Insight into the Interaction between Water and Ion-Exchanged Aluminosilicate Glass by Nanoindentation
Abstract
1. Introduction
2. Materials and Methods
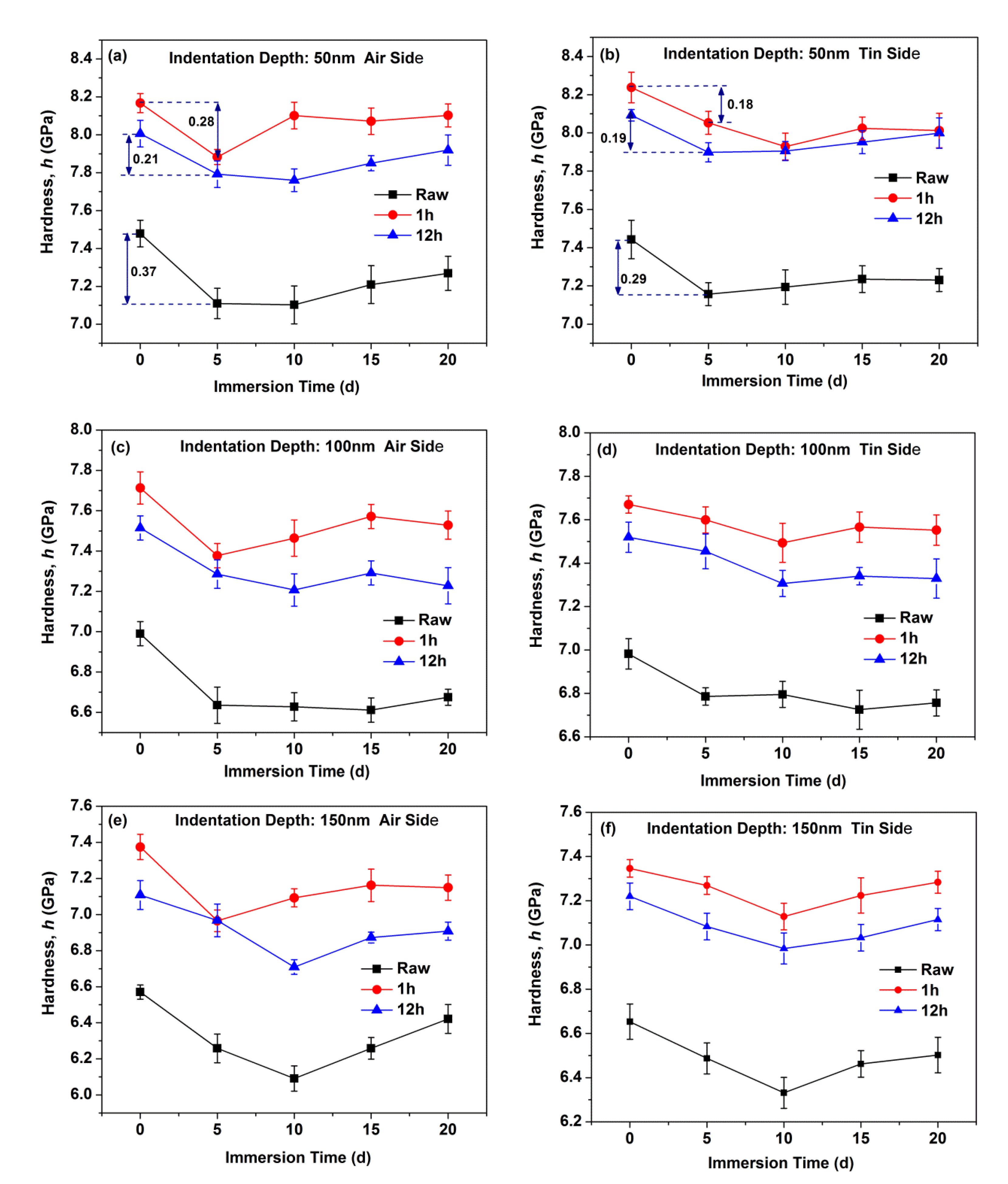
3. Results
4. Discussion
5. Conclusions
Author Contributions
Funding
Institutional Review Board Statement
Informed Consent Statement
Data Availability Statement
Acknowledgments
Conflicts of Interest
References
- Gy, R. Ion exchange for glass strengthening. Mater. Sci. Eng. B 2008, 149, 159–165. [Google Scholar] [CrossRef]
- Varshneya, A.K. Chemical Strengthening of Glass: Lessons Learned and Yet To Be Learned. Int. J. Appl. Glass Sci. 2010, 1, 131–142. [Google Scholar] [CrossRef]
- Tadjiev, D.R.; Hand, R.J. Surface hydration and nanoindentation of silicate glasses. J. Non Cryst. Solids 2010, 356, 102–108. [Google Scholar] [CrossRef]
- Gonzalez Rodriguez, J.A.; Hand, R.J. Evolution of the modulus and hardness of the tin and air sides of float glass as a function of hydration time. Glass Technol. Eur. J. Glass Sci. Technol. Part A 2013, 54, 36–41. [Google Scholar]
- Gösterişlioğlu, Y.; Ersundu, A.; Ersundu, M.Ç.; Sökmen, İ. Investigation the effect of weathering on chemically strengthened flat glasses. J. Non Cryst. Solids 2020, 544, 120192. [Google Scholar] [CrossRef]
- Lombardo, T.; Chabas, A.; Lefèvre, R.A.; Verità, M.; Geottibianchini, F. Weathering of float glass exposed outdoors in an urban area. Glass Technol. 2005, 46, 271–276. [Google Scholar]
- Tadjiev, D.R.; Hand, R.J. Inter-relationships between composition and near surface mechanical properties of silicate glasses. J. Non Cryst. Solids 2008, 354, 5108–5109. [Google Scholar] [CrossRef]
- Yu, J.; Jian, Q.; Yuan, W.; Gu, B.; Ji, F.; Huang, W. Further damage induced by water in micro-indentations in phosphate laser glass. Appl. Surf. Sci. 2014, 292, 267–277. [Google Scholar] [CrossRef]
- Sheth, N.; Hahn, S.H.; Ngo, D.; Howzen, A.; Bermejo, R.; van Duin, A.C.; Mauro, J.C.; Pantano, C.G.; Kim, S.H. Influence of acid leaching surface treatment on indentation cracking of soda lime silicate glass. J. Non Cryst. Solids 2020, 543, 120144. [Google Scholar] [CrossRef]
- Sirotkin, S.; Meszaros, R.; Wondraczek, L. Chemical Stability of ZnO-Na2O-SO3-P2O5 Glasses. Int. J. Appl. Glass Sci. 2012, 3, 44–52. [Google Scholar] [CrossRef]
- Wiederhorn, S.M.; Bolz, L.H. Stress corrosion and static fatigue of glass. J. Am. Ceram. Soc. 1970, 53, 543–548. [Google Scholar] [CrossRef]
- Wiederhorn, S.M. Influence of water vapor on crack propagation in soda-lime glass. J. Am. Ceram. Soc. 1967, 50, 407–414. [Google Scholar] [CrossRef]
- Bradley, L.C.; Dilworth, Z.R.; Barnette, A.L.; Hsiao, E.; Barthel, A.J.; Pantano, C.G.; Kim, S.H. Hydronium Ions in Soda-lime Silicate Glass Surfaces. J. Am. Ceram. Soc. 2013, 96, 458–463. [Google Scholar] [CrossRef]
