Electrodeposition of Bi from Choline Chloride-Malonic Acid Deep Eutectic Solvent
Abstract
1. Introduction
2. Materials and Methods
2.1. Electrolyte Preparation
2.2. Spectral Experiment
2.3. Viscosity and Conductivity Experiments
2.4. Electrochemistry and Electrodeposition Experiments
2.5. Physicochemical Characterization
3. Results and Discussion
3.1. FTIR Spectra and Raman Spectroscopy Analysis
3.2. Viscosity and Conductivity Analysis
3.3. Cyclic Voltammetry
3.3.1. The Effect of Scanning Rate
3.3.2. The Effect of Temperature
3.3.3. The Effect of Bismuth Chloride Concentrations
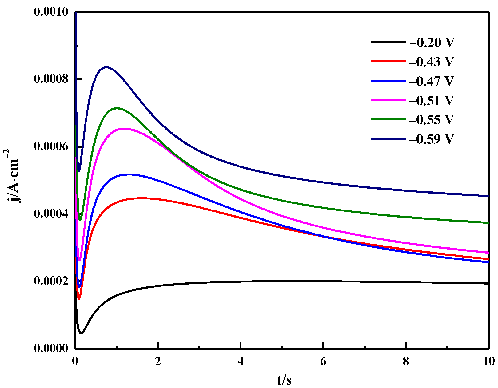
3.4. Chronoamperometry
3.5. Electrodeposition and Characterization of Bi
4. Conclusions
Author Contributions
Funding
Institutional Review Board Statement
Informed Consent Statement
Data Availability Statement
Conflicts of Interest
References
- Rabiee, H.; Ge, L.; Zhang, X.Q.; Hu, S.H.; Li, M.G.; Smart, S.; Zhu, Z.H.; Yuan, Z.G. Shape-tuned electrodeposition of bismuth-based nanosheets on flow-through hollow fiber gas diffusion electrode for high-efficiency CO2 reduction to formate. Appl. Catal. B Environ. 2021, 286, 119945. [Google Scholar] [CrossRef]
- Zhang, Y.; Bajwa, R.; Haneda, Y.; Izumida, M. Experimental Study of Bismuth Alloy Overlays for Automotive Engine Bearing; SAE International: Warrendale, PA, USA, 2021. [Google Scholar]
- Li, G.R.; Ke, Q.F.; Liu, G.K.; Liu, P.; Tong, Y.X. Electrodeposition of nano-grain sized Bi-Co thin films in organic bath and their magnetism. Mater. Lett. 2007, 61, 884–888. [Google Scholar] [CrossRef]
- Kara, Y.; Boudinar, S.; Kadri, A.; Leprëtre, J.C.; Benvrahim, N.; Chaî, E. Ammonium chloride effects on bismuth electrodeposition in a choline chloride-urea deep eutectic solvent. Electrochim. Acta 2021, 367, 137481. [Google Scholar] [CrossRef]
- Osipovich, N.P.; Streltsov, E.A.; Susha, A.S. Bismuth underpotential deposition on tellurium. Electrochem. Commun. 2000, 2, 822–826. [Google Scholar] [CrossRef]
- Castrillejo, Y.; Haarberg, G.M.; Palmetro, S.; Pardo, R.; Batanero, P.S. Chemical and electrochemical behaviour of BiCl3 in a PbCl2-KCl equimolar mixture at 475 °C. J. Electroanal. Chem. 1994, 373, 149–155. [Google Scholar] [CrossRef]
- Kandhasamy, S.; Solheim, A.; Kjelstrup, S.; Haarberg, G.M. Electrolyte melt compositions for low temperature molten carbonate thermocell. ACS Appl. Energy Mater. 2018, 1, 5386–5393. [Google Scholar] [CrossRef]
- Łuczak, J.; Paszkiewicz, M.; Krukowska, A.; Malankowska, A.; Zaleska-medynsk, A. Ionic liquids for nano- and microstructures preparation. Part 1: Properties and multifunctional role. Adv. Colloid Interface Sci. 2016, 230, 13–28. [Google Scholar] [CrossRef]
- Tran, K.T.T.; Le, L.T.M.; Phan, A.L.B.; Tran, P.H.; Vo, T.D.; Truong, T.T.T.; Nguyen, N.T.B.; Garg, A.; Le, P.M.L.; Tran, M.V. New deep eutectic solvents based on ethylene glycol-LiTFSI and their application as an electrolyte in electrochemical double layer capacitor (EDLC). J. Mol. Liq. 2020, 320, 114495. [Google Scholar] [CrossRef]
- Pan, G.; Ban, G.B.; Freyland, W. Electrocrystallization of Bi on Au(111) in an acidic chloroaluminate ionic liquid. Electrochim. Acta 2007, 52, 7254–7261. [Google Scholar] [CrossRef]
- Abbott, A.P.; Capper, G.; Davies, D.L.; Munro, H.L.; Rasheed, R.K.; Tambyrajah, V. Preparation of novel, moisture-stable, Lewis-acidic ionic liquids containing quaternary ammonium salts with functional side chains. Chem. Commun. 2001, 19, 2010–2011. [Google Scholar] [CrossRef]
