Abstract
SnOx films were deposited on a hydrogen-terminated diamond by thermal oxidation of Sn. The X-ray photoelectron spectroscopy result implies partial oxidation of Sn film on the diamond surface. The leakage current and capacitance–voltage properties of Al/SnOx/H-diamond metal-oxide-semiconductor diodes were investigated. The maximum leakage current density value at −8.0 V is 1.6 × 10−4 A/cm2, and the maximum capacitance value is measured to be 0.207 μF/cm2. According to the C–V results, trapped charge density and fixed charge density are determined to be 2.39 × 1012 and 4.5 × 1011 cm−2, respectively. Finally, an enhancement-mode H-diamond field effect transistor was obtained with a VTH of −0.5 V. Its IDMAX is −21.9 mA/mm when VGS is −5, VDS is −10 V. The effective mobility and transconductance are 92.5 cm2V−1 s−1 and 5.6 mS/mm, respectively. We suspect that the normally-off characteristic is caused by unoxidized Sn, whose outermost electron could deplete the hole in the channel.
1. Introduction
Compared with traditional semiconductor materials (e.g., Si, GaN, and SiC), diamond has many outstanding properties, including a large band gap (5.45 eV), high carrier mobilities (electron: 4500 cm2V−1 s−1, hole: 3800 cm2V−1 s−1), high thermal conductivity (22 W K−1cm−1), and a high breakdown field (>10 MV cm−1) [1], making it a potential wide band gap semiconductor material for next-generation high-frequency and high-power electronic devices [2,3,4]. Devices based on diamond have been studied for a long time, such as metal insulator semiconductor field effect transistors (MISFETs) [5], microelectromechanical systems [6], UV photodetectors [7], Schottky diode [8], biosensors, and so on. Among these fields, the hydrogen-terminated (H-diamond) MISFET has attracted a great deal of attention because of its potential applications in radio frequency power amplifiers [3]. Importantly, the discovery of two-dimensional hole gas under the H-diamond surface overcomes the problem that doped atoms are difficult to ionize at room temperature. The conductivity of H-diamond comes from a surface transfer doping process [9] and the holes residing in an accumulation layer at the hydrogenated diamond surface [10]. Additionally, the surface charge density located nearby the interface is around 1013 cm−2 [1]. In this case, the H-diamond MISFET device usually shows a depletion mode. However, an enhancement mode (normally-off) device is required for the power device to realize the system safety and energy saving.
Recently, several strategies have been applied to realize an enhancement mode device, such as partial C–O bonds in the channel area [11], structure engineering [12,13], and special insulators [14,15]. At the same time, atomic layer deposition (ALD), metal-organic chemical vapor deposition, and radio-frequency sputter deposition (SD) have been used to deposit the dielectric layer. All these methods have promoted the development of the normally-off H-diamond MISFET. However, most of these methods need a high vacuum or high temperature which may damage the 2DHG channel and cause degradation of the device performance. In order to avoid performance degradation, an ALD- Al2O3 layer (2–5 nm) is deposited as a buffer layer to protect the C–H bond from SD plasma [16,17], which would complicate the fabrication process. Therefore, it is necessary to find a simple method to prepare a dielectric layer.
Up to now, our group has realized normally-off H-diamond MOSFETs with low work function materials (LaB6) [18], metal/insulator/metal/semiconductor structures [19], solution-processed SnO2 [20], and oxidation of Al and Ti [21,22]. We discovered that oxidation of low work function metal is an effective and simple method to achieve the normal-off operation. In this work, a SnOx film formed by thermal oxidation of Sn was utilized as a dielectric layer to fabricate H-diamond FET, whose electric properties have been investigated.
