δ-Lactones—A New Class of Compounds That Are Toxic to E. coli K12 and R2–R4 Strains
Abstract
1. Introduction
2. Materials and Methods
2.1. Microorganisms and Media
2.2. Experimental Chemistry
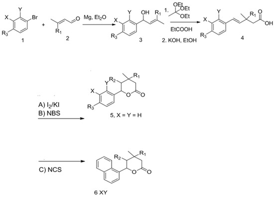
2.3. General Procedure for the Synthesis of Lactones
2.3.1. Product 5a 5-Chloro-4-Methyl-6-Phenyltetrahydro-2H-Pyran-2-One
2.3.2. Product 5b 5-Bromo-4-Methyl-6-Phenyltetrahydro-2H-Pyran-2-One
2.3.3. Product 5c 5-Chloro-4,4-Dimethyl-6-Phenyltetrahydro-2H-Pyran-2-One
2.3.4. Product 5d 5-Bromo-4,4-Dimethyl-6-Phenyltetrahydro-2H-Pyran-2-One
2.3.5. Product 5e 5-Chloro-4-Methyl-6-(4-Fluorophenyl)-Tetrahydro-2H-Pyran-2-One
2.3.6. Product 5f. 5-Bromo-4-Methyl-6-(4-Fluorophenyl)-Tetrahydro-2H-Pyran-2-One
2.3.7. Product 5g. 5-Iodo-4-Methyl-6-(4-Fluorophenyl)-Tetrahydro-2H-Pyran-2-One
2.3.8. Product 5h. 5-chloro-4,4-Dimethyl-6-(4-Fluorophenyl)-Tetrahydro-2H-Pyran-2-One
2.3.9. Product 5i 5-Bromo-4,4-Dimethyl-6-(4-Fluorophenyl)-Tetrahydro-2H-Pyran-2-One
2.3.10. Product 5j. 5-Iodo-4,4-Dimethyl-6-(4-Fluorophenyl)-Tetrahydro-2H-Pyran-2-One
2.3.11. Product 6a 5-Chloro-4-Methyl-6-Naphtyltetrahydro-2H-Pyran-2-One
2.3.12. Product 6b. 5-Bromo-4-Methyl-6-Naphtyltetrahydro-2H-Pyran-2-One
2.3.13. Product 6c 5-Iodo-4-Methyl-6-Naphtyltetrahydro-2H-Pyran-2-One
2.3.14. Product 6d. 5-Chloro-4,4-Dimethyl-6-Naphtyltetrahydro-2H-Pyran-2-One
2.3.15. Product 6e. 5-Bromo-4,4-Dimethyl-6-Naphtyltetrahydro-2H-Pyran-2-One
2.3.16. Product 6f. 5-Iodo-4,4-Dimethyl-6-Naphtyltetrahydro-2H-Pyran-2-One
2.4. Cytotoxicity Study of Bacterial Cells—Application of MIC and MBC Tests
2.5. Isolation Plasmids DNA from Bacterial K12 and R2–R4 Strains
2.5.1. Interaction of the Plasmid DNA from K12 and R4 Strains with Peptones
2.5.2. Interaction of the Plasmid DNA from K12 and R4 Strains with Selected Antibiotics
2.6. Cleavage of Plasmid DNA by Application of Fpg Glycosylases in Bacterial Cells
2.7. Cleavage of Plasmid DNA by Fpg Protein Modified by Selected Antibiotics
2.8. Statistical Analysis
3. Results
3.1. Chemistry
3.2. Toxicity of Tested Compounds
3.3. Modification of Plasmid DNA Isolated from E. coli R2–R4 Strains with Tested Lactones
4. Discussion
5. Conclusions
- Lactones are able to modify all strains of E. coli (R2–R4) and their plasmid DNA, and further, they also change the spatial structure of the LPS contained in their cell membrane.
 - We found that among the analyzed model strains of E. coli, the R4 type strain was the most sensitive, which is related to the length of its LPS.
 - The interaction of the analyzed lactones with the cell membrane of the K12 strain indicates differences in the O-antigen and the core of the truncated oligosaccharide compared to the analyzed R-type strains, which may play an important role in the cellular response to charged compounds.
 - The toxicity of aromatic groups together with alkyl substituents depends on their interaction with the membrane, which can become involved in cell wall structures and change their hydrophobicity.
 - Changes in the structure of the bacterial membrane and disorders of its integrity may result in changes in the bacterial response to other biologically active compounds, such as antibiotics.
