The Barrier’s Heights and Its Inhomogeneities on Diamond Silicon Interfaces
Abstract
:1. Introduction
2. Materials and Methods
3. Results
3.1. Surface Morphology Analysis
3.2. Raman Spectroscopy and XRD
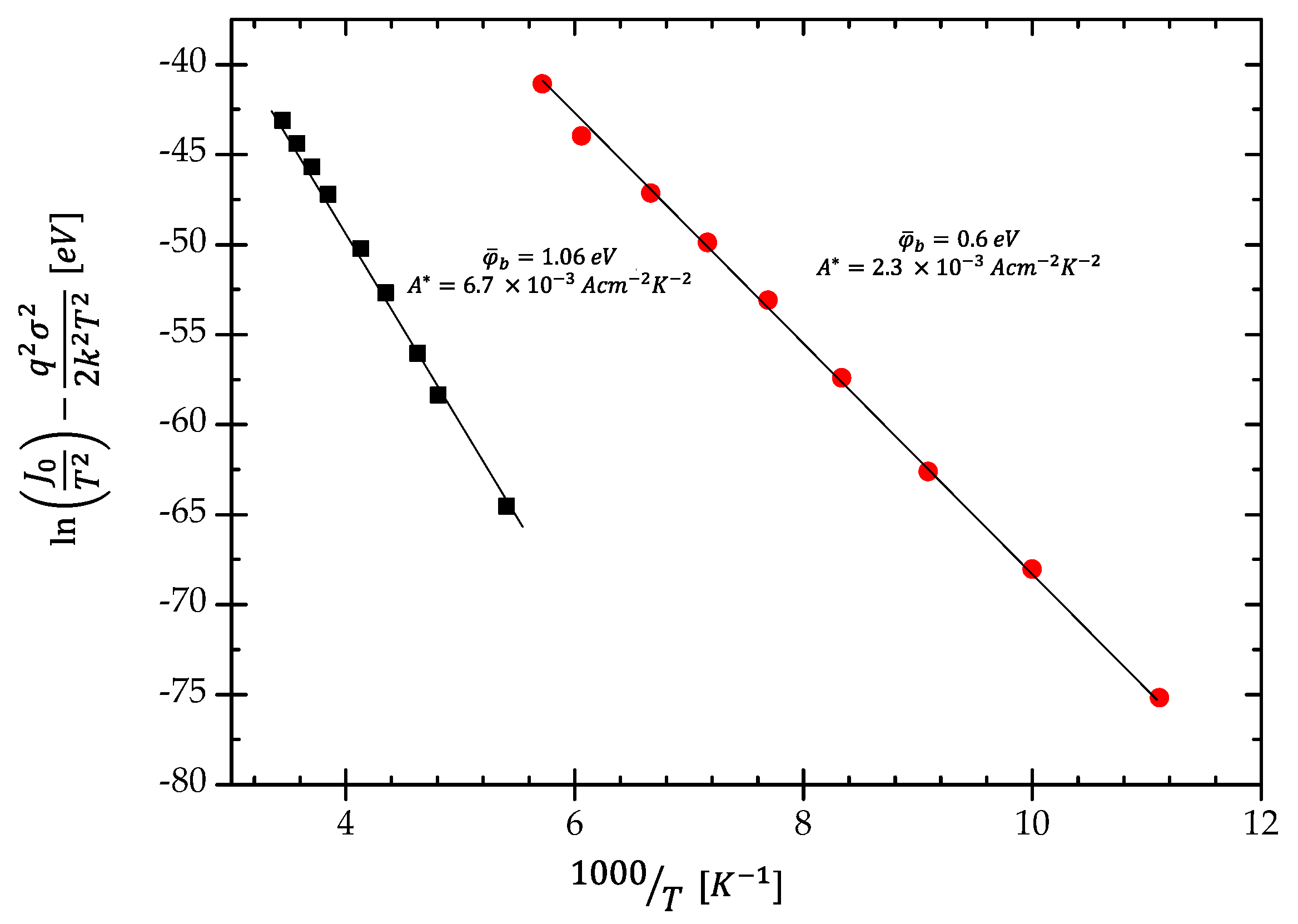
3.3. Diodes Characteristics
4. Conclusions
Author Contributions
Funding
Institutional Review Board Statement
Informed Consent Statement
Data Availability Statement
Conflicts of Interest
References
- Wort, C.J.; Balmer, R.S. Diamond as an electronic material. Mater. Today 2008, 11, 22–28. [Google Scholar] [CrossRef]
- Denisenko, A.; Kohn, E. Diamond power devices. Concepts and limits. Diam. Relat. Mater. 2005, 14, 491–498. [Google Scholar] [CrossRef]
- Kohn, E.; Denisenko, A. Concepts for diamond electronics. Thin Solid Films 2007, 515, 4333–4339. [Google Scholar] [CrossRef]
- Traoré, A.; Muret, P.; Fiori, A.; Eon, D.; Gheeraert, E.; Pernot, J. Zr/oxidized diamond interface for high power Schottky diodes. Appl. Phys. Lett. 2014, 104, 052105. [Google Scholar] [CrossRef]
- Umezawa, H.; Saito, T.; Tokuda, N.; Ogura, M.; Ri, S.-G.; Yoshikawa, H.; Shikata, S.-I. Leakage current analysis of diamond Schottky barrier diode. Appl. Phys. Lett. 2007, 90, 073506. [Google Scholar] [CrossRef]
- Łoś, S.; Fabisiak, K.; Paprocki, K.; Szybowicz, M.; Dychalska, A. The Undoped Polycrystalline Diamond Film—Electrical Transport Properties. Sensors 2021, 21, 6113. [Google Scholar] [CrossRef]
- Łoś, S.; Fabisiak, K.; Paprocki, K.; Szybowicz, M.; Dychalska, A.; Spychaj-Fabisiak, E.; Franków, W. The hydrogenation impact on electronic properties of p-diamond/n-si heterojunctions. Materials 2021, 14, 6615. [Google Scholar] [CrossRef]
- Łoś, S.; Paprocki, K.; Fabisiak, K.; Szybowicz, M. The influence of the space charge on The Ohm’s law conservation in CVD diamond layers. Carbon 2019, 143, 413–418. [Google Scholar] [CrossRef]
- Hayashi, K.; Yamanaka, S.; Okushi, H.; Kajimura, K. Study of the effect of hydrogen on transport properties in chemical vapor deposited diamond films by Hall measurements. Appl. Phys. Lett. 1998, 68, 376. [Google Scholar] [CrossRef]
- Baumann, P.K.; Nemanich, R.J. Electron affinity and Schottky barrier height of metal–diamond (100), (111), and (110) interfaces. J. Appl. Phys. 1998, 83, 2072. [Google Scholar] [CrossRef]
- Werner, J.H.; Güttler, H.H. Barrier inhomogeneities at Schottky contacts. J. Appl. Phys. 1991, 69, 1522–1533. [Google Scholar] [CrossRef]