2. Method
A 3 × 3 × 0.5 mm3 IIb-type high-pressure high-temperature (HPHT) single crystal diamond (100) was used as a substrate. Figure 1a shows the fabrication process of H-diamond MOSFET. The substrate was first cleaned with a mixed acid solution of H2SO4:HNO3:HClO4 = 31.2:36:11.4 for 1 h at 250 °C and then cleaned with a mixed alkali (NH4OH:H2O2:H2O = 4:3:9) at 80 °C for 10 min to get rid of the non-diamond phase. In the epitaxial layer growth process, the substrate was treated with hydrogen plasma (H-plasma) in an MPCVD chamber for 20 min to clean off the surface contamination. The growth temperature, thickness, and chamber pressure for the H-diamond epitaxial layer were 850 °C, 300 nm, and 70 Torr, respectively. H2 and CH4 flow rates were 500 and 5 sccm. After epitaxial layer growth, the substrate was treated with H-plasma for another 10 min to generate an H–C bond. After that, the sample was exposed to air for 5 h.
Figure 1.
(a) Schematic of H-diamond FET fabrication process; (b) Optical photo of H-diamond FET. (c) Cross-section schematic of the device.
Then, Au was deposited as source and drain electrodes by photolithography and electron beam evaporation (EB). The thickness and space of electrodes (LSD) were 100 nm and 20 μm, respectively. UV/ozone irradiation was used to isolate the devices, and the channel area was protected by a photoresist. After that, 5 nm Sn was deposited using an electron beam evaporator, then oxidized on a hot stage at 100 °C for 24 h to form SnOx film in air without removing the photoresist. Finally, 120 nm Al gate was deposited directly on the SnOx layer using a self-aligned process. The gate length (LG)was 8 μm. Figure 1b shows the optical photo of the fabricated device. Figure 1c is the cross-section schematic of an H-diamond FET. The quality of the diamond was characterized by X-ray diffraction (XRD) using four-bounce Ge (2 2 0)-monochromated Cu-kα and with a 10 nm slit on the detector arm. The X-ray photoelectron spectroscopy (XPS) technique was implemented to characterize the SnOx film. The electric properties of SnOx-based MOSFET were measured by Agilent B1505 at room temperature.
3. Result and Discussion
As shown in Figure 2a, the XRD full width at half maximum (FWHM) of the substrate is 0.0105°, which demonstrates the high quality of the single crystal diamond. XPS results of the thermal oxidized film are shown in Figure 2b. We can find not only an oxide peak (Sn4+) at a binding energy of 486.4 eV [23] but also a metallic peak of Sn at a lower binding energy of 484.6 eV [24]. The presence of the two peaks implies that the Sn film was not completely oxidized. This may be caused by the formation of a dense film in the beginning that prevents further oxidation.
Figure 2.
(a) XRD results of H-diamond, (b) Sn 3d photoelectron spectra for thermal oxidation of Sn.
Figure 3a is the gate leakage current density (J-V) curve of the SnOx/H-diamond MOS structure. The J value increases with the increase in gate biases from 0 to −8.0 V, and the gate leakage current density is 1.5 × 10−5 A/cm2 at a gate bias of −5.0 V. The maximum gate current density at −8.0 V is 1.6 × 10−4 A/cm2. The capacitance–voltage (C–V) curve of the device was measured at 5 MHz. There were obvious depletion and accumulation regions in Figure 3b (black line). The capacitance (COX) value is 0.207 μF/cm2. According to the reported method [25], the flat band voltage (VFB) of this device is determined to be −0.27 V from the C–V curve where the second derivative of COX is 0. The C–V curve shifted to the right-hand side relative to the theoretical VFB (−0.62 V), which indicated the negative fixed charge (Qf) in the insulator (Figure 3c) [15]. The fixed charge density in SnOx could be calculated by the following equations: [26]
where ϕMS is the contact potential difference between the gate electrode (Al) and the semiconductor (H-diamond); Q is the total fixed charge; COX is 0.207 μF/cm2; WS and WM are the work function of H-diamond (4.90 eV) [27], and Al (4.28 eV) [28]; q is the elementary charge (1.6 × 10−19 C). Qf was calculated to be 4.5 × 1011 cm−2, which is lower than that in Y2O3 (1.0 × 1013 cm−2) [15], LaB6 (1.47 × 1012 cm−2) [18], and TiO2/Al2O3 (9.8 × 1012 cm−2) [17]. The origin of the high fixed-charge density results probably from Sn that is not completely oxidized.
Figure 3.
