] | |||||||
| PCL | PCL (Mw 65,000, Aldrich) | <125 μm | 55 | Plastic: 10 g. Inoculum: digestate from a mesophilic anaerobic digester treating cow manure and green waste acclimated to 55 °C | 38.5 | 88 * | Size red. | biogas | [161] | ||||||||
| PCL | PCL (Mw 65,000, Aldrich) | 125–250 μm | 55 | Plastic: 10 g. Inoculum: digestate from a mesophilic anaerobic digester treating cow manure and green waste acclimated to 55 °C | 58.5 | 85 * | Size red. | biogas | |||||||||
| PCL | PCL (Mw 65,000, Aldrich) | 250–500 μm | 55 | Plastic: 10 g. Inoculum: digestate from a mesophilic anaerobic digester treating cow manure and green waste acclimated to 55 °C | 65 | 81 * | Size red. | biogas | |||||||||
| PCL+PHO | PCL/PHO (85/15) | <2 × 2 cm | 55 | Method: high solid anaerobic digestion (ISO 15985) | 66 | 85 | biogas | DSC, SEM | [126] | ||||||||
| PCL+TPS | PCL/TPS (70/30) | <2 × 2 cm | 55 | Method: high solid anaerobic digestion (ISO 15985) | 80 | 68 | biogas | DSC, SEM | |||||||||
| PCL+TPS | 80% PCL 20% TPS | 1-cm2 film | 52 | Plastic to inoculum ratio: 0.5 (VS basis). Inoculum: digestate from a mesophilic anaerobic digester fed with food wastes and manure shifted to thermophilic temperature (10 days) | 30 | 104 | 26.2 | biogas | DSC, SEM | [130] | |||||||
| PHB | PHB (ENMAT Y1000, TiTAN) | <2 × 2 cm | 55 | Method: high solid anaerobic digestion (ISO 15985) | 127 | 92 | biogas | DSC, SEM | [126] | ||||||||
| PHB | PHB (Sigma-Aldrich) | 125–250 μm | 55 | Plastic: 10 g. Inoculum: digestate from a mesophilic anaerobic digester treating cow manure and green waste acclimated to 55 °C. Pre-incubation of the inoculum with 20 mL of sludge acclimated to PLA | 18 | 88 | biogas | x | [101] | ||||||||
| PHB | PHB Biomer | 1 mm sheet | 58 | I/S = 2.85 (VS basis); working V = 300 mL | 45 | 350.8 | 57.6 | CH4 | x | [95] | |||||||
| PHB | PHB K. D. | 1 mm sheet | 58 | I/S = 2.85 (VS basis); working V = 300 mL | 49 | 399.1 | 72.3 | CH4 | x | ||||||||
| PHB+PBS | PHB/PBS (50/50) | <2 × 2 cm | 55 | Method: high solid anaerobic digestion (ISO 15985) | 121 | 78 | biogas | DSC, SEM | [126] | ||||||||
| PHB+PCL | PHB/PCL (60/40) | <2 × 2 cm | 55 | Method: high solid anaerobic digestion (ISO 15985) | 80 | 104 | biogas | DSC, SEM | |||||||||
| PHB+PHO | PHB/PHO (85/15) | <2 × 2 cm | 55 | Method: high solid anaerobic digestion (ISO 15985) | 66 | 87 | biogas | DSC, SEM | |||||||||
| PHBV | PHBV | Pellets | 55 | Inoculum: 1:1 mixture of mesophilic and thermophilic digestate from lab-scale digesters. ISR = 1 (VS basis). Solids content in the reactor: 7.22% TS | 104 | 80.5 | --- | SEM | [142] | ||||||||
| PHBV | Commercial PHBV | 2 × 2 mm, thickness 0.1 mm | 52 | Inoculum: mixture of soil (70%) and anaerobic sludge (30%) from a municipal wastewater treatment plant. PHBV addition: 1% wt. | 75 | --- | 100.0 | SEM | x | [159] | |||||||
| PHO | PHO (Bioplastech R, Bioplastech) | <2 × 2 cm | 55 | Method: high solid anaerobic digestion (ISO 15985) | 50 | 6 | biogas | DSC, SEM | [126] | ||||||||
| PLA | Commercial PLA blend (80% PLA, 20% additives) | <2 mm | 55 | Mesophilic digestate from a full-scale anaerobic digestere treating sewage sludge | 146 | 442.6 | 94.8 | CH4 | [146] | ||||||||
| PLA | Commercial PLA | 2 × 2 mm, thickness 0.1 mm | 52 | Inoculum: mixture of soil (70%) and anaerobic sludge (30%) from a municipal wastewater treatment plant. PLA addition: 1% wt. | 75 | --- | 60.0 | SEM | x | [159] | |||||||
| PLA | PLA (Mn 44.5 kg/mol) | 10 × 10 × 0.7 mm film | 55 | Plastic to inoculum ratio: 0.15 g COD/g VSS. Inoculum: thermophilic digested sludge from a digester | 120 | 677 | 74 | biogas | DSC, SEM | [160] | |||||||
| PLA | PLA (Mn 3.4 kg/mol) | Powder | 55 | Plastic to inoculum ratio: 0.15 g COD/g VSS. Inoculum: thermophilic digested sludge from a digester | 90 | 520 | 56 | biogas | DSC, SEM | ||||||||
| PLA | PLA (Mn 0.35 kg/mol) | Powder | 55 | Plastic to inoculum ratio: 0.15 g COD/g VSS. Inoculum: thermophilic digested sludge from a digester | 30 | 625 | 84 | biogas | DSC, SEM | ||||||||
| PLA | PHB (Biopol) | 2 × 2 cm | 52 | Plastic: 3–5 g. Inoculum: anaerobic digester for solid waste | 20 | 73 | biogas | [144] | |||||||||
| PLA | PLA | 2 × 2 cm | 52 | Plastic: 3–5 g. Inoculum: anaerobic digester for solid waste | 40 | 60 | biogas | ||||||||||
| PLA | PLA | 1 × 1, 2 × 2, 3 × 3 cm rigid pieces | 55 | Plastic to inoculum ratio: 0.5. Inoculum: sludge from a waste management plant | 35 | 20 | 0 | biogas | x | [156] | |||||||
| PLA | PLA (Luminy L130, Mw = 130 kDa) | Pellets | 55 | Plastic: 3 g. Inoculum: sludge from a thermophilic anaerobic digester treating food waste, plant residues, and other organic waste products | 104 | 224 | CH4 | 70.0 | x | [102] | |||||||
| PLA | PLA (Luminy L175, Mw = 175 kDa) | Pellets | 55 | Plastic: 3 g. Inoculum: sludge from a thermophilic anaerobic digester treating food waste, plant residues, and other organic waste products | 104 | 266 | CH4 | 77.7 | |||||||||
| PLA | PLA (Biopolymer-4043D, Nature Works) | <2 × 2 cm | 55 | Plastic: 15 g. Inoculum: 1 kg of digestate from a thermophilic reactor treating household waste. | 80 | 88 | biogas | DSC, SEM | [126] | ||||||||
| PLA | PLA film 25 μm of thickness (Unitaka) | Powder 125–250 μm | 55 | Inoculum: digestate from a mesophilic anaerobic digester treating cow manure and green waste acclimated to 55 °C. Addition of 20 mL of acclimated sludge to PLA thermophilic digestion during the pre-incubation | 73 | 782 | 84.1 * | biogas | [162] | ||||||||
| PLA | PLA (H-400, Mitsui Chemical) | 125–250 μm | 55 | Plastic: 10 g. Inoculum: digestate from a mesophilic anaerobic digester treating cow manure and green waste acclimated to 55 °C. Undiluted inoculum used | 82 | 469 | 91 * | biogas | [161] | ||||||||
| PLA | PLA (H-400, Mitsui Chemical) | 125–250 μm | 55 | Plastic: 10 g. Inoculum: digestate from a mesophilic anaerobic digester treating cow manure and green waste acclimated to 55 °C. Diluted inoculum used | 107 | 388 | 79 * | biogas | |||||||||
| PLA | PLA (H-400, Mitsui Chemical) | 125–250 μm | 55 | Plastic: 5 g. Inoculum: digestate from a mesophilic anaerobic digester treating cow manure and green waste acclimated to 55 °C. Diluted inoculum used | 112 | 374 | 80 * | biogas | |||||||||
| PLA | PLA (Ingeo) | Small piece of plastic bags <1 mm | 55 | Plastic: 1 g. Inoculum: 5 mL of pig slurry mixed with synthetic medium for methanogens and acclimated to mesophilic anaerobic condition | 90 | 267 | 56 | --- | x | [12] | |||||||
| PLA | PLA (Fabri-Kal Inc.) | Plastic cup ground to 3 mm | 58 | Plastic: 1 g. Inoculum: 10 mL of anaerobic inoculum | 56 | 187 | 40 | [143] | |||||||||
| PLA | PLA (Unitika) | 125–250 μm | 55 | Plastic: 10 g. Inoculum: digestate from a mesophilic anaerobic digester treating cow manure and green waste acclimated to 55 °C. Pre-incubation of the inoculum with 20 mL of sludge acclimated to PLA | 80 | 82 | biogas | x | [101] | ||||||||
| PLA | PLA (NatureWorks 4043D) | Sheets | 52 | Plastic to inoculum ratio: 0.5 (VS basis). Inoculum: digestate from a mesophilic anaerobic digester treating industrial food waste and manure | 36 | 409 | 90 | CH4 | [163] | ||||||||
| PLA | PLA (plastic cup) | 2 × 2 × 0.5 mm | 58 | Plastic to inoculum ratio: 2–4 kg VS/m3. Inoculum: digestate from a mesophilic anaerobic digester treating wastewater treatment acclimated to 58 °C for 14 days. Method: EN ISO 11734:2003 | 60 | 835 | 90 | biogas | FTIR, opt. microscopy | [145] | |||||||
| PLA | PLA (NaturePlast) | particles 1.01 mm (mean size) | 58 | I/S = 10 (VS basis) | 100 | 456 | 87.3 | CH4 | x | [99] | |||||||
