Quantifying the Improvement in Dielectric Properties of BaSrTiO3-Based Ceramics by Adding MgO
Abstract
:1. Introduction
2. Materials and Methods
3. Results and Discussion
3.1. XRD Analysis of BST-MgO Ceramic Powder
3.2. TEM Analysis of BST-MgO Ceramic Powder
3.3. Infrared Spectrum Analysis of BST-MgO Ceramic Powder
3.4. XRD Analysis of BST-MgO Ceramic Block
3.5. Raman Analysis of BST-MgO Ceramics
3.6. Microstructure Analysis of BST-MgO Ceramic Block
3.7. Dielectric Properties of BST-MgO Ceramics at Room Temperature
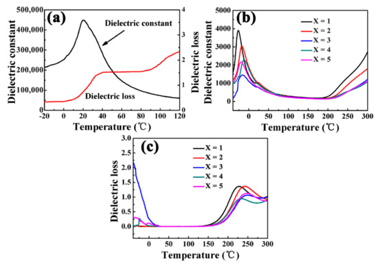
3.8. Analysis of Dielectric Properties of BST-MgO Ceramics at Variable Temperatures
4. Conclusions
Author Contributions
Funding
Institutional Review Board Statement
Informed Consent Statement
Data Availability Statement
Conflicts of Interest
References
- Liu, S.; Wang, J.; Hao, H.; Zhao, L.; Zhai, J. Discharged energy density and efficiency of nanocomposites based on poly(vinylidene fluoride) and core-shell structured BaTiO3@Al2O3 nanoparticles. Ceram. Int. 2018, 44, 22850–22855. [Google Scholar] [CrossRef]
- Wu, L.; Wang, X.; Li, L. Core-shell BaTiO3@BiScO3 particles for local graded dielectric ceramics with enhanced temperature stability and energy storage capability. J. Alloy Compd. 2016, 688, 113–121. [Google Scholar] [CrossRef]
- Acosta, M.; Novak, N.; Rojas, V.; Patel, S.; Vaish, R.; Koruza, J.; Rossetti, G.A.; Rödel, J. BaTiO3-based piezoelectrics: Fundamentals, current status, and perspectives. Appl. Phys. Rev. 2017, 4, 041305. [Google Scholar] [CrossRef] [Green Version]
- Zhang, Q.; Jiang, Y.; Yu, E.; Yang, H. Significantly enhanced dielectric properties of P(VDF-HFP) composite films filled with core-shell BaTiO3@PANI nanoparticles. Surf. Coat. Technol. 2018, 358, 293–298. [Google Scholar] [CrossRef]
- Li, L.; Li, J.; Zhang, N.; Zheng, H.; Cai, Z.; Lu, T. Effects for different particle size ZnO-B2O3-Bi2O3 additive on the dielectric properties and microstructure of BaTiO3-based X8R ceramics. Ceram. Int. 2018, 44, 894–899. [Google Scholar] [CrossRef]
- Zaman, T.; Islam, K.; Rahman, A.; Hussain, A.; Matin, A.; Rahman, S. Mono and co-substitution of Sr2+ and Ca2+ on the structural, electrical and optical properties of barium titanate ceramics. Ceram. Int. 2019, 45, 10154–10162. [Google Scholar] [CrossRef]
- Luo, B.; Wang, X.; Tian, E.; Qu, H.; Zhao, Q.; Cai, Z.; Wang, H.; Feng, W.; Li, B.; Li, L. Chemical composition and temperature dependence of the energy storage properties of Ba1-xSrxTiO3ferroelectrics. J. Am. Ceram. Soc. 2018, 101, 2976–2986. [Google Scholar] [CrossRef]
- Yu, A.; Li, Q.; Fan, D.; Zhang, H. Study on positive temperature coefficient of resistivity of co-doped BaTiO3 with Curie temperature in room temperature region. Sci. China Technol. Sci. 2019, 62, 811–819. [Google Scholar] [CrossRef]
- Gheorghiu, F.; Ciomaga, C.E.; Simenas, M.; Airimioaei, M.; Qiao, S.; Tascu, S.; Kalendra, V.; Banys, J.; Avadanei, O.G.; Mitoseriu, L. Preparation and functional characterization of magnetoelectric Ba(Ti1-xFex)O3-x/2 ceramics. Application for a miniaturized resonator antenna. Ceram. Int. 2018, 44, 20862–20870. [Google Scholar] [CrossRef]
