Study of Practical Analysis Method for Shear Warping Deformationof Composite Box Girder with Corrugated Steel Webs
Abstract
1. Introduction
2. Flexural Deformation Decoupling of CBG-CSWs
2.1. Flexural Displacement Function of CBG-CSWs
2.2. Deflection Decoupling Based on Generalized Displacement
3. Simplified Method for Shear Warping Deformation of CBG-CSWs
3.1. Governing Differential Equation of Shear Warping Deformation
3.2. Simplified Analysis Method for Flexural Shear Warping
3.3. A Simplified Analysis Method for Constrained Torsion
4. Beam Segment Finite Element Method
4.1. Element Stiffness Matrix of CBG-CSWs with Equal Cross-Section
4.2. Element Stiffness Matrix of CBG with Varying Depth Cross-Section
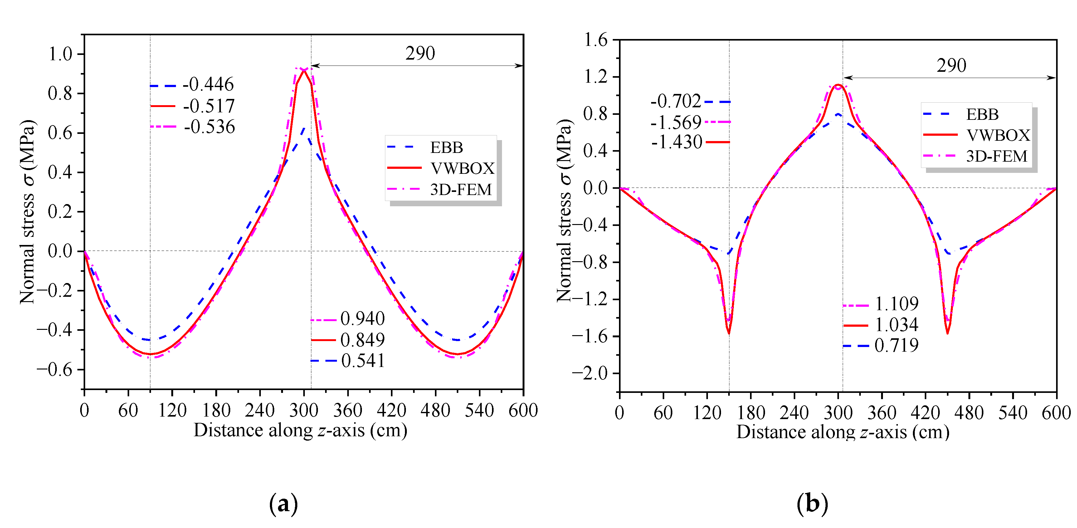
5. Numerical Results
5.1. Example 1: Verification of Simplified Analysis Methods
5.2. Example 2: Precision Analysis of Displacement Shape Function
5.3. Example 3: Verification of Beam Segment Finite Element Method for Varying Depth Cross-Section
6. Conclusions
- (1)
- Compared with other methods, the decoupled shear warping deflection is simpler to analyze and its physical significance is more clear.
- (2)
- The stress and deformation analytical results of numerical examples show that the SM and beam segment program proposed in this paper are effective and have high efficiencies when applied in practical engineering projects.
- (3)
- When other influencing factors such as diaphragm plates are ignored, shear warping deformation has a great influence near the concentrated load and the middle support. The influence range of shear warping deformation along the beam axis decays exponentially and the attenuation rate is related to the shear warping coefficients ( and ) of section.
- (4)
- The deflection caused by shear warping deformation exceeds that by EBB. In the cross-section near the middle support and the concentrated load, the stress increase at the top of the upper flange caused by shear warping deformation is larger than the results from EBB analysis.
