You are currently viewing a new version of our website. To view the old version click .
Materials
  • Article
  • Open Access

25 April 2020

The Forced Magnetostrictions and Magnetic Properties of Ni2MnX (X = In, Sn) Ferromagnetic Heusler Alloys

,
,
,
,
,
,
and
1
Department of Mechanical and Systems Engineering, Faculty of Science and Technology, Ryukoku University, Otsu 520-2194, Shiga, Japan
2
Research Institute for Engineering and Technology, Tohoku Gakuin University, Tagajo 985-8537, Miyagi, Japan
3
Center for Advanced High Magnetic Field Science, Graduate School of Science, Osaka University, 1-1 Machikaneyama, Toyonaka 560-0043, Osaka, Japan
4
Institute for Materials Research, Tohoku University, Sendai 980-8577, Miyagi, Japan
This article belongs to the Special Issue New Aspects of Ferromagnetic Shape Memory Alloys: From Fabrication to Applications

Abstract

Experimental studies into the forced magnetostriction, magnetization, and temperature dependence of permeability in Ni2MnIn and Ni2MnSn ferromagnetic Heusler alloys were performed according to the spin fluctuation theory of itinerant ferromagnetism proposed by Takahashi. We investigated the magnetic field (H) dependence of magnetization (M) at the Curie temperature TC, and at T = 4.2 K, which concerns the ground state of the ferromagnetic state. The M-H result at TC was analyzed by means of the H versus M5 dependence. At 4.2 K, it was investigated by means of an Arrott plot (H/M vs. M2) according to Takahashi’s theory. As for Ni2MnIn and Ni2MnSn, the spin fluctuation parameters in k-space (momentum space, TA) and that in energy space (frequency space, T0) obtained at TC and 4.2 K were almost the same. The average values obtained at TC and 4.2 K were TA = 342 K, T0 = 276 K for Ni2MnIn and TA = 447 K, T0 = 279 K for Ni2MnSn, respectively. The forced magnetostriction at TC was also investigated. The forced linear magnetostriction (ΔL/L) and the forced volume magnetostriction (ΔV/V) were proportional to M4, which followed Takahashi’s theory. We compared the forced volume magnetostriction ΔV/V and mechanical parameter, bulk modulus K. ΔV/V is inversely proportional to K. We also discuss the spin polarization of Ni2MnIn and other magnetic Heusler alloys. The pC/pS of Ni2MnIn was 0.860. This is comparable with that of Co2MnGa, which is a famous half-metallic alloy.

