Influence of Inter-Particle Distances on the Rheological Properties of Cementitious Suspensions
Abstract
:1. Introduction
2. Materials and Methods
2.1. Materials and Sample Preparations
2.2. Rheological Tests
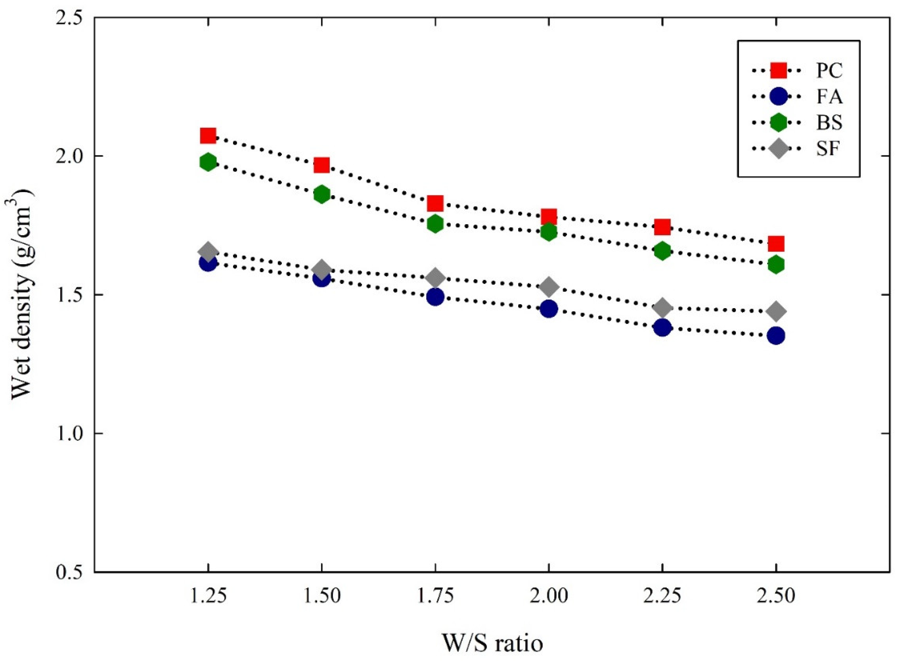
2.3. Wet Packing Density Tests
3. Estimation of Inter-Particle Distances (H)
4. Results and Discussions
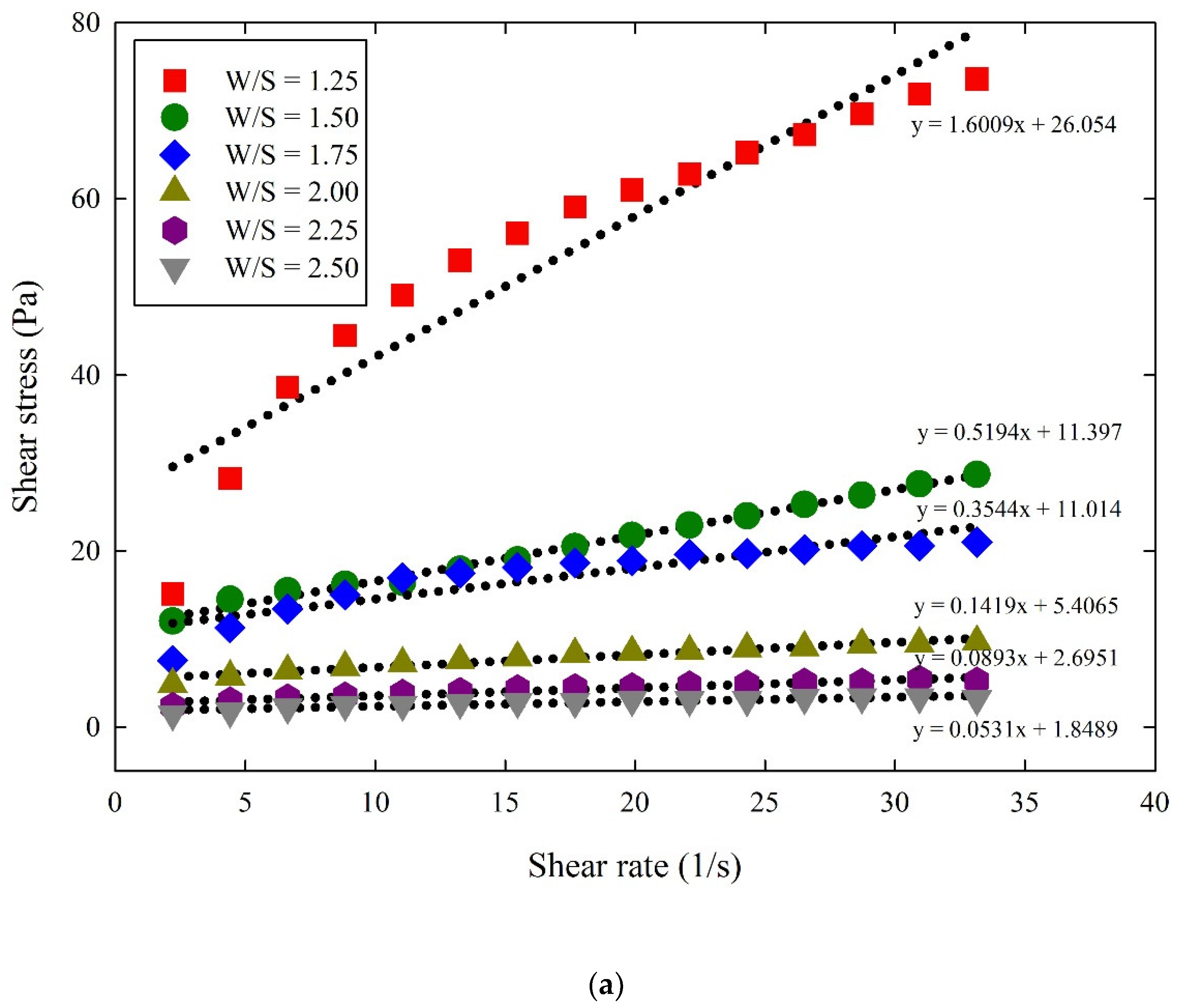
4.1. Rheological Properties of Cementitious Suspensions with Different W/S Ratios
4.2. Inter-Particle Distances (H) of the Cementitious Suspensions
4.3. Relationship between Inter-Particle Distances to the Rheological Properties
5. Conclusions
Author Contributions
Funding
Institutional Review Board Statement
Informed Consent Statement
Data Availability Statement
Acknowledgments
Conflicts of Interest
References
- Kang, S.-T.; Kim, J.-K. The relation between fiber orientation and tensile behavior in an Ultra High Performance Fiber Reinforced Cementitious Composites (UHPFRCC). Cem. Concr. Res. 2011, 41, 1001–1014. [Google Scholar] [CrossRef]
- Rajadurai, R.S.; Lee, J.-H. High Temperature Sensing and Detection for Cementitious Materials Using Manganese Violet Pigment. Materials 2020, 13, 993. [Google Scholar] [CrossRef] [PubMed] [Green Version]
- Ferrara, L.; Krelani, V.; Carsana, M. A “fracture testing” based approach to assess crack healing of concrete with and without crystalline admixtures. Constr. Build. Mater. 2014, 68, 535–551. [Google Scholar] [CrossRef]
- Scrivener, K.L.; Gartner, E.M. Eco-efficient cements: Potential economically viable solutions for a low-CO2 cement-based materials industry. Cem. Concr. Res. 2018, 114, 2–26. [Google Scholar] [CrossRef]
- Kuterasińska, J.; Król, A. New types of low-carbon cements with reduced Portland clinker content as a result of ecological actions of cement industry towards sustainable development. Econ. Environ. Stud. 2016, 16, 403–419. [Google Scholar]