| PLA | PLA (NaturePlast) | particles 1.01 mm (mean size) | 58 | I/S = 4 (VS basis) | 100 | 423 | 81.0 | CH4 | x | ||||||||
| PLA | PLA (NaturePlast) | particles 1.01 mm (mean size) | 58 | I/S = 2.85 (VS basis) | 100 | 390 | 74.7 | CH4 | x | ||||||||
| PLA | PLA (NaturePlast) | particles 1.01 mm (mean size) | 58 | I/S = 2 (VS basis) | 100 | 404 | 77.4 | CH4 | x | ||||||||
| PLA | PLA (NaturePlast) | particles 1.01 mm (mean size) | 58 | I/S = 1 (VS basis) | 100 | 374 | 71.6 | CH4 | x | ||||||||
| PLA | cup | 10 × 10 mm | 55 | untreated | 100 | 453 | 97 | FTIR, DSC, opt. microscopy | [82] | ||||||||
| PLA | PLA (cutlery) | 2.5 × 2.5 cm | 55 | 300 mL inoculum + 3 g bioplastic | 15 | 56 | 6.6 | CH4 | 6.0 | FTIR | x | [157] | |||||
| PLA | PLA (dish) | 2.5 × 2.5 cm | 55 | 300 mL inoculum + 3 g bioplastic | 15 | 44 | 6.1 | CH4 | 7.8 | FTIR | x | ||||||
| PLA | PLA (cutlery) | 2.5 × 2.5 cm | 55 | 300 mL inoculum + 3 g bioplastic | 30 | 154 | 21.5 | CH4 | 23.3 | FTIR | x | ||||||
| PLA | PLA (dish) | 2.5 × 2.5 cm | 55 | 300 mL inoculum + 3 g bioplastic | 30 | 108 | 19.1 | CH4 | 19.7 | FTIR | x | ||||||
| PLA | PLA (cutlery) | 2.5 × 2.5 cm | 55 | 300 mL inoculum + 3 g bioplastic | 60 | 168 | 29.8 | CH4 | 29.2 | FTIR | x | ||||||
| PLA | PLA (dish) | 2.5 × 2.5 cm | 55 | 300 mL inoculum + 3 g bioplastic | 60 | 123 | 24.9 | CH4 | 24.2 | FTIR | x | ||||||
| PLA | PLA (cutlery) | 2.5 × 2.5 cm | 55 | 300 mL inoculum + 3 g bioplastic | 30 | 104 | 18.4 | CH4 | 16.4 | FTIR | x | ||||||
| PLA | PLA (dish) | 2.5 × 2.5 cm | 55 | 300 mL inoculum + 3 g bioplastic | 30 | 81 | 14.3 | CH4 | 17.9 | FTIR | x | ||||||
| PLA | PLA (cutlery) | 2.5 × 2.5 cm | 55 | 300 mL inoculum + 3 g bioplastic | 60 | 279 | 49.4 | CH4 | 52.0 | FTIR | x | ||||||
| PLA | PLA (dish) | 2.5 × 2.5 cm | 55 | 300 mL inoculum + 3 g bioplastic | 60 | 215 | 38.1 | CH4 | 43.9 | FTIR | x | ||||||
| PLA | PLA (cutlery) | 2.5 × 2.5 cm | 55 | 300 mL inoculum + 3 g bioplastic | 90 | 397 | 70.3 | CH4 | 72.1 | FTIR | x | ||||||
| PLA | PLA (dish) | 2.5 × 2.5 cm | 55 | 300 mL inoculum + 3 g bioplastic | 90 | 330 | 58.4 | CH4 | 61.1 | FTIR | x | x | |||||
| PLA | NaturePlast | 1 mm sheet | 58 | I/S = 2.85 (VS basis); working volume = 300 mL | 58 | 389 | 74.6 | CH4 | x | [95] | |||||||
| PLA | Total Corbion | 1 mm sheet | 58 | I/S = 2.85 (VS basis); working volume = 300 mL | 98 | 335 | 74.6 | CH4 | |||||||||
| PLA | PLA film 25 μm of thickness (Unitaka) | Crushed film (>500 μm) | 55 | Inoculum: digestate from a mesophilic anaerobic digester treating cow manure and green waste acclimated to 55 °C. Addition of 20 mL of acclimated sludge to PLA thermophilic digestion during the pre-incubation | 60 | 936 | 97.5 | Size red. | biogas | [162] | |||||||
| PLA | PLA film 25 μm of thickness (Unitaka) | 1 × 1 cm film, 25 μm of thickness | 55 | Inoculum: digestate from a mesophilic anaerobic digester treating cow manure and green waste acclimated to 55 °C. Addition of 20 mL of acclimated sludge to PLA thermophilic digestion during the pre-incubation | 60 | 880 | 94.5 | Size red. | biogas | ||||||||
| PLA | PLA film 25 μm of thickness (Unitaka) | 15 × 34 cm film, 25 μm of thickness | 55 | Inoculum: digestate from a mesophilic anaerobic digester treating cow manure and green waste acclimated to 55 °C. Addition of 20 mL of acclimated sludge to PLA thermophilic digestion during the pre-incubation | 60 | 893 | 96 | Size red. | biogas | ||||||||
| PLA | PLA film 25 μm of thickness (Unitaka) | 39 × 82 cm film, 25 μm of thickness | 55 | Inoculum: digestate from a mesophilic anaerobic digester treating cow manure and green waste acclimated to 55 °C. Addition of 20 mL of acclimated sludge to PLA thermophilic digestion during the pre-incubation | 60 | 827 | 89 | Size red. | biogas | ||||||||
| PLA | cup | 10 × 10 mm | 55 | 100 | 448 | 96 | Hydrothermal pretreatment (2 h 90 °C) | FTIR, DSC, opt. microscopy | [82] | ||||||||
| PLA | cup | 10 × 10 mm | 55 | 100 | 448 | 96 | Alkaline pretreatment (2 h 0.1 M KOH, Tamb) | FTIR, DSC, opt. microscopy | |||||||||
| PLA | PLA | Commercial items | 55 | Plastic: 1 g. Inoculum: 10 mL of anaerobic inoculum | 56 | 225 | 48.2 | Steam exposition, 3 h 120 °C | [143] | ||||||||
| PLA blend | 80% PLA, 20% PBS (blend produced by mixing and melting the components) | Sheets | 52 | Plastic to inoculum ratio: 0.5 (VS basis). Inoculum: digestate from a mesophilic anaerobic digester treating industrial food waste and manure | 60 | 190 | 37 | CH4 | [163] | ||||||||
| PLA blend | 70% PLA, 30% PCL (blend produced by mixing and melting the components) | Sheets | 52 | Plastic to inoculum ratio: 0.5 (VS basis). Inoculum: digestate from a mesophilic anaerobic digester treating industrial food waste and manure | 60 | 297 | 63 | CH4 | |||||||||
| PLA blend | 76% PLA, 19% PBS, 5% CaCO3 (Omya TP39914) (blend produced by mixing and melting the components) | Sheets | 52 | Plastic to inoculum ratio: 0.5 (VS basis). Inoculum: digestate from a mesophilic anaerobic digester treating industrial food waste and manure | 60 | 210 | 45 | CH4 | |||||||||
| PLA blend | 76% PLA, 19% PBS, 5% CaCO3 (Omya TP39968) (blend produced by mixing and melting the components) | Sheets | 52 | Plastic to inoculum ratio: 0.5 (VS basis). Inoculum: digestate from a mesophilic anaerobic digester treating industrial food waste and manure | 60 | 230 | 49 | CH4 | |||||||||
| PLA blend | Ecovio® (PLA + fossil biodegradable Ecoflex® plastic) coffee capsules | <1 mm | 58 | Inoculum: sludge from a wastewater treatment plant, acclimated in the lab at 58 °C. Digestion conditions: ISR = 2.7 (VS basis), VS content = 9 g/L | 100 | 308 | 58 | CH4 | [95] | ||||||||
| PLA blend | PLA/PBS (80/20) | <2 × 2 cm | 55 | High-solids anaerobic digestion (ISO 15985). Inoculum: Digestate from an anaerobic digester treating the organic fraction of household waste and stabilized in a post-fermentation phase | 121 | 84 | biogas | DSC, SEM | [126] | ||||||||
| PLA blend | PLA/PCL (80/20) | <2 × 2 cm | 55 | High-solids anaerobic digestion (ISO 15985). Inoculum: Digestate from an anaerobic digester treating the organic fraction of household waste and stabilized in a post-fermentation phase | 121 | 90 | biogas | DSC, SEM | |||||||||
| PLA blend | PLA/PHB (80/20) | <2 × 2 cm | 55 | High-solids anaerobic digestion (ISO 15985). Inoculum: Digestate from an anaerobic digester treating the organic fraction of household waste and stabilized in a post-fermentation phase | 80 | 104 | biogas | DSC, SEM | |||||||||
| PLA blend | PLA/PHO (80/15) | <2 × 2 cm | 55 | High-solids anaerobic digestion (ISO 15985). Inoculum: Digestate from an anaerobic digester treating the organic fraction of household waste and stabilized in a post-fermentation phase | 66 | 90 | biogas | DSC, SEM | |||||||||
| TPS | TPS (Bioplast TPS, BIOTEC) | <2 × 2 cm | 55 | High-solids anaerobic digestion (ISO 15985). Inoculum: Digestate from an anaerobic digester treating the organic fraction of household waste and stabilized in a post-fermentation phase | 127 | 81 | biogas | DSC, SEM | |||||||||
| TPS | TPS (70% starch from MP Biomedicals LLC and 30% glycerol) | 1-cm2 film | 52 | Plastic to inoculum ratio: 0.5(VS basis). Inoculum: digestate from a mesophilic anaerobic digester fed with food wastes and manure shifted to thermophilic temperature (10 days) | 30 | 32 | 77.1 | CH4 | [130] | ||||||||
| TPS | TPS | 1 mm sheet | 58 | I/S = 2.85 (VS basis); working volume = 300 mL | 22 | 304 | 80.2 | CH4 | x | [95] | |||||||
References
- Global Plastics Outlook; OECD: Paris, France, 2022; ISBN 9789264654945.