1. Introduction

Spin fluctuation theories have been proposed to explain the physical properties and the principles of itinerant electron systems [1,2,3,4,5,6,7]. Recently, the spin fluctuation theory of itinerant magnetism, known as Takahashi’s theory, was proposed by Takahashi [1,2,3,4]. The self-consistent renormalization (SCR) theory was first proposed by Moriya and Kawabata, taking into account the non-linear mode–mode coupling between spin fluctuation modes [5,6,7]. Concerned about the magnetic field dependence of magnetization (MH), the effect of non-linear mode–mode couplings is associated with the second lowest expansion of free energy in regard to magnetization M. In this theory, the spin fluctuations of the higher order coefficient are neglected. Takahashi’s theory is the SCR theory according to zero-point spin fluctuations, considering the transverse and longitudinal components of the fluctuations. In this theory, the spin fluctuations of the higher order coefficient are considered, and the relationship between the magnetic fields H and magnetization M at TC is obtained theoretically by Equation (1):
( M M s ) 4 = 1.20 × 10 6 × ( T C 2 w A T A 3 p S 4 ) × ( H M ) ,
where MS is spontaneous magnetization in the ground state, ps is the magnetic moment in the ground state (T = 0 K), TA is the spin fluctuation parameter in k-space (momentum space) in units of Kelvin, wA is the molecular weight in units of g, and H is the magnetic field in units of kOe. Takahashi transcribed the spin fluctuation parameter in k-space at temperature TA (K) [2]. The dynamical spin susceptibility, as shown in Equation (3.1) in reference [2], is demonstrated by the double-Lorentzian function of the k-space (parameter: q) and the energy space (frequency ω-space). The Lorentzian function of the k-space is proportional to χ(q = 0, ω = 0). The half-width of this function, Δq, which indicates a spin fluctuation in k-space, is proportional to the inverse of χ(q = 0, ω = 0). The unit of 1/χ(q = 0, ω = 0) is a dimension of the energy. Finally, Δq is shown in a dimension of the energy. Therefore, Δq is proportional to kBTA, where kB is the Boltzmann function and TA is the spin fluctuation parameter, as mentioned above. TA is expressed in the form of T A = A ¯ q B 2 , where q B 2 indicates the effective zone boundary wave vector, and A ¯ indicates the non-dimensional parameter, as shown in Equation (3.6) in reference [2]. Another parameter, T0, is a spectral distribution ΓqB in the frequency space, which was defined by ΓqB = 2πkBT0. In this way, the spin fluctuation parameters in k-space (momentum space), TA, and that in energy space (frequency space), T0, were defined. From the spontaneous magnetic moment MS and magnetization at TC, we obtained TA. Investigations into the itinerant magnetism of 3d and 5f electron systems were carried out by means of Equation (1) [1,8,9,10,11,12,13]. Moreover, this theory has been applied to the ferromagnetic Heusler alloys [11,14,15,16,17]. The spin fluctuation parameter in energy space T0 is derived from Equation (3.16) in reference [1]:
p S 2 = 20 T 0 T A × C 4 / 3 × ( T C T 0 ) 4 / 3 ,   C 4 / 3 = 1.006089 .
From Equations (1) and (2), TA and T0 are obtained.
The other method to derive the parameters TA and T0 is determination from magnetic field dependence of the magnetization in the ground state (T << TC) [1,13,15].
The magnetization in the ground state is expressed by the following equation:
H = F 1 N 0 3 ( g μ B ) 4 × ( M 0 2 + M 2 ) M ,
where g indicates the Landé g-factor, N0 indicates Avogadro’s number, and F1 indicates the mode–mode coupling term of the spin fluctuations written as
F 1 = 2 T A 2 15 c T 0 .
In Equation (4), c is equal to 1/2 and M0 is the spontaneous magnetization. Further, F1 is derived from the slope of the Arrott plot (H/M versus M2 plot) at low temperatures by Equation (5):
F 1 = N 0 3 ( 2 μ B ) 4 k B ζ ,
where kB indicates the Boltzmann factor, and ζ indicates the slope of the Arrott plot (M2 versus H/M). Then, T0 and TA are provided by the following equations, respectively:
( T C T 0 ) 5 / 6 = p S 2 5 g 2 C 4 / 3 × ( 15 c F 1 2 T C ) 1 / 2 ,
( T C T A ) 5 / 6 = p S 2 5 g 2 C 4 / 3 × ( 2 T C 15 c F 1 ) 1 / 2 .
These equations use units of kOe and emu/g for the magnetic fields H and magnetization M, respectively (p. 66 in reference [1]). The value of the magnetic fields H in 10 kOe is equal to the value in T (Tesla), and the value of magnetization M in emu/g is equivalent to the value in Am2/kg.
As for the itinerant ferromagnets, the relation between the effective magnetic moment peff and the spontaneous magnetic moment pS can be expressed by a generalized Rhodes–Wohlfarth equation (Equation (3.47) in reference [1]):
p e f f p S = 1.4 × ( T O T C ) 2 / 3 .
Equation (8) can be rewritten as
k m = ( p e f f p S ) × ( T C T 0 ) 2 3 .
Therefore, if km = 1.4, Equation (9) is equal to Equation (8).
The other characteristic property of Takahashi’s theory is that the forced volume magnetostriction ΔV/V and the magnetization M at TC can be described as in reference [1]:
( Δ V / V ) M 4 ,
where ΔV/V can be derived by the following equation:
( Δ V / V ) = ( Δ L / L ) / / + 2 × ( Δ L / L ) ,
where (ΔL/L)// and ( Δ L / L ) are the forced linear magnetostriction parallel and perpendicular to an external magnetic field, respectively [18,19].
In this study, we selected Ni2MnIn and Ni2MnSn alloys. These alloys are ferromagnetic Heusler alloys and do not cause martensitic transformation [20], in contrast to Ni2MnGa with a martensitic transformation temperature TM of 195 K [21]. These alloys have L21-type cubic crystal structure. We considered the magnetostriction and magneto-volume effects of these alloys. We measured the forced longitudinal magnetostriction (ΔL/L)// and ( Δ L / L ) , derived the forced volume magnetostriction Δ V / V as shown by Equation (4), and evaluated the correlation between the magnetization and Δ V / V .