- Kuzielová, E.; Žemlička, M.; Novotný, R.; Palou, M.T. Simultaneous effect of silica fume, metakaolin and ground granulated blast-furnace slag on the hydration of multicomponent cementitious binders. J. Therm. Anal. Calorim. 2018, 136, 1527–1537. [Google Scholar] [CrossRef]
- Sujjavanich, S.; Suwanvitaya, P.; Chaysuwan, D.; Heness, G. Synergistic effect of metakaolin and fly ash on properties of concrete. Constr. Build. Mater. 2017, 155, 830–837. [Google Scholar] [CrossRef]
- Matthes, W.; Vollpracht, A.; Villagrán, Y.; Kamali-Bernard, S.; Hooton, D.; Gruyaert, E.; Soutsos, M.; De Belie, N. Ground Granulated Blast-Furnace Slag; State-of-the-Art Report of the RILEM Technical Committee 238-SCM, Working Group 4; Springer International Publishing: Berlin/Heidelberg, Germany, 2018; pp. 1–53. [Google Scholar]
- Yuksel, I. Blast-furnace slag. In Waste and Supplementary Cementitious Materials in Concrete; Woodhead Publishing: Cambridge, UK, 2018; pp. 361–415. [Google Scholar]
- De Belie, N.; Soutsos, M.; Gruyaert, E. Properties of Fresh Hardened Concrete Containing Supplementary Cementitious Materials; State-of-the-Art Report of the RILEM Technical Committee 238-SCM, Working Group 4; Springer International Publishing: Berlin/Heidelberg, Germany, 2018; pp. 55–98. [Google Scholar]
- Marinković, S.; Dragaš, J. Fly ash. In Waste and Supplementary Cementitious Materials in Concrete; Woodhead Publishing: Cambridge, UK, 2018; pp. 325–360. [Google Scholar]
- Dave, N.; Misra, A.K.; Srivastava, A.; Sharma, A.K.; Kaushik, S.K. Study on quaternary concrete micro-structure, strength, durability considering the influence of multi-factors. Constr. Build. Mater. 2017, 139, 447–457. [Google Scholar] [CrossRef]
- Rajagopalan, S.R.; Kang, S.T. Evaluation of sulfate resistance of cement mortars with the replacement of fine stone powder. J. Mater. Cycles Waste Manag. 2021, 23, 1995–2004. [Google Scholar] [CrossRef]
- Koh, K.T.; Park, J.J.; Kang, S.T.; Ryu, G.S. Influence of the Type of Silica Fume on the Rheological and Mechanical Properties of Ultra-High Performance Concrete. Key Eng. Mater. 2011, 488-489, 274–277. [Google Scholar] [CrossRef]
