Evaluation of a Hybrid Underwater Sound-Absorbing Metastructure by Using the Transfer Matrix Method
Abstract
1. Introduction
2. Theoretical Formulation
2.1. Theoretical Model
2.2. Theoretical Calculations
2.2.1. Transfer Matrix for a Uniform Tube
2.2.2. Transfer Matrix Method for an MPP
2.2.3. Transfer Matrix Method for an Underwater Metastructure with an Air-Filled Cavity
2.3. Absorption Coefficient
3. Results and Discussion
3.1. Numerical Calculations
3.2. Verification
3.3. Sound Absorption Mechanisms
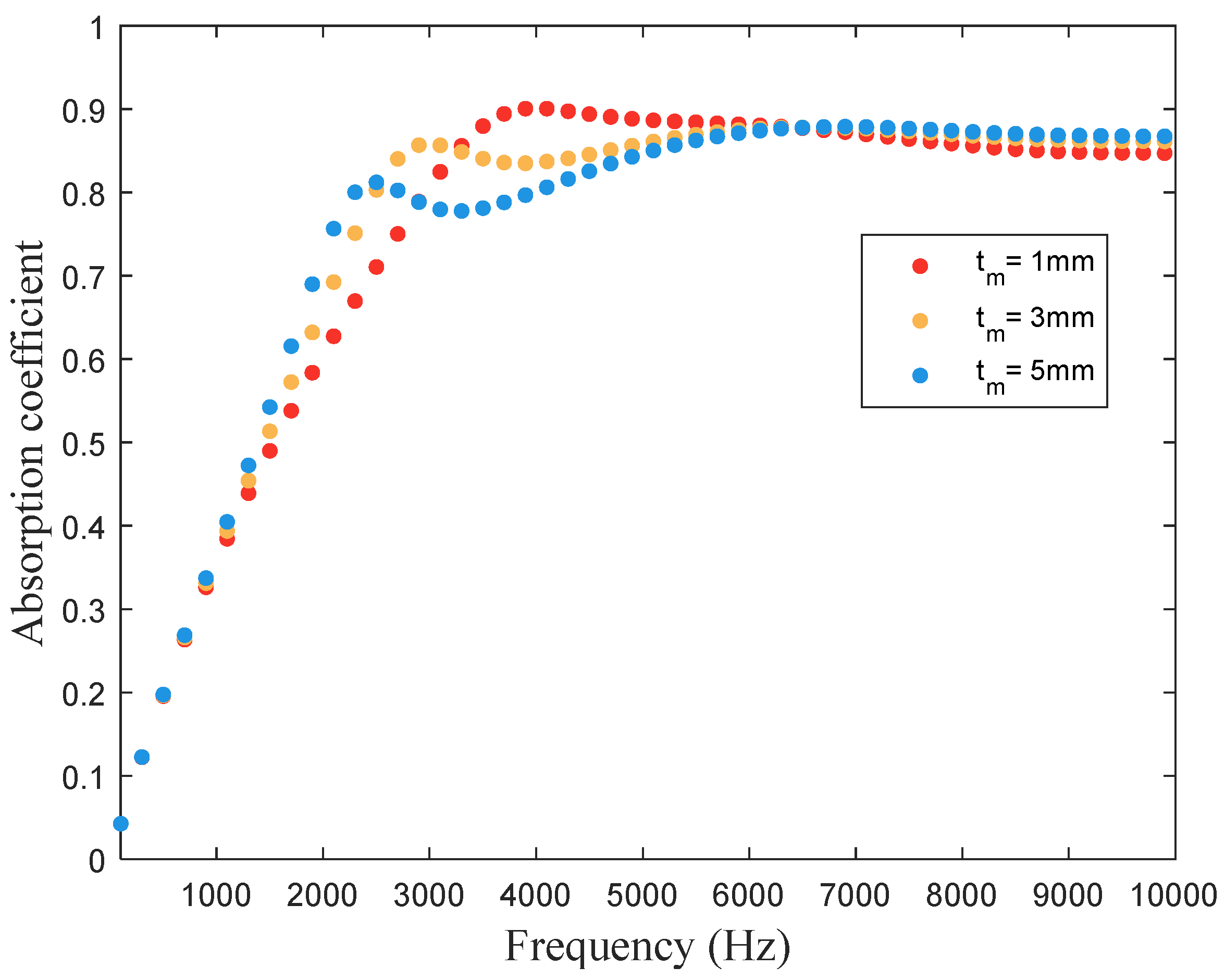
3.4. Numerical Parameter Studies
3.5. Practical Underwater Applications
4. Conclusions
Author Contributions
Funding
Data Availability Statement
Conflicts of Interest
Appendix A
References
- Zhong, J.; Zhao, H.; Yang, H.; Yin, J.; Wen, J. Effect of Poisson’s loss factor of rubbery material on underwater sound absorption of anechoic coatings. J. Sound Vib. 2018, 424, 293–301. [Google Scholar] [CrossRef]
- Gwon, J.G.; Kim, S.K.; Kim, J.H. Sound absorption behavior of flexible polyurethane foams with distinct cellular structures. Mater. Des. 2016, 89, 448–454. [Google Scholar] [CrossRef]
- Jackins, P.D.; Gaunaurd, G.C. Resonance reflection of acoustic waves by a perforated bilaminar rubber coating model. J. Acoust. Soc. Am. 1983, 73, 1456–1463. [Google Scholar] [CrossRef]
- Ivansson, S.M. Numerical design of Alberich anechoic coatings with superellipsoidal cavities of mixed sizes. J. Acoust. Soc. Am. 2008, 124, 1974–1984. [Google Scholar] [CrossRef] [PubMed]
- Meng, T. Simplified model for predicting acoustic performance of an underwater sound absorption coating. J. Vib. Control 2012, 20, 339–354. [Google Scholar] [CrossRef]
- Vijayasree, N.K.; Munjal, M.L. On an Integrated Transfer Matrix method for multiply connected mufflers. J. Sound Vib. 2012, 331, 1926–1938. [Google Scholar] [CrossRef]
- Ye, C.; Liu, X.; Xin, F.; Lu, T.J. Influence of hole shape on sound absorption of underwater anechoic layers. J. Sound Vib. 2018, 426, 54–74. [Google Scholar] [CrossRef]
- Wang, Z.; Huang, Y.; Zhang, X.; Li, L.; Chena, M.; Fang, D. Broadband underwater sound absorbing structure with gradient cavity shaped polyurethane composite array supported by carbon fiber honeycomb. J. Sound Vib. 2020, 479, 115375. [Google Scholar] [CrossRef]
