Micron-Sized Monodisperse Particle LiNi0.6Co0.2Mn0.2O2 Derived by Oxalate Solvothermal Process Combined with Calcination as Cathode Material for Lithium-Ion Batteries
Abstract
1. Introduction
2. Materials and Methods
2.1. Material Preparation
2.2. Material Characterization
2.3. Electrochemical Characterization
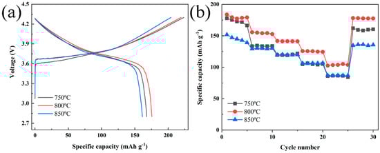
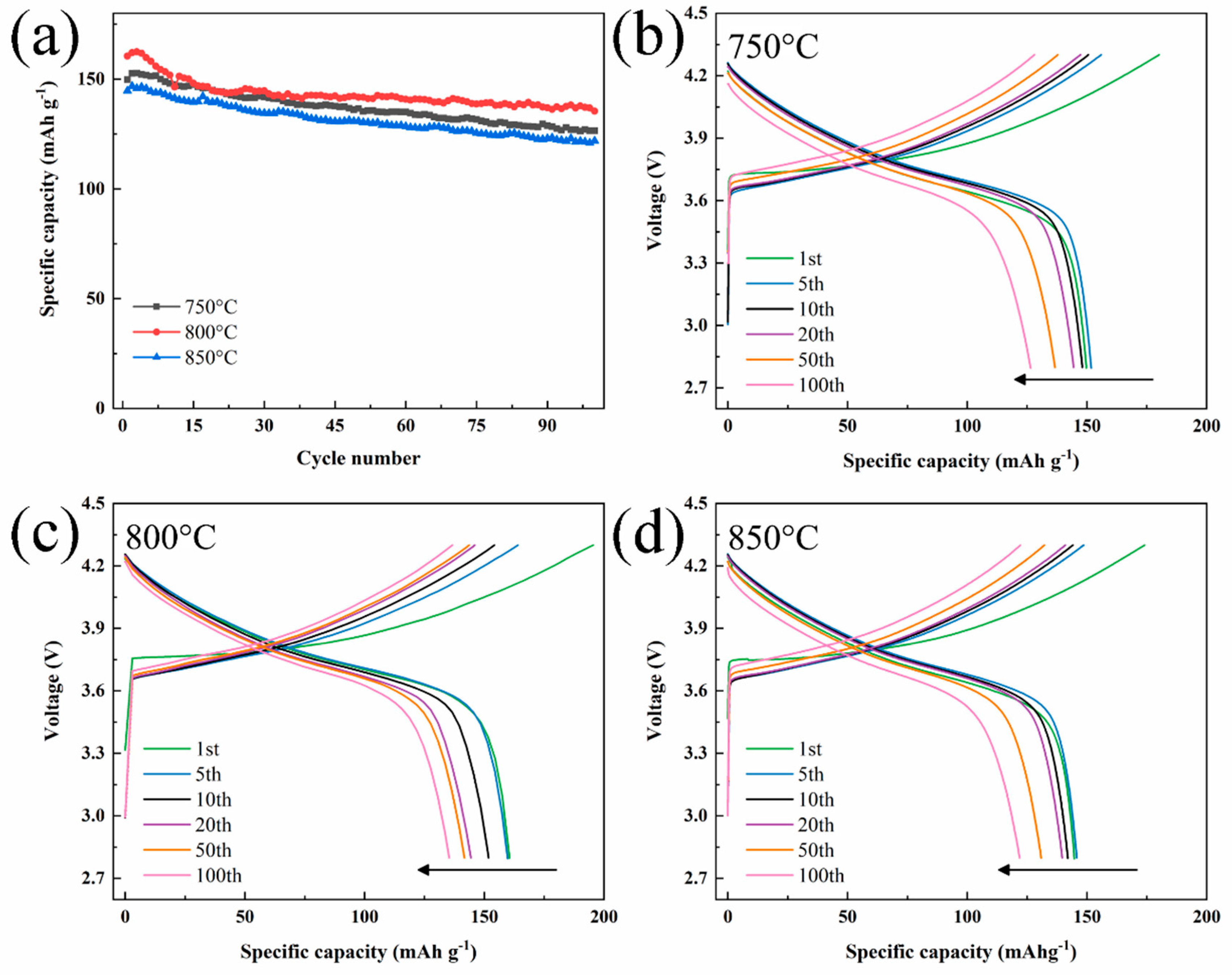
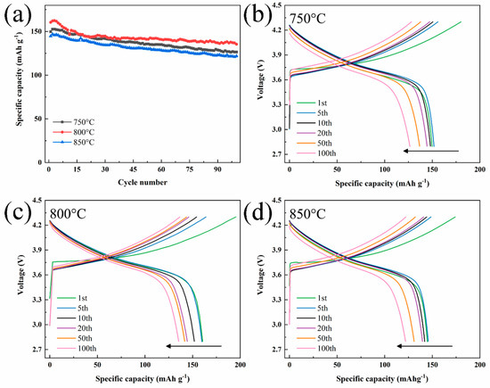
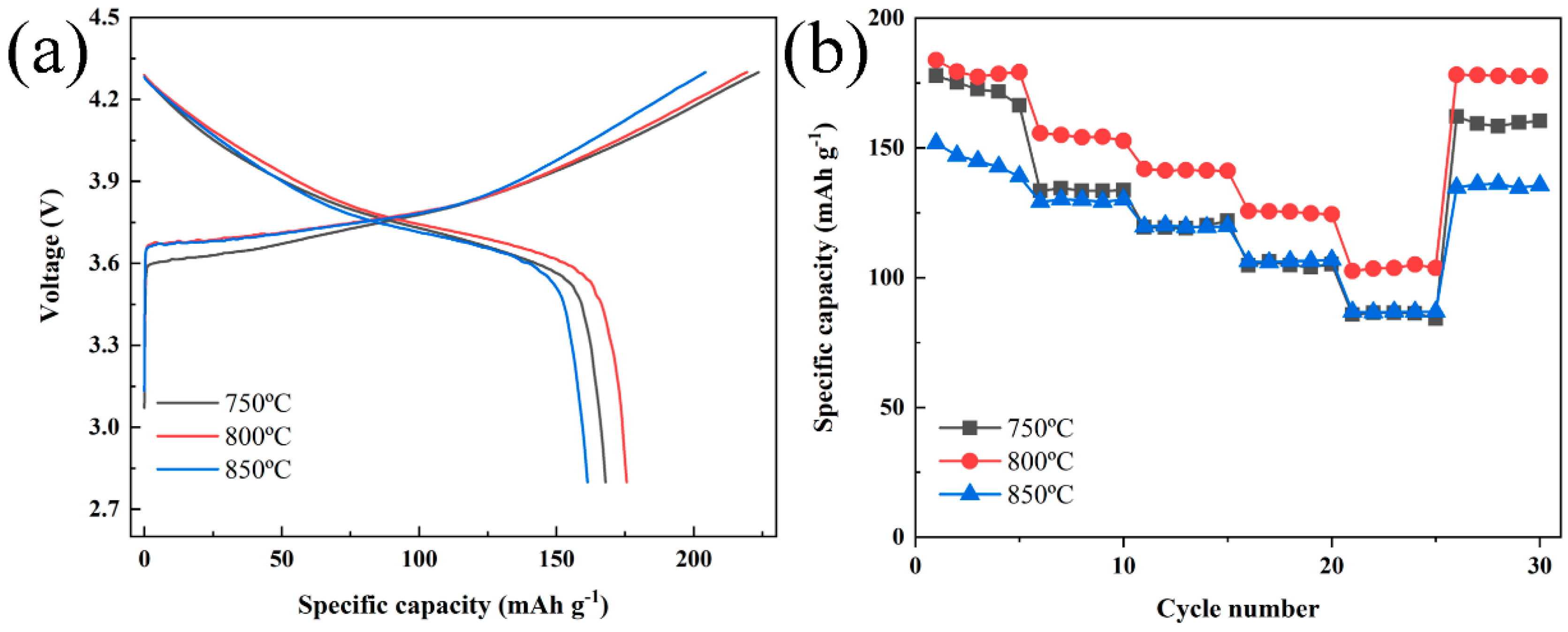
3. Results and Discussion
4. Conclusions
Supplementary Materials
Author Contributions
Funding
Institutional Review Board Statement
Informed Consent Statement
Data Availability Statement
Conflicts of Interest
References
- Goodenough, J.B. Electrochemical energy storage in a sustainable modern society. Energy Environ. Sci. 2014, 7, 14–18. [Google Scholar] [CrossRef]
- Tarascon, J.-M.; Armand, M. Issues and challenges facing rechargeable lithium batteries. Nat. Cell Biol. 2001, 414, 359–367. [Google Scholar] [CrossRef] [PubMed]
- Bianchini, M.; Roca-Ayats, M.; Hartmann, P.; Brezesinski, T.; Janek, J. Hin und zurück–die Entwicklung von LiNiO2 als Kathodenaktivmaterial. Angew. Chem. 2019, 131, 10542–10569. [Google Scholar] [CrossRef]
- Manthiram, A. Materials Challenges and Opportunities of Lithium Ion Batteries. J. Phys. Chem. Lett. 2011, 2, 176–184. [Google Scholar] [CrossRef]
- Shetti, N.P.; Dias, S.; Reddy, K.R. Nanostructured organic and inorganic materials for Li-ion batteries: A review. Mater. Sci. Semicond. Process. 2019, 104, 104684. [Google Scholar] [CrossRef]
- Ding, Y.; Mu, D.; Wu, B.; Wang, R.; Zhao, Z.; Wu, F. Recent progresses on nickel-rich layered oxide positive electrode materials used in lithium-ion batteries for electric vehicles. Appl. Energy 2017, 195, 586–599. [Google Scholar] [CrossRef]
- Xia, Y.; Zheng, J.; Wang, C.; Gu, M. Designing principle for Ni-rich cathode materials with high energy density for practical applications. Nano Energy 2018, 49, 434–452. [Google Scholar] [CrossRef]
- Myung, S.-T.; Maglia, F.; Park, K.-J.; Yoon, C.S.; Lamp, P.; Kim, S.-J.; Sun, Y.-K. Nickel-Rich Layered Cathode Materials for Automotive Lithium-Ion Batteries: Achievements and Perspectives. ACS Energy Lett. 2017, 2, 196–223. [Google Scholar] [CrossRef]