2. Materials and Methods

Polycrystalline Ni2MnIn and Ni2MnSn alloys were synthesized from the constituent elements of NI2MnIn: Ni (4N), Mn (3N), In (4N); Ni2MnSn: Ni (4N), Mn (4N), Sn(5N). The sample of Ni2MnIn was prepared by induction melting under an Ar atmosphere. The sample of Ni2MnSn was prepared by arc-melting in an Ar atmosphere. The product of Ni2MnSn was heated in vacuum at 1123 K for 3 days and then quenched in water. The results of the X-ray diffraction pattern (XRD, Ultima IV, Rigaku Co., Ltd., Akishima, Tokyo, Japan) indicated that these samples were single phase, as shown in Figure 1. The XRD results indicated that the crystal structure is L21 cubic, and lattice parameters a were 0.60709 nm and 0.60528 nm for Ni2MnIn and Ni2MnSn, respectively. A helium-free superconducting magnet at the High Field Laboratory for Superconducting Materials, Institute for Materials Research, Tohoku University, and at the Center for Advanced High Magnetic Field Science, Osaka University was used for the magnetostriction measurements up to 5 T. The magnetization measurement at 4.2 K, which corresponds to the investigation of the magnetic field dependence of the magnetization at the ground state (T << TC) was performed by means of 30 T pulsed field magnet at the Center for Advanced High Magnetic Field Science, Osaka University. A detailed explanation of the experimental procedure has been given in previous studies [14,15,16,17].
Figure 1. X-ray diffraction patterns of (a) Ni2MnIn and (b) Ni2MnSn. Parenthesis indicates the mirror indices.