 - The tested lactones show a different effect in the MIC and MBC tests, which is strongly correlated with the spherical factor of functional groups in the form of substituents with short-chain alkyl in the structure of the analyzed compounds [5,6,7,8,9,10,11]. The results of our new experiments are important for understanding the biological properties of the lactones being tested as a function of potential new antibiotics and their toxic effects on Gram-negative bacteria in the face of increasing drug resistance and epidemic infections.
 - The δ-lactone group plays a key role in the interaction with other biomolecules (enzymes and receptors), which results in the observed biological activity of the analyzed Fpg protein after digestion of bacterial DNA.
 - The δ-lactone compounds containing fluorine in the substituent structure turned out to be the most cytotoxic for bacterial cells in relation to other analyzed lactones.
 - The analyzed lactones are more cytotoxic in the model bacterial cells used for the research than the antibiotics ciprofloxacin, bleomycin, and cloxacillin used. After the modification of the bacterial DNA with the analyzed antibiotics, the degree of damage to the DNA bases recognized by the Fpg protein is much lower than after the use of the analyzed lactones. In addition, the antibiotics used in the MIC and MBC tests show higher values in micrograms per millimeter than the analyzed lactones, which proves their lower effectiveness and cytotoxicity on the bacterial cells used.
 
Supplementary Materials
Author Contributions
Funding
Institutional Review Board Statement
Informed Consent Statement
Data Availability Statement
Acknowledgments
Conflicts of Interest
Compliance with Ethical Standards
Abbreviations
| MIC | minimum inhibitory concentration | 
| MBC | minimum bactericidal concentration | 
| oc | open circle | 
| ccc | covalently closed circle | 
References
- Xu, X.-L.; Li, Z. Catalytic Redox Chain Ring Opening of Lactones with Quinones To Synthesize Quinone-Containing Carboxylic Acids. Org. Lett. 2019, 21, 5078–5081. [Google Scholar] [CrossRef] [PubMed]
 - Lee, J.W.; Trinh, C.T. Towards renewable flavors, fragrances, and beyond. Curr. Opin. Biotechnol. 2020, 61, 168–180. [Google Scholar] [CrossRef] [PubMed]
 - Gamil, I.; Khatteb, A.E.N.; Shaaban, M. Synthetic approachtoward cis-disubtituted γ- and δ-lactones through enantioselective dialkylzinc addition: Application to the synthesis of opticallyactiveflavors and fragrances. Tetrahedron 2012, 68, 5779–5784. [Google Scholar]
 - Gaudin, J.M. Enantioselective perception of chiralodorants. Tetrahedron Asymmetry 2003, 14, 1–42. [Google Scholar]
 - Kowalczyk, P.; Madej, A.; Paprocki, D.; Szymczak, M.; Ostaszewski, R. Coumarin Derivatives as New Toxic Compounds to Selected K12, R1–R4 E. coli Strains. Materials 2020, 13, 2499. [Google Scholar] [CrossRef]
 - Kowalczyk, P.; Trzepizur, D.; Szymczak, M.; Skiba, G.; Kramkowski, K.; Ostaszewski, R. 1,2-Diarylethanols—A New Class of Compounds That Are Toxic to E. coli K12, R2–R4 Strains. Materials 2021, 14, 1025. [Google Scholar] [CrossRef]
 - Kowalczyk, P.; Madej, A.; Szymczak, M.; Ostaszewski, R. Alpha-Amidoamids as New Replacements of Antibiotics—Research on the Chosen K12, R2–R4 E. coli Strains. Materials 2020, 13, 5169. [Google Scholar] [CrossRef]