- Xu, J.; Lin, F.; Doeff, M.; Tong, W. A review of Ni-based layered oxides for rechargeable Li-ion batteries. J. Mater. Chem. A 2016, 5, 874–901. [Google Scholar] [CrossRef]
- Zhang, S.; Ma, J.; Hu, Z.; Cui, G.; Chen, L. Identifying and Addressing Critical Challenges of High-Voltage Layered Ternary Oxide Cathode Materials. Chem. Mater. 2019, 31, 6033–6065. [Google Scholar] [CrossRef]
- Noh, H.-J.; Youn, S.; Yoon, C.S.; Sun, Y.-K. Comparison of the structural and electrochemical properties of layered Li[NixCoyMnz]O2 (x = 1/3, 0.5, 0.6, 0.7, 0.8 and 0.85) cathode material for lithium-ion batteries. J. Power Sources 2013, 233, 121–130. [Google Scholar] [CrossRef]
- Jung, S.-K.; Gwon, H.; Hong, J.; Park, K.-Y.; Seo, D.-H.; Kim, H.; Hyun, J.; Yang, W.; Kang, K. Understanding the Degradation Mechanisms of LiNi0.5Co0.2Mn0.3O2 Cathode Material in Lithium Ion Batteries. Adv. Energy Mater. 2014, 4, 1300787. [Google Scholar] [CrossRef]
- Fang, R.; Miao, C.; Nie, Y.; Wang, D.; Xiao, W.; Xu, M.; Wang, C. Degradation mechanism and performance enhancement strategies of LiNixCoyAl1−x−yO2 (x ≥ 0.8) cathodes for rechargeable lithium-ion batteries: A review. Ionics 2020, 26, 3199–3214. [Google Scholar] [CrossRef]
- Sari, H.M.K.; Li, X. Controllable Cathode–Electrolyte Interface of Li[Ni0.8Co0.1Mn0.1]O2 for Lithium Ion Batteries: A Review. Adv. Energy Mater. 2019, 9, 1901597. [Google Scholar] [CrossRef]
- Liu, W.; Oh, P.; Liu, X.; Lee, M.-J.; Cho, W.; Chae, S.; Kim, Y.; Cho, J. Nickel-reiche Lithium-Übergangsmetall-Schichtverbindungen für Hochenergie-Lithiumionenakkumulatoren. Angew. Chem. 2015, 127, 4518–4536. [Google Scholar] [CrossRef]
- Ma, Y.; Li, L.; Wang, L.; Luo, R.; Xu, S.; Wu, F.; Chen, R. Effect of metal ion concentration in precursor solution on structure and electrochemical performance of LiNi0.6Co0.2Mn0.2O2. J. Alloys Compd. 2019, 778, 643–651. [Google Scholar] [CrossRef]
