Study on the Strength and Hydration Behavior of Sulfate-Resistant Cement in High Geothermal Environment
Abstract
:1. Introduction
2. Materials and Methods
2.1. Raw Materials
2.2. Specimen Preparation
2.3. Testing Method
3. Results and Discussion
3.1. Compressive and Flexural Strength
3.2. Pore Structure
3.3. Microscopic Analysis
3.3.1. Hydration Products
3.3.2. Microstructure
4. Conclusions
- High-temperature curing promotes an increase in the early strength of SRPC, but, at the same time, it also limits the development of the SRPC’s strength in the later stage. Compared with normal-temperature curing, the compressive strength of the SRPC at 40~60 °C was increased by 38.2~54.8% at 3 d. The compressive strength of the SRPC at all curing temperatures was basically the same at 28 d, but the compressive strength at 90 d was 3.4~13.5% lower than that at the normal temperature. The flexural strength of the SRPC under high-temperature curing was also higher than that under normal-temperature curing at the early stage, but the flexural strength decreased by 7.1~23.3% at 90 d;
- The internal pore diameter of the SRPC coarsened under high-temperature curing, which limits the growth of strength in the later stage. Compared with normal-temperature curing, the number of harmful pores (50~200 nm in size) inside the hardened paste increased continuously at curing temperatures of 40 °C and 50 °C. The number of multiple harmful holes (>200 nm in size) increased by 17.9% at 60 °C. The longer the curing time at high temperatures, the larger the number of harmful holes in the SRPC, which has a greater impact on the growth of the strength of the SRPC;
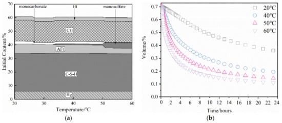
- The types of hydration products of SRPC did not obviously change under high-temperature curing, but the ettringite changed with the increase in the temperature. There was no obvious change in the types of hydration products at 40 °C. When the temperature exceeded 50 °C, ettringite reacted with monocarbonate to form monosulfate, resulting in changes in the microstructure of the paste. The increase in the curing temperature accelerated the hydration process of the cement and the reaction rate of the early cement hydration process increased. The higher the temperature, the faster the reaction rate. The amount of hydration products at 60 °C for 7 d was 1.56 times higher than that at 20 °C. During the hydration of SRPC under high-temperature curing, more tricalcium aluminate hydrate is consumed to form AFm, which can inhibit the formation of “delayed ettringite” during the SRPC’s service life and improve its ability to resist sulfate erosion.
Author Contributions
Funding
Institutional Review Board Statement
Informed Consent Statement
Data Availability Statement
Acknowledgments
Conflicts of Interest
Nomenclature List
| Parameters/Name | Abbreviations | Chemical Formula |
| Gibbs Energy Minimization Software | GEMS | - |
| Sulfate Resistant Portland Cement | SRPC | - |