- Bajon, R.; Huck, T.; Grima, N.; Maes, C.; Blanke, B.; Richon, C.; Couvelard, X. Influence of Waves on the Three-Dimensional Distribution of Plastic in the Ocean. Mar. Pollut. Bull. 2023, 187, 114533. [Google Scholar] [CrossRef] [PubMed]
- Ter Halle, A.; Ladirat, L.; Gendre, X.; Goudouneche, D.; Pusineri, C.; Routaboul, C.; Tenailleau, C.; Duployer, B.; Perez, E. Understanding the Fragmentation Pattern of Marine Plastic Debris. Environ. Sci. Technol. 2016, 50, 5668–5675. [Google Scholar] [CrossRef]
- Lee, J.; Chae, K.J. A Systematic Protocol of Microplastics Analysis from Their Identification to Quantification in Water Environment: A Comprehensive Review. J. Hazard. Mater. 2021, 403, 124049. [Google Scholar] [CrossRef] [PubMed]
- Khoshmanesh, M.; Sanati, A.M.; Ramavandi, B. Co-Occurrence of Microplastics and Organic/Inorganic Contaminants in Organisms Living in Aquatic Ecosystems: A Review. Mar. Pollut. Bull. 2023, 187, 114563. [Google Scholar] [CrossRef]
- European Commission. Circular Economy Action Plan: For a Cleaner and More Competitive Europe; European Commission (EC): Brussels, Belgium, 2020. [Google Scholar] [CrossRef]
- Mehmood, A.; Raina, N.; Phakeenuya, V.; Wonganu, B.; Cheenkachorn, K. The Current Status and Market Trend of Polylactic Acid as Biopolymer: Awareness and Needs for Sustainable Development. Mater. Today Proc. 2022, 72, 3049–3055. [Google Scholar] [CrossRef]
- Edwards, J.; Othman, M.; Crossin, E.; Burn, S. Life Cycle Assessment to Compare the Environmental Impact of Seven Contemporary Food Waste Management Systems. Bioresour. Technol. 2018, 248, 156–173. [Google Scholar] [CrossRef]
- Wainaina, S.; Awasthi, M.K.; Sarsaiya, S.; Chen, H.; Singh, E.; Kumar, A.; Ravindran, B.; Awasthi, S.K.; Liu, T.; Duan, Y.; et al. Resource Recovery and Circular Economy from Organic Solid Waste Using Aerobic and Anaerobic Digestion Technologies. Bioresour. Technol. 2020, 301, 122778. [Google Scholar] [CrossRef]
- Cucina, M.; De Nisi, P.; Trombino, L.; Tambone, F.; Adani, F. Degradation of Bioplastics in Organic Waste by Mesophilic Anaerobic Digestion, Composting and Soil Incubation. Waste Manag. 2021, 134, 67–77. [Google Scholar] [CrossRef]
- Benn, N.; Zitomer, D. Pretreatment and Anaerobic Co-Digestion of Selected PHB and PLA Bioplastics. Front. Environ. Sci. 2018, 5, 93. [Google Scholar] [CrossRef]
- Vasmara, C.; Marchetti, R. Biogas Production from Biodegradable Bioplastics. Environ. Eng. Manag. J. 2016, 15, 2041–2048. [Google Scholar] [CrossRef]
- Calabrò, P.S.; Grosso, M. Bioplastics and Waste Management. Waste Manag. 2018, 78, 800–801. [Google Scholar] [CrossRef] [PubMed]
- Haider, T.P.; Völker, C.; Kramm, J.; Landfester, K.; Wurm, F.R. Plastics of the Future? The Impact of Biodegradable Polymers on the Environment and on Society. Angew. Chem.-Int. Ed. 2019, 58, 50–62. [Google Scholar] [CrossRef] [PubMed]
- Nandakumar, A.; Chuah, J.A.; Sudesh, K. Bioplastics: A Boon or Bane? Renew. Sustain. Energy Rev. 2021, 147, 111237. [Google Scholar] [CrossRef]
- European Commission. EU Policy Framework on Biobased, Biodegradable and Compostable Plastics. 2022. Available online: https://environment.ec.europa.eu/publications/communication-eu-policy-framework-biobased-biodegradable-and-compostable-plastics_en (accessed on 7 March 2023).
- European Commission. Council Directive 2019/904 of the European Parliament and of the Council of 5 June 2019 on the Reduction of the Impact of Certain Plastic Products on the Environment. 2019. Available online: https://eur-lex.europa.eu/eli/dir/2019/904/oj (accessed on 7 March 2023).
- Plastics Europe. Bioplastic Market Development Update 2022. 2022. Available online: https://docs.european-bioplastics.org/publications/market_data/2022/Report_Bioplastics_Market_Data_2022_short_version.pdf (accessed on 7 March 2023).