- Zheng, J.; Yan, P.; Estevez, L.; Wang, C.; Zhang, J.-G. Effect of calcination temperature on the electrochemical properties of nickel-rich LiNi0.76Mn0.14Co0.10O2 cathodes for lithium-ion batteries. Nano Energy 2018, 49, 538–548. [Google Scholar] [CrossRef]
- Ren, D.; Shen, Y.; Yang, Y.; Shen, L.; Levin, B.D.A.; Yu, Y.; Muller, D.A.; Abruña, H.D. Systematic Optimization of Battery Materials: Key Parameter Optimization for the Scalable Synthesis of Uniform, High-Energy, and High Stability LiNi0.6Mn0.2Co0.2O2 Cathode Material for Lithium-Ion Batteries. ACS Appl. Mater. Interfaces 2017, 9, 35811–35819. [Google Scholar] [CrossRef] [PubMed]
- Ran, Q.; Zhao, H.; Hu, Y.; Shen, Q.; Liu, W.; Liu, J.; Shu, X.; Zhang, M.; Liu, S.; Tan, M.; et al. Enhanced electrochemical performance of dual-conductive layers coated Ni-rich LiNi0.6Co0.2Mn0.2O2 cathode for Li-ion batteries at high cut-off voltage. Electrochim. Acta 2018, 289, 82–93. [Google Scholar] [CrossRef]
- Chen, Z.; Chao, D.; Lin, J.; Shen, Z. Recent progress in surface coating of layered LiNixCoyMnzO2 for lithium-ion batteries. Mater. Res. Bull. 2017, 96, 491–502. [Google Scholar] [CrossRef]
- Guo, S.; Yuan, B.; Zhao, H.; Hua, D.; Shen, Y.; Sun, C.; Chen, T.; Sun, W.; Wu, J.; Zheng, B.; et al. Dual-component LixTiO2@silica functional coating in one layer for performance enhanced LiNi0.6Co0.2Mn0.2O2 cathode. Nano Energy 2019, 58, 673–679. [Google Scholar] [CrossRef]
- Lv, Y.; Cheng, X.; Qiang, W.; Huang, B. Improved electrochemical performances of Ni-rich LiNi0.83Co0.12Mn0.05O2 by Mg-doping. J. Power Sources 2020, 450, 227718. [Google Scholar] [CrossRef]
- He, R.; Wei, A.; Zhang, L.; Li, W.; Bai, X.; Liu, Z. Studies on the electrochemical properties of nickel-rich Li1.02Ni0.6Co0.2Mn0.2O2 materials for lithium-ion batteries via cerium modifications. Solid State Ionics 2019, 337, 56–62. [Google Scholar] [CrossRef]
- Breuer, O.; Chakraborty, A.; Liu, J.; Kravchuk, T.; Burstein, L.; Grinblat, J.; Kauffman, Y.; Gladkih, A.; Nayak, P.K.; Tsubery, M.; et al. Understanding the Role of Minor Molybdenum Doping in LiNi0.5Co0.2Mn0.3O2 Electrodes: From Structural and Surface Analyses and Theoretical Modeling to Practical Electrochemical Cells. ACS Appl. Mater. Interfaces 2018, 10, 29608–29621. [Google Scholar] [CrossRef] [PubMed]