| Ordinary Portland cement | OPC | - |
| Tricalcium Silicate | C3S | Ca3SiO3 |
| Dicalcium silicate | C2S | Ca2SiO4 |
| Tricalcium aluminate | C3A | Ca3Al2O6 |
| Calcium Silicate Hydrate | C-S-H | 3CaO·2SiO2·3H2O |
| Calcium hydroxide | CH | Ca(OH)2 |
| Monosulfate | AFm | 3CaO·Al2O3·CaSO4·12H2O |
| Hydrogarnet | Hg | 3CaO·Al2O3·SiO3·4H2O |
| Hydrotalcite | Ht | Mg6Al2(OH)16CO3·4H2O |
| Ettringite | AFt | 3CaO·Al2O3·3CaSO4·32H2O |
| Gypsum | Cs | CaSO4 |
| Calcite | Cc | CaCO3 |
References
- Deng, Z.; Sun, Q. Tunnel engineering of Sichuan-Tibet railway. Tunn. Constr. 2017, 37, 1049–1054. [Google Scholar]
- Jin, Z. Durability and Service Life Prediction of Concrete Exposed to Harsh Environment in West of China; Southeast University: Nanjing, China, 2006. [Google Scholar]
- Wang, Z.; Peng, X.; Zhao, Y.; Yang, H.; Xu, L.; Diao, G.; Liu, G. Effect of sulfate attack on hydration of calcium aluminate cement at 5~40 °C. J. Chin. Ceram. Soc. 2019, 47, 1538–1545. [Google Scholar]
- Karasin, A.; Hadzima-Nyarko, M.; Işık, E.; Doğruyol, M.; Karasin, I.B.; Czarnecki, S. The effect of basalt aggregates and mineral admixtures on the mechanical properties of concrete exposed to sulphate attacks. Materials 2022, 15, 1581. [Google Scholar] [CrossRef] [PubMed]
- Niu, D. Durability of Concrete in Complex Environment; Science Press: Beijing, China, 2020. [Google Scholar]
- Aziez, M.N.; Bezzar, A. Effect of temperature and type of sand on the magnesium sulphate attack in sulphate resisting Portland cement mortars. J. Adhes. Sci. Technol. 2018, 32, 272–290. [Google Scholar] [CrossRef]
- Kroviakov, S.; Zavoloka, M.; Dudnik, L.; Kryzhanovskyi, V. Comparison of strength and durability of concretes made with sulfate-resistant Portland cement and Portland cement with pozzolana additive. Electron. J. Facul. Civ. Eng. 2019, 19, 81–86. [Google Scholar] [CrossRef]
- Puppala, A.J.; Griffin, J.A.; Hoyos, L.R.; Chomtid, S. Studies on sulfate-resistant cement stabilization methods to address sulfate-induced soil heave. J. Geo. Geoenviron. Eng. 2004, 130, 391–402. [Google Scholar] [CrossRef]
- Niu, D.; Zhang, S.; Wang, Y.; Hong, M.; Li, Z. Effect of temperature on the strength, hydration products and microstructure of shotcrete blended with supplementary cementitious materials. Constr. Build. Mater. 2020, 264, 120234. [Google Scholar] [CrossRef]
- Joseph, S.; Cizer, Ö. Hydration of hybrid cements at low temperatures: A study on portland cement-blast furnace slag—Na2SO4. Materials 2022, 15, 1914. [Google Scholar] [CrossRef]
- Gallucci, E.; Zhang, X.; Scrivener, K.L. Effect of temperature on the microstructure of calcium silicate hydrate (C-S-H). Cem. Concr. Res. 2013, 53, 185–195. [Google Scholar] [CrossRef]
- Bahafid, S.; Ghabezloo, S.; Duc, M.; Faure, P.; Sulem, J. Effect of the hydration temperature on the microstructure of Class G cement: C-S-H composition and density. Cem. Concr. Res. 2017, 95, 270–281. [Google Scholar] [CrossRef]
