Synthesis and Characterization of Biodegradable Polymers Based on Glucose Derivatives
Abstract
1. Introduction
2. Experimental Section
2.1. Reagents
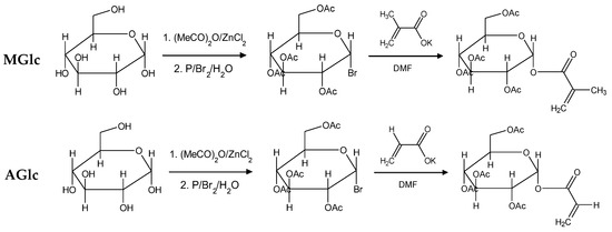
2.2. Synthesis of Monomers (MGlc and AGlc)
2.2.1. Preparation of Potassium Meth/Acrylate
2.2.2. Preparation of 1-bromo-2,3,4,6-tetra-O-acetyl-D-glucopyranose
2.2.3. Preparation of 2,3,4,6-tetra-O-acetyl-1-methacryloylglucopyranose (MGlc)
2.2.4. Preparation of 2,3,4,6-tetra-O-acetyl-1-acryloylglucopyranose (AGlc)
2.3. Characterization
2.3.1. Methods for Monomers
2.3.2. X-Ray Crystallography
2.3.3. X-Ray Powder Diffraction
2.4. Polymerization
2.5. Optical Properties
2.6. Thermal Stability Studies of Polymers
2.7. Biodegradation Test
3. Results and Discussion
3.1. Synthesis of Monomers
3.2. Thermal and X-ray Diffraction Studies of Solid Monomers
3.3. FT-IR Spectroscopy
3.4. Polymerization
3.5. Optical Properties
3.6. Thermal Properties of Polymers
3.7. Biodegradability of Polymers
4. Conclusions
Supplementary Materials
Author Contributions
Funding
Institutional Review Board Statement
Informed Consent Statement
Data Availability Statement
Conflicts of Interest
References
- Stick, R.V.; Williams, S.J. Chapter 3: The Reactions of Monosaccharides. In Carbohydrates: The Essential Molecules of Life, 2nd ed.; Stick, R.V., Williams, S.J., Eds.; Elsevier Ltd.: Amsterdam, The Netherlands, 2009; pp. 75–131. [Google Scholar]
- Harborne, J.B. Sugar and their derivatives. In Phytochemical Methods: A Guide to Modern Techniques of Plant Analysis, 1st ed.; Harborne, J.B., Ed.; Springer: Dordrecht, The Netherlands, 1973; pp. 212–232. [Google Scholar]
- Siracusa, V.; Rocculi, P.; Romani, S.; Rosa, M.D. Biodegradable polymers for food packaging: A review. Trends Food Sci. Technol. 2008, 19, 634–643. [Google Scholar] [CrossRef]
- Ratto, J.A.; Stenhouse, P.J.; Auerbach, M.; Mitchell, J.; Farrell, R. Processing, performance and biodegradability of a thermoplastic aliphatic polyester/starch system. Polymer 1999, 40, 6777–6788. [Google Scholar] [CrossRef]
- Reis, A.V.; Guilherme, M.R.; Moia, T.A.; Mattoso, L.H.C.; Muniz, E.C.; Tambourgi, E.B. Synthesis and characterization of a starch-modified hydrogel as potential carrier for drug delivery system. J. Polym. Sci. A Polym. Chem. 2008, 46, 2567–2574. [Google Scholar] [CrossRef]
- Wang, D.; Song, Z.Q.; Shang, S.B. Characterization and biodegradability of amphoteric superabsorbent polymers. J. Appl. Polym. Sci. 2008, 107, 4116–4120. [Google Scholar] [CrossRef]
- Lu, D.R.; Ciao, C.M.; Xu, S.J. Starch-based completely biodegradable polymer materials. eXPRESS Polym. Lett. 2009, 6, 366–375. [Google Scholar] [CrossRef]
- Boesel, L.F.; Mano, J.F.; Reis, R.L. Optimization of the formulation and mechanical properties of starch based partially degradable bone cements. J. Mater. Sci. Mater. Med. 2004, 15, 73–83. [Google Scholar] [CrossRef]
- Japu, C.; Ilarduya, A.M.; Alla, A.; Garcia-Martin, M.G.; Galbis, J.A.; Muňoz-Guerra, S. Bio-based PBT copolyesters derived from D-glucose: Influence of composition on properties. Polym. Chem. 2014, 5, 3190–3202. [Google Scholar] [CrossRef]