- Bátori, V.; Åkesson, D.; Zamani, A.; Taherzadeh, M.J.; Sárvári Horváth, I. Anaerobic Degradation of Bioplastics: A Review. Waste Manag. 2018, 80, 406–413. [Google Scholar] [CrossRef] [PubMed]
- García-Velásquez, C.A.; van der Meer, Y. Can We Improve the Environmental Benefits of Biobased PET Production through Local Biomass Value Chains?—A Life Cycle Assessment Perspective. J. Clean. Prod. 2022, 380, 135039. [Google Scholar] [CrossRef]
- Atiwesh, G.; Mikhael, A.; Parrish, C.C.; Banoub, J.; Le, T.A.T. Environmental Impact of Bioplastic Use: A Review. Heliyon 2021, 7, e07918. [Google Scholar] [CrossRef]
- George, A.; Sanjay, M.R.; Sriusk, R.; Parameswaranpillai, J.; Siengchin, S. A Comprehensive Review on Chemical Properties and Applications of Biopolymers and Their Composites. Int. J. Biol. Macromol. 2020, 154, 329–338. [Google Scholar] [CrossRef]
- Bugnicourt, E.; Cinelli, P.; Lazzeri, A.; Alvarez, V. Polyhydroxyalkanoate (PHA): Review of Synthesis, Characteristics, Processing and Potential Applications in Packaging. Express Polym. Lett. 2014, 8, 791–808. [Google Scholar] [CrossRef]
- Rehakova, V.; Pernicova, I.; Kourilova, X.; Sedlacek, P.; Musilova, J.; Sedlar, K.; Koller, M.; Kalina, M.; Obruca, S. Biosynthesis of Versatile PHA Copolymers by Thermophilic Members of the Genus Aneurinibacillus. Int. J. Biol. Macromol. 2022, 225, 1588–1598. [Google Scholar] [CrossRef]
- Laycock, B.; Halley, P.; Pratt, S.; Werker, A.; Lant, P. The Chemomechanical Properties of Microbial Polyhydroxyalkanoates. Prog. Polym. Sci. 2013, 38, 536–583. [Google Scholar] [CrossRef]
- Jurasek, L.; Marchessault, R.H. Polyhydroxyalkanoate (PHA) Granule Formation in Ralstonia Eutropha Cells: A Computer Simulation. Appl. Microbiol. Biotechnol. 2004, 64, 611–617. [Google Scholar] [CrossRef]
- Koller, M.; Mukherjee, A. Polyhydroxyalkanoates (PHAs)—Production, Properties, and Biodegradation. In Biodegradable Polymers in the Circular Plastics Economy; John Wiley & Sons: Hoboken, NJ, USA, 2022; ISBN 9783527827589. [Google Scholar]
- Cho, J.Y.; Lee Park, S.; Lee, H.J.; Kim, S.H.; Suh, M.J.; Ham, S.; Bhatia, S.K.; Gurav, R.; Park, S.H.; Park, K.; et al. Polyhydroxyalkanoates (PHAs) Degradation by the Newly Isolated Marine Bacillus Sp. JY14. Chemosphere 2021, 283, 131172. [Google Scholar] [CrossRef]
- Palai, B.; Biswal, M.; Mohanty, S.; Nayak, S.K. In Situ Reactive Compatibilization of Polylactic Acid (PLA) and Thermoplastic Starch (TPS) Blends; Synthesis and Evaluation of Extrusion Blown Films Thereof. Ind. Crops Prod. 2019, 141, 111748. [Google Scholar] [CrossRef]
- Zdanowicz, M. Starch Treatment with Deep Eutectic Solvents, Ionic Liquids and Glycerol. A Comparative Study. Carbohydr. Polym. 2020, 229, 115574. [Google Scholar] [CrossRef]
- Jumaidin, R.; Mohd Zainel, S.N.; Sapuan, S.M. Processing of Thermoplastic Starch. In Advanced Processing, Properties, and Applications of Starch and Other Bio-Based Polymers; Elsevier: Amsterdam, The Netherlands, 2020; Volume 11, pp. 11–19. [Google Scholar] [CrossRef]
- Bangar, S.P.; Whiteside, W.S.; Ashogbon, A.O.; Kumar, M. Recent Advances in Thermoplastic Starches for Food Packaging: A Review. Food Packag. Shelf Life 2021, 30, 100743. [Google Scholar] [CrossRef]
- Ju, Q.; Tang, Z.; Shi, H.; Zhu, Y.; Shen, Y.; Wang, T. Thermoplastic Starch Based Blends as a Highly Renewable Filament for Fused Deposition Modeling 3D Printing. Int. J. Biol. Macromol. 2022, 219, 175–184. [Google Scholar] [CrossRef]
- Bortolatto, R.; Bittencourt, P.R.S.; Yamashita, F. Biodegradable Starch/Polyvinyl Alcohol Composites Produced by Thermoplastic Injection Containing Cellulose Extracted from Soybean Hulls (Glycine max L.). Ind. Crops Prod. 2022, 176, 114383. [Google Scholar] [CrossRef]
- Hejna, A.; Barczewski, M.; Kosmela, P.; Mysiukiewicz, O.; Aniśko, J.; Sulima, P.; Andrzej Przyborowski, J.; Reza Saeb, M. The Impact of Thermomechanical and Chemical Treatment of Waste Brewers’ Spent Grain and Soil Biodegradation of Sustainable Mater-Bi-Based Biocomposites. Waste Manag. 2022, 154, 260–271. [Google Scholar] [CrossRef] [PubMed]
- Souza, A.C.; Benze, R.; Ferrão, E.S.; Ditchfield, C.; Coelho, A.C.V.; Tadini, C.C. Cassava Starch Biodegradable Films: Influence of Glycerol and Clay Nanoparticles Content on Tensile and Barrier Properties and Glass Transition Temperature. LWT-Food Sci. Technol. 2012, 46, 110–117. [Google Scholar] [CrossRef]
- Oleyaei, S.A.; Zahedi, Y.; Ghanbarzadeh, B.; Moayedi, A.A. Modification of Physicochemical and Thermal Properties of Starch Films by Incorporation of TiO2 Nanoparticles. Int. J. Biol. Macromol. 2016, 89, 256–264. [Google Scholar] [CrossRef]
- Ashothaman, A.; Sudha, J.; Senthilkumar, N. A Comprehensive Review on Biodegradable Polylactic Acid Polymer Matrix Composite Material Reinforced with Synthetic and Natural Fibers. Mater. Today Proc. 2021, in press. [Google Scholar] [CrossRef]
- Soodergard, A.; Stolt, M. Properties of Lactic Acid Based Polymers and Their Correlation with Composition. Prog. Polym. Sci. 2002, 27, 1123–1163. [Google Scholar] [CrossRef]
- Rasal, R.M.; Janorkar, A.V.; Hirt, D.E. Poly(Lactic Acid) Modifications. Prog. Polym. Sci. 2010, 35, 338–356. [Google Scholar] [CrossRef]
- Sangeetha, V.H.; Deka, H.; Varghese, T.O.; Nayak, S.K. State of the Art and Future Prospectives of Poly(Lactic Acid) Based Blends and Composites. Polym. Compos. 2018, 39, 81–101. [Google Scholar] [CrossRef]
- Akbari, A.; Jawaid, M.; Hassan, A.; Balakrishnan, H. Epoxidized Natural Rubber Toughened Polylactic Acid/Talc Composites: Mechanical, Thermal, and Morphological Properties. J. Compos. Mater. 2014, 48, 769–781. [Google Scholar] [CrossRef]
- Deghiche, A.; Haddaoui, N.; Zerriouh, A.; Fenni, S.E.; Cavallo, D.; Erto, A.; Benguerba, Y. Effect of the Stearic Acid-Modified TiO2 on PLA Nanocomposites: Morphological and Thermal Properties at the Microscopic Scale. J. Environ. Chem. Eng. 2021, 9, 106541. [Google Scholar] [CrossRef]
- Castro-Aguirre, E.; Iñiguez-Franco, F.; Samsudin, H.; Fang, X.; Auras, R. Poly(Lactic Acid)—Mass Production, Processing, Industrial Applications, and End of Life. Adv. Drug Deliv. Rev. 2016, 107, 333–366. [Google Scholar] [CrossRef] [PubMed]
- Woodruff, M.A.; Hutmacher, D.W. The Return of a Forgotten Polymer—Polycaprolactone in the 21st Century. Prog. Polym. Sci. 2010, 35, 1217–1256. [Google Scholar] [CrossRef]
- Prajapati, S.; Gogoi, R.; Tyagi, V.K.; Talwar, M.; Kumar, M.; Chaudhari, C.V. Effect of Gamma Irradiation on Shape Memory, Thermal and Mechanical Properties of Polycaprolactone. Radiat. Phys. Chem. 2023, 204, 110671. [Google Scholar] [CrossRef]
- Bartnikowski, M.; Dargaville, T.R.; Ivanovski, S.; Hutmacher, D.W. Degradation Mechanisms of Polycaprolactone in the Context of Chemistry, Geometry and Environment. Prog. Polym. Sci. 2019, 96, 1–20. [Google Scholar] [CrossRef]
- Salvekar, A.V.; Zhou, Y.; Huang, W.M.; Wong, Y.S.; Venkatraman, S.S.; Shen, Z.; Zhu, G.; Cui, H.P. Shape/Temperature Memory Phenomena in Un-Crosslinked Poly-ε-Caprolactone (PCL). Eur. Polym. J. 2015, 72, 282–295. [Google Scholar] [CrossRef]
- Zhou, X.M. Synthesis and Characterization of Polyester Copolymers Based on Poly(Butylene Succinate) and Poly(Ethylene Glycol). Mater. Sci. Eng. C 2012, 32, 2459–2463. [Google Scholar] [CrossRef]
- Sisti, L.; Totaro, G.; Marchese, P. PBS Makes Its Entrance into the Family of Biobased Plastics. Biodegrad. Biobased Polym. Environ. Biomed. Appl. 2016, 7, 225–285. [Google Scholar] [CrossRef]