Author Contributions
Funding
Institutional Review Board Statement
Informed Consent Statement
Data Availability Statement
Conflicts of Interest
Appendix A
Appendix B
Appendix C
References
- Luo, R.; Edlund, B. Shear capacity of plate girders with trapezoidally corrugated webs. Thin-Walled Struct. 1996, 26, 19–44. [Google Scholar] [CrossRef]
- Elgaaly, M.; Seshadri, A.; Robert, W. Bending strength of steel beams with corrugated webs. J. Struct. Eng. 1997, 123, 772–782. [Google Scholar] [CrossRef]
- Oh, J.Y.; Lee, D.H.; Kim, K.S. Accordion effect of prestressed steel beams with corrugated webs. Thin-Walled Struct. 2012, 57, 49–61. [Google Scholar] [CrossRef]
- Jiang, R.J.; Au, F.T.T.; Xiao, Y.F. Prestressed concrete girder bridges with corrugated steel webs: Review. J. Struct. Eng. 2015, 141, 081–089. [Google Scholar] [CrossRef]
- Nassiraei, H.; Rezadoost, P. SCFs in tubular X-connections retrofifitted with FRP under in-plane bending load. Compos. Struct. 2021, 274, 114314. [Google Scholar] [CrossRef]
- Wu, W.Q.; Ye, J.S.; Wan, S.; Hu, C. Quasi plane assumption and its application in steel-concrete composite box girders with corrugated steel webs. Eng. Mech. 2005, 22, 177–180. [Google Scholar]
- Cheng, J.; Yao, H. Simplified method for predicting the deflections of composite box girders. Eng. Struct. 2016, 128, 256–264. [Google Scholar] [CrossRef]
- YAO, H.; Cheng, J. Analytical method for calculation defection of corrugated box girders based on variational principle. Eng. Mech. 2016, 33, 177–184. [Google Scholar]
- Ma, C.; Liu, S.Z.; Wu, M.Q. Matrix analysis of composite box girder with corrugated steel webs considering shear deformation and shear lag effect. China J. Highw. Transp. 2018, 31, 80–88. [Google Scholar]
- Chawalit, M.; Eiichi, W.; Tomoaki, U. Analysis of corrugated steel web girders by an efficient beam bending theory. J. Struct. Mech. JSCE 2004, 21, 131–142. [Google Scholar]
- He, J.; Liu, Y.Q.; Chen, A.R. Elastic bending theory of composite bridge with corrugated steel web considering shear deformation. Key Eng. Mater. 2009, 400, 575–580. [Google Scholar] [CrossRef]
- Luo, K.; Ji, W.; Zhang, J. Analysis on natural vibration frequencies of PC continuous box girder bridge with corrugated steel webs based on dynamic stiffness matrix. J. Highw. Transp. Res. Dev. 2020, 37, 91–98. [Google Scholar]
- Nie, J.G.; Li, F.X.; Fan, J.S. Effective stiffness method for calculating deflection of corrugated web girder. Eng. Mech. 2012, 29, 71–79. [Google Scholar]
- Chen, X.C.; Au, F.T.K.; Bai, Z.Z.; Li, Z.; Jiang, R. Flexural ductility of reinforced and prestressed concrete sections with corrugated steel webs. Comput. Concr. 2015, 16, 625–642. [Google Scholar] [CrossRef]
- Chen, X.C.; Li, Z.H.; Au, F.T.K.; Jiang, R.J. Flexural vibration of prestressed concrete bridges with corrugated steel webs. Int. J. Struct. Stab. Dyn. 2017, 17, 1750023. [Google Scholar] [CrossRef]
- Li, H.J. Review on torsion and distortion in prestressed concrete box girders with corrugated steel webs. J. Build. Struct. 2017, 38, 59–67. [Google Scholar]
- Murín, J.; Kutiš, V. An effective finite element for torsion of constant cross-sections including warping with secondary torsion moment deformation effect. Eng. Struct. 2008, 30, 2716–2723. [Google Scholar] [CrossRef]
- Choi, S.; Kim, Y.Y. Higher-order Vlasov torsion theory for thin-walled box beams. Int. J. Mech. Sci. 2021, 195, 106231. [Google Scholar] [CrossRef]