- Iucolano, F.; Roccaforte, F.; Giannazzo, F.; Raineri, V. Barrier inhomogeneity and electrical properties of Pt∕GaN Schottky contacts. J. Appl. Phys. 2007, 102, 113701. [Google Scholar] [CrossRef]
- Güçlü, Ç.; Özdemir, A.F.; Altindal, Ş. Double exponential I–V characteristics and double Gaussian distribution of barrier heights in (Au/Ti)/Al2O3/n-GaAs (MIS)-type Schottky barrier diodes in wide temperature range. Appl. Phys. A Mater. Sci. Process. 2016, 122, 1032. [Google Scholar] [CrossRef]
- Tataroǧlu, A.; Altindal, Ş. The distribution of barrier heights in MIS type Schottky diodes from current–voltage–temperature (I–V–T) measurements. J. Alloys Compd. 2009, 479, 893–897. [Google Scholar] [CrossRef]
- Fiat, S.; Merdan, Z.; Memmedli, T. Current-conduction mechanisms in Au/n-CdTe Schottky solar cells in the wide temperature range. Phys. B Condens. Matter 2012, 407, 2560–2565. [Google Scholar] [CrossRef]
- Mallik, A.K.; Dandapat, N.; Chakraborty, S.; Mandal, A.K.; Ghosh, J.; Unnikrishnan, M.; Bysakh, S.; Balla, V. Characterizations of microwave plasma CVD grown polycrystalline diamond coatings for advanced technological applications. Process. Appl. Ceram. 2014, 8, 69–80. [Google Scholar] [CrossRef]
- Iacobucci, S.; Alippi, P.; Calvani, P.; Girolami, M.; Offi, F.; Petaccia, L.; Trucchi, D.M. Electronic structure of hydrogenated diamond: Microscopical insight into surface conductivity. Phys. Rev. B 2016, 94, 045307. [Google Scholar] [CrossRef]
- Paprocki, K.; Dittmar-Wituski, A.; Trzcinski, M.; Szybowicz, M.; Fabisiak, K.; Dychalska, A. The comparative studies of HF CVD diamond films by Raman and XPS spectroscopies. Opt. Mater. 2019, 95, 109251. [Google Scholar] [CrossRef]
- Butler, J.E.; Oleynik, I. A mechanism for crystal twinning in the growth of diamond by chemical vapour deposition. Philos. Trans. R. Soc. A Math. Phys. Eng. Sci. 2007, 366, 295–311. [Google Scholar] [CrossRef]
- Rajpalke, M.K.; Bhat, T.N.; Roul, B.; Kumar, M.; Krupanidhi, S.B. Current transport in nonpolar a-plane InN/GaN heterostructures Schottky junction. J. Appl. Phys. 2012, 112, 023706. [Google Scholar] [CrossRef]
- Belgacem, C.H.; El-Amine, A.A. Theoretical Models for Anomalously High Ideality Factor in a Au/SnO 2-Si(n)/Al Solar Cell. Silicon 2018, 10, 1063–1066. [Google Scholar] [CrossRef]