- Mottie, A.; Mousavi, S.M.; Saljoughi, E.; Kiani, S. Preparation and Characterization of Biodegradable Polybutylene Succinate/Polyurethane Membrane for Harvesting of Chlorella Sorokiniana Microalgae. Algal Res. 2022, 63, 102658. [Google Scholar] [CrossRef]
- Roostaie, A.; Haji Abdolrasouli, M.; Mohammadiazar, S.; Hosseinipour, A. Polybutylene Succinate/Modified Cellulose Bionanocomposites as Sorbent for Needle Trap Microextraction. J. Chromatogr. A 2023, 1689, 463715. [Google Scholar] [CrossRef] [PubMed]
- Ghaffarian, V.; Mousavi, S.M.; Bahreini, M.; Afifi, M. Preparation and Characterization of Biodegradable Blend Membranes of PBS/CA. J. Polym. Environ. 2013, 21, 1150–1157. [Google Scholar] [CrossRef]
- Rafiqah, S.A.; Khalina, A.; Harmaen, A.S.; Tawakkal, I.A.; Zaman, K.; Asim, M.; Nurrazi, M.N.; Lee, C.H. A Review on Properties and Application of Bio-based Poly(Butylene Succinate). Polymers 2021, 13, 1436. [Google Scholar] [CrossRef] [PubMed]
- Jian, J.; Xiangbin, Z.; Xianbo, H. An Overview on Synthesis, Properties and Applications of Poly(Butylene-Adipate-Co-Terephthalate)–PBAT. Adv. Ind. Eng. Polym. Res. 2020, 3, 19–26. [Google Scholar] [CrossRef]
- Fu, Y.; Wu, G.; Bian, X.; Zeng, J.; Weng, Y.; Polymeric, F. Biodegradation Behavior of Poly(Butylene Adipate-Co-Terephthalate) (PBAT), Poly(Lactic Acid) (PLA), and Their Blend in Freshwater Sediment. Molecules 2020, 25, 3946. [Google Scholar] [CrossRef]
- Moustafa, H.; El Kissi, N.; Abou-Kandil, A.I.; Abdel-Aziz, M.S.; Dufresne, A. PLA/PBAT Bionanocomposites with Antimicrobial Natural Rosin for Green Packaging. ACS Appl. Mater. Interfaces 2017, 9, 20132–20141. [Google Scholar] [CrossRef]
- Signori, F.; Coltelli, M.B.; Bronco, S. Thermal Degradation of Poly(Lactic Acid) (PLA) and Poly(Butylene Adipate-Co-Terephthalate) (PBAT) and Their Blends upon Melt Processing. Polym. Degrad. Stab. 2009, 94, 74–82. [Google Scholar] [CrossRef]
- Chen, X.; Zeng, Z.; Ju, Y.; Zhou, M.; Bai, H.; Fu, Q. Design of Biodegradable PLA/PBAT Blends with Balanced Toughness and Strength via Interfacial Compatibilization and Dynamic Vulcanization. Polymer 2023, 266, 125620. [Google Scholar] [CrossRef]
- Appels, L.; Lauwers, J.; Degrve, J.; Helsen, L.; Lievens, B.; Willems, K.; Van Impe, J.; Dewil, R. Anaerobic Digestion in Global Bio-Energy Production: Potential and Research Challenges. Renew. Sustain. Energy Rev. 2011, 15, 4295–4301. [Google Scholar] [CrossRef]
- Mata-Alvarez, J.; Dosta, J.; Romero-Güiza, M.S.; Fonoll, X.; Peces, M.; Astals, S. A Critical Review on Anaerobic Co-Digestion Achievements between 2010 and 2013. Renew. Sustain. Energy Rev. 2014, 36, 412–427. [Google Scholar] [CrossRef]
- Batstone, D.J.; Hülsen, T.; Oehmen, A. Metabolic Modelling of Mixed Culture Anaerobic Microbial Processes. Curr. Opin. Biotechnol. 2019, 57, 137–144. [Google Scholar] [CrossRef] [PubMed]
- Cecchi, F.; Bolzonella, D.; Pavan, P.; Macé, S.; Mata-Alvarez, J. Anaerobic Digestion of the Organic Fraction of Municipal Solid Waste for Methane Production: Research and Industrial Application. Compr. Biotechnol. 2011, 6, 411–420. [Google Scholar] [CrossRef]
- Batstone, D.J.; Hülsen, T.; Mehta, C.M.; Keller, J. Platforms for Energy and Nutrient Recovery from Domestic Wastewater: A Review. Chemosphere 2015, 140, 2–11. [Google Scholar] [CrossRef]
- Buswell, A.M.; Mueller, H.F. Mechanism of Methane Fermentation. Ind. Eng. Chem. 1952, 44, 550–552. [Google Scholar] [CrossRef]
- Ryan, C.A.; Billington, S.L.; Criddle, C.S. Methodology to Assess End-of-Life Anaerobic Biodegradation Kinetics and Methane Production Potential for Composite Materials. Compos. Part A Appl. Sci. Manuf. 2017, 95, 388–399. [Google Scholar] [CrossRef]
- Kale, G.; Kijchavengkul, T.; Auras, R.; Rubino, M.; Selke, S.E.; Singh, S.P. Compostability of Bioplastic Packaging Materials: An Overview. Macromol. Biosci. 2007, 7, 255–277. [Google Scholar] [CrossRef] [PubMed]
- Lim, B.K.H.; Thian, E.S. Biodegradation of Polymers in Managing Plastic Waste—A Review. Sci. Total Environ. 2022, 813, 151880. [Google Scholar] [CrossRef] [PubMed]
- Emadian, S.M.; Onay, T.T.; Demirel, B. Biodegradation of Bioplastics in Natural Environments. Waste Manag. 2017, 59, 526–536. [Google Scholar] [CrossRef] [PubMed]
- Massardier-Nageotte, V.; Pestre, C.; Cruard-Pradet, T.; Bayard, R. Aerobic and Anaerobic Biodegradability of Polymer Films and Physico-Chemical Characterization. Polym. Degrad. Stab. 2006, 91, 620–627. [Google Scholar] [CrossRef]
- Husárová, L.; Pekařová, S.; Stloukal, P.; Kucharzcyk, P.; Verney, V.; Commereuc, S.; Ramone, A.; Koutny, M. Identification of Important Abiotic and Biotic Factors in the Biodegradation of Poly(l-Lactic Acid). Int. J. Biol. Macromol. 2014, 71, 155–162. [Google Scholar] [CrossRef]
- Göpferich, A. Mechanisms of Polymer Degradation and Erosion1. In The Biomaterials: Silver Jubilee Compendium; Elsevier: Amsterdam, The Netherlands, 1996; Volume 17, pp. 117–128. [Google Scholar] [CrossRef]
- Mergaert, J.; Glorieux, G.; Hauben, L.; Storms, V.; Mau, M.; Swings, J. Biodegradation of Poly(3-Hydroxyalkanoates) in Anaerobic Sludge and Characterization of a Poly(3-Hydroxyalkanoates) Degrading Anaerobic Bacterium. Syst. Appl. Microbiol. 1996, 19, 407–413. [Google Scholar] [CrossRef]
- Nair, N.R.; Sekhar, V.C.; Nampoothiri, K.M.; Pandey, A. Biodegradation of Biopolymers. In Current Developments in Biotechnology and Bioengineering; Elsevier: Amsterdam, The Netherlands, 2017; pp. 739–755. [Google Scholar] [CrossRef]
- Lucas, N.; Bienaime, C.; Belloy, C.; Queneudec, M.; Silvestre, F.; Nava-Saucedo, J.E. Polymer Biodegradation: Mechanisms and Estimation Techniques—A Review. Chemosphere 2008, 73, 429–442. [Google Scholar] [CrossRef]
- Heimowska, A.; Morawska, M.; Bocho-Janiszewska, A. Biodegradation of Poly(ϵ-Caprolactone) in Natural Water Environments. Pol. J. Chem. Technol. 2017, 19, 120–126. [Google Scholar] [CrossRef]
- Taniguchi, I.; Nakano, S.; Nakamura, T.; El-Salmawy, A.; Miyamoto, M.; Kimura, Y. Mechanism of Enzymatic Hydrolysis of Poly(Butylene Succinate) and Poly(Butylene Succinate-Co-L-Lactate) with a Lipase from Pseudomonas Cepacia. Macromol. Biosci. 2002, 2, 447–455. [Google Scholar] [CrossRef]
- Lee, C.W.; Kimura, Y.; Chung, J.-D. Mechanism of Enzymatic Degradation of Poly(Butylene Succinate). Macromol. Res. 2008, 16, 651–658. [Google Scholar] [CrossRef]
- Karamanlioglu, M.; Preziosi, R.; Robson, G.D. Abiotic and Biotic Environmental Degradation of the Bioplastic Polymer Poly(Lactic Acid): A Review. Polym. Degrad. Stab. 2017, 137, 122–130. [Google Scholar] [CrossRef]
- Leroux, A.; Ngoc Nguyen, T.; Rangel, A.; Cacciapuoti, I.; Duprez, D.; Castner, D.G.; Migonney, V. Long-Term Hydrolytic Degradation Study of Polycaprolactone Films and Fibers Grafted with Poly(Sodium Styrene Sulfonate): Mechanism Study and Cell Response. Biointerphases 2020, 15, 061006. [Google Scholar] [CrossRef]
- Mat Yasin, N.; Akkermans, S.; Van Impe, J.F.M. Enhancing the Biodegradation of (Bio)Plastic through Pretreatments: A Critical Review. Waste Manag. 2022, 150, 1–12. [Google Scholar] [CrossRef] [PubMed]
- Zaborowska, M.; Bernat, K.; Pszczółkowski, B.; Cydzik-Kwiatkowska, A.; Kulikowska, D.; Wojnowska-Baryła, I. Multi-Faceted Analysis of Thermophilic Anaerobic Biodegradation of Poly(Lactic Acid)-Based Material. Waste Manag. 2023, 155, 40–52. [Google Scholar] [CrossRef] [PubMed]