(a) J-V characteristic of SnOx/H-diamond MOS diode. (b) The solid line describes a capacitance voltage characteristic. The dotted line is the second derivative of capacitance as a function of gate voltage. (c) Capacitance voltage characteristics at 5 MHz (d) Capacitance voltage characteristics at different frequencies.
In order to investigate trapped charge density in SnOx film, CV curves were measured from different directions. As shown in Figure 3c, the black and red lines represent gate bias sweeping from positive to negative and following an opposite direction, respectively. The hysteresis shift during the bias voltage sweeping is 1.85 V. The origin of the hysteresis in the SnOx film was believed to be the incompletely oxidized Sn. The trapped charge density (Qt) could be obtained by Equation (4)
The Qt was calculated to be 2.39 × 1012 cm−2. CV curves measured at 10 kHz, 100 kHz, 500 kHz, 1 MHz, and 5 MHz were shown in Figure 3d.
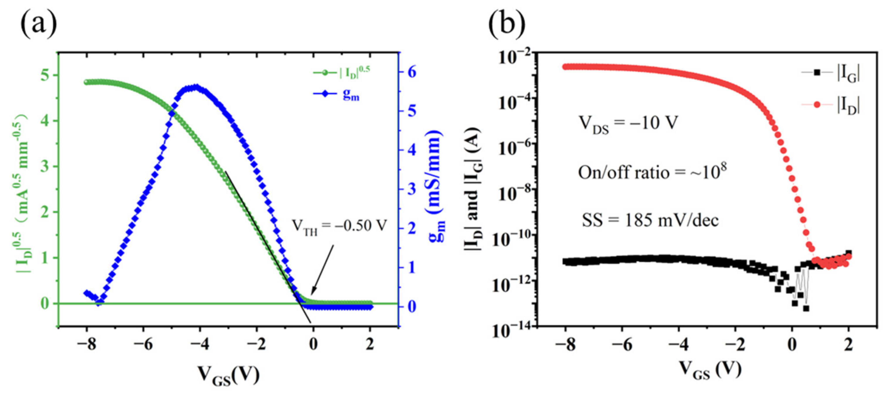
Next, the I-V characteristic of the MOSFET was investigated by an Agilent B1505A (Agilent Technologies, Santa Clara, CA, USA) power device analyzer. The gate length and gate width of this device are 8 μm and 100 μm, respectively. The threshold voltage (VTH) is extracted from the transfer characteristics (Figure 4a) at VDS = −10 V, which is −0.50 V. The transconductance (gm) keeps increasing when VGS shifts from VTH to the negative direction, reaches the maximum value of about 5.6 mS/mm at VGS of −4.2 V, and then decreases. Figure 4b shows the gate current (IG) and on/off ratio of the H-diamond FET, and the gate voltages (VGS) were measured from 2 to −8 V. IG was measured when the drain voltage (VDS) was −10 V, which was 6.8 × 10−12 A at VGS = −8 V. Such a low large leakage current indicates that a dense, insulating oxide film was formed by thermal oxidation. The small leakage current makes the thermal oxidation SnOx film suitable for H-diamond MOSFET with low power consumption. The on/off ratio was evaluated to be ~108, which is high enough for practical applications. In combination with the XPS results, the normally-off characteristic may be caused by partial oxidation of Sn.
Figure 4.
(a) transfer characteristics and transconductance of the SnOx/H-diamond based FET. (b) |ID| and |IG| in logarithmic coordinate.
Figure 5 shows the drain-source current density (ID) versus drain-source voltage (VDS) output characteristic curves at different gate voltage (VGS) varying from 2 to −5 with a step of −0.5V. With the increase in |VGS|, |ID| increased, indicating that it was a p-type channel. Additionally, the distinct pinch-off and saturation characteristics were observed in Figure 4a. The maximum drain current (IDmax) is −21.9 mA/mm at VGS = −5 V and VDS = −10 V. Compared with the reported device in Table 1, this work has a relatively high current density and mobility. However, the current density is small, especially compared with a normally-on device (1.1 A/mm [29]). This is because, in normally-off devices, the current density is lower because the carriers in the channel are depleted by insulators or metal.