- Jiang, H.; Wang, Y. Phononic glass: A robust acoustic-absorption material. J. Acoust. Soc. Am. 2012, 132, 694–699. [Google Scholar] [CrossRef]
- Shi, K.; Jin, G.; Liu, R.; Ye, T.; Xue, Y. Underwater sound absorption performance of acoustic metamaterials with multilayered locally resonant scatterers. Results Phys. 2019, 12, 132–142. [Google Scholar] [CrossRef]
- Gao, N.; Zhang, Y. A low frequency underwater metastructure composed by helix metal and viscoelastic damping rubber. J. Vib. Control 2018, 25, 538–548. [Google Scholar] [CrossRef]
- Kim, J.; Choi, J.Y. Performance test for transmitted noise reduction of smart panels using piezoelectric shunt damping. Smart Mater. Struct. 2005, 14, 587–593. [Google Scholar] [CrossRef]
- Sun, Y.; Li, Z.; Huang, A.; Li, Q. Semi-active control of piezoelectric coating’s underwater sound absorption by combining design of the shunt impedances. J. Sound Vib. 2015, 355, 19–38. [Google Scholar] [CrossRef]
- Zhang, Z.; Huang, Y.; Huang, Q. Low-frequency broadband absorption of underwater composite anechoic coating with periodic subwavelength arrays of shunted piezoelectric patches. Compos. Struct. 2019, 216, 449–463. [Google Scholar] [CrossRef]
- Maa, D.Y. Potential of microperforated panel absorber. J. Acoust. Soc. Am. 1998, 104, 2861–2866. [Google Scholar] [CrossRef]
- Lee, D.H.; Kwon, Y.P. Estimation of the absorption performance of multiple layer perforated panel systems by transfer matrix method. J. Sound Vib. 2004, 278, 847–860. [Google Scholar] [CrossRef]
- Tang, Y.; Ren, S.; Meng, H.; Xin, F.; Huang, L.; Chen, T.; Zhang, C.; Lu, T.J. Hybrid acoustic metamaterial as super absorber for broadband low-frequency sound. Sci. Rep. 2017, 7, 43340. [Google Scholar] [CrossRef]
- Wang, X. "Porous metal absorbers for underwater sound. J. Acoust. Soc. Am. 2007, 122, 2626–2635. [Google Scholar] [CrossRef]
- Li, L.; Zhang, Z.; Huang, Q.; Li, S. A sandwich anechoic coating embedded with a micro-perforated panel in high-viscosity condition for underwater sound absorption. Compos. Struct. 2020, 235, 111761. [Google Scholar] [CrossRef]
- Munjal, M.L. Acoustics of Ducts and Mufflers with Application to Exhaust and Ventilation System Design; John Wiley & Sons: Hoboken, NJ, USA, 1987. [Google Scholar]