 - Kowalczyk, P.; Borkowski, A.; Czerwonka, G.; Cłapa, T.; Cieśla, J.; Misiewicz, A.; Borowiec, M.; Szala, M. The microbial toxicity of quaternary ammonium ionic liquids is dependent on the type of lipopolysaccharide. J. Mol. Liq. 2018, 266, 540–547. [Google Scholar] [CrossRef]
 - Borkowski, A.; Kowalczyk, P.; Czerwonka, G.; Cieśla, J.; Cłapa, T.; Misiewicz, A.; Szala, M.; Drabik, M. Interaction of quaternary ammonium ionic liquids with bacterial membranes—Studies with Escherichia coli R1–R4-type lipopolysaccharides. J. Mol. Liq. 2017, 246, 282–289. [Google Scholar] [CrossRef]
 - Amor, K.; Heinrichs, D.E.; Frirdich, E.; Ziebell, K.; Johnson, R.P.; Whitfield, C. Distribution of Core Oligosaccharide Types in Lipopolysaccharides from Escherichia coli. Infect. Immun. 2000, 68, 1116–1124. [Google Scholar] [CrossRef]
 - Maciejewska, A.; Kaszowska, M.; Jachymek, W.; Lugowski, C.Z.; Lukasiewicz, J. Lipopolysaccharide-Linked Enterobacterial Common Antigen (ECA LPS) Occurs in Rough Strains of Escherichia coli R1, R2, and R4. Int. J. Mol. Sci. 2020, 21, 6038. [Google Scholar] [CrossRef]
 - Udaya, S.N.; Chaitanya, K.; Prasad, M.V.S.; Veeraiah, V.; Veeraiah, A. Synthesis and Molecular Descriptor Characterization of Novel 4-Hydroxy-chromene-2-one Derivatives as Antimicrobial Agents. Molecules 2009, 14, 1495–1512. [Google Scholar]
 - Fallarero, A.; Oinonen, P.; Gupta, S.; Blom, P.; Galkin, A.; Mohan, C.G.; Vuorela, P.M. Inhibition of acetylcholinesterase by coumarins: The case of coumarin 106. Pharm. Res. 2008, 58, 215–221. [Google Scholar] [CrossRef] [PubMed]
 - Fallareroa, A.; Oinonenb, P.; Gupta, S.; Bloma, P.; Galkine, A.; Mohand, C.G. Multifunctional coumarin derivatives: Monoamineoxidase B (MAO-B) inhibition, anti-b-amylo-id (Ab) aggregation and metal chelation properties against Alzheimer’s disease. Bioorganic Med. Chem. 2015, 25, 508–513. [Google Scholar]
 - Sharad, G.; Jadhav, R.J.; Meshram, D.S.; Gacche, G.R.N. Inhibition of growth of Helicobacter pylori and its urease by coumarin derivatives: Molecular docking analysis. J. Pharm. Res. 2013, 7, 705–711. [Google Scholar]
 - Yokoe, H.; Yoshida, M.; Shishido, K. Total synthesis of (-)-Xanthatin. Tetrahedron Lett. 2008, 49, 3504–3506. [Google Scholar] [CrossRef]
 - Matsuo, K.; Ohtsuki, K.; Yoshikawa, T.; Shisho, K.; Yokotani-Tomita, K.; Shinto, M. Total synthesis of xanthanolides. Tetrahedron 2010, 66, 8407–8419. [Google Scholar] [CrossRef]
 - Goven, N.; Jakupovic, J.; Topal, S. Sesquiterpene lactones with antibacterial activity from Tanacetum argyrophyllum ar. Argyrophyllum. Phytochemistry 1990, 29, 1467–1469. [Google Scholar]
 - Kumaraswamy, G.; Markondaiah, B. Proline-catalyzed stereoselective synthesis of natural and unnatural nocardiolactone. Tetrahedron 2008, 64, 5861–5865. [Google Scholar] [CrossRef]
 - Ozcelik, B.; Gürbüz, I.; Karaoglu, T.; Yeşiloda, E. Antiviral and antimicrobial activities of three sesquiterpene lactones from Centaurea solstitialis L. ssp. Solstitialis. Microbiol. Res. 2009, 164, 545–552. [Google Scholar] [CrossRef]
 - Bharati, A.; Sabat, S.C. A spctrophotometric assay for quantification of artemisinin. Talanta 2010, 82, 1033–1037. [Google Scholar] [CrossRef] [PubMed]
 - Kamizela, A.; Gawdzik, B.; Urbaniak, M.; Lechowicz, Ł.; Białonska, A.; Kutniewska, S.E.; Gonciarz, W.; Chmiela, M. New γ-Halo-δ-lactones and δ-Hydroxy-γ-lactones with Strong Cytotoxic Activity. Molecules 2019, 24, 1875. [Google Scholar] [CrossRef] [PubMed]