3. Results and Discussion

3.1. Magnetic Field Dependence of Magnetization

Figure 2 shows the temperature dependence of the permeability P for (a) Ni2MnIn and (b) Ni2MnSn in a zero external magnetic field. The values of dP/dT shown in Figure 2 are the values of the differential of the permeability in the temperature. For Ni2MnIn and Ni2MnSn, the values of TC were obtained from the peak of dP/dT, which were 314 K and 337 K, respectively, using the same approach [14].
Figure 2. Permeability (P) and dP/dT (differential of the permeability in the temperature) of (a) Ni2MnIn and (b) Ni2MnSn around TC. The dotted lines define TC.
Figure 3 for (a) Ni2MnIn and (b) Ni2MnSn shows the plots of M4 versus H/M at TC. A good linearity can be seen at the origin at TC. The magnetic field dependence of the magnetization indicates that H M5; therefore, the results agree with Takahashi’s theory [1]. In former experimental investigations of Ni2MnGa-type Heusler alloys, such as Ni2+xMnGa1−x ( 0 x 0.04 ) and Ni2Mn1−xCrxGa ( 0 x 0.25 ) , Takahashi’s theory has also been adapted successfully [11,14,15,16,17]. The spin fluctuation parameter in k-space, TA, and in energy space, T0, has been calculated from the magnetization process at TC using Equations (3) and (4) by Takahashi’s theory [1].
Figure 3. The magnetic field dependences of the magnetization, M4 vs. H/M at TC: (a) Ni2MnIn; (b) Ni2MnSn. Dotted straight lines are linearly fitting lines.
Furthermore, we investigated the magnetization measurement at 4.2 K, which corresponds to the magnetization process that was performed at the ground state (T << TC, T/TC 1 % ). Figure 4 plots the magnetic field dependences of the magnetization, M2 versus H/M, which corresponds to the Arrott plot at 4.2 K for (a) Ni2MnIn and (b) Ni2MnSn [22]. These plots indicated that M2 was proportional to H/M in high magnetic fields and could be appreciable to Equation (3) of Takahashi’s theory [1]. Then, TA and T0 were obtained by means of Equations (3)–(7).
Figure 4. The magnetic field dependences of the magnetization, M2 vs. H/M at 4.2 K: (a) Ni2MnIn; (b) Ni2MnSn. Dotted straight lines are linearly fitting lines.
The obtained parameters, TA and T0, are listed in Table 1. These results indicate that Takahashi’s theory is applicable to Ni2MnIn and Ni2MnSn alloys. The experimental results followed the relation of ( Δ V / V ) M 4 , which is correct in Equation (10), proposed by Takahashi’s theory [1].
Table 1. Magnetic parameters of Ni2MnX (X = Ga, In, Sn). The spontaneous magnetic moment, pS; effective moment, peff; Curie temperature, TC; spin fluctuation parameter in k-space, TA; spin fluctuation parameter in energy space, T0. The parameter km was obtained from Equation (9), which was almost the same as km = 1.4. “This work TC” indicates the values obtained from the magnetization process measurements at TC, and “This work 4.2 K” indicates the values obtained from the magnetization process measurements at 4.2 K.