Figure 5.
IDS-VDS characteristic of SnOx/H-diamond based FET.
Equation (5) provided the relationship between effective mobility and RON for the FET channel.
where RON is on state resistance, RCH is the resistance of the channel, and RSD is the resistance between source/drain and H-diamond. LG is channel length, WG is channel width, and COX is the capacitance of the MOS structure. Thus, the μeff was calculated to be 92.5 cm2V−1 s−1, as shown in Figure 6. As a comparison, the reported μeff of H-diamond MOSFETs are 38.7, 34.2, 39.0, and 88 cm2V−1 s−1 for the gate dielectrics of HfO2 [14], ZrO2/Al2O3 bilayer [30], SiNx/ZrO2 bilayer [31], and TiOx [32], respectively. The high mobility suggests the thermal oxidized SnOx film can form a good interface with the H-diamond surface, which provided a high electrical transport channel.
Figure 6.
The plot of Ron versus 1/(VG−VT) and fitting curve.
Table 1.
Summary of FETs properties with different gate insulators.
Table 1.
Summary of FETs properties with different gate insulators.
| Ref. | Dielectric Layer | LG (μm) | VTH (V) | C (μF/cm2) | IDMAX (mA/mm) | μeff(cm2V−1 s−1) |
|---|---|---|---|---|---|---|
| This work | SnOx | 8 | −0.50 | 0.21 | −21.9 | 92.5 |
| [20] | SP-SnO2 | 10 | −0.50 | 0.46 | −17.6 | 41.3 |
| [18] | LaB6 | 2 | −0.53 | 0.49 | −57.9 | 195.4 |
| [17] | TiO2/Al2O3 | 4 | −0.8 | 0.83 | −11.6 | - |
| [33] | HfO2 | 5 | −2.9 | - | −11 | 38.7 |
| [31] | SiNX/ZrO2 | 6 | 2.2 | 0.34 | −28.5 | 39.0 |
| [34] | MoO3 | 4 | 0.7 | 0.36 | −33 | 108 |
4. Conclusions
In summary, we report herein an investigation of the H-diamond FET with SnOx dielectric layer deposited by thermal oxidation of Sn. The SnOx/H-diamond MOS structure showed a low leakage current density, and the capacitance value is 0.207 μF/cm−2. A normally-off H-diamond FET was obtained with a VTH of −0.5 V. Its IDMAX is −21.9 mA/mm at VGS = −5 V and VDS = −10 V. The effective mobility and transconductance are 92.5 cm2V−1 s−1 and 5.6 mS/mm, respectively. According to the C–V results, the fixed charge density and trapped density are 4.5 × 1011 and 2.39 × 1012 cm−2, respectively. In combination with the XPS results, the normally-off characteristic may be caused by partial oxidation of Sn. This is a simple and effective strategy for the fabrication of normally-off H-diamond FET. However, it still has the problem of low current density, which may be improved by reducing contact resistance and scattering in subsequent studies.
Author Contributions
Conceptualization, S.H.; Data curation, S.H.; Formal analysis, Y.W., J.W., Q.Z., R.W. and W.W.; Investigation, S.H. and Q.L.; Methodology, G.C. and M.Z.; Project administration, H.W.; Supervision, H.W.; Writing–original draft, S.H.; Writing–review & editing, H.W. All authors have read and agreed to the published version of the manuscript.
Funding
This work was funded by the National Key Research and Development Program of China (No. 2018YFE0125900), National Natural Science Foundation of China (No. 61627812, 61804122, and 62074127), the China Postdoctoral Science Foundation (No. 2019M660256 and 2020M683485), and the Key Research and Development Program of Shaanxi Province (No. 2021GY-223).
Institutional Review Board Statement
Not applicable.
Informed Consent Statement
Not applicable.
Data Availability Statement
Data are contained within the article.
Conflicts of Interest
The authors declare no conflict of interest.