- Oda, Y.; Yonetsu, A.; Urakami, T.; Tonomura, K. Degradation of Polylactide by Commercial Proteases. J. Polym. Environ. 2000, 8, 29–32. [Google Scholar] [CrossRef]
- Rosato, A.; Romano, A.; Totaro, G.; Celli, A.; Fava, F.; Zanaroli, G.; Sisti, L. Enzymatic Degradation of the Most Common Aliphatic Bio-Polyesters and Evaluation of the Mechanisms Involved: An Extended Study. Polymers 2022, 14, 1850. [Google Scholar] [CrossRef]
- Li, F.; Hu, X.; Guo, Z.; Wang, Z.; Wang, Y.; Liu, D.; Xia, H.; Chen, S. Purification and Characterization of a Novel Poly(Butylene Succinate)-Degrading Enzyme from Aspergillus Sp. XH0501-A. World J. Microbiol. Biotechnol. 2011, 27, 2591–2596. [Google Scholar] [CrossRef]
- Shi, K.; Su, T.; Wang, Z. Comparison of Poly(Butylene Succinate) Biodegradation by Fusarium Solani Cutinase and Candida Antarctica Lipase. Polym. Degrad. Stab. 2019, 164, 55–60. [Google Scholar] [CrossRef]
- Wallace, P.W.; Haernvall, K.; Ribitsch, D.; Zitzenbacher, S.; Schittmayer, M.; Steinkellner, G.; Gruber, K.; Guebitz, G.M.; Birner-Gruenberger, R. PpEst Is a Novel PBAT Degrading Polyesterase Identified by Proteomic Screening of Pseudomonas Pseudoalcaligenes. Appl. Microbiol. Biotechnol. 2017, 101, 2291–2303. [Google Scholar] [CrossRef]
- Jia, H.; Zhang, M.; Weng, Y.; Zhao, Y.; Li, C.; Kanwal, A. Degradation of Poly(Butylene Adipate-Co-Terephthalate) by Stenotrophomonas Sp. YCJ1 Isolated from Farmland Soil. J. Environ. Sci. 2021, 103, 50–58. [Google Scholar] [CrossRef]
- Araújo, M.A.; Cunha, A.M.; Mota, M. Enzymatic Degradation of Starch-Based Thermoplastic Compounds Used in Protheses: Identification of the Degradation Products in Solution. Biomaterials 2004, 25, 2687–2693. [Google Scholar] [CrossRef]
- Rosa, D.S.; Carvalho, C.L.; Gaboardi, F.; Rezende, M.L.; Tavares, M.I.B.; Petro, M.S.M.; Calil, M.R. Evaluation of Enzymatic Degradation Based on the Quantification of Glucose in Thermoplastic Starch and Its Characterization by Mechanical and Morphological Properties and NMR Measurements. Polym. Test. 2008, 27, 827–834. [Google Scholar] [CrossRef]
- Gu, J.D. Microbiological Deterioration and Degradation of Synthetic Polymeric Materials: Recent Research Advances. Int. Biodeterior. Biodegrad. 2003, 52, 69–91. [Google Scholar] [CrossRef]
- Bandini, F.; Vaccari, F.; Soldano, M.; Piccinini, S.; Misci, C.; Bellotti, G.; Taskin, E.; Cocconcelli, P.S.; Puglisi, E. Rigid Bioplastics Shape the Microbial Communities Involved in the Treatment of the Organic Fraction of Municipal Solid Waste. Front. Microbiol. 2022, 13, 1035561. [Google Scholar] [CrossRef]
- Abraham, A.; Park, H.; Choi, O.; Sang, B.-I. Anaerobic Co-Digestion of Bioplastics as a Sustainable Mode of Waste Management with Improved Energy Production—A Review. Bioresour. Technol. 2021, 322, 124537. [Google Scholar] [CrossRef] [PubMed]
- Sundberg, C.; Al-Soud, W.A.; Larsson, M.; Alm, E.; Yekta, S.S.; Svensson, B.H.; Sørensen, S.J.; Karlsson, A. 454 Pyrosequencing Analyses of Bacterial and Archaeal Richness in 21 Full-Scale Biogas Digesters. FEMS Microbiol. Ecol. 2013, 85, 612–626. [Google Scholar] [CrossRef] [PubMed]
- Cazaudehore, G.; Monlau, F.; Gassie, C.; Lallement, A.; Guyoneaud, R. Active Microbial Communities during Biodegradation of Biodegradable Plastics by Mesophilic and Thermophilic Anaerobic Digestion. J. Hazard. Mater. 2023, 443, 130208. [Google Scholar] [CrossRef]
- Cazaudehore, G.; Monlau, F.; Gassie, C.; Lallement, A.; Guyoneaud, R. Methane Production and Active Microbial Communities during Anaerobic Digestion of Three Commercial Biodegradable Coffee Capsules under Mesophilic and Thermophilic Conditions. Sci. Total Environ. 2021, 784, 146972. [Google Scholar] [CrossRef] [PubMed]
- Abou-Zeid, D.-M.; Müller, R.-J.; Deckwer, W.-D. Degradation of Natural and Synthetic Polyesters under Anaerobic Conditions. J. Biotechnol. 2001, 86, 113–126. [Google Scholar] [CrossRef]
- Thakur, S.; Chaudhary, J.; Sharma, B.; Verma, A.; Tamulevicius, S.; Thakur, V.K. Sustainability of Bioplastics: Opportunities and Challenges. Curr. Opin. Green Sustain. Chem. 2018, 13, 68–75. [Google Scholar] [CrossRef]
- Cazaudehore, G.; Guyoneaud, R.; Lallement, A.; Gassie, C.; Monlau, F. Biochemical Methane Potential and Active Microbial Communities during Anaerobic Digestion of Biodegradable Plastics at Different Inoculum-Substrate Ratios. J. Environ. Manag. 2022, 324, 116369. [Google Scholar] [CrossRef]
- Yagi, H.; Ninomiya, F.; Funabashi, M.; Kunioka, M. Mesophilic Anaerobic Biodegradation Test and Analysis of Eubacteria and Archaea Involved in Anaerobic Biodegradation of Four Specified Biodegradable Polyesters. Polym. Degrad. Stab. 2014, 110, 278–283. [Google Scholar] [CrossRef]
- Yagi, H.; Ninomiya, F.; Funabashi, M.; Kunioka, M. Thermophilic Anaerobic Biodegradation Test and Analysis of Eubacteria Involved in Anaerobic Biodegradation of Four Specified Biodegradable Polyesters. Polym. Degrad. Stab. 2013, 98, 1182–1187. [Google Scholar] [CrossRef]
- Tseng, H.-C.; Fujimoto, N.; Ohnishi, A. Biodegradability and Methane Fermentability of Polylactic Acid by Thermophilic Methane Fermentation. Bioresour. Technol. Rep. 2019, 8, 100327. [Google Scholar] [CrossRef]
- Peng, W.; Wang, Z.; Shu, Y.; Lü, F.; Zhang, H.; Shao, L.; He, P. Fate of a Biobased Polymer via High-Solid Anaerobic Co-Digestion with Food Waste and Following Aerobic Treatment: Insights on Changes of Polymer Physicochemical Properties and the Role of Microbial and Fungal Communities. Bioresour. Technol. 2022, 343, 126079. [Google Scholar] [CrossRef] [PubMed]
- Hiraishi, T.; Taguchi, S. Protein Engineering of Enzymes Involved in Bioplastic Metabolism. In Protein Engineering—Technology and Application; InTech: Rijeka, Croatia, 2013. [Google Scholar] [CrossRef]
- Kaushal, J.; Khatri, M.; Arya, S.K. Recent Insight into Enzymatic Degradation of Plastics Prevalent in the Environment: A Mini—Review. Clean. Eng. Technol. 2021, 2, 100083. [Google Scholar] [CrossRef]
- Mistry, A.N.; Kachenchart, B.; Pinyakong, O.; Assavalapsakul, W.; Jitpraphai, S.M.; Somwangthanaroj, A.; Luepromchai, E. Bioaugmentation with a Defined Bacterial Consortium: A Key to Degrade High Molecular Weight Polylactic Acid during Traditional Composting. Bioresour. Technol. 2023, 367, 128237. [Google Scholar] [CrossRef]
- van Eck, N.J.; Waltman, L. Software Survey: VOSviewer, a Computer Program for Bibliometric Mapping. Scientometrics 2010, 84, 523–538. [Google Scholar] [CrossRef]
- Aria, M.; Cuccurullo, C. Bibliometrix: An R-Tool for Comprehensive Science Mapping Analysis. J. Informetr. 2017, 11, 959–975. [Google Scholar] [CrossRef]
- Cazaudehore, G.; Guyoneaud, R.; Evon, P.; Martin-Closas, L.; Pelacho, A.M.; Raynaud, C.; Monlau, F. Can Anaerobic Digestion Be a Suitable End-of-Life Scenario for Biodegradable Plastics? A Critical Review of the Current Situation, Hurdles, and Challenges. Biotechnol. Adv. 2022, 56, 107916. [Google Scholar] [CrossRef]
- Vardar, S.; Demirel, B.; Onay, T.T. Degradability of Bioplastics in Anaerobic Digestion Systems and Their Effects on Biogas Production: A Review. Rev. Environ. Sci. Bio/Technol. 2022, 21, 205–223. [Google Scholar] [CrossRef]
- Rohatgi, A. WebPlotDigitizer: Version 4.6. Pacifica, California, USA. 2022. Available online: https://automeris.io/WebPlotDigitizer (accessed on 7 March 2023).