3.2. Correlation between Magnetization and Forced Magnetostriction

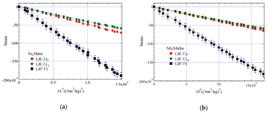
In this subsection, we describe the investigations of forced magnetostrictions for Ni2MnIn and Ni2MnSn, and the correlation between forced volume magnetostriction and magnetization is discussed. In order to consider the relevance between magnetization and forced magnetostriction, we examined the magnetostriction in the magnetic fields and at TC. Figure 5 shows the external magnetic field dependence of the forced magnetostriction for (a) Ni2MnIn and (b) Ni2MnSn. The forced volume magnetostriction ΔV/V was derived using Equation (11). For both alloys, the obtained ΔV/V was proportional to the fourth power of the M, ( Δ V / V ) M 4 , and crossed the origin, (M4, ΔV/V) = 0, as indicated by the dotted linearly fitting line. This result is consistent with other Ni2MnGa-type Heusler alloys [14,15,17]. Faske et al. conducted an experimental investigation into the magnetization M and magnetostriction ΔV/V of LaFe11.6Si1.4 [12]. They found the relationship between ΔV/V and M as ( Δ L / L ) M 4 , and crossed the origin, and they suggested that the experimental results of ΔV/V and M were in accordance with Takahashi’s theory [1]. As for renowned weak ferromagnet MnSi [8], Takahashi suggested that the relationship between ΔL/L and M is ( Δ L / L ) M 4 [1]. Not only weak ferromagnet but also L21-type cubic Heusler alloys, and LaFe11.6Si1.4 (NaZn13-type structure), which has a more complex structure, are in accordance with Takahashi’s theory.
Figure 5. Forced magnetostriction vs. M4 at TC: (a) Ni2MnIn; (b) Ni2MnSn at Tc. Dotted straight lines are linearly fitting lines.
In a previous study, we measured the magnetostrictions of Ni2MnGa-type and Heusler alloys at TC and proved that ΔV/V is proportional to the valence electron per atom, e/a [17]. As for Ni2MnGa, Ni2MnIn, and Ni2MnSn, the e/a were all the same value as 7.500. Therefore, we compared the forced volume magnetostriction ΔV/V and its mechanical parameter, bulk modulus K [14,15]. The forced volume magnetostriction ΔV/V at 5 T and bulk modulus K are listed in Table 2. The K is inversely proportional to Young’s modulus. Therefore, as K becomes smaller, it softens more. The order of ΔV/V at 5 T is Ni2MnGa < Ni2MnSn < Ni2MnIn. The values of M4 for Ni2MnGa and Ni2MnIn are comparable. The K of Ni2MnIn is smaller than that of Ni2MnGa. Therefore, Ni2MnIn is softer than that of Ni2MnGa. It is conceivable that the strain grows larger for a softer alloy. Then, the ΔV/V of Ni2MnIn is larger than that of Ni2MnGa. The value of M4 for Ni2MnSn is larger than that of Ni2MnGa. Moreover, from the results of K, Ni2MnSn is softer than Ni2MnGa. Therefore, the ΔV/V of Ni2MnSn is larger than that of Ni2MnGa.
Table 2. The forced volume magnetostriction ΔV/V at 5 T and the bulk modulus.
The units of M4 and K are defined by (Am2/kg)4 and Pa, respectively; ΔV and V are measured in m3; K is also defined in N/m2. The KΔV is in the dimension of Pa·m3 = (N/m2)·m3 = Nm = J. Therefore, K·(ΔV/V) is in J/m3. Here, we defined the parameter EK in J/m3. The ΔV/V = EK/K. This equation indicates that the forced volume magnetostriction ΔV/V is inversely proportional to bulk modulus K. The K·(ΔV/V) is also listed in Table 2. This is almost the same value. This result also indicates that ΔV/V is inversely proportional to K.

3.3. Spin Polarization of Ni2MnGa-Type Heusler Alloys

In this subsection, we consider the magnetism of Ni2MnGa-type Heusler alloys by comparing the spontaneous magnetic moment at the ground state, pS, and paramagnetic magnetic moment, pC.
The relation between peff and pC is described as:
p e f f = p C ( p C + 2 ) .
The pC is obtained from the Curie constant and it is non-dimensional, C = N0μeff2/3kB = N0peff2μB2/3kB = N0pC(pC + 2)μB2/3kB. The pc/ps is 1 for the local-moment ferromagnetism. For the weak itinerant electron ferromagnetism, the pc/ps is larger than 1 [1]. On the contrary, many Heusler alloys have a pc/ps value smaller than 1 [16]. As for the itinerant electron magnets, the minority-spin electrons band has a gap at the Fermi level EF and indicates semi-metallic or insulating bands. On the contrary, the Fermi level intersects the majority-spin electrons band and represents metallic bands. The pc/ps < 1 indicates that the spin polarization occurs, and these alloys can be classified as half-metallic alloys (HMFA). The pS and pC for Ni2MnGa-type Heusler alloys are listed in Table 3. Bocklage et al. performed point contact Andreev reflection (PCAR) spectroscopy on Ni2MnIn [26]. The obtained polarization value P0 was 35%. The pC/pS of Ni2MnIn was 0.860. Both Co2VGa and Co2MnGa are known as typical HMAs. The P0 values were 75% and 48% for Co2VGa and Co2MnGa, respectively [27]. The pC/pS values of Co2VGa and Co2MnGa were 0.70 and 0.80, respectively. The results for these three alloys indicate that the alloy with a larger spin polarization showed a smaller pC/pS value. The spin polarization of Ni2MnSn was obtained by theoretical calculations [25]. The obtained P0 was about 10%, which indicates that the spin polarization of Ni2MnSn is smaller than that of Ni2MnIn. Then, the pC/pS of Ni2MnSn was almost 1. Even at low temperature, Ni2MnIn and Ni2MnSn take an L21-type cubic structure. On the contrary, Ni2MnGa causes martensitic transformation at TM = 195 K, and below this temperature, 14 M structure was realized [28]. In the martensitic phase, the spin polarization was 19.72% [24]. Webster et al. analyzed the magnetic moment obtained by the saturation magnetization measurement, where pS = 4.17 [29]. Then, the psat/ps was 0.92, which is smaller than 1 and deviated from 1 (local moment magnetism). The spin polarization of Ni2MnGa affected the deviation of the psat/ps value.
Table 3. Magnetic parameters of ferromagnetic Heusler alloys. pC indicates the magnetic moment at the paramagnetic phase. The relationship between peff and pC is defined by the equation of p e f f = p C ( p C + 2 )
Takahashi’s theory can be applied even to the ferromagnetic Heusler alloy, which has a spin polarization, and further study is needed to clarify the origin of the magnetism and its physical properties.
.