- Zhao, H.; Gary, G. A three dimensional analytical solution of the longitudinal wave propagation in an infinite linear viscoelastic cylindrical bar. Application to experimental techniques. J. Mech. Phys. Solids 1995, 43, 1335–1348. [Google Scholar] [CrossRef]
- Hladky-Hennion, A.C.; Decarpigny, J.N. Analysis of the scattering of a plane acoustic wave by a doubly periodic structure using the finite element method: Application to Alberich anechoic coatings. J. Acoust. Soc. Am. 1991, 90, 3356–3367. [Google Scholar] [CrossRef]





















| Quantity | Values |
|---|---|
| Density of the elastomer () | 1042 |
| Young’s modulus of the elastomer (Pa) | |
| Loss factor of the elastomer | 0.6 |
| Poisson ratio of the elastomer | 0.485 |
| Density of air () | 1.2 |
| Density of water () | 998 |
| Sound speed in water (m/s) | 1481 |
| Parameter | Values |
|---|---|
| (mm) | |
| (mm) | |
| (mm) | |
| (mm) | |
| (mm) | |
| (mm) | |
| (mm) | |
| (mm) | |
| (mm) | |
| (mm) | |
| (mm) |
Disclaimer/Publisher’s Note: The statements, opinions and data contained in all publications are solely those of the individual author(s) and contributor(s) and not of MDPI and/or the editor(s). MDPI and/or the editor(s) disclaim responsibility for any injury to people or property resulting from any ideas, methods, instructions or products referred to in the content. |
© 2023 by the authors. Licensee MDPI, Basel, Switzerland. This article is an open access article distributed under the terms and conditions of the Creative Commons Attribution (CC BY) license (https://creativecommons.org/licenses/by/4.0/).
Share and Cite
Lin, H.-C.; Lu, S.-C.; Huang, H.-H. Evaluation of a Hybrid Underwater Sound-Absorbing Metastructure by Using the Transfer Matrix Method. Materials 2023, 16, 1718. https://doi.org/10.3390/ma16041718
Lin H-C, Lu S-C, Huang H-H. Evaluation of a Hybrid Underwater Sound-Absorbing Metastructure by Using the Transfer Matrix Method. Materials. 2023; 16(4):1718. https://doi.org/10.3390/ma16041718
Chicago/Turabian StyleLin, Han-Chun, Shu-Cheng Lu, and Hsin-Haou Huang. 2023. "Evaluation of a Hybrid Underwater Sound-Absorbing Metastructure by Using the Transfer Matrix Method" Materials 16, no. 4: 1718. https://doi.org/10.3390/ma16041718
APA StyleLin, H.-C., Lu, S.-C., & Huang, H.-H. (2023). Evaluation of a Hybrid Underwater Sound-Absorbing Metastructure by Using the Transfer Matrix Method. Materials, 16(4), 1718. https://doi.org/10.3390/ma16041718