- Scrivener, K.L.; Nonat, A. Hydration of cementitious materials, present and future. Cem. Concr. Res. 2011, 41, 651–665. [Google Scholar] [CrossRef]
- Deschner, F.; Lothenbach, B.; Winnefeld, F.; Neubauer, J. Effect of temperature on the hydration of Portland cement blended with siliceous fly ash. Cem. Concr. Res. 2013, 52, 169–181. [Google Scholar] [CrossRef]
- He, T.; Ji, J.; Wang, Y.; Su, X. Influence of mineral admixture on mechanical properties in high temperature surrounding rock tunnel. Mater. Rev. 2013, 27, 119–122. [Google Scholar]
- Han, F.; Liu, J.; Yan, P. Effect of temperature on hydration of composite binder containing slag. J. Chin. Ceram. Soc. 2016, 44, 1071–1080. [Google Scholar]
- Lothenbach, B.; Maciej., Z. Application of thermodynamic modelling to hydrated cements. Cem. Concr. Res. 2019, 123, 105779. [Google Scholar] [CrossRef]
- Weerdt, K.D.; Lothenbach, B.; Geiker, M.R. Comparing chloride ingress from seawater and NaCl solution in Portland cement mortar. Cem. Concr. Res. 2019, 115, 80–89. [Google Scholar] [CrossRef]
- Martin, L.H.; Winnefeld, F.; Tschopp, E.; Müller, C.J.; Lothenbach., B. Influence of fly ash on the hydration of calcium sulfoaluminate cement. Cem Concr Res. 2017, 95, 152–163. [Google Scholar] [CrossRef]
- Haha, M.B.; Lothenbach, B.; Saout, G.L. Influence of slag chemistry on the hydration of alkali-activated blast-furnace slag—Part II: Effect of Al2O3. Cem. Concr. Res. 2012, 42, 74–83. [Google Scholar] [CrossRef]
- GB/T 17671-1999. Method of Testing Cements-Determination of Strength; The State Bureau of Quality and Technical Supervision: Beijing, China, 1999. [Google Scholar]
- Kulik, D.A.; Wagner, T.; Dmytrieva, S.V.; Kosakowski, G.; Hingerl, F.F.; Chudnenko, K.V.; Berner, U.R. GEM-Selektor geochemical modeling package: Revised algorithm and Gems3k numerical kernel for coupled simulation codes. Computat. Geosci. 2013, 17, 1–24. [Google Scholar] [CrossRef] [Green Version]
- Wagner, T.; Kulik, D.A.; Hingerl, F.F.; Dmytrieva, S.V. GEM-Selektor geochemical modeling package: TSolMod library and data interface for multicomponent phase models. Canad. Mineral. 2012, 50, 1173–1195. [Google Scholar] [CrossRef]
- Hummel, W.; Berner, U.; Curti, E.; Pearson, F.J.; Thoenen, T. Nagra/PSI chemical thermodynamic data base 01/01. Radiochimica Acta 2002, 90, 805–813. [Google Scholar] [CrossRef] [Green Version]
- Parrot, L.J.; Killoh, D.C. Prediction of cement hydration. Proc. Brit. Ceram. Soc. 1984, 35, 41–53. [Google Scholar]
- Parrot, L.J. Modeling of hydration reactions and concrete properties. Mater. Sci. Concr. 1989, 1, 181–195. [Google Scholar]
- Yan, P.; Cui, Q. Effects of curing regimes on strength development of high-strength concrete. J. Chin. Ceram. Soc. 2015, 43, 133–137. [Google Scholar]
- Tong, Y.; Wang, Y.; Zhang, S.; Chen, Y.; Li, Z.; Niu, D. Study on mechanical properties of basalt fiber shotcrete in high geothermal environment. Materials 2021, 14, 7816. [Google Scholar] [CrossRef] [PubMed]