- Li, X.Y.; Wan, S.; Shen, K.J.; Zhou, P. Finite beam element with exact shape functions for torsional analysis in thin-walled single- or multi-cell box girders. J. Constr. Steel Res. 2020, 172, 106189. [Google Scholar] [CrossRef]
- Zhang, Y.H.; Zhou, P.J.; Lin, L.X. Research on resolution calculation method for secondary shear flow of thin-walled box girders under restrained torsion. J. China Railw. Soc. 2021, 43, 183–190. [Google Scholar]
- Wen, Y.; Chen, Z.L. A harmonic approach to the non-uniform torsion of box girder with edge cantilevers by fully considering the secondary torsional moment deformation effect. Thin-Walled Struct. 2021, 167, 108151. [Google Scholar] [CrossRef]
- Qiao, P.; Di, J.; Qin, F.J. Warping torsional and distortional stress of composited box girder with corrugated steel webs. Math. Probl. Eng. 2018, 2018, 7613231. [Google Scholar] [CrossRef]
- Qin, A.A.; Liu, S.Z.; Ji, W.; Li, A.J.; Cheng, Z. Analysis on torsion performance of single-box twin-cell composite box girder with corrugated steel webs and steel bottom plates. J. Southeast Univ. (Nat. Sci. Ed.) 2021, 51, 740–746. [Google Scholar]
- Wang, C.; Zhang, Y.L.; Zhang, X.; Li, Y.; Wei, X. Coupled bending-torsion behaviour of single-box multi-cell curved composite box-girders with corrugated-steel-webs. J. Constr. Steel Res. 2022, 196, 107411. [Google Scholar] [CrossRef]
- Huang, H.M.; Zhang, Y.H.; Ji, W.; Luo, K. Theoretical study and parametric analysis on restrained torsion of composite box girder bridge with corrugated steel webs. J. Bridge Eng. (ASCE) 2022, 27, 04022118. [Google Scholar] [CrossRef]
- Andreassen, M.J.; Jönsson, J. A distortional semi-discretized thin-walled beam element. Thin-Walled Struct. 2013, 62, 142–157. [Google Scholar] [CrossRef]
- Cambronero-Barrientos, F.; Díaz-del-Valle, J.; Martínez-Martínez, J.A. Beam element for thin-walled beams with torsion, distortion, and shear lag. Eng. Struct. 2017, 143, 571–588. [Google Scholar] [CrossRef]
- Mokos, V.G.; Sapountzakis, E.J. Secondary torsional moment deformation effect by BEM. Int. J. Mech. Sci. 2011, 53, 897–909. [Google Scholar] [CrossRef]
- Dikaros, I.C.; Sapountzakis, E.J. Generalized warping analysis of composite beams of an arbitrary cross section by BEM. I: Theoretical considerations and numerical implementation. J. Eng. Mech. 2014, 140, 04014062. [Google Scholar] [CrossRef]
- Zhou, M.D.; Lin, P.Z.; Zhang, Y.H. Finite beam segment analysis method for composite box girder with corrugated steel webs based on generalized displacement. J. Southeast Univ. (Nat. Sci. Ed.) 2021, 51, 747–753. [Google Scholar]
- Zhang, Y.H.; Lin, L.X. Shear lag analysis of thin-walled box girders based on a new generalized displacement. Eng. Struct. 2014, 61, 73–83. [Google Scholar] [CrossRef]
- Zhou, M.D.; Zhang, Y.H.; Lin, P.Z.; Zhang, Z. A new practical method for the flexural analysis of thin-walled symmetric cross-section box girders considering shear effect. Thin-Walled Struct. 2022, 171, 108710. [Google Scholar] [CrossRef]
- Li, L.F.; Chen, J.D.; Feng, W.; Zhou, C. Research on shear stress calculation in variable cross-section of composite box girder with corrugated steel webs. J. Railw. Sci. Eng. 2019, 16, 3024–3032. [Google Scholar]
- Zhou, M.; Zhang, J.D.; Zhong, J.T.; Zhao, Y. Shear stress calculation and distribution in variable cross sections of box girders with corrugated steel webs. J. Struct. Eng. ASCE 2016, 142, 04016022. [Google Scholar] [CrossRef]