- European Committee for Standardisation. EN 13432: Packaging—Requirements for Packaging Recoverable through Composting and Biodegradation; European Committee for Standardisation: Brussels, Belgium, 2008. [Google Scholar]
- Puechner, P.; Mueller, W.-R.; Bardtke, D. Assessing the Biodegradation Potential of Polymers in Screening- and Long-Term Test Systems. J. Environ. Polym. Degrad. 1995, 3, 133–143. [Google Scholar] [CrossRef]
- Battista, F.; Frison, N.; Bolzonella, D. Can Bioplastics Be Treated in Conventional Anaerobic Digesters for Food Waste Treatment? Environ. Technol. Innov. 2021, 22, 101393. [Google Scholar] [CrossRef]
- Zhang, W.; Heaven, S.; Banks, C.J. Degradation of Some EN13432 Compliant Plastics in Simulated Mesophilic Anaerobic Digestion of Food Waste. Polym. Degrad. Stab. 2018, 147, 76–88. [Google Scholar] [CrossRef]
- Calabrò, P.S.; Folino, A.; Fazzino, F.; Komilis, D. Preliminary Evaluation of the Anaerobic Biodegradability of Three Biobased Materials Used for the Production of Disposable Plastics. J. Hazard. Mater. 2020, 390, 121653. [Google Scholar] [CrossRef] [PubMed]
- Kosheleva, A.; Gadaleta, G.; De Gisi, S.; Heerenklage, J.; Picuno, C.; Notarnicola, M.; Kuchta, K.; Sorrentino, A. Co-Digestion of Food Waste and Cellulose-Based Bioplastic: From Batch to Semi-Continuous Scale Investigation. Waste Manag. 2023, 156, 272–281. [Google Scholar] [CrossRef] [PubMed]
- Day, M.; Shaw, K.; Cooney, D. Biodegradability: An Assessment of Commercial Polymers According to the Canadian Method for Anaerobic Conditions. J. Environ. Polym. Degrad. 1994, 2, 121–127. [Google Scholar] [CrossRef]
- Scandola, M.; Finelli, L.; Sarti, B.; Mergaert, J.; Swings, J.; Ruffieux, K.; Wintermantel, E.; Boelens, J.; Wilde, B.D.E.; Müller, W.-R.; et al. Biodegradation of a Starch Containing Thermoplastic in Standardized Test Systems. J. Macromol. Sci. Part A 1998, 35, 589–608. [Google Scholar] [CrossRef]
- Mohee, R.; Unmar, G.D.; Mudhoo, A.; Khadoo, P. Biodegradability of Biodegradable/Degradable Plastic Materials under Aerobic and Anaerobic Conditions. Waste Manag. 2008, 28, 1624–1629. [Google Scholar] [CrossRef] [PubMed]
- Zaborowska, M.; Bernat, K.; Pszczółkowski, B.; Wojnowska-Baryła, I.; Kulikowska, D. Anaerobic Degradability of Commercially Available Bio-Based and Oxo-Degradable Packaging Materials in the Context of Their End of Life in the Waste Management Strategy. Sustainability 2021, 13, 6818. [Google Scholar] [CrossRef]
- Svoboda, P.; Dvorackova, M.; Svobodova, D. Influence of Biodegradation on Crystallization of Poly (Butylene Adipate-Co-Terephthalate). Polym. Adv. Technol. 2019, 30, 552–562. [Google Scholar] [CrossRef]
- García-Depraect, O.; Lebrero, R.; Rodriguez-Vega, S.; Bordel, S.; Santos-Beneit, F.; Martínez-Mendoza, L.J.; Aragão Börner, R.; Börner, T.; Muñoz, R. Biodegradation of Bioplastics under Aerobic and Anaerobic Aqueous Conditions: Kinetics, Carbon Fate and Particle Size Effect. Bioresour. Technol. 2022, 344, 126265. [Google Scholar] [CrossRef] [PubMed]
- Shin, P.K.; Kim, M.H.; Kim, J.M. Biodegradability of Degradable Plastics Exposed to Anaerobic Digested Sludge and Simulated Landfill Conditions. J. Environ. Polym. Degrad. 1997, 5, 33–39. [Google Scholar] [CrossRef]
- Cho, H.S.; Moon, H.S.; Kim, M.; Nam, K.; Kim, J.Y. Biodegradability and Biodegradation Rate of Poly(Caprolactone)-Starch Blend and Poly(Butylene Succinate) Biodegradable Polymer under Aerobic and Anaerobic Environment. Waste Manag. 2011, 31, 475–480. [Google Scholar] [CrossRef]
- Narancic, T.; Verstichel, S.; Reddy Chaganti, S.; Morales-Gamez, L.; Kenny, S.T.; De Wilde, B.; Babu Padamati, R.; O’Connor, K.E. Biodegradable Plastic Blends Create New Possibilities for End-of-Life Management of Plastics but They Are Not a Panacea for Plastic Pollution. Environ. Sci. Technol. 2018, 52, 10441–10452. [Google Scholar] [CrossRef]
- Dvorackova, M.; Svoboda, P.; Kostka, L.; Pekarova, S. Influence of Biodegradation in Thermophilic Anaerobic Aqueous Conditions on Crystallization of Poly(Butylene Succinate). Polym. Test. 2015, 47, 59–70. [Google Scholar] [CrossRef]
- Abou-Zeid, D.-M.; Müller, R.-J.; Deckwer, W.-D. Biodegradation of Aliphatic Homopolyesters and Aliphatic-Aromatic Copolyesters by Anaerobic Microorganisms. Biomacromolecules 2004, 5, 1687–1697. [Google Scholar] [CrossRef]
- Federle, T.W.; Barlaz, M.A.; Pettigrew, C.A.; Kerr, K.M.; Kemper, J.J.; Nuck, B.A.; Schechtman, L.A. Anaerobic Biodegradation of Aliphatic Polyesters: Poly(3-Hydroxybutyrate-Co-3-Hydroxyoctanoate) and Poly(ε-Caprolactone). Biomacromolecules 2002, 3, 813–822. [Google Scholar] [CrossRef]
- Nunziato, R.; Hedge, S.; Dell, E.T.; Thomas Lewis, C.; Diaz, C. Mechanical Properties and Anaerobic Biodegradation of Thermoplastic Starch/Polycaprolactone Blends. In Proceedings of the 21st IAPRI World Conference on Packaging, Zhuai, China, 19–22 June 2018. [Google Scholar]
- Gartiser, S.; Wallrabenstein, M.; Stiene, G. Assessment of Several Test Methods for the Determination of the Anaerobic Biodegradability of Polymers. J. Environ. Polym. Degrad. 1998, 6, 159–173. [Google Scholar] [CrossRef]
- Hubackova, J.; Dvorackova, M.; Svoboda, P.; Mokrejs, P.; Kupec, J.; Pozarova, I.; Alexy, P.; Bugaj, P.; Machovsky, M.; Koutny, M. Influence of Various Starch Types on PCL/Starch Blends Anaerobic Biodegradation. Polym. Test. 2013, 32, 1011–1019. [Google Scholar] [CrossRef]
- Greene, J. Biodegradation of Biodegradable and Compostable Plastics under Industrial Compost, Marine and Anaerobic Digestion. Environ. Sci. Pollut. Res. 2018, 1, 13–18. [Google Scholar]
- Soda, S.; Iwama, K.; Yokoe, K.; Okada, Y.; Ike, M. High Methane Production Potential of Activated Sludge Accumulating Polyhydroxyalkanoates in Anaerobic Digestion. Biochem. Eng. J. 2016, 114, 283–287. [Google Scholar] [CrossRef]
- Majone, M.; Riccardi, C.; Rolle, E.; Scarinci, A. Assessing Anaerobic Biodegradability of Polymeric Materials under Acidogenic or Methanogenic Conditions. Toxicol. Environ. Chem. 1995, 48, 103–118. [Google Scholar] [CrossRef]
- Budwill, K.; Fedorak, P.M.; Page, W.J. Methanogenic Degradation of Poly (3-Hydroxyalkanoates). Appl. Environ. Microbiol. 1992, 58, 1398–1401. [Google Scholar] [CrossRef] [PubMed]
- Gutierrez-Wing, M.T.; Stevens, B.; Theegala, C.; Negulescu, I.; Rusch, K. Anaerobic Biodegradation of Polyhydroxybutyrate (PHB) in Municipal Sewage Sludge. J. Environ. Eng. 2010, 136, 709–718. [Google Scholar] [CrossRef]
- Wang, S.; Lydon, K.A.; White, E.M.; Grubbs, J.B.I.I.I.; Lipp, E.K.; Locklin, J.; Jambeck, J.R. Biodegradation of Poly(3-Hydroxybutyrate-Co-3-Hydroxyhexanoate) Plastic under Anaerobic Sludge and Aerobic Seawater Conditions: Gas Evolution and Microbial Diversity. Environ. Sci. Technol. 2018, 52, 5700–5709. [Google Scholar] [CrossRef] [PubMed]
- Ryan, C.A.; Billington, S.L.; Criddle, C.S. Biocomposite Fiber-Matrix Treatments That Enhance In-Service Performance Can Also Accelerate End-of-Life Fragmentation and Anaerobic Biodegradation to Methane. J. Polym. Environ. 2018, 26, 1715–1726. [Google Scholar] [CrossRef]
- Ryan, C.A.; Billington, S.L.; Criddle, C.S. Assessment of Models for Anaerobic Biodegradation of a Model Bioplastic: Poly(Hydroxybutyrate-Co-Hydroxyvalerate). Bioresour. Technol. 2017, 227, 205–213. [Google Scholar] [CrossRef] [PubMed]
- Reischwitz, A.; Stoppok, E.; Buchholz, K. Anaerobic Degradation of Poly-3-Hydroxybutyrate and Poly-3-Hydroxybutyrate-Co-3-Hydroxyvalerate. Biodegradation 1997, 8, 313–319. [Google Scholar] [CrossRef]
- Nachod, B.; Keller, E.; Hassanein, A.; Lansing, S. Assessment of Petroleum-Based Plastic and Bioplastics Degradation Using Anaerobic Digestion. Sustainability 2021, 13, 13295. [Google Scholar] [CrossRef]
- Vargas, F.L.; Welt, B.A.; Teixeira, A.; Pullammanappallil, P.; Balaban, M.; Beatty, C. Biodegradation of Treated Polylactic Acid (PLA) under Anaerobic Conditions. Trans. ASABE 2009, 52, 1025–1030. [Google Scholar] [CrossRef]
- Itävaara, M.; Karjomaa, S.; Selin, J.-F. Biodegradation of Polylactide in Aerobic and Anaerobic Thermophilic Conditions. Chemosphere 2002, 46, 879–885. [Google Scholar] [CrossRef] [PubMed]
- Bernat, K.; Kulikowska, D.; Wojnowska-Baryła, I.; Zaborowska, M.; Pasieczna-Patkowska, S. Thermophilic and Mesophilic Biogas Production from PLA-Based Materials: Possibilities and Limitations. Waste Manag. 2021, 119, 295–305. [Google Scholar] [CrossRef]
- Mu, L.; Zhang, L.; Ma, J.; Zhu, K.; Chen, C.; Li, A. Enhanced Biomethanization of Waste Polylactic Acid Plastic by Mild Hydrothermal Pretreatment: Taguchi Orthogonal Optimization and Kinetics Modeling. Waste Manag. 2021, 126, 585–596. [Google Scholar] [CrossRef] [PubMed]
- Sutisa Samitthiwetcharong; Orathai Chavalparit Enhancement of Methane Production from Alkaline Pretreated Poly (Lactic Acid) Waste by the Co-Digestion Process. GEOMATE J. 2019, 16, 171–176.