- Wang, Y.; Zhang, S.; Niu, D.; Fu, Q. Quantitative evaluation of the characteristics of air voids and their relationship with the permeability and salt freeze–thaw resistance of hybrid steel-polypropylene fiber–reinforced concrete composites. Cem. Concr. Compos. 2021, 125, 104292. [Google Scholar] [CrossRef]
- Wu, Z.; Lian, H. High Performance Concrete; China Railway Press: Beijing, China, 1999. [Google Scholar]
- Yan, P.; Wang, Q. Early hydration characteristics of complex binder containing slag under high temperature. J. Build. Mater. 2009, 12, 1–5. [Google Scholar]
- Jenni, A.; Gimmi, T.; Alt-Epping, P.; Mäder, U.; Cloet, V. Interaction of ordinary Portland cement and Opalinus Clay: Dual porosity modelling compared to experimental data. Phys. Chem. 2017, 99, 22–37. [Google Scholar] [CrossRef] [Green Version]
- Lothenbach, B.; Winnefeld, F.; Alder, C.; Wieland, E.; Lunk, P. Effect of temperature on the pore solution, microstructure and hydration products of Portland cement pastes. Cem. Concr. Res. 2007, 37, 483–491. [Google Scholar] [CrossRef]
- Perkins, R.B.; Palmer, C.D. Solubility of ettringite (Ca6[Al(OH)6]2(SO4)3·26H2O) at 5~75 °C. Geoch Cosmoch Acta. 1999, 63, 1969–1980. [Google Scholar] [CrossRef]
- Zhou, Q.; Glasser, F.P. Thermal stability and decomposition mechanisms of ettringite at . Cem. Concr. Res. 2001, 31, 1333–1339. [Google Scholar] [CrossRef]
- Escalante-Garcia, J.I.; Sharp, J.H. Effect of temperature on the hydration of the main clinker phases in Portland cements: Part I, neat cements. Cem. Concr. Res. 1998, 28, 1245–1257. [Google Scholar] [CrossRef]
- Xu, Q.; Zhou, T.; Hua, Y.; Zhang, Y.; Wang, Y. Experimental study on sulphate erosion resistance of early age concrete in Yumo railway. J. Rail. Sci. Eng. 2022, 19, 1–9. [Google Scholar]
- Yuan, Q.; Peng, M.; Li, Y.; Zhang, S.; Yao, H. Review on the influence of high geothermal on mechanical property, pore structure and hydration product of tunnel shotcrete. Rail. Eng. 2021, 61, 53–58. [Google Scholar]










| Cement | CaO | SiO2 | Al2O3 | Fe2O3 | SO3 | MgO | K2O | Na2O | P2O5 | LOI |
|---|---|---|---|---|---|---|---|---|---|---|
| SRPC | 59.5 | 17.6 | 1.9 | 8.5 | 3.2 | 1.7 | 0.8 | 0.2 | 0.1 | 6.4 |
| OPC | 61.83 | 19.68 | 5.72 | 5.66 | 1.83 | 1.31 | 1.27 | 0.43 | 0.8 | 2.23 |
| Cement | Density (g/cm3) | Initial Setting Time/Min | Final Setting Time/Min | Specific Surface Area (m2/kg) | Flexural Strength/MPa | Compressive Strength/MPa | ||
|---|---|---|---|---|---|---|---|---|
| 3 d | 28 d | 3 d | 28 d | |||||
| SRPC | 3.19 | 150 | 275 | 299 | 5.4 | 8.9 | 27.9 | 49.4 |
| OPC | 2.82 | 135 | 225 | 325 | 3.9 | 7.1 | 20.9 | 45.6 |
| Age/Days | Increasing Rate of Compressive Strength/% | Increasing Rate of Flexural Strength/% | ||||
|---|---|---|---|---|---|---|
| 40 °C | 50 °C | 60 °C | 40 °C | 50 °C | 60 °C | |
| 1 | 45.1 | 48.8 | 57.4 | 10.6 | 14.9 | 21.3 |
| 3 | 38.2 | 48.9 | 54.8 | 1.8 | 10.9 | 14.5 |
| 7 | 10.1 | 22.3 | 27.4 | 1.8 | 6.2 | 10.8 |