- Duan, J.; Wu, C.; Cao, Y.; Huang, D.; Du, K.; Peng, Z.; Hu, G. Enhanced compacting density and cycling performance of Ni-riched electrode via building mono dispersed micron scaled morphology. J. Alloys Compd. 2017, 695, 91–99. [Google Scholar] [CrossRef]
- Liang, R.; Wu, Z.-Y.; Yang, W.-M.; Tang, Z.-Q.; Xiong, G.-G.; Cao, Y.-C.; Hu, S.-R.; Wang, Z.-B. A simple one-step molten salt method for synthesis of micron-sized single primary particle LiNi0.8Co0.1Mn0.1O2 cathode material for lithium-ion batteries. Ionics 2020, 26, 1635–1643. [Google Scholar] [CrossRef]
- Zhang, H.; Yang, S.; Huang, Y.; Hou, X. Synthesis of Non-spherical LiNi0.88Co0.09Al0.03O2 Cathode Material for Lithium-Ion Batteries. Energy Fuels 2020, 34, 9002–9010. [Google Scholar] [CrossRef]
- Langdon, J.; Manthiram, A. A perspective on single-crystal layered oxide cathodes for lithium-ion batteries. Energy Storage Mater. 2021, 37, 143–160. [Google Scholar] [CrossRef]
- Xu, X.; Huo, H.; Jian, J.; Wang, L.; Zhu, H.; Xu, S.; He, X.; Yin, G.; Du, C.; Sun, X. Radially Oriented Single-Crystal Primary Nanosheets Enable Ultrahigh Rate and Cycling Properties of LiNi0.8Co0.1Mn0.1O2 Cathode Material for Lithium-Ion Batteries. Adv. Energy Mater. 2019, 9, 1803963. [Google Scholar] [CrossRef]
- Fan, X.; Hu, G.; Zhang, B.; Ou, X.; Zhang, J.; Zhao, W.; Jia, H.; Zou, L.; Li, P.; Yang, Y. Crack-free single-crystalline Ni-rich layered NCM cathode enable superior cycling performance of lithium-ion batteries. Nano Energy 2020, 70, 104450. [Google Scholar] [CrossRef]
- Leng, J.; Wang, J.; Peng, W.; Tang, Z.; Xu, S.; Liu, Y.; Wang, J. Highly-Dispersed Submicrometer Single-Crystal Nickel-Rich Layered Cathode: Spray Synthesis and Accelerated Lithium-Ion Transport. Small 2021, 17, 2006869. [Google Scholar] [CrossRef]
- Pang, P.; Tan, X.; Wang, Z.; Cai, Z.; Nan, J.; Xing, Z.; Li, H. Crack-free single-crystal LiNi0.83Co0.10Mn0.07O2 as cycling/thermal stable cathode materials for high-voltage lithium-ion batteries. Electrochim. Acta 2021, 365, 137380. [Google Scholar] [CrossRef]