4. Conclusions

In this article, we investigated the itinerant magnetism of Ni2MnIn and Ni2MnSn alloys. These alloys are ferromagnetic Heusler alloys and do not cause martensitic transformation [20], in contrast to Ni2MnGa with a martensitic transformation temperature TM of 195 K [21]. These alloys have an L21-type cubic crystal structure even at low temperature. We considered the magnetostriction and magneto-volume effects of these alloys. We measured the forced longitudinal magnetostriction (ΔL/L)// and ( Δ L / L ) , and we derived the forced volume magnetostriction Δ V / V . The correlation between the magnetization M and Δ V / V is ( Δ L / L ) M 4 , and the linear fitting line crossed the origin for both alloys. These results were confirmed by Takahashi’s theory [1]. From the magnetization results at TC and 4.2 K, the spin fluctuation parameters were TA in k-space and T0 in energy space. The obtained km parameter of the generalized Rhodes–Wohlfarth equation was around 1.4. This result accorded with Takahashi’s theory. We considered the results of the examinations and theoretical calculations. We concluded that Takahashi’s theory can apply even to the ferromagnetic Heusler alloy, which has a spin polarization. We compared the forced volume magnetostriction ΔV/V and its mechanical parameter, bulk modulus K, and found that ΔV/V is inversely proportional to K.

Author Contributions

Y.A. and T.K. (Takeshi Kanomata) prepared the samples; T.S., H.N., Y.N., M.H., and T.K. (Takeshi Kanomata) conceived and designed the experiments; J.Y., T.K. (Takumi Komori), H.N., Y.N., M.H., and T.S. performed the experiments; J.Y., T.K. (Takumi Komori), and T.S. analyzed the data; T.S., J.Y., T.K. (Takumi Komori), Y.N., M.H., T.K. (Takeshi Kanomata), and Y.A. wrote the paper. All authors have read and agreed to the published version of the manuscript.

Funding

This research received no external funding.

Acknowledgments

The authors thank Mitsuo Okamoto and Fumihiko Morioka of Ryukoku University for helping to create the apparatus. The authors thank Koji Fukushima and Taishi Yasuda of Tohoku Gakuin University. This project is partly supported by the Ryukoku Extension Center (REC) at Ryukoku University. This research was also carried out at the High Field Laboratory for Superconducting Materials, Institute for Materials Research, Tohoku University, and at the Center for Advanced High Magnetic Field Science in Osaka University under the Visiting Researchers’ Program of the Institute for Solid State Physics, the University of Tokyo.

Conflicts of Interest

The authors declare no conflict of interest.