- Aydoǧan, Ş.; Saǧlam, M.; Türüt, A. On the barrier inhomogeneities of polyaniline/p-Si/Al structure at low temperature. Appl. Surf. Sci. 2005, 250, 43–49. [Google Scholar] [CrossRef]
- Riben, A.R.; Feucht, D.L. nGe/pGaAs Heterojunctions. Solid-State Electron. 1966, 9, 1055–1065. [Google Scholar] [CrossRef]
- Queisser, H.J. Forward characteristics and efficiencies of silicon solar cells. Solid-State Electron. 1962, 5, 1–10. [Google Scholar] [CrossRef]
- Kaminski, A.; Marchand, J.J.; Omari, Q.N.; el Laugier, H.; Le, A.; Sarti, D. Conduction processes in silicon solar cells. In Proceedings of the Conference Record of the Twenty Fifth IEEE Photovoltaic Specialists Conference-1996, Washington, DC, USA, 13–17 May 1996; pp. 573–576. [Google Scholar]
- Chaleawpong, R.; Promros, N.; Charoenyuenyao, P.; Hanada, T.; Ohmagari, S.; Zkria, A.; Yoshitake, T. Diode Parameters of Heterojunctions Comprising p-Type Ultrananocrystalline Diamond Films and n-Type Si Substrates. J. Nanosci. Nanotechnol. 2019, 19, 1567–1573. [Google Scholar] [CrossRef] [PubMed]
- Promros, N.; Chen, L.; Yoshitake, T. Near-infrared photodetection in n-type nanocrystalline FeSi 2/p-type Si heterojunctions. J. Nanosci. Nanotechnol. 2013, 13, 3577–3581. [Google Scholar] [CrossRef] [PubMed]
- Cheung, S.K.; Cheung, N.W. Extraction of Schottky diode parameters from forward current-voltage characteristics. Appl. Phys. Lett. 1998, 49, 85. [Google Scholar] [CrossRef]
- Horváth, Z.J. Comment on ‘analysis of I-V measurements on CrSi2-Si Schottky structures in a wide temperature range’. Solid-State Electron. 1996, 39, 176–178. [Google Scholar] [CrossRef]
- Jabbari, I.; Baira, M.; Maaref, H.; Mghaieth, R. Schottky barrier inhomogeneity in (Pd/Au) Al0.22 Ga0.78N/GaN/SiC HEMT: Triple Gaussian distributions. Chin. J. Phys. 2021, 73, 719–731. [Google Scholar] [CrossRef]
- Crawford, K.G.; Maini, I.; Macdonald, D.A.; Moran, D.A.J. Surface transfer doping of diamond: A review. Prog. Surf. Sci. 2021, 96, 100613. [Google Scholar] [CrossRef]
- Mohan, L.; Chandan, G.; Mukundan, S.; Roul, B.; Krupanidhi, S.B. Double Gaussian distribution of barrier height observed in densely packed GaN nanorods over Si (111) heterostructures. J. Appl. Phys. 2014, 116, 234508. [Google Scholar] [CrossRef]
- Sullivan, J.P.; Tung, R.T.; Pinto, M.R.; Graham, W.R. Electron transport of inhomogeneous Schottky barriers: A numerical study. J. Appl. Phys. 1998, 70, 7403. [Google Scholar] [CrossRef]