References
- Alhasani, R.; Yabe, T.; Iyama, Y.; Oi, N.; Imanishi, S.; Nguyen, Q.N.; Kawarada, H. An enhanced two-dimensional hole gas (2DHG) C-H diamond with positive surface charge model for advanced normally-off MOSFET devices. Sci. Rep. 2022, 12, 4203. [Google Scholar] [CrossRef] [PubMed]
- Ueda, K.; Kasu, M.; Yamauchi, Y.; Makimoto, T.; Schwitters, M.; Twitchen, D.J.; Scarsbrook, G.A.; Coe, S.E. Diamond FET using high-quality polycrystalline diamond with fT of 45 GHz and fmax of 120 GHz. IEEE Electron Device Lett. 2006, 27, 570–572. [Google Scholar] [CrossRef]
- Kudara, K.; Arai, M.; Suzuki, Y.; Morishita, A.; Tsunoda, J.; Hiraiwa, A.; Kawarada, H. Over 1 A/mm drain current density and 3.6 W/mm output power density in 2DHG diamond MOSFETs with highly doped regrown source/drain. Carbon 2022, 188, 220–228. [Google Scholar] [CrossRef]
- Saha, N.C.; Kim, S.-W.; Oishi, T.; Kawamata, Y.; Koyama, K.; Kasu, M. 345-MW/cm2 2608-V NO₂ p-Type Doped Diamond MOSFETs with an Al₂O₃ Passivation Overlayer on Heteroepitaxial Diamond. IEEE Electron Device Lett. 2021, 42, 903–906. [Google Scholar] [CrossRef]
- Kazuyuki Hirama, H.T.; Yamauchil, S.; Jingul, Y.; Umezawa, H.; Kawaradal, H. High-Performance p-Channel Diamond MOSFETs with Alumina Gate Insulator; IEEE: Piscataway Township, NJ, USA, 2007. [Google Scholar]
- Liao, M. Progress in semiconductor diamond photodetectors and MEMS sensors. Funct. Diam. 2021, 1, 29–46. [Google Scholar] [CrossRef]
- Chang, X.H.; Wang, Y.F.; Zhang, X.F.; Liu, Z.C.; Fu, J.; Zhao, D.; Fan, S.W.; Bu, R.N.; Zhang, J.W.; Wang, W.; et al. Enhanced ultraviolet absorption in diamond surface via localized surface plasmon resonance in palladium nanoparticles. Appl. Surf. Sci. 2019, 464, 455–457. [Google Scholar] [CrossRef]
- Wang, J.; Zhao, D.; Wang, W.; Zhang, X.; Wang, Y.; Chang, X.; Liu, Z.; Fu, J.; Wang, K.; Wang, H.-X. Diamond Schottky barrier diodes with floating metal rings for high breakdown voltage. Mater. Sci. Semicond. Process. 2019, 97, 101–105. [Google Scholar] [CrossRef]
- Crawford, K.G.; Maini, I.; Macdonald, D.A.; Moran, D.A.J. Surface transfer doping of diamond: A review. Prog. Surf. Sci. 2021, 96, 100613. [Google Scholar] [CrossRef]
- Kawarada, H. Hydrogen-terminated diamond surfaces and interfaces. Surf. Sci. Rep. 1996, 26, 205–259. [Google Scholar] [CrossRef]
- Kitabayashi, Y.; Kudo, T.; Tsuboi, H.; Yamada, T.; Xu, D.; Shibata, M.; Matsumura, D.; Hayashi, Y.; Syamsul, M.; Inaba, M.; et al. Normally-Off C–H Diamond MOSFETs with Partial C–O Channel Achieving 2-kV Breakdown Voltage. IEEE Electron Device Lett. 2017, 38, 363–366. [Google Scholar] [CrossRef]
- Liao, M.; Sang, L.; Shimaoka, T.; Imura, M.; Koizumi, S.; Koide, Y. Energy-Efficient Metal–Insulator–Metal-Semiconductor Field-Effect Transistors Based on 2D Carrier Gases. Adv. Electron. Mater. 2019, 5, 1800832. [Google Scholar] [CrossRef]