- Abbott, A.P.; Boothby, D.; Capper, G.; Davies, D.L.; Rasheed, R.K. Deep eutectic solvents formed between choline chloride and carboxylic acids: Versatile alternatives to ionic liquids. J. Am. Chem. Soc. 2004, 126, 9142–9147. [Google Scholar] [CrossRef] [PubMed]
- Salomé, S.; Pereira, N.M.; Ferreira, E.S.; Pereira, C.M.; Silva, A.F. Tin electrodeposition from choline chloride based solvent: Influence of the hydrogen bond donors. J. Electroanal. Chem. 2013, 703, 80–87. [Google Scholar] [CrossRef]
- Wang, H.Y.; Jia, Y.Z.; Wang, X.H.; Yao, Y.; Jing, Y. Physical-chemical properties of nickel analogs ionic liquid based on choline chloride. J. Therm. Anal. Calorim. 2014, 115, 1779–1785. [Google Scholar] [CrossRef]
- Bougeard, D.; DE Villepin, J.; Novak, A. Vibrational spectra and dynamics of crystalline malonic acid at room temperature. Spectrochim. Acta A 1988, 44, 1281–1286. [Google Scholar] [CrossRef]
- Delgado-mellado, N.; Larriaba, M.; Navarro, P.; Rigual, V.; Ayuso, M.; García, J.; Rodríjuez, F. Thermal stability of choline chloride deep eutectic solvents by TGA/FTIR-ATR analysis. J. Mol. Liq. 2018, 260, 37–43. [Google Scholar] [CrossRef]
- Teja, C.; Khan, F.R.N. Choline Chloride-Based Deep Eutectic Systems in Sequential Friedländer Reaction and Palladium-Catalyzed sp3 CH Functionalization of Methyl Ketones. ACS Omega 2019, 4, 8046–8055. [Google Scholar] [CrossRef]
- Tenhunen, T.M.; Lewandowska, A.E.; Orelma, H.; Johansson, L.S.; Virtanen, T.; Harlin, A.; Österberg, M.; Eichhorn, S.J.; Tammelin, T. Understanding the interactions of cellulose fibres and deep eutectic solvent of choline chloride and urea. Cellulose 2018, 25, 137–150. [Google Scholar] [CrossRef]
- Chang, P.P.; Chen, Z.; Zhang, Y.H.; Liu, Y. Direct measurement of aerosol pH in individual malonic acid and citric acid droplets under different relative humidity conditions via Raman spectroscopy. Chemosphere 2020, 241, 124960. [Google Scholar] [CrossRef]
- Perkins, S.L.; Painter, P.; Colina, C.M. Experimental and computational studies of choline chloride-based deep eutectic solvents. J. Chem. Eng. Data. 2014, 59, 3652–3662. [Google Scholar] [CrossRef]
- Vieira, L.; Burt, J.; Richardson, P.W.; Schloffer, D.; Fuchs, D.; Moser, A.; Bartlett, P.N.; Reid, G.; Gollas, B. Tin, bismuth, and tin-bismuth alloy electrodeposition from chlorometalate salts in deep eutectic solvents. ChemistryOpen 2017, 6, 393–401. [Google Scholar] [CrossRef]
- Oertel, R.P.; Plane, R.A. Raman study of chloride and bromide complexes of bismuth(III). Inorg. Chem. 1967, 6, 1960–1967. [Google Scholar] [CrossRef]
- Haight, G.P.; Springer, C.H.; Heilmann, O.J. Solubility studies on substituted ammonium salts of halide complexes. III. Tris(tetramethylammonium) Enneachlorodibismuthate (III). Inorg. Chem. 1964, 3, 195–199. [Google Scholar] [CrossRef]
- Kenney, J.T.; Powell, F.X. Raman spectra of fused indium and bismuth chlorides. J. Phy. Chem. 1968, 72, 3094–3097. [Google Scholar] [CrossRef]
- Fung, K.W.; Begun, G.M.; Mamantov, G. Raman spectra of molten bismuth trichloride and antimony trichloride and of their mixtures with potassium chloride or aluminum trichloride. Inorg. Chem. 1973, 12, 53–57. [Google Scholar] [CrossRef]
- Yusof, R.; Abdulmalek, E.; Sirat, K.; Rahman, M.B.A. Tetrabutylammonium bromide (TBABr)-based deep eutectic solvents (DESs) and their physical properties. Molecules 2014, 19, 8011–8026. [Google Scholar] [CrossRef]