 - Kamizela, A.; Gawdzik, B.; Urbaniak, M.; Lechowicz, Ł.; Białonska, A.; Kutniewska, S.E.; Gonciarz, W.; Chmiela, M. Simple stereoselective version of the Claisen rearrangement leading to trans-trisubstituted olefinic bonds. Synthesis of squalene. Chem. Open 2018, 7, 543–550. [Google Scholar]
 - Huang, M.; Xie, S.S.; Jiang, N.; Lan, J.S.; Kong, L.Y.; Wang, X.B. FT-IR, FT-Raman and UV–Vis spectra and DFT calculations. Spectrochimica Acta Part A. Mol. Biomol. Spectrosc. 2012, 97, 728–736. [Google Scholar]
 - Nibret, E.; Wink, M. Volatile components of four Ethiopian Artemisia species extracts and their in vivo antitrypanosomal and cytotoxic activities. Phytomedicine 2010, 17, 369–374. [Google Scholar] [CrossRef] [PubMed]
 - Woerdenbag, H.J.; Luers, J.F.J.; van Uden, W.; Pras, N.; Malingre, T.M.; Alfermann, A.W. Production of the new antimalarial drug artemisinin in shoot cultures of Artemisia annua L. Plant Cell Tiss. Org. 1993, 32, 247–257. [Google Scholar] [CrossRef]
 - Krishna, S.; Uhlemann, A.; Haynes, R. Artemisinins: Mechanisms of action and potential for resistance. Drug Resist. Update 2004, 7, 233–244. [Google Scholar] [CrossRef]
 - Berges, C.; Fuchs, D.; Opel, G.; Daniel, V.; Naujokat, C. Helenalin suppresses essential immune functions of activated CD4+ T cells by multiple mechanisms. Mol. Immun. 2009, 46, 2892–2901. [Google Scholar] [CrossRef]
 - Schmidt, T.; Brun, R.; Willuhn, G.; Khalid, S. Anti-trypanosomal activity of helenalin and some structurally related sesquiterpene lactones. Planta Med. 2002, 68, 750–751. [Google Scholar] [CrossRef]
 - Schmidt, T.J.; Nour, A.M.M.; Khalid, S.A.; Kaiser, M.; Brun, R. Quantitative structure—antiprotozoal activity relationships of sesquiterpene lactones. Molecules 2009, 14, 2063–2076. [Google Scholar] [CrossRef]
 - Sulsen, V.P.; Frank, F.M.; Cazorla, S.I.; Anesini, C.A.; Machiodi, E.L.; Freixa, B.; Vila, R.; Muschietti, L.V.; Martino, V.S. Trypanocidal and leishmanicidal activities of sesquiterpene lactones from Ambrosia tenuifolia Sprengel (Asteraceae). Antimicrob. Agents Chemother 2008, 52, 2415–2419. [Google Scholar] [CrossRef] [PubMed]
 - Brenna, E.; Fuganti, C.; Serra, S. Enantioselective perception of chiral odorants. Tetrahedron Asymmetr. 2003, 14, 1–42. [Google Scholar] [CrossRef]
 - Mosandl, A.; Gunther, C. Stereoisomeric flavor compounds. 20.l Structure and properties of γ-lactone enantiomers. J. Agric. Food Chem. 1989, 37, 413–418. [Google Scholar] [CrossRef]
 - Obara, R.; Szumny, A.; Wzorek, A.; Szmigiel-Pieczewska, M.; Białońska, A.; Ciunik, Z.; Wawrzeńczyk, C. Lactones 31. Synthetic odoriferous unsaturated γ-lactones. Flavour Fragr. J. 2008, 23, 416–425. [Google Scholar] [CrossRef]
 - Kiyota, H.; Higashi, E.; Koike, T.; Oritani, T. Syntheses and odor descriptions of jasmine lactone and cis-jasmone analogues bearing cyclopropane moieties. Flavour Fragr. J. 2001, 16, 175–179. [Google Scholar] [CrossRef]
 - Scotter, M.J.; Roberts, D.P.T.; Rees, G.O. Development and single—laboratory validation of an HPLC method for the determination of coumarin in foodstuffs using internal standardization and solid—phase extraction cleanup. Anal. Methods 2011, 3, 414–419. [Google Scholar] [CrossRef]
 - Han, J.; Sun, X.; Wang, X.; Wang, Q.; Hou, S.; Song, X.; Wei, Y.; Wang, R.; Ji, W. Covalent Organic Framework as a Heterogeneous Ligand for the Regioselective Oxidative Heck Reaction. Org. Lett. 2020, 22, 1480–1484. [Google Scholar] [CrossRef]
 - Zhou, Y.-B.; Wang, Y.-Q.; Ning, L.-C.; Ding, Z.-C.; Wang, W.-L.; Ding, C.-K.; Li, R.-H.; Chen, Y.-J.; Zhan, Z.-P. Conjugated Microporous Polymer as Heterogeneous Ligand for Highly Selective Oxidative Heck Reaction. J. Am. Chem. Soc. 2017, 139, 3966–3969. [Google Scholar]