- Koh, K.T.; Kang, S.T.; Park, J.J.; Ryu, G.S.; Lee, J.H.; Kang, H.J. Effect of the combined using of fly ash and blast furnace slag as cementitious materials on properties of alkali-activated mortar. J. Kor. Inst. Res. Recyc. 2010, 19, 19–28. [Google Scholar]
- Park, J.J.; Ryu, G.S.; Kang, S.T.; Kim, S.W. The Influence of the Amount of Silica Fume on the Mechanical Property of Ultra-High Performance Concrete. Key Eng. Mater. 2008, 385-387, 701–704. [Google Scholar] [CrossRef]
- Kang, H.J.; Ryu, G.S.; Koh, G.T.; Kang, S.T.; Park, J.J. Relationship between Microscopic Structures and Compressive Strength of Alkali-Activated Fly Ash Mortar. Key Eng. Mater. 2010, 452-453, 737–740. [Google Scholar] [CrossRef]
- Kang, S.T.; Choi, J.I.; Lee, B.Y. Compressive strength and tensile properties of high volume slag cement composite incorporating phase change material. J. Kor. Recyc. Constr. Res. Inst. 2020, 8, 183–189. [Google Scholar]
- Koh, K.T.; Ryu, G.S.; Park, J.J.; An, K.H.; Kim, S.W.; Kang, S.T. Effects of the composing materials on the rheological and mechanical properties of ultrahigh performance concrete (UHPC). In Proceedings of the RILEM-fib-AFGC International Symposium on UHPFRC, Marseille, France, 1–3 October 2013. [Google Scholar]
- Provis, J.L.; Duxson, P.; van Deventer, J.S. The role of particle technology in developing sustainable construction materials. Adv. Powder Technol. 2010, 21, 2–7. [Google Scholar] [CrossRef]
- Laskar, A.I.; Talukdar, S. Rheological behavior of high performance concrete with mineral admixtures and their blending. Constr. Build. Mater. 2008, 22, 2345–2354. [Google Scholar] [CrossRef]
- Xu, G.; Shi, X. Characteristics and applications of fly ash as a sustainable construction material: A state-of-the-art review. Resour. Conserv. Recycl. 2018, 136, 95–109. [Google Scholar] [CrossRef]
- Nguyen, H.-A.; Chang, T.-P.; Shih, J.-Y.; Chen, C.-T.; Nguyen, T.-D. Influence of circulating fluidized bed combustion (CFBC) fly ash on properties of modified high volume low calcium fly ash (HVFA) cement paste. Constr. Build. Mater. 2015, 91, 208–215. [Google Scholar] [CrossRef]