- Surdyka, N.D.; Pantano, C.G.; Kim, S.H. Environmental effects on initiation and propagation of surface defects on silicate glasses: Scratch and fracture toughness study. Appl. Phys. A 2014, 116, 519–528. [Google Scholar] [CrossRef]
- He, H.; Qian, L.; Pantano, C.G.; Kim, S.H. Mechanochemical Wear of Soda Lime Silica Glass in Humid Environments. J. Am. Ceram. Soc. 2014, 97, 2061–2068. [Google Scholar] [CrossRef]
- Jiang, L.; Wang, Y.; Mohagheghian, I.; Li, X.; Guo, X.; Li, L.; Dear, J.P.; Yan, Y. Subcritical crack growth and lifetime prediction of chemically strengthened aluminosilicate glass. Mater. Des. 2017, 122, 128–135. [Google Scholar] [CrossRef]
- Amma, S.-I.; Luo, J.; Kim, S.H.; Pantano, C.G. Effect of glass composition on the hardness of surface layers on aluminosilicate glasses formed through reaction with strong acid. J. Am. Ceram. Soc. 2018, 101, 657–665. [Google Scholar] [CrossRef]
- Seaman, J.H.; Lezzi, P.J.; Blanchet, T.A.; Tomozawa, M. Degradation of ion-exchange strengthened glasses due to surface stress relaxation. J. Non Cryst. Solids 2014, 403, 113–123. [Google Scholar] [CrossRef]
- Pilkington, L.A. Manufacture of Flat Glass. US Patent 2,911,759, 10 11 1959. [Google Scholar]
- Pilkington, L.A. Manufacture of Flat Glass. US Patent 3,222,154, 7 12 1965. [Google Scholar]
- Pilkington, L.A.B. Review Lecture: The Float Glass Process. Proc. R. Soc. Lond. Ser. A Math. Phys. Sci. 1969, 314, 1–25. [Google Scholar]
- Goodman, O.; Derby, B. The mechanical properties of float glass surfaces measured by nanoindentation and acoustic microscopy. Acta Mater. 2011, 59, 1790–1799. [Google Scholar] [CrossRef]
- Li, X.; Jiang, L.; Zhang, X.; Yan, Y. Influence of residual compressive stress on nanoindentation response of ion-exchanged aluminosilicate float glass on air and tin sides. J. Non Cryst. Solids 2014, 385, 1–8. [Google Scholar] [CrossRef]
- Shabanov, N.S.; Rabadanov, K.S.; Suleymanov, S.I.; Amirov, A.M.; Isaev, A.B.; Sobola, D.S.; Murliev, E.K.; Asvarova, G.A. Water-soluble copper ink for the inkjet fabrication of flexible electronic components. Materials 2021, 14, 2218. [Google Scholar] [CrossRef]
- Li, X.; Jiang, L.; Li, L.; Yan, Y. Effects of HF etching on nanoindentation response of ion-exchanged aluminosilicate float glass on air and tin sides. J. Mater. Sci. 2017, 52, 4367–4377. [Google Scholar] [CrossRef]
- Li, X.; Jiang, L.; Wang, Y.; Mohagheghian, I.; Dear, J.P.; Li, L.; Yan, Y. Correlation between K+-Na+ diffusion coefficient and flexural strength of chemically tempered aluminosilicate glass. J. Non Cryst. Solids 2017, 471, 72–81. [Google Scholar] [CrossRef]
- Kishii, T. Surface stress meters utilising the optical waveguide effect of chemically tempered glasses. Opt. Lasers Eng. 1983, 4, 25–38. [Google Scholar] [CrossRef]