References

  1. Takahashi, Y. Spin Fluctuation Theory of Itinerant Electron Magnetism; Springer: Berlin, Germany, 2013; ISBN 978-3-642-36666-6. [Google Scholar]
  2. Takahashi, Y. On the origin of the Curie Weiss law of the magnetic susceptibility in itinerant electron ferromagnetism. J. Phys. Soc. Jpn. 1986, 55, 3553–3573. [Google Scholar] [CrossRef]
  3. Takahashi, Y. Theoretical Development in Itinerant Electron Ferromagnetism. J. Phys. Conf. Ser. 2017, 868, 012002. [Google Scholar] [CrossRef]
  4. Takahashi, Y.; Nakano, H. Magnetovolume effect of itinerant electron ferromagnets. J. Phys. Cond. Matter. 2006, 18, 521. [Google Scholar] [CrossRef]
  5. Moriya, T. Spin Fluctuations in Itinerant Electron Magnetism; Springer: Berlin, Germany, 1985; ISBN 978-3-642-82499-9. [Google Scholar]
  6. Moriya, T.; Kawabata, A. Effect of Spin Fluctuations on Itinerant Electron Ferromagnetism. J. Phys. Soc. Jpn. 1973, 34, 639–651. [Google Scholar] [CrossRef]
  7. Moriya, T.; Kawabata, A. Effect of Spin Fluctuations on Itinerant Electron Ferromagnetism. II. J. Phys. Soc. Jpn. 1973, 35, 669–676. [Google Scholar] [CrossRef]
  8. Matsunaga, M.; Ishikawa, Y.; Nakajima, T. Magneto-volume effect in the weak itinerant ferromagnet MnSi. J. Phys. Soc. Jpn. 1982, 51, 1153. [Google Scholar] [CrossRef]
  9. Rizal, C.; Kolthammer, J.; Pokharel, R.K.; Choi, B.C. Magnetic properties of nanostructured Fe-Co alloys. J. Appl. Phys. 2013, 113, 113905. [Google Scholar] [CrossRef]
  10. Nishihara, H.; Harada, T.; Kanomata, T.; Wada, T. Magnetization process near the Curie temperature of an itinerant ferromagnet CoS2. J. Phys. Conf. Ser. 2012, 400, 032068. [Google Scholar] [CrossRef]
  11. Nishihara, H.; Komiyama, K.; Oguro, I.; Kanomata, T.; Chernenko, V. Magnetization processes near the Curie temperatures of the itinerant ferromagnets, Ni2MnGa and pure nickel. J. Alloys Compd. 2007, 442, 191–193. [Google Scholar] [CrossRef]
  12. Faske, T.; Radulov, L.A.; Hölzel, M.; Gutfleisch, O.; Donner, W. Direct Observation of Paramagnetic Spin Fluctuations in LaFe13−xSix. J. Phys. Condens. Matter. 2020, 32, 115802. [Google Scholar] [CrossRef]
  13. Tateiwa, N.; Pospíšil, J.; Haga, Y.; Sakai, H.; Matsuda, T.D.; Yamamoto, E. Itinerant ferromagnetism in actinide 5f-electron systems: Phenomenological analysis with spin fluctuation theory. Phys. Rev. B 2017, 96, 035125. [Google Scholar] [CrossRef]
  14. Sakon, T.; Hayashi, Y.; Fujimoto, N.; Kanomata, T.; Nojiri, H.; Adachi, Y. Forced magnetostriction of ferromagnetic Heusler alloy Ni2MnGa at the Curie temperature. J. Appl. Phys. 2018, 123, 213902. [Google Scholar] [CrossRef]
  15. Sakon, T.; Hayashi, Y.; Li, D.X.; Honda, F.; Oomi, G.; Narumi, Y.; Hagiwara, M.; Kanomata, T.; Eto, T. Forced Magnetostrictions and Magnetizations of Ni2+xMnGa1−x at Its Curie Temperature. Materials 2018, 11, 2115. [Google Scholar] [CrossRef] [PubMed]