- Feng, J.; Liu, S.; Wang, Z. Effects of ultrafine fly ash on the properties of high-strength concrete. J. Therm. Anal. Calorim. 2015, 121, 1213–1223. [Google Scholar] [CrossRef]
- Jiao, D.; Shi, C.; Yuan, Q.; An, X.; Liu, Y.; Li, H. Effect of constituents on rheological properties of fresh concrete—A review. Cem. Concr. Compos. 2017, 83, 146–159. [Google Scholar] [CrossRef]
- Ahari, R.S.; Erdem, T.K.; Ramyar, K. Thixotropy and structural breakdown properties of self consolidating concrete containing various supplementary cementitious materials. Cem. Concr. Compos. 2015, 59, 26–37. [Google Scholar] [CrossRef] [Green Version]
- Park, C.; Noh, M.; Park, T. Rheological properties of cementitious materials containing mineral admixtures. Cem. Concr. Res. 2005, 35, 842–849. [Google Scholar] [CrossRef]
- Nehdi, M.; Mindess, S.; Aıtcin, P.-C. Rheology of High-Performance Concrete: Effect of Ultrafine Particles. Cem. Concr. Res. 1998, 28, 687–697. [Google Scholar] [CrossRef]
- Zhang, X.; Han, J. The effect of ultra-fine admixture on the rheological property of cement paste. Cem. Concr. Res. 2000, 30, 827–830. [Google Scholar] [CrossRef]
- Cyr, M.; Legrand, C.; Mouret, M. Study of the shear thickening effect of superplasticizers on the rheological behaviour of cement pastes containing or not mineral additives. Cem. Concr. Res. 2000, 30, 1477–1483. [Google Scholar] [CrossRef]
- Salem, T.M. Electrical conductivity and rheological properties of ordinary Portland cement-silica fume and calcium hydroxide-silica fume pastes. Cem. Concr. Res. 2002, 32, 1473–1481. [Google Scholar] [CrossRef]
- Guo, Y.; Zhang, T.; Wei, J.; Yu, Q.; Ouyang, S. Evaluating the distance between particles in fresh cement paste based on the yield stress and particle size. Constr. Build. Mater. 2017, 142, 109–116. [Google Scholar] [CrossRef]
- Ma, H.; Hou, D.; Lu, Y.; Li, Z. Two-scale modeling of the capillary network in hydrated cement paste. Constr. Build. Mater. 2014, 64, 11–21. [Google Scholar] [CrossRef]