- Zhang, M.; Shen, J.; Li, J.; Zhang, D.; Yan, Y.; Huang, Y.; Li, Z. Effect of micron sized particle on the electrochemical properties of nickel-rich LiNi0.8Co0.1Mn0.1O2 cathode materials. Ceram. Int. 2020, 46, 4643–4651. [Google Scholar] [CrossRef]
- Li, F.; Kong, L.; Sun, Y.; Jin, Y.; Hou, P. Micron-sized monocrystalline LiNi1/3Co1/3Mn1/3O2 as high-volumetric-energy-density cathode for lithium-ion batteries. J. Mater. Chem. A 2018, 6, 12344–12352. [Google Scholar] [CrossRef]
- Qian, G.; Zhang, Y.; Li, L.; Zhang, R.; Xu, J.; Cheng, Z.; Xie, S.; Wang, H.; Rao, Q.; He, Y.; et al. Single-crystal nickel-rich layered-oxide battery cathode materials: Synthesis, electrochemistry, and intra-granular fracture. Energy Storage Mater. 2020, 27, 140–149. [Google Scholar] [CrossRef]
- Julien, C.M.; Mauger, A. NCA, NCM811, and the Route to Ni-Richer Lithium-Ion Batteries. Energies 2020, 13, 6363. [Google Scholar] [CrossRef]
- Wu, H.; Pang, X.; Bi, J.; Wang, L.; Li, Z.; Guo, L.; Liu, H.; Meng, Q.; Jiang, H.; Liu, C. Cellulose nanofiber assisted hydrothermal synthesis of Ni-rich cathode materials with high binding particles for lithium-ion batteries. J. Alloys Compd. 2020, 829, 154571. [Google Scholar] [CrossRef]
- Shi, Y.; Zhang, M.; Fang, C.; Meng, Y.S. Urea-based hydrothermal synthesis of LiNi0.5Co0.2Mn0.3O2 cathode material for Li-ion battery. J. Power Sources 2018, 394, 114–121. [Google Scholar] [CrossRef]
- Zuo, Y.; Xu, G.; Yin, Q.; Sun, Y.; Huang, B.; Liang, G. Hydrothermal synthesized rugby–like LiNi0.5Co0.2Mn0.3O2 cathode materials with micro-nano structure for high performance Li-ion batteries. J. Electroanal. Chem. 2020, 878, 114660. [Google Scholar] [CrossRef]
- Zhang, L.; Wang, H.; Wang, L.; Cao, Y. High electrochemical performance of hollow corn-like LiNi0.8Co0.1Mn0.1O2 cathode material for lithium-ion batteries. Appl. Surf. Sci. 2018, 450, 461–467. [Google Scholar] [CrossRef]
- Cho, T.; Park, S.; Yoshio, M.; Hirai, T.; Hideshima, Y. Effect of synthesis condition on the structural and electrochemical properties of Li[Ni1/3Mn1/3Co1/3]O2 prepared by carbonate co-precipitation method. J. Power Sources 2005, 142, 306–312. [Google Scholar] [CrossRef]