| 28 | 4.5 | −14.6 | −2.1 | −1.1 | −9.1 | −18.8 |
| 60 | 1.3 | −1.5 | −2.8 | −6.9 | −13.6 | −25.5 |
| 90 | −3.4 | −13.5 | −9.5 | −7.1 | −16.9 | −23.3 |
| Text/Mixture | Average 1/3/7/28/60/90 d fc (MPa) | St. Dev. (MPa) | p-Value |
|---|---|---|---|
| 20 °C | 16.2/18.6/32.8/48.6/52.3/52.4 | 1.2/1.9/2.6/2.2/1.2/1.8 | - |
| 40 °C | 23.5/25.7/36.1/50.8/53.0/50.6 | 1.9/2.0/2.8/1.9/2.0/1.8 | 0.022/0.0885/0.1037/ 0.4429/0.8149/0.0059 |
| 50 °C | 24.1/27.7/40.1/41.5/53.1/45.3 | 2.3/2.1/1.9/2.3/2.4/2.1 | 0.024/0.0635/0.0826/ 0.0019/0.7900/0.0060 |
| 60 °C | 25.5/28.8/41.8/47.6/50.8/47.4 | 1.1/2.3/2.8/2.5/1.9/2.4 | 0.002/0.0008/0.0579/ 0.7922/0.1674/0.0219 |
| Text/Mixture | Average 1/3/7/28/60/90 d fc (MPa) | St. Dev. (MPa) | p-Value |
|---|---|---|---|
| 20 °C | 4.7/5.6/6.5/8.6/8.58/9.0 | 0.30/0.40/0.26/0.26/0.27/0.21 | - |
| 40 °C | 5.2/5.6/6.6/8.5/8.0/7.3 | 0.40/0.20/0.95//0.23/0.31/0.30 | 0.383/0.789/0.874/ 0.383/0.070/0.008 |
| 50 °C | 5.4//6.1/6.9/8.0/7.6/6.7 | 0.30/0.40/0.20/0.29/0.43/0.22 | 0.205/0.102/0.253/ 0.009/0.065/0.003 |
| 60 °C | 5.7/6.3/7.2/8.0/7.3/3.9 | 0.20/0.30/0.26/0.73/0.25/0.69 | 0.082/0.015/0.136/ 0.2170.005/0.021 |
| Age/Days | Aperture Range/nm | Temperature/℃ | Aperture Range/nm | ||||||
|---|---|---|---|---|---|---|---|---|---|
| <20 | 20–50 | 50–200 | >200 | <20 | 20–50 | 50–200 | >200 | ||
| 1 | 6.1% | 7.3% | 24.1% | 62.5% | 20 | 39.6% | 34.7% | 17.9% | 7.8% |
| 7 | 7.2% | 7.2% | 27.3% | 58.3% | 40 | 40.7% | 31.7% | 11.8% | 15.8% |
| 28 | 27.5% | 13.8% | 39.9% | 18.8% | 50 | 23.5% | 13.1% | 46.5% | 16.8% |
| 90 | 38.3% | 22.7% | 13.3% | 25.7% | 60 | 38.3% | 22.7% | 13.3% | 25.7% |
Publisher’s Note: MDPI stays neutral with regard to jurisdictional claims in published maps and institutional affiliations. |
© 2022 by the authors. Licensee MDPI, Basel, Switzerland. This article is an open access article distributed under the terms and conditions of the Creative Commons Attribution (CC BY) license (https://creativecommons.org/licenses/by/4.0/).
Share and Cite
Wang, Y.; Chen, Y.; Guo, B.; Zhang, S.; Tong, Y.; Niu, D. Study on the Strength and Hydration Behavior of Sulfate-Resistant Cement in High Geothermal Environment. Materials 2022, 15, 2790. https://doi.org/10.3390/ma15082790
Wang Y, Chen Y, Guo B, Zhang S, Tong Y, Niu D. Study on the Strength and Hydration Behavior of Sulfate-Resistant Cement in High Geothermal Environment. Materials. 2022; 15(8):2790. https://doi.org/10.3390/ma15082790
Chicago/Turabian StyleWang, Yan, Yahao Chen, Bingbing Guo, Shaohui Zhang, Yueping Tong, and Ditao Niu. 2022. "Study on the Strength and Hydration Behavior of Sulfate-Resistant Cement in High Geothermal Environment" Materials 15, no. 8: 2790. https://doi.org/10.3390/ma15082790
APA StyleWang, Y., Chen, Y., Guo, B., Zhang, S., Tong, Y., & Niu, D. (2022). Study on the Strength and Hydration Behavior of Sulfate-Resistant Cement in High Geothermal Environment. Materials, 15(8), 2790. https://doi.org/10.3390/ma15082790