- Banerjee, A.; Das, A.; Das, D.; Saha, A.; Sarkar, S. Mössbauer study of Fe-doped BaTiO3 of different grain sizes induced by ball mill technique. J. Magn. Magn. Mater. 2017, 449, 180–184. [Google Scholar] [CrossRef]
- Luo, B.; Wang, X.; Tian, E.; Song, H.; Zhao, Q.; Cai, Z.; Feng, W.; Li, L. Giant permittivity and low dielectric loss of Fe doped BaTiO3 ceramics: Experimental and first-principles calculations. J. Eur. Ceram. Soc. 2018, 38, 1562–1568. [Google Scholar] [CrossRef]
- Jartych, E.; Pikula, T.; Garbarz-Glos, B.; Panek, R. Mössbauer Spectroscopy Studies of Fe-Doped BaTiO3 Ceramics. Acta Phys. Pol. A 2018, 134, 1058–1062. [Google Scholar] [CrossRef]
- Fuentes, S.; Pizarro, H.; Gutiérrez, P.; Diaz-Droguett, D.; Barraza, N. Application of FORC distributions to the study of magnetic interactions in Co-doped BaTiO 3 nanomaterials. Mater. Sci. Eng. B 2018, 227, 39–47. [Google Scholar] [CrossRef]
- Rani, A.; Kolte, J.; Gopalan, P. Structural, electrical, magnetic and magnetoelectric properties of Co-doped BaTiO3 multiferroic ceramics. Ceram. Int. 2018, 44, 16703–16711. [Google Scholar] [CrossRef]
- Lin, Y.T.; Ou, S.F.; Lin, M.H.; Song, Y.R. Effect of MgO addition on the microstructure and dielectric properties of BaTiO3 ceramics. Ceram. Int. 2018, 44, 3531–3535. [Google Scholar] [CrossRef]
- Huang, Y.H.; Wu, Y.J.; Qiu, W.J.; Li, J.; Chen, X.M. Enhanced energy storage density of Ba0.4Sr0.6TiO3–MgO composite prepared by spark plasma sintering. J. Eur. Ceram. Soc. 2015, 35, 1469–1476. [Google Scholar] [CrossRef]
- He, D.; Wang, Y.; Chen, X.; Deng, Y. Core–shell structured BaTiO3@Al2O3 nanoparticles in polymer composites for dielectric loss suppression and breakdown strength enhancement. Compos. Part A Appl. Sci. Manuf. 2017, 93, 137–143. [Google Scholar] [CrossRef]
- Yao, M.; You, S.; Peng, Y. Dielectric constant and energy density of poly(vinylidene fluoride) nanocomposites filled with core-shell structured BaTiO3@Al2O3 nanoparticles. Ceram. Int. 2017, 43, 3127–3132. [Google Scholar] [CrossRef]
- Liu, S.; Wang, J.; Shen, B.; Zhai, J. Enhanced discharged energy density and efficiency of poly(vinylidene fluoride) nanocomposites through a small loading of core-shell structured BaTiO3@Al2O3 nanofibers. Ceram. Int. 2016, 43, 585–589. [Google Scholar] [CrossRef]
- Wei, M.; Zhang, J.; Zhang, M.; Yao, Z.; Chen, H.; Yang, C. Relaxor behavior of BaTiO3-BiYO3 perovskite materials for high energy density capacitors. Ceram. Int. 2017, 43, 4768–4774. [Google Scholar] [CrossRef]
- Huang, X.; Hao, H.; Zhang, S.; Liu, H.; Zhang, W.; Xu, Q.; Cao, M. Structure and Dielectric Properties of BaTiO3 -BiYO3 Perovskite Solid Solutions. J. Am. Ceram. Soc. 2014, 97, 1797–1801. [Google Scholar] [CrossRef]
- Park, J.S.; Yang, M.H.; Han, Y.H. Effects of MgO coating on the sintering behavior and dielectric properties of BaTiO3. Mater. Chem. Phys. 2007, 104, 261–266. [Google Scholar] [CrossRef]
- Park, J.S.; Han, Y.H. Effects of MgO coating on microstructure and dielectric properties of BaTiO3. J. Eur. Ceram. Soc. 2007, 27, 1077–1082. [Google Scholar] [CrossRef]