- Wang, L.; Wu, B.; Mu, D.; Liu, X.; Peng, Y.; Xu, H.; Liu, Q.; Gai, L.; Wu, F. Single-crystal LiNi0.6Co0.2Mn0.2O2 as high performance cathode materials for Li-ion batteries. J. Alloys Compd. 2016, 674, 360–367. [Google Scholar] [CrossRef]
- Yao, X.; Xu, Z.; Yao, Z.; Cheng, W.; Gao, H.; Zhao, Q.; Li, J.; Zhou, A. Oxalate co-precipitation synthesis of LiNi0.6Co0.2Mn0.2O2 for low-cost and high-energy lithium-ion batteries. Mater. Today Commun. 2019, 19, 262–270. [Google Scholar] [CrossRef]
- Huang, Z.; Wang, Z.; Guo, H.; Li, X. Influence of Mg2+ doping on the structure and electrochemical performances of layered LiNi0.6Co0.2Mn0.2MgO2 cathode materials. J. Alloys Compd. 2016, 671, 479–485. [Google Scholar] [CrossRef]
- Dai, S.; Yuan, M.; Wang, L.; Luo, L.; Chen, Q.; Xie, T.; Li, Y.; Yang, Y. Ultrathin-Y2O3-coated LiNi0.8Co0.1Mn0.1O2 as cathode materials for Li-ion batteries: Synthesis, performance and reversibility. Ceram. Int. 2019, 45, 674–680. [Google Scholar] [CrossRef]
- Zheng, Z.; Guo, X.-D.; Chou, S.-L.; Hua, W.-B.; Liu, H.-K.; Dou, S.X.; Yang, X.-S. Uniform Ni-rich LiNi0.6Co0.2Mn0.2O2 Porous Microspheres: Facile Designed Synthesis and Their Improved Electrochemical Performance. Electrochim. Acta 2016, 191, 401–410. [Google Scholar] [CrossRef]
- Lee, S.-W.; Kim, H.; Kim, M.-S.; Youn, H.-C.; Kang, K.; Cho, B.-W.; Roh, K.C.; Kim, K.-B. Improved electrochemical performance of LiNi0.6Co0.2Mn0.2O2 cathode material synthesized by citric acid assisted sol-gel method for lithium ion batteries. J. Power Sources 2016, 315, 261–268. [Google Scholar] [CrossRef]
- Zhu, M.; Li, J.; Liu, Z.; Wang, L.; Kang, Y.; Dang, Z.; Yan, J.; He, X. Preparation and Electrochemical Properties of LiNi2/3Co1/6Mn1/6O2 Cathode Material for Lithium-Ion Batteries. Materials 2021, 14, 1766. [Google Scholar] [CrossRef]










| Temperature (°C) | a (Å) | c (Å) | c/a | I(003)/I(104) |
|---|---|---|---|---|
| 750 °C | 2.8772 | 14.2336 | 4.9470 | 1.61 |
| 800 °C | 2.8702 | 14.2234 | 4.9555 | 1.75 |
| 850 °C | 2.8791 | 14.2505 | 4.9496 | 1.41 |
| Method | Particle Size (μm) | Primary/ Secondary Particle | 1st Capacity (mAh g−1) | Cycle Number | Capacity Retention (%) | Ref. |