- Ma, H.; Tang, S.; Li, Z. New Pore Structure Assessment Methods for Cement Paste. J. Mater. Civ. Eng. 2015, 27, 4014002. [Google Scholar] [CrossRef]
- Fung, W.; Kwan, A. Role of water film thickness in rheology of CSF mortar. Cem. Concr. Compos. 2010, 32, 255–264. [Google Scholar] [CrossRef]
- Kwan, A.; Fung, W.; Wong, H. Water film thickness, flowability and rheology of cement–sand mortar. Adv. Cem. Res. 2010, 22, 3–14. [Google Scholar] [CrossRef] [Green Version]
- Senff, L.; Labrincha, J.A.; Ferreira, V.M.; Hotza, D.; Repette, W.L. Effect of nano-silica on rheology and fresh properties of cement pastes and mortars. Constr. Build. Mater. 2009, 23, 2487–2491. [Google Scholar] [CrossRef]
- Kashani, A.; Nicolas, R.S.; Qiao, G.; van Deventer, J.S.; Provis, J. Modelling the yield stress of ternary cement–slag–fly ash pastes based on particle size distribution. Powder Technol. 2014, 266, 203–209. [Google Scholar] [CrossRef]
- Ye, G.; van Breugel, K.; Fraaij, A. Experimental study and numerical simulation on the formation of microstructure in cementitious materials at early age. Cem. Concr. Res. 2003, 33, 233–239. [Google Scholar] [CrossRef]
- Ma, H.; Li, Z. Realistic pore structure of Portland cement paste: Experimental study and numerical simulation. Comput. Concr. 2013, 11, 317–336. [Google Scholar] [CrossRef]
- Kwan, A.K.H.; Li, L.G. Combined effects of water film thickness and paste film thickness on rheology of mortar. Mater. Struct. 2012, 45, 1359–1374. [Google Scholar] [CrossRef] [Green Version]
- Li, L.G.; Kwan, A.K. Effects of superplasticizer type on packing density, water film thickness and flowability of cementitious paste. Constr. Build. Mater. 2015, 86, 113–119. [Google Scholar] [CrossRef]













| Composition | PC (%) | FA (%) | BS (%) | SF (%) |
|---|---|---|---|---|
| SiO2 | 20.50 | 53.70 | 33.80 | 99.10 |
| Al2O3 | 5.11 | 25.70 | 13.90 | - |
| CaO | 62.00 | 5.76 | 44.20 | - |
| MgO | 2.60 | - | 3.57 | - |
| Fe2O3 | 3.30 | - | - | - |