  16. Sakon, T.; Hayashi, Y.; Fukuya, A.; Li, D.; Honda, F.; Umetsu, R.Y.; Xu, X.; Oomi, G.; Kanomata, T.; Eto, T. Investigation of the Itinerant Electron Ferromagnetism of Ni2+xMnGa1−x and Co2VGa Heusler Alloys. Materials 2019, 12, 575. [Google Scholar] [CrossRef] [PubMed]
  17. Sakon, T.; Yamasaki, Y.; Kodama, H.; Kanomata, T.; Nojiri, H.; Adachi, Y. The Characteristic Properties of Magnetostriction and Magneto-Volume Effects of Ni2MnGa-Type Ferromagnetic Heusler Alloys. Materials 2019, 12, 3655. [Google Scholar] [CrossRef]
  18. Kittel, C. Introduction of Solid State Physics, 8th ed.; John Wiley & Sons Inc.: Hoboken, NJ, USA, 2004; p. 75. ISBN 978-0-471-41526-8. [Google Scholar]
  19. Nizhankovskii, V.I. Classical magnetostriction of nickel in high magnetic field. Eur. Phys. J. B 2006, 53, 1–4. [Google Scholar] [CrossRef]
  20. Kanomata, T.; Shirakawa, K.; Kaneko, T. Effect of Hydrostatic Pressure on the Curie Temperature of the Heusler alloys Ni2MnZ (Z = AI, Ga, In, Sn AND Sb). J. Magn. Magn. Mater. 1987, 65, 76–82. [Google Scholar] [CrossRef]
  21. Sakon, T.; Fujimoto, N.; Kanomata, T.; Adachi, Y. Magnetostriction of Ni2Mn1−xCrxGa Heusler Alloys. Metals 2017, 7, 410. [Google Scholar] [CrossRef]
  22. Arrott, A.; Noakes, J.E. Approximate equation of the state for Nickel near its Critical Temperature. Phys. Rev. Lett. 1967, 19, 786–789. [Google Scholar] [CrossRef]
  23. Webster, P.J. Heusler alloys. Contemp. Phys. 1969, 10, 559–577. [Google Scholar] [CrossRef]
  24. Qawasmeh, Y.; Hamad, B. Investigation of the structural, electronic, and magnetic properties of Ni based Heusler alloys from first principles. J. Appl. Phys. 2012, 111, 033905. [Google Scholar] [CrossRef]
  25. Jezierski, A. Electronic structure, magnetic, optical and thermodynamic properties of Ni2Mn1−xRexSn and NiMn1−xRexSn Heusler alloys—Ab-initio study. J. Alloys Compds. 2019, 803, 153e164. [Google Scholar] [CrossRef]
  26. Bocklage, L.; Scholtyssek, J.M.; Merkt, U.; Meier, G. Spin polarization of Ni2MnIn and Ni80Fe20 determined by point-contact Andreev spectroscopy. J. Appl. Phys. 2017, 101, 09J512. [Google Scholar] [CrossRef]
  27. Umetsu, R.Y.; Kobayashi, K.; Fijita, A.; Kainuma, R.; Ishida, K.; Fukamichi, K.; Sakuma, A. Magnetic properties, phase stability, electric structure, and half-metallicity of L21-type Co2 (V1−xMnx)Ga Heusler alloys. Phys. Rev. B 2008, 77, 104422. [Google Scholar] [CrossRef]
  28. Singh, S.; Bednarcik, J.; Barman, S.R.; Felsher, S.R.; Pandey, D. Premartensite to martensite transition and its implications for the origin of modulation in Ni2MnGa ferromagnetic shape-memory alloy. Phys. Rev. B 2015, 92, 054412. [Google Scholar] [CrossRef]
  29. Webster, P.J.; Ziebeck, K.R.A.; Town, S.L.; Peak, M.S. Magnetic order and phase transition in Ni2MnGa. Philos. Mag. B 1984, 49, 295–310. [Google Scholar] [CrossRef]

Article Metrics

Citations

Article Access Statistics

Multiple requests from the same IP address are counted as one view.