Electrical Characteristics of Diamond MOSFET with 2DHG on a Heteroepitaxial Diamond Substrate
Abstract
:1. Introduction
2. Materials and Methods
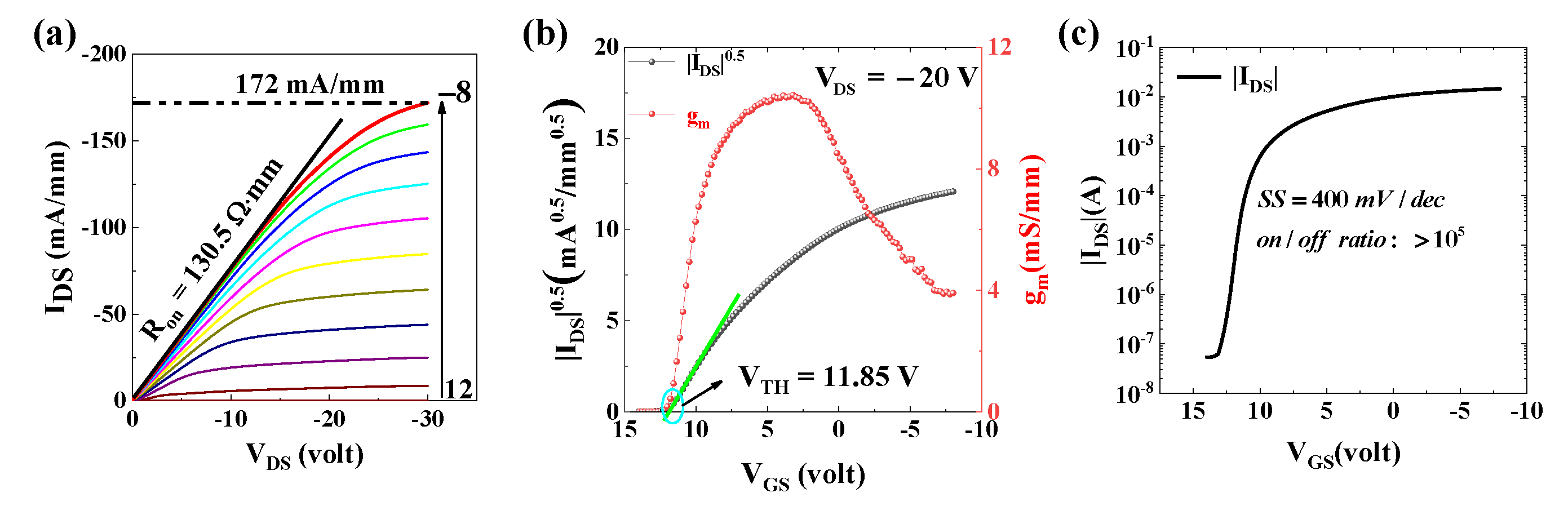
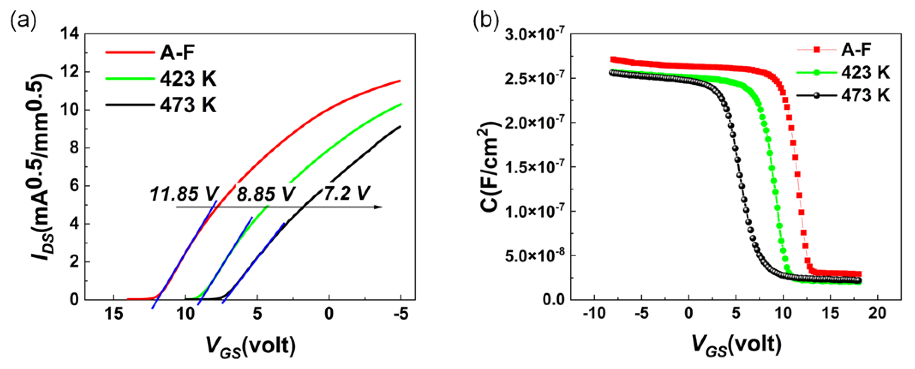
3. Results and Discussion
4. Conclusions
Author Contributions
Funding
Institutional Review Board Statement
Informed Consent Statement
Data Availability Statement
Conflicts of Interest
References
- Onn, D.G.; Witek, A.; Qiu, Y.Z.; Anthony, T.R.; Banholzer, W.F. Some aspects of the thermal conductivity of isotopically enriched diamond single crystals. Phys. Rev. Lett. 1992, 68, 2806. [Google Scholar] [CrossRef] [PubMed]
- Isberg, J.; Hammersberg, J.; Johansson, E.; Wikström, T.; Twitchen, D.J.; Whitehead, A.J.; Coe, S.E.; Scarsbrook, G.A. High Carrier Mobility in Single-Crystal Plasma-Deposited Diamond. Science 2002, 297, 1670–1672. [Google Scholar] [CrossRef] [PubMed]
- Reggiani, L.; Bosi, S.; Canali, C.; Nava, F.; Kozlov, S.F. Hole-drift velocity in natural diamond. Phys. Rev. B 1981, 23, 3050–3057. [Google Scholar] [CrossRef]
- Maier, F.; Riedel, M.; Mantel, B.; Ristein, J.; Ley, L. Origin of surface conductivity in diamond. Phys. Rev. Lett. 2000, 85, 3472. [Google Scholar] [CrossRef] [PubMed]
- Kawarada, H. Hydrogen-terminated diamond surfaces and interfaces. Surf. Sci. Rep. 1996, 26, 205–206. [Google Scholar] [CrossRef]
- Kawarada, H.; Itoh, M.; Hokazono, A. Electrically Isolated Metal-Semiconductor Field Effect Transistors and Logic Circuits on Homoepitaxial Diamonds. Jpn. J. Appl. Phys. 1996, 35, L1165–L1168. [Google Scholar] [CrossRef]
- Hirama, K.; Sato, H.; Harada, Y.; Yamamoto, H.; Kasu, M. Diamond Field-Effect Transistors with 1.3 A/mm Drain Current Density by Al2O3 Passivation Layer. Jpn. J. Appl. Phys. 2012, 51, 090112. [Google Scholar] [CrossRef]
- Ueda, K.; Kasu, M.; Yamauchi, Y.; Makimoto, T.; Schwitters, M.; Twitchen, D.J.; Scarsbrook, G.A.; Coe, S.E. Diamond FET Using High-Quality Polycrystalline. IEEE Electron Device Lett. 2006, 27, 570–572. [Google Scholar] [CrossRef]
- Imanishi, S.; Horikawa, K.; Oi, N.; Okubo, S.; Kageura, T.; Hiraiwa, A.; Kawarada, H. 3.8 W/mm RF Power Density for ALD Al2O3-Based Two-Dimensional Hole Gas Diamond MOSFET Operating at Saturation Velocity. IEEE Electron Device Lett. 2019, 40, 279–282. [Google Scholar] [CrossRef]