- Kentaro, Y.; Keisuke, S.; Jun-ichi, A. Preparation of layer-by-layer films composed of polysaccharides and poly(amidoamine) dendrimer bearing phenylboronic acid and their pH- and sugar-dependent stability. Materials 2016, 9, 425. [Google Scholar]
- Iwakura, Y.; Imai, Y.; Yagi, K. Preparation of polymers containing sugar residues. J. Polym. Sci. A Polym. Chem. 1968, 6, 1625–1632. [Google Scholar] [CrossRef]
- Lavilla, C.; Alla, A.; Martínez de Ilarduya, A.; Benito, E.; García-Martín, M.G.; Galbis, J.A.; Muñoz-Guerra, S. Carbohydrate-based polyesters made from bicyclic acetalized galactaric acid. Macromolecules 2011, 12, 2642–2652. [Google Scholar] [CrossRef]
- Fenouillot, F.; Rousseau, A.; Colomines, G.; Saint-Loupe, R.; Pascault, J.P. Polymers from renewable 1,4:3,6-dianhydrohexitols (isosorbide, isomannide and isoidide): A review. Prog. Polym. Sci. 2010, 35, 578–622. [Google Scholar] [CrossRef]
- Trinadh, M.; Govindaray, K.G.; Rajasekhar, T.; Sainath, A.V.S.; Dhayal, M. Synthesis of glycopolymers at various pendant spacer lengths of glucose moiety and their effects on adhesion, viability and proliferation of osteoblast cells. RSC Adv. 2014, 4, 37400–37410. [Google Scholar] [CrossRef]
- Trinadh, M.; Govindaraj, K.; Rajasekhar, T.; Dhayal, M.; Sainath, A.V.S. Synthesis and characterization of poly(ethyleneoxide)-based glycopolymers and their biocompatibility with osteoblast cells. Polym. Int. 2015, 64, 795–803. [Google Scholar] [CrossRef]
- Erfurt, K.; Markiewicz, M.; Siewniak, A.; Lisicki, D.; Zalewski, M.; Stolte, S.; Chrobok, A. Biodegradable Surface Active D-Glucose Based Quaternary Ammonium Ionic Liquids in the Solventless Synthesis of Chloroprene. ACS Sustain. Chem. Eng. 2020, 29, 10911–10919. [Google Scholar] [CrossRef]
- Asghari, F.; Samiei, M.; Adibkia, K.; Akbarzadeh, A.; Davaran, S. Biodegradable and biocompatible polymers for tissue engineering application: A review. Artif. Cells Nanomed. Biotechnol. 2017, 45, 185–192. [Google Scholar] [CrossRef]
- De la Harpe, K.M.; Kondiah, P.P.D.; Marimuthu, T.; Choonara, Y.E. Advances in carbohydrate—Based polymers for the design of suture materials: A review. Carbohydr. Polym. 2021, 261, 117860. [Google Scholar] [CrossRef]
- Ravi, A.; Hassan, S.Z.; Bhandary, S.; Sureshan, K.M. Topochemical postulates: Are they relevant for topochemical reactions occurring at elevated temperatures? Angew. Chem. Int. Ed. 2022, 61, e202200954. [Google Scholar]
- García-Peñas, A.; Gómez-Elvira, J.M.; Blázquez-Blázquez, E.; Barranco-Garcia, R.; Pérez, E.; Cerrada, M.L. Microstructural details and polymorphs in poly(propylene-co-1-nonene) copolymers synthesized at different polymerization temperatures. Polym. Cryst. 2021, 4, e10150. [Google Scholar] [CrossRef]
- Mohanrao, R.; Hema, K.; Sureshan, K.M. Topochemical synthesis of different polymorphs of polymers as a paradigm for tuning properties of polymers. Nat. Commun. 2020, 11, 865. [Google Scholar] [CrossRef]
- Vogel, A.I. Preparatyka Organiczna, 3rd ed.; PWN: Warszawa, Poland, 2018; pp. 457–458. [Google Scholar]
- CrysAlisPRO Software System; Rigaku: Oxford, UK, 2016.