- Malakoutian, M.; Benipal, M.; Koeck, F.A.; Nemanich, R.J.; Chowdhury, S. Schottky Barrier Height Analysis of Diamond SPIND Using High Temperature Operation up to 873 K. IEEE J. Electron Devices Soc. 2020, 8, 614–618. [Google Scholar] [CrossRef]
- Ueda, K.; Kawamoto, K.; Asano, H. High-temperature and high-voltage characteristics of Cu/diamond Schottky diodes. Diam. Relat. Mater. 2015, 57, 28–31. [Google Scholar] [CrossRef]
- Suzuki, M.; Koizumi, S.; Katagiri, M.; Ono, T.; Sakuma, N.; Yoshida, H.; Sakai, T.; Uchikoga, S. Electrical characteristics of n-type diamond Schottky diodes and metal/diamond interfaces. Phys. Status Solidi 2006, 203, 3128–3135. [Google Scholar] [CrossRef]
- Vescan, A.; Daumiller, I.; Gluche, P.; Ebert, W.; Kohn, E. Very high temperature operation of diamond Schottky diode. IEEE Electron Device Lett. 1997, 18, 556–558. [Google Scholar] [CrossRef]







Publisher’s Note: MDPI stays neutral with regard to jurisdictional claims in published maps and institutional affiliations. |
© 2022 by the authors. Licensee MDPI, Basel, Switzerland. This article is an open access article distributed under the terms and conditions of the Creative Commons Attribution (CC BY) license (https://creativecommons.org/licenses/by/4.0/).
Share and Cite
Łoś, S.; Fabisiak, K.; Paprocki, K.; Kozera, W.; Knapowski, T.; Szybowicz, M.; Dychalska, A. The Barrier’s Heights and Its Inhomogeneities on Diamond Silicon Interfaces. Materials 2022, 15, 5895. https://doi.org/10.3390/ma15175895
Łoś S, Fabisiak K, Paprocki K, Kozera W, Knapowski T, Szybowicz M, Dychalska A. The Barrier’s Heights and Its Inhomogeneities on Diamond Silicon Interfaces. Materials. 2022; 15(17):5895. https://doi.org/10.3390/ma15175895
Chicago/Turabian StyleŁoś, Szymon, Kazimierz Fabisiak, Kazimierz Paprocki, Wojciech Kozera, Tomasz Knapowski, Mirosław Szybowicz, and Anna Dychalska. 2022. "The Barrier’s Heights and Its Inhomogeneities on Diamond Silicon Interfaces" Materials 15, no. 17: 5895. https://doi.org/10.3390/ma15175895
APA StyleŁoś, S., Fabisiak, K., Paprocki, K., Kozera, W., Knapowski, T., Szybowicz, M., & Dychalska, A. (2022). The Barrier’s Heights and Its Inhomogeneities on Diamond Silicon Interfaces. Materials, 15(17), 5895. https://doi.org/10.3390/ma15175895