- Ren, Z.; Chen, W.; Zhang, J.; Zhang, J.; Zhang, C.; Yuan, G.; Su, K.; Lin, Z.; Hao, Y. High Performance Single Crystalline Diamond Normally-Off Field Effect Transistors. IEEE J. Electron Devices Soc. 2019, 7, 82–87. [Google Scholar] [CrossRef]
- Liu, J.W.; Liao, M.Y.; Imura, M.; Koide, Y. Normally-off HfO2-gated diamond field effect transistors. Appl. Phys. Lett. 2013, 103, 092905. [Google Scholar] [CrossRef]
- Liu, J.W.; Oosato, H.; Liao, M.Y.; Koide, Y. Enhancement-mode hydrogenated diamond metal-oxide-semiconductor field-effect transistors with Y2O3 oxide insulator grown by electron beam evaporator. Appl. Phys. Lett. 2017, 110, 203502. [Google Scholar] [CrossRef]
- Wang, Y.-F.; Wang, W.; Abbasi, H.N.; Chang, X.; Zhang, X.; Zhu, T.; Liu, Z.; Song, W.; Chen, G.; Wang, H.-X. LiF/Al₂O₃ as Dielectrics for MOSFET on Single Crystal Hydrogen-Terminated Diamond. IEEE Electron Device Lett. 2020, 41, 808–811. [Google Scholar] [CrossRef]
- Liu, J.W.; Liao, M.Y.; Imura, M.; Banal, R.G.; Koide, Y. Deposition of TiO2/Al2O3 bilayer on hydrogenated diamond for electronic devices: Capacitors, field-effect transistors, and logic inverters. J. Appl. Phys. 2017, 121, 224502. [Google Scholar] [CrossRef]
- Wang, W.; Wang, Y.F.; Zhang, M.H.; Wang, R.Z.; Chen, G.D.; Chan, X.H.; Lin, F.; Wen, F.; Jia, K.; Wang, H.X. An Enhancement-Mode Hydrogen-Terminated Diamond Field-Effect Transistor with Lanthanum Hexaboride Gate Material. IEEE Electron Device Lett. 2020, 41, 585–588. [Google Scholar] [CrossRef]
- Zhang, M.; Wang, W.; Fan, S.; Chen, G.; Abbasi, H.N.; Lin, F.; Wen, F.; Zhang, J.; Bu, R.; Wang, H.-X. Normally-off hydrogen-terminated diamond field effect transistor with yttrium gate. Carbon 2021, 176, 307–312. [Google Scholar] [CrossRef]
- He, S.; Chen, G.; Han, X.; Wang, W.; Chang, X.; Li, Q.; Zhang, Q.; Wang, Y.-F.; Zhang, M.; Zhu, T.; et al. Solution-processed tin oxide thin film for normally-off hydrogen terminated diamond field effect transistor. Appl. Phys. Lett. 2022, 120, 132102. [Google Scholar] [CrossRef]
- Wang, Y.-F.; Chang, X.; Zhang, X.; Fu, J.; Fan, S.; Bu, R.; Zhang, J.; Wang, W.; Wang, H.-X.; Wang, J. Normally-off hydrogen-terminated diamond field-effect transistor with Al2O3 dielectric layer formed by thermal oxidation of Al. Diamond Rel. Mater. 2018, 81, 113–117. [Google Scholar] [CrossRef]
- Zhang, M.H.; Wang, W.; Chen, G.Q.; Abbasi, H.N.; Wang, Y.F.; Lin, F.; Wen, F.; Wang, K.Y.; Zhang, J.W.; Bu, R.A.; et al. Normally OFF Hydrogen-Terminated Diamond Field-Effect Transistor with Ti/TiOx Gate Materials. IEEE Trans. Electron Devices 2020, 67, 4784–4788. [Google Scholar] [CrossRef]
- Szuber, J.; Czempik, G.; Larciprete, R.; Koziej, D.; Adamowicz, B. XPS study of the L-CVD deposited SnO2 thin films exposed to oxygen and hydrogen. Thin Solid Film. 2001, 391, 198–203. [Google Scholar] [CrossRef]
- Ullah, S.; Wan, G.; Kouzios, C.; Woodgate, C.; Cattelan, M.; Fox, N. Structure and electronic properties of tin monoxide (SnO) and lithiated SnO terminated diamond (1 0 0) and its comparison with lithium oxide terminated diamond. Appl. Surf. Sci. 2021, 559, 149962. [Google Scholar] [CrossRef]