 - Li, R.-H.; Ding, Z.-C.; Li, C.-Y.; Chen, J.-J.; Zhou, Y.-B.; An, X.-M.; Ding, Y.-J.; Zhan, Z.-P. Thiophene-Alkyne-Based CMPs as Highly Selective Regulators for Oxidative Heck Reaction. Org. Lett. 2017, 19, 4432–4435. [Google Scholar] [CrossRef]
 - Aljamali, N.M. Review in Lactam Compounds “Methods of Preparation, Reactions, Applications, Activity”; Germany, 2018; pp. 128–141. ISBN 978-93-87905-41-2. [Google Scholar]
 - Caturvedi, D.; Chaturvedi, A.K.; Mishra, N.; Mishra, V. Efficient, One-Pot, BF3·OEt2-Mediated Synthesis of Substituted N-Aryl Lactams. Synlett 2012, 23, 2627–2630. [Google Scholar] [CrossRef]
 - Griffiths, R.J.; Burley, G.A.; Talbot, E.P.A. Transition-Metal-Free Amine Oxidation: A Chemoselective Strategy for the Late-Stage Formation of Lactams. Org. Lett. 2017, 19, 870–873. [Google Scholar] [CrossRef]
 - Schulz, S.; Hotling, S. The use of the lactone motif in chemical communication. Nat. Prod. Rep. 2015, 32, 1042–1066. [Google Scholar] [CrossRef]
 - Kozioł, A.; Mroczko, L.; Niewiadomska, M.; Lochyński, S. γ-lactones with potential biological activity. Pol. J. Natur. Sci. 2017, 32, 495–511. [Google Scholar]
 - Kamizela, A.; Gawdzik, B.; Urbaniak, M.; Lechowicz, Ł.; Białonska, A.; Gonciarz, W.; Chmiela, M. Synthesis, Characterization, Cytotoxicity, and Antibacterial Properties of trans-g-halo-d-lactones. Chem. Open 2018, 7, 543–550. [Google Scholar] [CrossRef] [PubMed]
 - Claridge, T.D.W.; Davies, S.G.; Lee, J.A.; Nicholson, R.L.; Roberts, P.M.; Russel, A.J.; Smith, A.D.; Toms, S.M. Highly (E)-Selective Wadsworth−Emmons Reactions Promoted by Methylmagnesium Bromide. Org. Lett. 2008, 10, 5437–5440. [Google Scholar] [CrossRef] [PubMed]
 - Voigtritter, K.; Ghorai, S.; Lipshutz, B.H. Rate Enhanced Olefin Cross-Metathesis Reactions: The Copper Iodide Effect. J. Org. Chem. 2011, 76, 4697–4702. [Google Scholar] [CrossRef] [PubMed]
 - Johnson, W.S.; Werthemann, L.; Bartlett, W.R.; Brocksom, T.J.; Li, T.; Faulkner, D.J.; Petersen, M.R. Simple stereoselective version of the Claisen rearrangement leading to trans-trisubstituted olefinic bonds. Synthesis of squalene. J. Am. Chem. Soc. 1970, 92, 741–743. [Google Scholar] [CrossRef]
 - Kishimoto, N.; Sugihara, S.; Mochida, K.; Fujita, T. In Vitro Antifungal and Antiviral Activities of -and ƒÂ-Lactone Analogs Utilized as Food Flavoring. Biocontrol Sci. 2005, 10, 31–36. [Google Scholar] [CrossRef]
 - Pimenta, R.S.; Silva, F.L.; Silva, J.F.M.; Morais, P.B.; Braga, D.T.; Rosa, C.A.; Corrêa, A., Jr. Biological control of Penicillium italicum, P. digitatum and P. expansum by the predacious yeast Saccharomycopsis schoenii on oranges. Braz. J. Microbiol. 2008, 39, 85–90. [Google Scholar] [CrossRef][Green Version]
 - Wink, D.A.; Laval, J. The Fpg protein, a DNA repair enzyme, is inhibited by the biomediator nitric oxide in vitro and in vivo. Carcinogenisis 1994, 15, 2125–2129. [Google Scholar] [CrossRef]
 - Møller, P.; Jantzen, K.; Løhr, M.; Andersen, M.H.; Jensen, D.M.; Roursgaard, M.; Danielsen, P.H.; Jensen, A.; Loft, S. Searching for assay controls for the Fpg- and hOGG1-modified comet assay. Mutagenesis 2017, 33, 9–19. [Google Scholar] [CrossRef] [PubMed]
 - Dang, W.; Tong, C.; Yang, Y.; Liu, Y.; Liu, B.; Zhou, H.; Wang, W. A cascade amplification platform assisted with DNAzyme for activity analysis, kinetic study and effector screening of Fpg in vitro. Analyst 2019, 144, 1731–1740. [Google Scholar] [CrossRef] [PubMed]