- ISO 14577:2007. Metallic Materials—Instrumented Indentation Test for Hardness and Materials Parameters in: Part 4: Test Method for Metallic and Non-Metallic Coatings; International Organization for Standardization: Geneva, Switzerland, 2007. [Google Scholar]
- Davis, K.M.; Tomozawa, M. An infrared spectroscopic study of water-related species in silica glasses. J. Non Cryst. Solids 1996, 201, 177–198. [Google Scholar] [CrossRef]
- Walrafen, G.E.; Samanta, S.R. Infrared absorbance spectra and interactions involving OH groups in fused silica. J. Chem. Phys. 1978, 69, 493–495. [Google Scholar] [CrossRef]
- Yanagisawa, N.; Fujimoto, K.; Nakashima, S.; Kurata, Y.; Sanada, N. Micro FT-IR study of the hydration-layer during dissolution of silica glass. Geochim. Cosmochim. Acta 1997, 61, 1165–1170. [Google Scholar] [CrossRef]
- Amma, S.-I.; Luo, J.; Pantano, C.G.; Kim, S.H. Specular reflectance (SR) and attenuated total reflectance (ATR) infrared (IR) spectroscopy of transparent flat glass surfaces: A case study for soda lime float glass. J. Non Cryst. Solids 2015, 428, 189–196. [Google Scholar] [CrossRef]
- Casey, W.H.; Bunker, B.C. Leaching of mineral and glass surfaces during dissolution. Rev. Mineral. 1990, 23, 397–426. [Google Scholar]
- Bunker, B.C. Molecular mechanisms for corrosion of silica and silicate glasses. J. Non Cryst. Solids 1994, 179, 300–308. [Google Scholar] [CrossRef]
- Cailleteau, C.; Angeli, F.; Devreux, F.; Gin, S.; Jestin, J.; Jollivet, P.; Spalla, O. Insight into silicate-glass corrosion mechanisms. Nat. Mater. 2008, 7, 978. [Google Scholar] [CrossRef] [PubMed]
- Ezz-Eldin, F.; Abd-Elaziz, T.; Elalaily, N. Effect of dilute HF solutions on chemical, optical, and mechanical properties of soda–lime–silica glass. J. Mater. Sci. 2010, 45, 5937–5949. [Google Scholar] [CrossRef]
- Amma, S.I.; Kim, S.H.; Pantano, C.G. Analysis of Water and Hydroxyl Species in Soda Lime Glass Surfaces Using Attenuated Total Reflection (ATR)-IR Spectroscopy. J. Am. Ceram. Soc. 2016, 99, 128–134. [Google Scholar] [CrossRef]
- Wang, M.; Jiang, L.; Li, X.; Liu, J.; Li, J.; Yan, Y. Structure and mechanical response of chemically strengthened aluminosilicate glass under different post-annealing conditions. J. Non Cryst. Solids 2021, 554, 120620. [Google Scholar] [CrossRef]
- Ziemath, E.C.; Saggioro, B.Z.; Fossa, J.S. Physical properties of silicate glasses doped with SnO2. J. Non Cryst. Solids 2005, 351, 3870–3878. [Google Scholar] [CrossRef]
- Geotti-Bianchini, F.; Verita, M.; Guadagnino, E. Chemical characterization of the bottom side of green float glasses. Glass Sci. Technol. Frankf. Am Main 1995, 68, 251. [Google Scholar]
- Gurney, C.; Pearson, S. The Effect of the Surrounding Atmosphere on the Delayed Fracture of Glass. Proc. Phys. Soc. 2002, 62, 469. [Google Scholar] [CrossRef]