|---|---|---|---|---|---|---|
| Solvothermal | 2–3 | Primary | 175.5 (0.1 C) | 100 | 84.4 (1 C) | This work |
| Carbonate co-precipitation | 1.5–4 | Secondary | 152.0 (0.2 C) | 100 | 81.5 (1 C) | [16] |
| Carbonate co-precipitation | 3 | Secondary | 155.0 (0.1 C) | 100 | 77.3 (1 C) | [46] |
| Hydroxide co-precipitation | 1–2 | Secondary | 182.1 (0.1 C) | 100 | 83.9 (1 C) | [44] |
| Oxalate co-precipitation | 1 | Secondary | 174.3 (0.2 C) | 100 | 93.2 (1 C) | [43] |
| Molten salt | 1–3 | Primary | 183.0 (0.2 C) | 300 | 94.0 (1 C) | [35] |
| Sol–gel | 0.2 | Primary | 174.0 (0.1 C) | 100 | 87.0 (1 C) | [47] |
Publisher’s Note: MDPI stays neutral with regard to jurisdictional claims in published maps and institutional affiliations. |
© 2021 by the authors. Licensee MDPI, Basel, Switzerland. This article is an open access article distributed under the terms and conditions of the Creative Commons Attribution (CC BY) license (https://creativecommons.org/licenses/by/4.0/).
Share and Cite
Chen, Z.; Guo, F.; Zhang, Y. Micron-Sized Monodisperse Particle LiNi0.6Co0.2Mn0.2O2 Derived by Oxalate Solvothermal Process Combined with Calcination as Cathode Material for Lithium-Ion Batteries. Materials 2021, 14, 2576. https://doi.org/10.3390/ma14102576
Chen Z, Guo F, Zhang Y. Micron-Sized Monodisperse Particle LiNi0.6Co0.2Mn0.2O2 Derived by Oxalate Solvothermal Process Combined with Calcination as Cathode Material for Lithium-Ion Batteries. Materials. 2021; 14(10):2576. https://doi.org/10.3390/ma14102576
Chicago/Turabian StyleChen, Zhuo, Fangya Guo, and Youxiang Zhang. 2021. "Micron-Sized Monodisperse Particle LiNi0.6Co0.2Mn0.2O2 Derived by Oxalate Solvothermal Process Combined with Calcination as Cathode Material for Lithium-Ion Batteries" Materials 14, no. 10: 2576. https://doi.org/10.3390/ma14102576
APA StyleChen, Z., Guo, F., & Zhang, Y. (2021). Micron-Sized Monodisperse Particle LiNi0.6Co0.2Mn0.2O2 Derived by Oxalate Solvothermal Process Combined with Calcination as Cathode Material for Lithium-Ion Batteries. Materials, 14(10), 2576. https://doi.org/10.3390/ma14102576