 - Firth-Clark, S.; Willems, H.M.G.; Williams, A.; Harris, W. Generation and Selection of Novel Estrogen Receptor Ligands Using. The De Novo Structure-Based Design Tool, Skel Gen. J. Chem. Inf. Model. 2006, 46, 642–647. [Google Scholar] [CrossRef] [PubMed]
 - Girard, C.; Fayolle, K.; Kerros, S.; Leriche, F. Flow cytometric assessment of the antimicrobial properties of an essential oil mixture against Escherichia coli. J. Anim. Feed. Sci. 2019, 28, 187–198. [Google Scholar] [CrossRef]
 - Wang, A.G.; Xia, T.; Chu, Q.L.; Zhang, M.; Liu, F.; Chen, X.M.; Yang, K.D. Effects of fluoride on lipid peroxidation, DNA damage and apoptosis in human embryo hepatocytes. Biomed. Environ. Sci. 2004, 17, 217–222. [Google Scholar]
 - Shanthakumari, D.; Srinivasalu, S.; Subramanian, S. Effect of fluoride intoxication on lipidperoxidation and antioxidant status in experimental rats. Toxicology 2004, 204, 219–228. [Google Scholar] [CrossRef]
 - Shan, K.R.; Qi, X.L.; Long, Y.G.; Nordberg, A.; Guan, Z.Z. Decreased nicotinic receptors in PC12 cells and rat brains influenced by fluoride toxicity--a mechanism relating to a damage at the level in post-transcription of the receptor genes. Toxicology 2004, 200, 169–177. [Google Scholar] [CrossRef]
 - Ha, J.; Chu, Q.; Wang, A.; Xia, T.; Yang, K. Effects on DNA damage and apoptosis and p53 protein expression induced by fluoride in human embryo hepatocytes. Wei Sheng Yan Jiu= J. Hyg. Res. 2004, 33, 400–402. [Google Scholar]
 - Jeng, J.H.; Hsieh, C.C.; Lan, W.H.; Chang, M.C.; Lin, S.K.; Hahn, L.J.; Kuo, M.Y. Cytotoxicity of sodium fluoride on human oral mucosal fibroblasts and its mechanisms. Cell Biol. Toxicol. 1998, 14, 383–389. [Google Scholar] [CrossRef]
 - Al-Harthy, T.; Zoghaib, W.; Abdel-Jalil, R. Importance of Fluorine in Benzazole Compounds. Molecules 2020, 25, 4677. [Google Scholar] [CrossRef]
 - Gaylord, N.G.; Becker, E.I. The reaction of grignard reagents with 3, 4-epoxy-1-butene. I. 1-napthylmagnesium bromide. J. Org. Chem. 1950, 15, 305–316. [Google Scholar] [CrossRef]
 - Prost, M.E.; Prost, R. Basic parameters of evaluation of the effectiveness of antibiotic therapy. Ophthatherapy 2017, 4, 233–236. [Google Scholar] [CrossRef]
 - Virella, G. Mikrobiologia i choroby zakaźne. Wrocław. In Wydawnictwo Medyczne Urban & Partner; 2000; pp. 183–185. ISBN 83-85842-59-4. [Google Scholar]
 - Sabour, S.; Ghorbani, Z. Developmental fluoride neurotoxicity: Clinical importance versus statistical significance. Environ. Health Perspect 2013, 121, a70. [Google Scholar] [CrossRef][Green Version]
 - Choi, A.L.; Grandjean, P.; Sun, G.; Zhang, Y. Developmental fluoride neurotoxicity: Choi et al. Respond. Environ. Health Perspect. 2013, 121, a70. [Google Scholar] [CrossRef]
 - Zhang, Y.; Sun, X.C.; Sun, G.F.; Liu, S.; Wang, L. DNA damage induced by fluoride in rat osteoblasts. Fluoride 2006, 39, 191–194. [Google Scholar]
 - Ranjan, R.; Swarup, D.; Patra, R.C. Oxidative stress indices in erythrocytes, liver, and kidneys of fluoride-exposed rabbits. Fluoride 2009, 42, 88–93. [Google Scholar]
 - Błaszczyk, I.; Grucka-Mamczar, E.; Kasperczyk, S.; Birkner, E. Influence of methionine upon the concentration of malondialdehyde in the tissues and blood of rats exposed to sodium fluoride. Biol. Trace Elem. Res. 2009, 129, 229–238. [Google Scholar] [CrossRef] [PubMed]