- Zhou, M.; Liu, Z.; Zhang, J.D.; Shirato, H. Stress analysis of linear elastic nonprismatic concrete-encased beams with corrugated steel webs. J. Bridge Eng. 2017, 22, 04017012. [Google Scholar] [CrossRef]
- Zhou, S.J. Finite beam element considering shear-lag effect in box girder. J. Eng. Mech. 2010, 136, 1115–1122. [Google Scholar] [CrossRef]
- Ji, W.; Deng, L.; Liu, S.Z.; Lin, P. Dynamic characteristics analysis of the variable cross-section continuous box girder bridge with corrugated steel webs. J. Railw. Eng. Soc. 2016, 210, 60–64. [Google Scholar]



















| Load Cases | Mid-Span Cross-Section | Middle-Supported Cross-Section | ||||
|---|---|---|---|---|---|---|
| SM | IPM | Error (%) | SM | IPM | Error (%) | |
| Case 1 Mξ (kN·m) | 84.55 | 84.55 | 0 | −84.55 | −86.95 | −2.8 |
| Case 2 Mξ (kN·m) | 7.42 | 7.42 | 0 | −126.86 | −129.85 | −2.3 |
| Case 3 B (kN·m2) | 78.16 | 78.14 | 0.02 | −38.50 | −39.86 | −3.4 |
| Method | Case 1 | Case 2 | Case 3 | |||||||
|---|---|---|---|---|---|---|---|---|---|---|
| w0 (mm) | f (mm) | w (mm) | Error (%) | w0 (mm) | f (mm) | w (mm) | Error (%) | φ × 10−3 (rad) | Error (%) | |
| EBB | −0.421 | -- | −0.421 | 61.7 | −0.382 | -- | −0.382 | 60.7 | -- | -- |
| IPM | −0.421 | −0.584 | −1.005 | 8.6 | −0.382 | −0.476 | −0.858 | 11.7 | 0.076 | −1.3 |
| SM | −0.421 | −0.581 | −1.025 | 6.8 | −0.382 | −0.476 | −0.858 | 11.7 | 0.071 | 5.3 |
| 3D FEM | -- | -- | −1.100 | 0 | -- | -- | −0.972 | 0 | 0.075 | 0 |
| Load Cases | A-A | C-C | ||||
|---|---|---|---|---|---|---|
| SM | VWBOX | CWBOX | SM | VWBOX | CWBOX | |
| Case 1 Mξ | −25.24 | −26.62 | −25.56 | 6.50 | 6.50 | 7.48 |
| Case 1 M | -- | −752.36 | −752.37 | -- | 240.85 | 240.85 |
| Case 2 Mξ | −26.09 | −27.19 | −27.13 | 78.34 | 78.30 | 78.23 |
| Case 2 M | -- | 1112.85 | 1112.86 | -- | 568.58 | 568.57 |
Disclaimer/Publisher’s Note: The statements, opinions and data contained in all publications are solely those of the individual author(s) and contributor(s) and not of MDPI and/or the editor(s). MDPI and/or the editor(s) disclaim responsibility for any injury to people or property resulting from any ideas, methods, instructions or products referred to in the content. |
© 2023 by the authors. Licensee MDPI, Basel, Switzerland. This article is an open access article distributed under the terms and conditions of the Creative Commons Attribution (CC BY) license (https://creativecommons.org/licenses/by/4.0/).
Share and Cite
Zhou, M.; Zhang, Y.; Lin, P.; Ji, W.; Huang, H. Study of Practical Analysis Method for Shear Warping Deformationof Composite Box Girder with Corrugated Steel Webs. Materials 2023, 16, 1845. https://doi.org/10.3390/ma16051845
Zhou M, Zhang Y, Lin P, Ji W, Huang H. Study of Practical Analysis Method for Shear Warping Deformationof Composite Box Girder with Corrugated Steel Webs. Materials. 2023; 16(5):1845. https://doi.org/10.3390/ma16051845
Chicago/Turabian StyleZhou, Maoding, Yuanhai Zhang, Pengzhen Lin, Wei Ji, and Hongmeng Huang. 2023. "Study of Practical Analysis Method for Shear Warping Deformationof Composite Box Girder with Corrugated Steel Webs" Materials 16, no. 5: 1845. https://doi.org/10.3390/ma16051845
APA StyleZhou, M., Zhang, Y., Lin, P., Ji, W., & Huang, H. (2023). Study of Practical Analysis Method for Shear Warping Deformationof Composite Box Girder with Corrugated Steel Webs. Materials, 16(5), 1845. https://doi.org/10.3390/ma16051845