- Winter, R.; Ahn, J.; McIntyre, P.C.; Eizenberg, M. New method for determining flat-band voltage in high mobility semiconductors. J. Vac. Sci. Technol. B Nanotechnol. Microelectron. Mater. Process. Meas. Phenom. 2013, 31, 030604. [Google Scholar] [CrossRef]
- Wang, Y.F.; Wang, W.; Chang, X.H.; Abbasi, H.N.; Zhang, X.F.; Wang, R.Z.; Wang, H.X. Performance of hydrogen-terminated diamond MOSFET with bilayer dielectrics of YSZ/Al2O3. Diamond Rel. Mater. 2019, 99, 107532. [Google Scholar] [CrossRef]
- Rezek, B.; Sauerer, C.; Nebel, C.E.; Stutzmann, M.; Ristein, J.; Ley, L.; Snidero, E.; Bergonzo, P. Fermi level on hydrogen terminated diamond surfaces. Appl. Phys. Lett. 2003, 82, 2266–2268. [Google Scholar] [CrossRef] [Green Version]
- Mori, Y.; Kawarada, H.; Hiraki, A. Properties of metal/diamond interfaces and effects of oxygen adsorbed onto diamond surface. Appl. Phys. Lett. 1991, 58, 940–941. [Google Scholar] [CrossRef]
- Imanishi, S.; Kudara, K.; Ishiwata, H.; Horikawa, K.; Amano, S.; Iwataki, M.; Morishita, A.; Hiraiwa, A.; Kawarada, H. Drain Current Density Over 1.1 A/mm in 2D Hole Gas Diamond MOSFETs with Regrown p++-Diamond Ohmic Contacts. IEEE Electron Device Lett. 2021, 42, 204–207. [Google Scholar] [CrossRef]
- Liu, J.W.; Liao, M.Y.; Imura, M.; Koide, Y. High-k ZrO2/Al2O3 bilayer on hydrogenated diamond: Band configuration, breakdown field, and electrical properties of field-effect transistors. J. Appl. Phys. 2016, 120, 124504. [Google Scholar] [CrossRef]
- Wang, W.; Fu, K.; Hu, C.; Li, F.N.; Liu, Z.C.; Li, S.Y.; Lin, F.; Fu, J.; Wang, J.J.; Wang, H.X. Diamond based field-effect transistors with SiNx and ZrO2 double dielectric layers. Diamond Rel. Mater. 2016, 69, 237–240. [Google Scholar] [CrossRef]
- Zhao, J.; Liu, J.; Sang, L.; Liao, M.; Coathup, D.; Imura, M.; Shi, B.; Gu, C.; Koide, Y.; Ye, H. Assembly of a high-dielectric constant thin TiOx layer directly on H-terminated semiconductor diamond. Appl. Phys. Lett. 2016, 108, 012105. [Google Scholar] [CrossRef]
- Sun, C.; Hao, T.T.; Li, J.J.; Ye, H.T.; Gu, C.Z. The design and performance of hydrogen-terminated diamond metal-oxide-semiconductor field-effect transistors with high k oxide HfO2. Micro Nano Eng. 2020, 6, 100046. [Google Scholar] [CrossRef]
- Ren, Z.; Zhang, J.; Zhang, J.; Zhang, C.; Xu, S.; Li, Y.; Hao, Y. Diamond Field Effect Transistors with MoO3Gate Dielectric. IEEE Electron Device Lett. 2017, 38, 786–789. [Google Scholar] [CrossRef]
Publisher’s Note: MDPI stays neutral with regard to jurisdictional claims in published maps and institutional affiliations. |
© 2022 by the authors. Licensee MDPI, Basel, Switzerland. This article is an open access article distributed under the terms and conditions of the Creative Commons Attribution (CC BY) license (https://creativecommons.org/licenses/by/4.0/).