 - Chlubek, D. Fluoride and oxidative stress. Fluoride 2003, 36, 217–228. [Google Scholar]
 - Błaszczyk, I.; Grucka-Mamczar, E.; Kasperczyk, S.; Birkner, E. Influence of fluoride on rat kidney antioxidant system: Effects of methionine and vitamin E. Biol. Trace Elem. Res. 2008, 121, 51–59. [Google Scholar] [CrossRef] [PubMed]
 - Wang, J.; Guo, Y.; Liang, Z.; Hao, J. Amino acid composition and histopathology of goat teeth in an industrial fluoride polluted area. Fluoride 2003, 36, 177–184. [Google Scholar]
 - Ma, J.; Li, M.; Song, Y.; Tu, J.; Liu, F.; Liu, K. Serum osteocalcin and calcitonin in adult males with different fluoride exposures. Fluoride 2009, 42, 133–136. [Google Scholar]
 - Dote, T.; Kono, K.; Usuda, K.; Nishiura, H.; Tagawa, T. Acute renal damage dose response in rats to intravenous infusion of sodium fluoride. Fluoride 2000, 33, 210–217. [Google Scholar]
 - Dhar, V.; Bhatnagar, M. Indian. Physiology and toxicity of fluoride. J. Dent. Res. 2009, 20, 350–355. [Google Scholar] [CrossRef]
 - Rao, M.V.; Chawla, S.L.; Patel, N. Melatonin reduction of fluoride-induced nephrotixicity in mice. Fluoride 2009, 42, 110–116. [Google Scholar]
 - Shashi, A. In vivo studies concerning toxic effects of sodium fluoride on hepatic function in rabbits. Fluoride 2003, 36, 30–37. [Google Scholar]
 - Grucka-Mamczar, E.; Birkner, E.; Machoy, Z.; Polaniak, R.; Beck, B. The effect of sodium fluoride on activity of chosen urea cycle enzymes in rat liver. Acta Poloniae Toxicol. 2001, 9, 175–180. [Google Scholar]
 - Grucka-Mamczar, E.; Birkner, E.; Stawiarska-Pięta, B.; Duliban, H.; Polaniak, R.; Chlubek, D.; Samujło, D.; Cegłowska, A. Aktywność wybranych enzymów i stężenie amoniaku w surowicy krwi szczurów z hiperglikemią fluorkową. Ann. Acad. Med. Stetin. 2004, 50, 36–41. [Google Scholar] [PubMed]
 - Menoyo, I.; Puche, R.C.; Rigalli, A. Fluoride-induced resistance to insulin in the rat. Fluoride 2008, 41, 260–269. [Google Scholar]
 - Shivarajashankara, Y.M.; Shivashankara, A.R.; Bhat, P.G.; Rao, S.M.; Rao, S.H. Histological changes in the brain of Young fluoride-intoxicated rats. Fluoride 2002, 35, 12–21. [Google Scholar]
 - Yu, Y.; Yang, W.; Dong, Z.; Wan, C.; Zhang, J.; Liu, J.; Xiao, K.; Huang, Y.; Lu, B. Neurotransmitter and receptor changes in the brains of fetuses from areas of endemic fluorosis. Fluoride 2008, 41, 134–138. [Google Scholar]
 - Zakrzewska, H.; Udała, J. Wpływ fluorku sodu na zawartość ATP w nasieniu tryka w badaniach in vitro. Ann. Acad. Med. Stetin. 2006, 52, 109–111. [Google Scholar]
 - Al-Hiyasat, A.S.; Elbetieha, A.M.; Darmani, H. Reproductive toxic effects of ingestion of sodium fluoride in female rats. Fluoride 2000, 33, 79–84. [Google Scholar]
 - Yur, F.; Belge, F.; Mert, N.; Yoruk, I. Changes in erythrocyte parameters of fluorotic sheep. Fluoride 2003, 36, 152–156. [Google Scholar]
 - Grucka-Mamczar, E.; Birkner, E.; Zalejska-Fiolka, J.; Birkner, B.; Kasperczyk, A.; Kasperczyk, S. Stężenie magnezu, wapnia i fosforu w surowicy krwi po zatruciu ostrym i przewlekłym fluorkiem sodu. Bromat. Chem. Toksykol. 2004, 1, 53–57. [Google Scholar]
 - Gąssowska, M.; Dołęgowska, B.; Chlubek, D. Wpływ jonów fluorkowych na aktywność wymieniacza sodowo-protonowego płytek krwi—doniesienia wstępne. Ann. Acad. Med. Stetin. 2006, 52, 21–24. [Google Scholar] [PubMed]
 - Blaylock, R.L. Excitotoxicity: A possible central mechanism in fluori-deneurotoxicity. Fluoride 2004, 37, 301–314. [Google Scholar]
 