- Li, J.-H.; Wang, S.-F.; Hsu, Y.-F.; Chung, T.-F.; Yang, J.-R. Effects of Sc2O3 and MgO additions on the dielectric properties of BaTiO3-based X8R materials. J. Alloy Compd. 2018, 768, 122–129. [Google Scholar] [CrossRef]
- Wang, C.; Fan, Y.; Zhao, X.; Du, A.; Ma, R.; Cao, X. Effect of SiO2 on dielectric properties of core-shell Sr and Tm co-doped BaTiO3@SiO2 ceramics. J. Alloy Compd. 2018, 737, 213–220. [Google Scholar] [CrossRef]
- Wang, J.; Long, Y.; Sun, Y.; Zhang, X.; Yang, H.; Lin, B. Enhanced energy density and thermostability in polyimide nanocomposites containing core-shell structured BaTiO3@SiO2 nanofibers. Appl. Surf. Sci. 2017, 426, 437–445. [Google Scholar] [CrossRef]
- Liu, S.; Wang, J.; Wang, J.; Shen, B.; Zhai, J.; Guo, C.; Zhou, J. Core-shell structured BaTiO3@SiO2 nanofibers for poly(vinylidene fluoride) nanocomposites with high discharged energy. Mater. Lett. 2017, 189, 176–179. [Google Scholar] [CrossRef]
- Lu, D.-Y.; Gao, X.-L.; Yuan, Y.; Feteira, A. High-permittivity and fine-grained (Ba1−xPrx)(Ti1−y−x/4Ce)O3 ceramics with diffuse phase transition. Mater. Chem. Phys. 2019, 228, 131–139. [Google Scholar] [CrossRef]









| Sample | a-Axis (Å) | c-Axis(Å) | c/a |
|---|---|---|---|
| BST | 3.9883 | 3.9838 | 0.9989 |
| x = 1 | 3.9884 | 3.9884 | 1 |
| x = 2 | 3.9889 | 3.9886 | 0.9999 |
| x = 3 | 3.9887 | 3.9985 | 1.0024 |
| x = 4 | 3.9893 | 3.9887 | 0.9998 |
| x = 5 | 3.9888 | 3.9888 | 1 |
| Sample | a-Axis (Å) | c-Axis(Å) | c/a |
|---|---|---|---|
| BST | 3.9808 | 3.9899 | 1.0020 |
| x = 1 | 3.9884 | 3.9984 | 1.0025 |
| x = 2 | 3.9881 | 3.9996 | 1.0028 |
| x = 3 | 3.9872 | 3.9995 | 1.0030 |
| x = 4 | 3.9863 | 3.9990 | 1.0031 |
| x = 5 | 3.9860 | 3.9998 | 1.0035 |
Publisher’s Note: MDPI stays neutral with regard to jurisdictional claims in published maps and institutional affiliations. |
© 2022 by the authors. Licensee MDPI, Basel, Switzerland. This article is an open access article distributed under the terms and conditions of the Creative Commons Attribution (CC BY) license (https://creativecommons.org/licenses/by/4.0/).
Share and Cite
Dai, K.; Ma, R.; Wang, X.; Zheng, Z.; Fan, Y.; Zhao, X.; Du, A.; Cao, X. Quantifying the Improvement in Dielectric Properties of BaSrTiO3-Based Ceramics by Adding MgO. Materials 2022, 15, 2875. https://doi.org/10.3390/ma15082875
Dai K, Ma R, Wang X, Zheng Z, Fan Y, Zhao X, Du A, Cao X. Quantifying the Improvement in Dielectric Properties of BaSrTiO3-Based Ceramics by Adding MgO. Materials. 2022; 15(8):2875. https://doi.org/10.3390/ma15082875
Chicago/Turabian StyleDai, Kun, Ruina Ma, Xing Wang, Zhaoyang Zheng, Yongzhe Fan, Xue Zhao, An Du, and Xiaoming Cao. 2022. "Quantifying the Improvement in Dielectric Properties of BaSrTiO3-Based Ceramics by Adding MgO" Materials 15, no. 8: 2875. https://doi.org/10.3390/ma15082875
APA StyleDai, K., Ma, R., Wang, X., Zheng, Z., Fan, Y., Zhao, X., Du, A., & Cao, X. (2022). Quantifying the Improvement in Dielectric Properties of BaSrTiO3-Based Ceramics by Adding MgO. Materials, 15(8), 2875. https://doi.org/10.3390/ma15082875