- Schreck, M.; Gsell, S.; Brescia, R.; Fischer, M. Ion bombardment induced buried lateral growth: The key mechanism for the synthesis of single crystal diamond wafers. Sci. Rep. 2017, 7, 44462. [Google Scholar] [CrossRef]
- Ichikawa, K.; Kurone, K.; Kodama, H.; Suzuki, K.; Sawabe, A. High crystalline quality heteroepitaxial diamond using grid-patterned nucleation and growth on Ir. Diam. Relat. Mater. 2019, 94, 92–100. [Google Scholar] [CrossRef]
- Kim, S.-W.; Kawamata, Y.; Takaya, R.; Koyama, K.; Kasu, M. Growth of high-quality one-inch free-standing heteroepitaxial (001) diamond on (11 2 ¯0) sapphire substrate. Appl. Phys. Lett. 2020, 117, 202102. [Google Scholar] [CrossRef]
- Saha, N.C.; Kim, S.-W.; Oishi, T.; Kawamata, Y.; Koyama, K.; Kasu, M. 345-MW/cm² 2608-V NO₂ p-Type Doped Diamond MOSFETs with an Al₂O₃ Passivation Overlayer on Heteroepitaxial Diamond. IEEE Electron Device Lett. 2021, 42, 903–906. [Google Scholar] [CrossRef]
- Wang, W.; Wang, Y.; Zhang, M.; Wang, R.; Chen, G.; Chang, X.; Lin, F.; Wen, F.; Jia, K.; Wang, H.-X. An Enhancement-Mode Hydrogen-Terminated Diamond Field-Effect Transistor with Lanthanum Hexaboride Gate Material. IEEE Electron Device Lett. 2020, 41, 585–588. [Google Scholar] [CrossRef]
- Wang, Y.-F.; Wang, W.; Abbasi, H.N.; Chang, X.; Zhang, X.; Zhu, T.; Liu, Z.; Song, W.; Chen, G.; Wang, H.-X. LiF/Al₂O₃ as Dielectrics for MOSFET on Single Crystal Hydrogen-Terminated Diamond. IEEE Electron Device Lett. 2020, 41, 808–811. [Google Scholar] [CrossRef]
- Wei, Q.; Niu, G.; Wang, R.; Chen, G.; Lin, F.; Zhang, X.; Zhang, Z.; Wang, H.X. Heteroepitaxy of single crystal diamond on Ir buffered KTaO3 (001) substrates. Appl. Phys. Lett. 2021, 119, 092104. [Google Scholar] [CrossRef]
- Saha, N.C.; Oishi, T.; Kim, S.; Kawamata, Y. 145-MW/cm2 Heteroepitaxial Diamond MOSFETs with NO2 p-type Doping and an Al2O3 Passivation Layer. IEEE Electron Device Lett. 2020, 41, 1066–1069. [Google Scholar] [CrossRef]
- Liu, J.W.; Liao, M.; Imura, M.; Banal, R.G.; Koide, Y. Deposition of TiO2/Al2O3 bilayer on hydrogenated diamond for electronic devices: Capacitors, field-effect transistors, and logic inverters. J. Appl. Phys. 2017, 121, 224502. [Google Scholar] [CrossRef]
- Hayashi, K.; Yamanaka, S.; Watanabe, H.; Sekiguchi, T.; Okushi, H.; Kajimura, K. Investigation of the effect of hydrogen on electrical and optical properties in chemical vapor deposited on homoepitaxial diamond films. J. Appl. Phys. 1997, 81, 744–753. [Google Scholar] [CrossRef]