- Mackenzie, J.D.; Wakaki, J. Effects of ion exchange on the Young’s modulus of glass. J. Non Cryst. Solids 1980, 1, 385–390. [Google Scholar] [CrossRef]
- Lavers, C.R.; Ault, B.J.; Wilkinson, J.S. Characterization of secondary silver ion exchange in potassium-ion-exchanged glass waveguides. J. Phys. D Appl. Phys. 1994, 27, 235. [Google Scholar] [CrossRef]
- Ohkawa, H.; Yamanaka, K.; Saiki, H.; Nakagawa, A.; Fukawa, M.; Ishimaru, N. 63.4L: Late-News Paper: New Technology for Thinner Cover Glass Substrates: Improvement of Surface Strength by Polishing after Chemical Strengthening. SID Symp. Dig. Tech. Pap. 2013, 44, 885–887. [Google Scholar] [CrossRef]
- Guo, X.; Pivovarov, A.L.; Smedskjaer, M.M.; Potuzak, M.; Mauro, J.C. Non-conservation of the total alkali concentration in ion-exchanged glass. J. Non Cryst. Solids 2014, 387, 71–75. [Google Scholar] [CrossRef]
- Ciccotti, M. Stress-corrosion mechanisms in silicate glasses. J. Phys. D Appl. Phys. 2009, 42, 214006–214023. [Google Scholar] [CrossRef]
- Wiederhorn, S.M.; Fett, T.; Rizzi, G.; Hoffmann, M.J.; Guin, J.P. The effect of water penetration on crack growth in silica glass. Eng. Fract. Mech. 2013, 100, 3–16. [Google Scholar] [CrossRef]






| Oxide | SiO2 | Al2O3 | MgO | Na2O | K2O | CaO | Fe2O3 | Others |
|---|---|---|---|---|---|---|---|---|
| Wt. % | 63.5 | 5.8 | 10.8 | 13.2 | 5.9 | 0.3 | 0.1 | 0.4 |
| Ion Exchange Time (h) | CS (MPa) | DOL (μm) | ||
|---|---|---|---|---|
| Air Side | Tin Side | Air Side | Tin Side | |
| 1 | 747 ± 20 | 770 ± 20 | 15 ± 2 | 14 ± 2 |
| 12 | 710 ± 20 | 718 ± 20 | 43 ± 2 | 40 ± 2 |
Publisher’s Note: MDPI stays neutral with regard to jurisdictional claims in published maps and institutional affiliations. |
© 2021 by the authors. Licensee MDPI, Basel, Switzerland. This article is an open access article distributed under the terms and conditions of the Creative Commons Attribution (CC BY) license (https://creativecommons.org/licenses/by/4.0/).
Share and Cite
Li, X.; Jiang, L.; Liu, J.; Wang, M.; Li, J.; Yan, Y. Insight into the Interaction between Water and Ion-Exchanged Aluminosilicate Glass by Nanoindentation. Materials 2021, 14, 2959. https://doi.org/10.3390/ma14112959
Li X, Jiang L, Liu J, Wang M, Li J, Yan Y. Insight into the Interaction between Water and Ion-Exchanged Aluminosilicate Glass by Nanoindentation. Materials. 2021; 14(11):2959. https://doi.org/10.3390/ma14112959
Chicago/Turabian StyleLi, Xiaoyu, Liangbao Jiang, Jiaxi Liu, Minbo Wang, Jiaming Li, and Yue Yan. 2021. "Insight into the Interaction between Water and Ion-Exchanged Aluminosilicate Glass by Nanoindentation" Materials 14, no. 11: 2959. https://doi.org/10.3390/ma14112959
APA StyleLi, X., Jiang, L., Liu, J., Wang, M., Li, J., & Yan, Y. (2021). Insight into the Interaction between Water and Ion-Exchanged Aluminosilicate Glass by Nanoindentation. Materials, 14(11), 2959. https://doi.org/10.3390/ma14112959