- Abbott, A.P.; Harris, R.C.; Ryder, K.S. Application of hole theory to define ionic liquids by their transport propertie. J. Phy. Chem. B 2007, 111, 4910–4913. [Google Scholar] [CrossRef]
- Chen, Z.H.; Luo, Z.L.; Huang, C.W.; Qi, Y.J.; Yang, P.; You, L.; Hu, C.S.; Wu, T.; Wang, J.L.; Gao, C.; et al. Low-symmetry monoclinic phases and polarization rotation path mediated by epitaxial strain in multiferroic BiFeO3 thin films. Adv. Funct. Mater. 2011, 21, 133–138. [Google Scholar] [CrossRef]
- Wang, H.Y.; Jia, Y.Z.; Wang, X.H.; Ma, J.; Jing, Y. Physico-chemical properties of magnesium ionic liquid analogous. J. Chil. Chem. Soc. 2012, 57, 1208–1212. [Google Scholar] [CrossRef][Green Version]
- Kityk, A.A.; Shaiderov, D.A.; Vasileva, E.A.; Protsenko, V.S.; Danilov, F.I. Choline chloride based ionic liquids containing nickel chloride: Physicochemical properties and kinetics of Ni (II) electroreduction. Electrochim. Acta 2017, 245, 125–137. [Google Scholar] [CrossRef]
- Sakita, A.M.; Della Noce, R.; Fugivara, C.S.; Benedetti, A.V. On the cobalt and cobalt oxide electrodeposition from a glyceline deep eutectic solvent. Phy. Chem. Chem. Phys. 2016, 18, 25048–25057. [Google Scholar] [CrossRef]
- Manh, T.L.; Arce-estrada, E.M.; Romero-romo, M.; Mejía-caballero, I.; Aladana-gonález, J.; Palomar-Pardavé, M. On wetting angles and nucleation energies during the electrochemical nucleation of cobalt onto glassy carbon from a deep eutectic solvent. J. Electrochem. Soc. 2017, 164, 694–699. [Google Scholar] [CrossRef]
- Hinatsu, J.T.; Foulkes, F.R. Electrochemical kinetic parameters for the cathodic deposition of copper from dilute aqueous acid sulfate solutions. Can. J. Chem. Eng. 1991, 69, 571–577. [Google Scholar] [CrossRef]
- Nagaishi, R.; Arisaka, M.; Kimura, T.; Kitatsuji, Y. Spectroscopic and electrochemical properties of europium(III) ion in hydrophobic ionic liquids under controlled condition of water content. J. Alloys Compd. 2007, 431, 221–225. [Google Scholar] [CrossRef]
- Heeraman, L. Electrochemistry of bismuth in a 67 mole% AlCl3-33 mole% N-(n-Butyl)Pyridinium chloride room temperature molten salt. J. Electrochem. Soc. 1991, 138, 1372. [Google Scholar] [CrossRef]
- Jerkiewica, G.; Perreault, F.; Radovic-hrapovic, Z. Effect of Temperature Variation on the Under-Potential Deposition of Copper on Pt(111) in Aqueous H2SO4. J. Phys. Chem. C 2009, 113, 12309–12316. [Google Scholar] [CrossRef]
- Haque, F.; Rahman, M.S.; Ahmed, E.; Bakshi, P.K.; Shaikh, A.A. A Cyclic Voltammetric study of the redox reaction of Cu(II) in presence of ascorbic acid in different pH media. Dhaka Univ. J. Sci. 2013, 61, 161–166. [Google Scholar] [CrossRef]
- Kahoul, A.; Azizi, F.; Bouaoud, M. Effect of citrate additive on the electrodeposition and corrosion behaviour of Zn-Co alloy. T. I. Met. Finish. 2017, 95, 106–113. [Google Scholar] [CrossRef]
- Zhou, L.P.; Dai, Y.T.; Zhang, H.; Jia, Y.R.; Zhang, J.; Li, C.X. Nucleation and growth of bismuth electrodeposition from alkaline electrolyte. Bull. Korean Chem. Soc. 2012, 33, 1541–1546. [Google Scholar] [CrossRef]
- Lin, Y.F.; Sun, I.W. Electrodeposition of zinc from a Lewis acidic zinc chloride-1-ethyl-3-methylimidazolium chloride molten salt. Electrochim. Acta 1999, 44, 2771–2777. [Google Scholar] [CrossRef]
- Scharifker, B.; Hills, G. Theoretical and experimental studies of multiple nucleation. Electrochim. Acta 1983, 28, 879–889. [Google Scholar] [CrossRef]