- Rezek, B.; Sauerer, C.; Nebel, C.E.; Stutzmann, M.; Ristein, J.; Ley, L.; Snidero, E.; Bergonzo, P. Fermi level on hydrogen terminated diamond surfaces. Appl. Phys. Lett. 2003, 82, 2266–2268. [Google Scholar] [CrossRef] [Green Version]
- Matsumoto, T.; Kato, H.; Oyama, K.; Makino, T.; Ogura, M.; Takeuchi, D.; Inokuma, T.; Tokuda, N.; Yamasaki, S. Inversion channel diamond metal-oxide-semiconductor field-effect transistor with normally off characteristics. Sci. Rep. 2016, 6, 31585. [Google Scholar] [CrossRef] [PubMed]
- Liu, J.W.; Liao, M.Y.; Imura, M.; Matsumoto, T.; Shibata, N.; Ikuhara, Y.; Koide, Y. Control of normally on/off characteristics in hydrogenated diamond metal-insulator-semiconductor field-effect transistors. J. Appl. Phys. 2015, 118, 115704. [Google Scholar] [CrossRef]
- Traore, A.; Kato, H.; Makino, T.; Matsumoto, T.; Tokuda, N.; Ogura, M.; Kato, Y.; Takeuchi, D.; Yamasaki, S. Temperature dependence of diamond MOSFET transport properties. Jpn. J. Appl. Phys. 2020, 59, 10–14. [Google Scholar] [CrossRef]






Publisher’s Note: MDPI stays neutral with regard to jurisdictional claims in published maps and institutional affiliations. |
© 2022 by the authors. Licensee MDPI, Basel, Switzerland. This article is an open access article distributed under the terms and conditions of the Creative Commons Attribution (CC BY) license (https://creativecommons.org/licenses/by/4.0/).
Share and Cite
Chen, G.; Wang, W.; Lin, F.; Zhang, M.; Wei, Q.; Yu, C.; Wang, H. Electrical Characteristics of Diamond MOSFET with 2DHG on a Heteroepitaxial Diamond Substrate. Materials 2022, 15, 2557. https://doi.org/10.3390/ma15072557
Chen G, Wang W, Lin F, Zhang M, Wei Q, Yu C, Wang H. Electrical Characteristics of Diamond MOSFET with 2DHG on a Heteroepitaxial Diamond Substrate. Materials. 2022; 15(7):2557. https://doi.org/10.3390/ma15072557
Chicago/Turabian StyleChen, Genqiang, Wei Wang, Fang Lin, Minghui Zhang, Qiang Wei, Cui Yu, and Hongxing Wang. 2022. "Electrical Characteristics of Diamond MOSFET with 2DHG on a Heteroepitaxial Diamond Substrate" Materials 15, no. 7: 2557. https://doi.org/10.3390/ma15072557
APA StyleChen, G., Wang, W., Lin, F., Zhang, M., Wei, Q., Yu, C., & Wang, H. (2022). Electrical Characteristics of Diamond MOSFET with 2DHG on a Heteroepitaxial Diamond Substrate. Materials, 15(7), 2557. https://doi.org/10.3390/ma15072557