- Hobbs, S.R.; Parameswaran, P.; Astmann, B.; Devkota, J.P.; Landis, A.E. Anaerobic Codigestion of Food Waste and Polylactic Acid: Effect of Pretreatment on Methane Yield and Solid Reduction. Adv. Mater. Sci. Eng. 2019, 2019, 4715904. [Google Scholar] [CrossRef]
- Bandini, F.; Taskin, E.; Vaccari, F.; Soldano, M.; Piccinini, S.; Frache, A.; Remelli, S.; Menta, C.; Sandro Cocconcelli, P.; Puglisi, E. Anaerobic Digestion and Aerobic Composting of Rigid Biopolymers in Bio-Waste Treatment: Fate and Effects on the Final Compost. Bioresour. Technol. 2022, 351, 126934. [Google Scholar] [CrossRef]
- Cazaudehore, G.; Guyoneaud, R.; Vasmara, C.; Greuet, P.; Gastaldi, E.; Marchetti, R.; Leonardi, F.; Turon, R.; Monlau, F. Impact of Mechanical and Thermo-Chemical Pretreatments to Enhance Anaerobic Digestion of Poly(Lactic Acid). Chemosphere 2022, 297, 133986. [Google Scholar] [CrossRef]
- Kolstad, J.J.; Vink, E.T.H.; De Wilde, B.; Debeer, L. Assessment of Anaerobic Degradation of IngeoTM Polylactides under Accelerated Landfill Conditions. Polym. Degrad. Stab. 2012, 97, 1131–1141. [Google Scholar] [CrossRef]
- Russo, M.A.L.; O’Sullivan, C.; Rounsefell, B.; Halley, P.J.; Truss, R.; Clarke, W.P. The Anaerobic Degradability of Thermoplastic Starch: Polyvinyl Alcohol Blends: Potential Biodegradable Food Packaging Materials. Bioresour. Technol. 2009, 100, 1705–1710. [Google Scholar] [CrossRef]
- Liu, C.; Wachemo, A.C.; Tong, H.; Shi, S.; Zhang, L.; Yuan, H.; Li, X. Biogas Production and Microbial Community Properties during Anaerobic Digestion of Corn Stover at Different Temperatures. Bioresour. Technol. 2018, 261, 93–103. [Google Scholar] [CrossRef]
- Guo, M.; Trzcinski, A.P.; Stuckey, D.C.; Murphy, R.J. Anaerobic Digestion of Starch–Polyvinyl Alcohol Biopolymer Packaging: Biodegradability and Environmental Impact Assessment. Bioresour. Technol. 2011, 102, 11137–11146. [Google Scholar] [CrossRef]
- Ebrahimzade, I.; Ebrahimi-Nik, M.; Rohani, A.; Tedesco, S. Towards Monitoring Biodegradation of Starch-Based Bioplastic in Anaerobic Condition: Finding a Proper Kinetic Model. Bioresour. Technol. 2022, 347, 126661. [Google Scholar] [CrossRef] [PubMed]
- Shrestha, A.; van-Eerten Jansen, M.C.A.A.; Acharya, B. Biodegradation of Bioplastic Using Anaerobic Digestion at Retention Time as per Industrial Biogas Plant and International Norms. Sustainability 2020, 12, 4231. [Google Scholar] [CrossRef]
- Cucina, M.; Carlet, L.; De Nisi, P.; Somensi, C.A.; Giordano, A.; Adani, F. Degradation of Biodegradable Bioplastics under Thermophilic Anaerobic Digestion: A Full-Scale Approach. J. Clean. Prod. 2022, 368, 133232. [Google Scholar] [CrossRef]
- Cucina, M.; Soggia, G.; De Nisi, P.; Giordano, A.; Adani, F. Assessing the Anaerobic Degradability and the Potential Recovery of Biomethane from Different Biodegradable Bioplastics in a Full-Scale Approach. Bioresour. Technol. 2022, 354, 127224. [Google Scholar] [CrossRef]
- Boonmee, J.; Kositanont, C.; Leejarkpai, T. Biodegradation of Poly(Lactic Acid), Poly(Hydroxybutyrate-Co-Hydroxyvalerate), Poly(Butylene Succinate) and Poly(Butylene Adipate-Co-Terephthalate) under Anaerobic and Oxygen Limited Thermophilic Conditions. EnvironmentAsia 2016, 9, 107–115. [Google Scholar]
- Šmejkalová, P.; Kužníková, V.; Merna, J.; Hermanová, S. Anaerobic Digestion of Aliphatic Polyesters. Water Sci. Technol. 2016, 73, 2386–2393. [Google Scholar] [CrossRef]
- Yagi, H.; Ninomiya, F.; Funabashi, M.; Kunioka, M. Anaerobic Biodegradation Tests of Poly(Lactic Acid) and Polycaprolactone Using New Evaluation System for Methane Fermentation in Anaerobic Sludge. Polym. Degrad. Stab. 2009, 94, 1397–1404. [Google Scholar] [CrossRef]
- Yagi, H.; Ninomiya, F.; Funabashi, M.; Kunioka, M. Anaerobic Biodegradation of Poly (Lactic Acid) Film in Anaerobic Sludge. J. Polym. Environ. 2012, 20, 673–680. [Google Scholar] [CrossRef]
- Hegde, S.; Dell, E.; Lewis, C.; Trabold, T.A.; Diaz, C.A. Anaerobic Biodegradation of Bioplastic Packaging Materials. In Proceedings of the 21st IAPRI World Conference on Packaging, Zhuhai, China, 19–22 June 2018. [Google Scholar]







Disclaimer/Publisher’s Note: The statements, opinions and data contained in all publications are solely those of the individual author(s) and contributor(s) and not of MDPI and/or the editor(s). MDPI and/or the editor(s) disclaim responsibility for any injury to people or property resulting from any ideas, methods, instructions or products referred to in the content. |
© 2023 by the authors. Licensee MDPI, Basel, Switzerland. This article is an open access article distributed under the terms and conditions of the Creative Commons Attribution (CC BY) license (https://creativecommons.org/licenses/by/4.0/).
Share and Cite
Falzarano, M.; Polettini, A.; Pomi, R.; Rossi, A.; Zonfa, T. Anaerobic Biodegradability of Commercial Bioplastic Products: Systematic Bibliographic Analysis and Critical Assessment of the Latest Advances. Materials 2023, 16, 2216. https://doi.org/10.3390/ma16062216
Falzarano M, Polettini A, Pomi R, Rossi A, Zonfa T. Anaerobic Biodegradability of Commercial Bioplastic Products: Systematic Bibliographic Analysis and Critical Assessment of the Latest Advances. Materials. 2023; 16(6):2216. https://doi.org/10.3390/ma16062216
Chicago/Turabian StyleFalzarano, Marica, Alessandra Polettini, Raffaella Pomi, Andreina Rossi, and Tatiana Zonfa. 2023. "Anaerobic Biodegradability of Commercial Bioplastic Products: Systematic Bibliographic Analysis and Critical Assessment of the Latest Advances" Materials 16, no. 6: 2216. https://doi.org/10.3390/ma16062216
APA StyleFalzarano, M., Polettini, A., Pomi, R., Rossi, A., & Zonfa, T. (2023). Anaerobic Biodegradability of Commercial Bioplastic Products: Systematic Bibliographic Analysis and Critical Assessment of the Latest Advances. Materials, 16(6), 2216. https://doi.org/10.3390/ma16062216