| Entry | Compound | R1 | R2 | R3 | Yield | 
|---|---|---|---|---|---|
| 1 | 5a | H | Cl | H | 84% | 
| 2 | 5b | H | Br | H | 72% | 
| 3 | 5c | Me | Cl | H | 85% | 
| 4 | 5d | Me | Br | H | 59% | 
| 5 | 5e | H | Cl | F | 81% | 
| 6 | 5f | H | Br | F | 76% | 
| 7 | 5g | H | I | F | 37% | 
| 8 | 5h | Me | Cl | F | 65% | 
| 9 | 5i | Me | Br | F | 85% | 
| 10 | 5j | Me | I | F | 60% | 
| 11 | 6a | H | Cl | – | 82% | 
| 12 | 6b | H | Br | – | 82% | 
| 13 | 6c | H | I | – | 80% | 
| 14 | 6d | Me | Cl | – | 75% | 
| 15 | 6e | Me | Br | – | 62% | 
| 16 | 6f | Me | I | – | 93% | 
| No of Samples | 1 | 2 | 3 | 4 | 5 | 6 | 7 | 8 | 9 | 10 | 11 | 12 | 13 | 14 | 15 | 16 | 17 | Type of Test | 
|---|---|---|---|---|---|---|---|---|---|---|---|---|---|---|---|---|---|---|
| K12 | * | * | * | * | * | * | *** | *** | * | ** | ** | *** | ** | *** | * | *** | ** | MIC | 
| R2 | * | * | * | * | * | * | *** | *** | * | *** | ** | *** | ** | *** | * | *** | ** | MIC | 
| R3 | * | * | * | * | * | * | *** | *** | * | ** | ** | *** | ** | *** | * | *** | ** | MIC | 
| R4 | * | * | * | * | * | * | *** | *** | * | ** | ** | *** | ** | *** | * | *** | ** | MIC | 
| K12 | * | * | * | * | * | * | ** | ** | * | *** | *** | ** | *** | ** | * | *** | *** | MBC | 
| R2 | * | * | * | * | * | * | ** | ** | * | *** | *** | ** | *** | ** | * | *** | *** | MBC | 
| R3 | * | * | * | * | * | * | ** | ** | * | *** | *** | ** | *** | ** | * | *** | * | MBC | 
| R4 | * | * | * | * | * | * | ** | ** | * | *** | *** | ** | *** | ** | * | *** | * | MBC | 
| K12 | * | * | * | * | * | * | * | * | * | ** | ** | * | ** | * | * | *** | * | MBC/MIC | 
| R2 | * | * | * | * | * | * | * | * | * | ** | ** | * | ** | * | * | *** | * | MBC/MIC | 
| R3 | * | * | * | * | * | * | * | * | * | ** | ** | * | ** | * | * | *** | * | MBC/MIC | 
| R4 | * | * | * | * | * | * | * | * | * | ** | ** | * | ** | * | * | *** | * | MBC/MIC | 
Publisher’s Note: MDPI stays neutral with regard to jurisdictional claims in published maps and institutional affiliations.  | 
© 2021 by the authors. Licensee MDPI, Basel, Switzerland. This article is an open access article distributed under the terms and conditions of the Creative Commons Attribution (CC BY) license (https://creativecommons.org/licenses/by/4.0/).
Share and Cite
Kowalczyk, P.; Gawdzik, B.; Trzepizur, D.; Szymczak, M.; Skiba, G.; Raj, S.; Kramkowski, K.; Lizut, R.; Ostaszewski, R. δ-Lactones—A New Class of Compounds That Are Toxic to E. coli K12 and R2–R4 Strains. Materials 2021, 14, 2956. https://doi.org/10.3390/ma14112956
Kowalczyk P, Gawdzik B, Trzepizur D, Szymczak M, Skiba G, Raj S, Kramkowski K, Lizut R, Ostaszewski R. δ-Lactones—A New Class of Compounds That Are Toxic to E. coli K12 and R2–R4 Strains. Materials. 2021; 14(11):2956. https://doi.org/10.3390/ma14112956
Chicago/Turabian StyleKowalczyk, Paweł, Barbara Gawdzik, Damian Trzepizur, Mateusz Szymczak, Grzegorz Skiba, Stanisława Raj, Karol Kramkowski, Rafał Lizut, and Ryszard Ostaszewski. 2021. "δ-Lactones—A New Class of Compounds That Are Toxic to E. coli K12 and R2–R4 Strains" Materials 14, no. 11: 2956. https://doi.org/10.3390/ma14112956
APA StyleKowalczyk, P., Gawdzik, B., Trzepizur, D., Szymczak, M., Skiba, G., Raj, S., Kramkowski, K., Lizut, R., & Ostaszewski, R. (2021). δ-Lactones—A New Class of Compounds That Are Toxic to E. coli K12 and R2–R4 Strains. Materials, 14(11), 2956. https://doi.org/10.3390/ma14112956
        
                                                