- Sheldrick, G.M. Crystal structure refinement with SHELXL. Acta Crystallogr. C Struct. Chem. 2015, 71, 3–8. [Google Scholar] [CrossRef]
- Faruggia, L.J. WinGX suite for small-molecule single-crystal crystallography. J. Appl. Crystallogr. 1999, 32, 837–838. [Google Scholar] [CrossRef]
- PANalytical. HighScore Plus; Software Ver. 3.0.5, PANalytical: Almelo, The Netherlands, 2012.
- Rudź, W.; Gawdzik, B. Photopolymerization of bis(4-methacryloyl-methyl-phenyl)sulfide and bis(4-meth- acryloylmethylphenyl)sulfone with vinyl monomers and properties of the prepared copolymers. Polym. Polym. Compos. 2011, 19, 587–592. [Google Scholar]
- Bukowska-Śluz, I.; Rudź, W.; Gawdzik, B. Photoinitiated copolymerization of acetonyl methacrylate. J. Therm. Anal. Calorim. 2013, 113, 909–913. [Google Scholar] [CrossRef]
- Santonja-Blasco, L.; Moriana, R.; Badia, J.D.; Ribes-Greus, A. Thermal analysis applied to the characterization of degradation in soil of polylactide: I. Calorimetric and viscoelastic analyses. Polym. Degrad. Stab. 2010, 95, 2185–2191. [Google Scholar] [CrossRef]
- ISO 846:2019; Plastics—Evaluation of the Action of Microorganisms. International Organization of Standardization: Geneva, Switzerland, 2019.
- Gawdzik, B.; Matynia, T.; Osypiuk, J. Porous copolymer of the methacrylic ester of dihydroxydiphenylmethanediglycidyl ether and divinylbenzene as an HPLC packing. Chromatographia 1998, 49, 509–514. [Google Scholar] [CrossRef]
- Grochowicz, M.; Bartnicki, A.; Gawdzik, B. Synthesis of a new tetrafunctional monomer, 1,4-di(2-hydroxy-3- methacryloyloxypropoxy)phenol, and its copolymerization. J. Appl. Polym. Sci. 2008, 107, 3718–3726. [Google Scholar] [CrossRef]
- Podkoscielna, B.; Gawdzik, B.; Bartnicki, B. Use of a new methacrylic monomer, 4,4′-di(2-hydroxy-3-meth-acryloyl- oxypropoxy)benzophenone, in the synthesis of porous microspheres. J. Polym. Sci. A Polym. Chem. 2006, 44, 7014–7026. [Google Scholar] [CrossRef]
- Cruz-Cabeza, A.J.; Bernstein, J. Conformational polymorphism. The influence of crystal structure on molecular conformation. J. Chem. Rev. 2014, 114, 2170–2191. [Google Scholar] [CrossRef]
- Ibrahim, M.; Alaam, M.; El-Haes, H.; Jalbout, A.F.; de Leon, A. Analysis of the structure and vibrational spectra of glucose and fructose. Eclét. Quím. 2006, 31, 15–21. [Google Scholar] [CrossRef]
- Kaijanen, L.; Paakkunainen, M.; Pietarinen, S.; Jernström, E.; Reinikainen, S.-P. Ultraviolet detection of monosaccharides: Multiple wavelength strategy to evaluate results after capillary zone electrophoretic separation. Int. J. Electrochem. Sci. 2015, 10, 2950–2961. [Google Scholar]












| Polymer | MGlc | AGlc | MMA | MMA-NVP (1:1) |
|---|---|---|---|---|
| MGlc | 100 | |||
| MGlc-MMA | 20 | 80 | ||
| MGlc-MMA-NVP | 20 | 80 | ||
| AGlc | 100 | |||
| AGlc-MMA | 20 | 80 | ||
| AGlc-MMA-NVP | 20 | 80 | ||
| PMMA | 100 | |||
| MMA-NVP | 100 |
| Crystal Structure | MGlc | AGlc-M | AGlc-O | AGlc-M-LT |
|---|---|---|---|---|
| Solvent used | methanol | methanol | cyclohexane | |
| Experimental T/K | 293 | 293 | 293 | 120 |