- Tamburri, E.; Angjellari, M.; Tomellini, M.; Gay, S.; Reina, G.; Lavecchia, T.; Barbini, P.; Pasqiuali, M.; Orlanducci, S. Electrochemical growth of nickel nanoparticles on carbon nanotubes fibers: Kinetic modeling and implications for an easy to handle platform for gas sensing device. Electrochim. Acta 2015, 157, 115–124. [Google Scholar] [CrossRef]
- Palomar-pardavé, M.; Scharifker, B.R.; Arce, E.M.; Romero-romo, M. Nucleation and diffusion-controlled growth of electroactive centers: Reduction of protons during cobalt electrodeposition. Electrochim. Acta 2005, 50, 4736–4745. [Google Scholar] [CrossRef]
- Aladani-gonzálec, J.; Romero-romo, M.; Robles-peralta, J.; Morales-gil, P.; Palacios-gonzález, E.; Ramírez-silva, M.T.; Mostany, J.; Palomar-pardavé, M. On the electrochemical formation of nickel nanoparticles onto glassy carbon from a deep eutectic solven. Electrochim. Acta 2018, 276, 417–423. [Google Scholar] [CrossRef]
- Dias, L.P.; Correia, F.C.; Riveiro, J.M.; Tavares, C.J. Photocatalytic Bi2O3/TiO2:N Thin Films with Enhanced Surface Area and Visible Light Activity. Coatings 2020, 10, 445. [Google Scholar] [CrossRef]
- Pani, T.K.; Sundray, B. Analysis of crystal structure and magnetic properties of strontium substituted bismuth ferrite thin films. J. Phys. Condens. Matter 2020, 32, 505802. [Google Scholar] [CrossRef]
















| Concentration/(mol∙L−1) | Linear Fitting Equation | R2 | η0 | Eη/(kJ∙mol−1) |
|---|---|---|---|---|
| 0.01 | lnη = −3.2581 + 3113.18 T−1 | 0.9946 | 3.85 × 10−2 | 25.88 |
| 0.05 | lnη = −3.9617 + 3423.89 T−1 | 0.9949 | 1.90 × 10−2 | 28.47 |
| 0.10 | lnη = −6.2160 + 4284.04 T−1 | 0.9956 | 2.00 × 10−3 | 35.62 |
| Concentration/(mol∙L−1) | Linear Fitting Equation | R2 | к0 | Eк/(kJ∙mol−1) |
|---|---|---|---|---|
| 0.01 | Lnк = 9.3199 − 2962.47 T−1 | 0.9957 | 1.12 × 104 | 24.63 |
| 0.05 | Lnк = 9.8275 − 3174.62 T−1 | 0.9981 | 1.85 × 104 | 26.39 |
| 0.10 | Lnк = 11.0967 − 3647.27 T−1 | 0.9958 | 6.60 × 104 | 30.32 |
Disclaimer/Publisher’s Note: The statements, opinions and data contained in all publications are solely those of the individual author(s) and contributor(s) and not of MDPI and/or the editor(s). MDPI and/or the editor(s) disclaim responsibility for any injury to people or property resulting from any ideas, methods, instructions or products referred to in the content. |
© 2023 by the authors. Licensee MDPI, Basel, Switzerland. This article is an open access article distributed under the terms and conditions of the Creative Commons Attribution (CC BY) license (https://creativecommons.org/licenses/by/4.0/).
Share and Cite
Cao, X.; Wang, H.; Liu, T.; Shi, Y.; Xue, X. Electrodeposition of Bi from Choline Chloride-Malonic Acid Deep Eutectic Solvent. Materials 2023, 16, 415. https://doi.org/10.3390/ma16010415
Cao X, Wang H, Liu T, Shi Y, Xue X. Electrodeposition of Bi from Choline Chloride-Malonic Acid Deep Eutectic Solvent. Materials. 2023; 16(1):415. https://doi.org/10.3390/ma16010415
Chicago/Turabian StyleCao, Xiaozhou, Hao Wang, Tianrui Liu, Yuanyuan Shi, and Xiangxin Xue. 2023. "Electrodeposition of Bi from Choline Chloride-Malonic Acid Deep Eutectic Solvent" Materials 16, no. 1: 415. https://doi.org/10.3390/ma16010415
APA StyleCao, X., Wang, H., Liu, T., Shi, Y., & Xue, X. (2023). Electrodeposition of Bi from Choline Chloride-Malonic Acid Deep Eutectic Solvent. Materials, 16(1), 415. https://doi.org/10.3390/ma16010415