| PC | FA | BS | SF | |
|---|---|---|---|---|
| Density (g/cm3) | 3.15 | 2.23 | 2.90 | 2.30 |
| SSA (cm2/g) | 2800 | 3860 | 4530 | 150,000 |
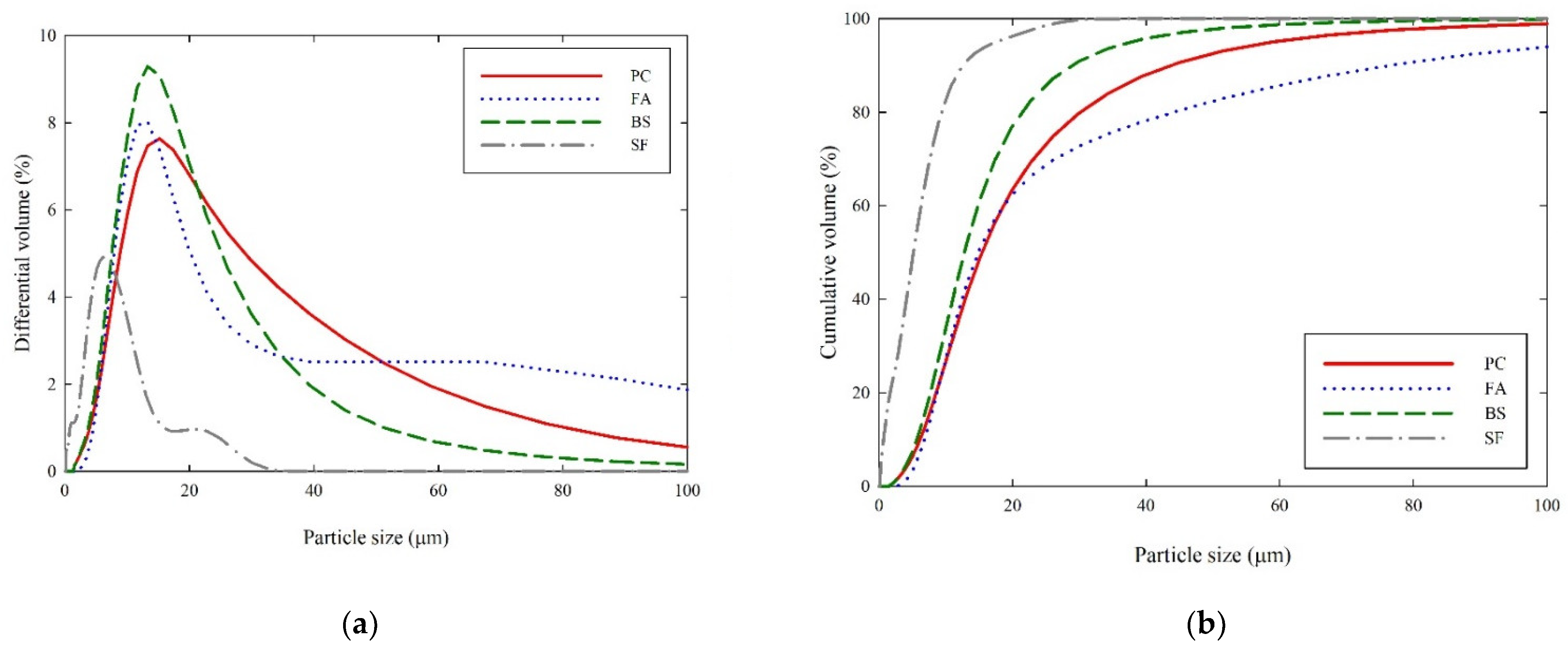
| Mean size (µm) | 21.58 | 30.20 | 15.85 | 6.31 |
| Water-to-Solid Volume Ratios | Weight Ratios (w/b) | |||
|---|---|---|---|---|
| PC | FA | BS | SF | |
| 1.25 | 0.39 | 0.56 | 0.43 | 0.54 |
| 1.50 | 0.47 | 0.67 | 0.51 | 0.65 |
| 1.75 | 0.55 | 0.78 | 0.60 | 0.76 |
| 2.00 | 0.63 | 0.89 | 0.68 | 0.86 |
| 2.25 | 0.71 | 1.00 | 0.77 | 0.97 |
| 2.50 | 0.79 | 1.12 | 0.86 | 1.08 |
| Suspensions | a (Pa) | b (µm−1) |
|---|---|---|
| PC | 138.85 | 0.292 |
| FA | 13.419 | 0.303 |
| BS | 28.955 | 0.334 |
| SF | 707.47 | 9.992 |
| Suspensions | a (Pa.s) | b (µm−1) |
|---|---|---|
| PC | 10.737 | 0.372 |
| FA | 2.5147 | 0.489 |
| BS | 9.905 | 0.612 |
| SF | 10.453 | 11.68 |
Publisher’s Note: MDPI stays neutral with regard to jurisdictional claims in published maps and institutional affiliations. |
© 2021 by the authors. Licensee MDPI, Basel, Switzerland. This article is an open access article distributed under the terms and conditions of the Creative Commons Attribution (CC BY) license (https://creativecommons.org/licenses/by/4.0/).
Share and Cite
Rajadurai, R.S.; Kang, S.-T. Influence of Inter-Particle Distances on the Rheological Properties of Cementitious Suspensions. Materials 2021, 14, 7869. https://doi.org/10.3390/ma14247869
Rajadurai RS, Kang S-T. Influence of Inter-Particle Distances on the Rheological Properties of Cementitious Suspensions. Materials. 2021; 14(24):7869. https://doi.org/10.3390/ma14247869
Chicago/Turabian StyleRajadurai, Rajagopalan Sam, and Su-Tae Kang. 2021. "Influence of Inter-Particle Distances on the Rheological Properties of Cementitious Suspensions" Materials 14, no. 24: 7869. https://doi.org/10.3390/ma14247869
APA StyleRajadurai, R. S., & Kang, S.-T. (2021). Influence of Inter-Particle Distances on the Rheological Properties of Cementitious Suspensions. Materials, 14(24), 7869. https://doi.org/10.3390/ma14247869