| Chemical formula | C18H24O11 | C17H22O11 | C17H22O11 | C17H22O11 |
| Formula weight | 416.37 | 402.34 | 402.34 | 402.34 |
| Crystal system | monoclinic | monoclinic | orthorhombic | monoclinic |
| Space group | P21 | P21 | P212121 | P21 |
| a/Å | 9.729(1) | 5.821(1) | 5.976(1) | 14.813(4) |
| b/Å | 6.264(1) | 13.970(3) | 18.730(2) | 13.566(6) |
| c/Å | 17.351(2) | 12.769(3) | 36.605(4) | 15.550(5) |
| β/° | 93.24(1) | 100.06(2) | 90 | 110.08(4) |
| V/Å3 | 1055.7(2) | 1022.4(4) | 4097.2(9) | 2935(2) |
| Z/Z’ | 2/1 | 2/1 | 8/2 | 6/3 |
| dcalc/g·cm−3 | 1.310 | 1.307 | 1.305 | 1.366 |
| µ/mm−1 | 0.943 | 0.956 | 0.954 | 0.999 |
| Rint | 0.0633 | 0.015 | 0.0661 | 0.0527 |
| Reflections indep./with I > 2σ(I) | 3871/3711 | 2897/2301 | 7277/4213 | 8257/4234 |
| R1 [I > 2σ(I)] | 0.0350 | 0.0977 | 0.0558 | 0.2165 |
| wR2 [all data] | 0.1007 | 0.3034 | 0.1767 | 0.5654 |
| min/max [e·Å−3] | −0.11/0.14 | −0.27/0.53 | −0.18/0.31 | −0.70/1.48 |
| CCDC No. | 2218910 | 2218911 | 2218912 | 2218913 |
| Polymer | T400 | T800 |
|---|---|---|
| MGlc | 48.9 | 81.0 |
| AGlc | 59.4 | 88.7 |
| MGlc-MMA | 71.4 | 85.1 |
| AGlc-MMA | 71.0 | 88.7 |
| PMMA | 83.0 | 86.0 |
| Polymer | IDT | Tend | Tmax1 | Tmax2 |
|---|---|---|---|---|
| MGlc | 142.6 | 536.9 | 280.2 | |
| AGlc | 179.3 | 573.5 | 277.9 | |
| PMMA | 127.0 | 403.0 | 292.5 | |
| MGlc-MMA | 146.3 | 502.4 | 296.7 | |
| MGlc-MMA-NVP | 74.5 | 652.4 | 303.7 | 412.8 |
| AGlc-MMA | 133.2 | 625.3 | 303.7 | |
| AGlc-MMA-NVP | 78.5 | 642.6 | 302.3 | 421.1 |
| MMA-NVP | 52.3 | 630.8 | 412.4 |
Disclaimer/Publisher’s Note: The statements, opinions and data contained in all publications are solely those of the individual author(s) and contributor(s) and not of MDPI and/or the editor(s). MDPI and/or the editor(s) disclaim responsibility for any injury to people or property resulting from any ideas, methods, instructions or products referred to in the content. |
© 2022 by the authors. Licensee MDPI, Basel, Switzerland. This article is an open access article distributed under the terms and conditions of the Creative Commons Attribution (CC BY) license (https://creativecommons.org/licenses/by/4.0/).
Share and Cite
Gawdzik, B.; Bukowska-Śluz, I.; Koziol, A.E.; Mazur, L. Synthesis and Characterization of Biodegradable Polymers Based on Glucose Derivatives. Materials 2023, 16, 253. https://doi.org/10.3390/ma16010253
Gawdzik B, Bukowska-Śluz I, Koziol AE, Mazur L. Synthesis and Characterization of Biodegradable Polymers Based on Glucose Derivatives. Materials. 2023; 16(1):253. https://doi.org/10.3390/ma16010253
Chicago/Turabian StyleGawdzik, Barbara, Izabela Bukowska-Śluz, Anna E. Koziol, and Liliana Mazur. 2023. "Synthesis and Characterization of Biodegradable Polymers Based on Glucose Derivatives" Materials 16, no. 1: 253. https://doi.org/10.3390/ma16010253
APA StyleGawdzik, B., Bukowska-Śluz, I., Koziol, A. E., & Mazur, L. (2023). Synthesis and Characterization of Biodegradable Polymers Based on Glucose Derivatives. Materials, 16(1), 253. https://doi.org/10.3390/ma16010253

