Powdered Ceramsite and Powdered Limestone Use in Aerobic Granular Sludge Technology
Abstract
1. Introduction
2. Materials and Methods
2.1. Powdered Materials
2.2. Reactor Set-Up and Operating Strategy
2.3. Analytical Method
2.4. Statistical Analysis
3. Results and Discussion
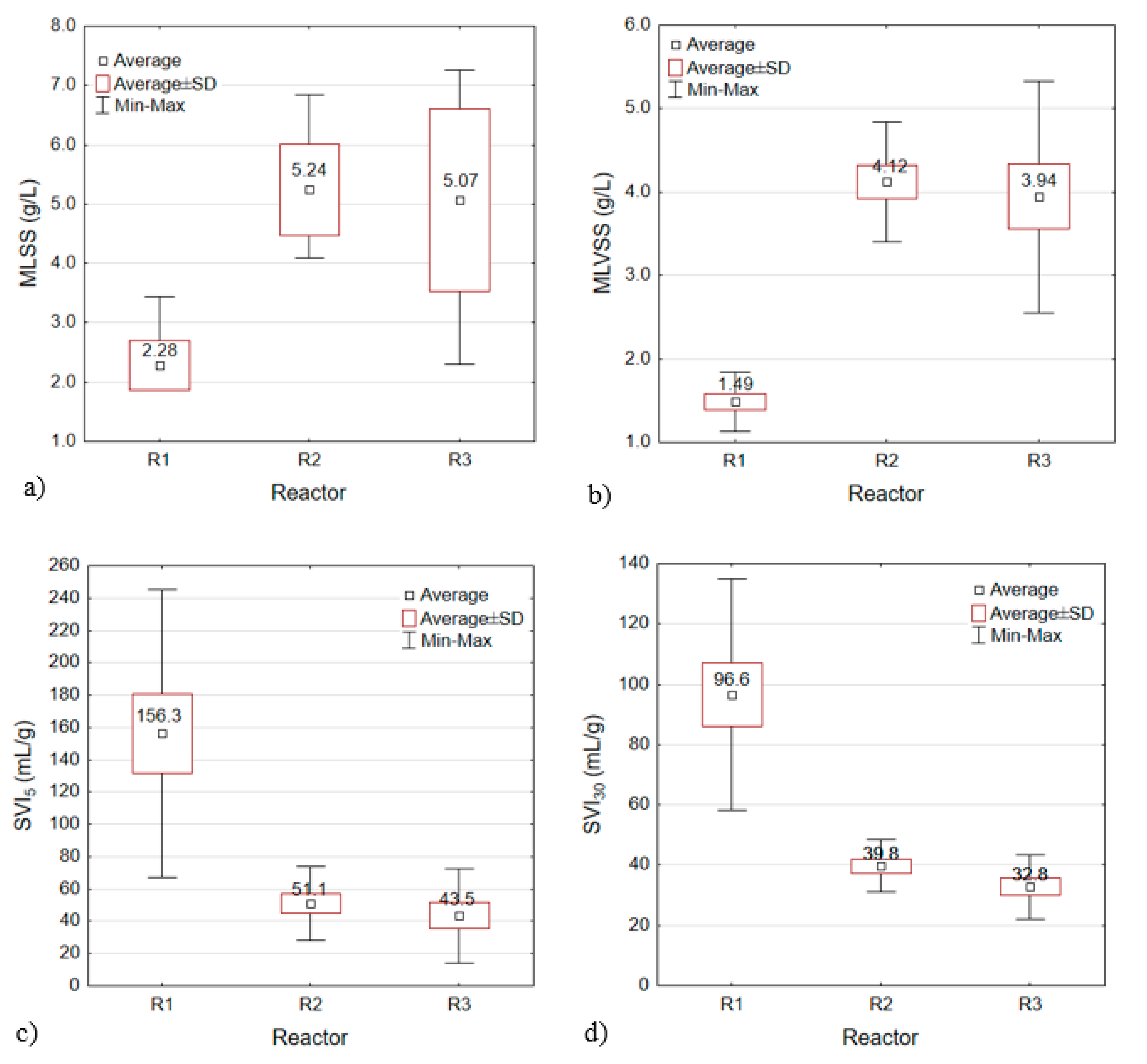
3.1. Biomass Concentration in the Reactors
3.2. Settling Properties of the Biomass
3.3. Formation of Aerobic Granules
3.4. Structural Characteristics and Bioactivity of Granular Sludge
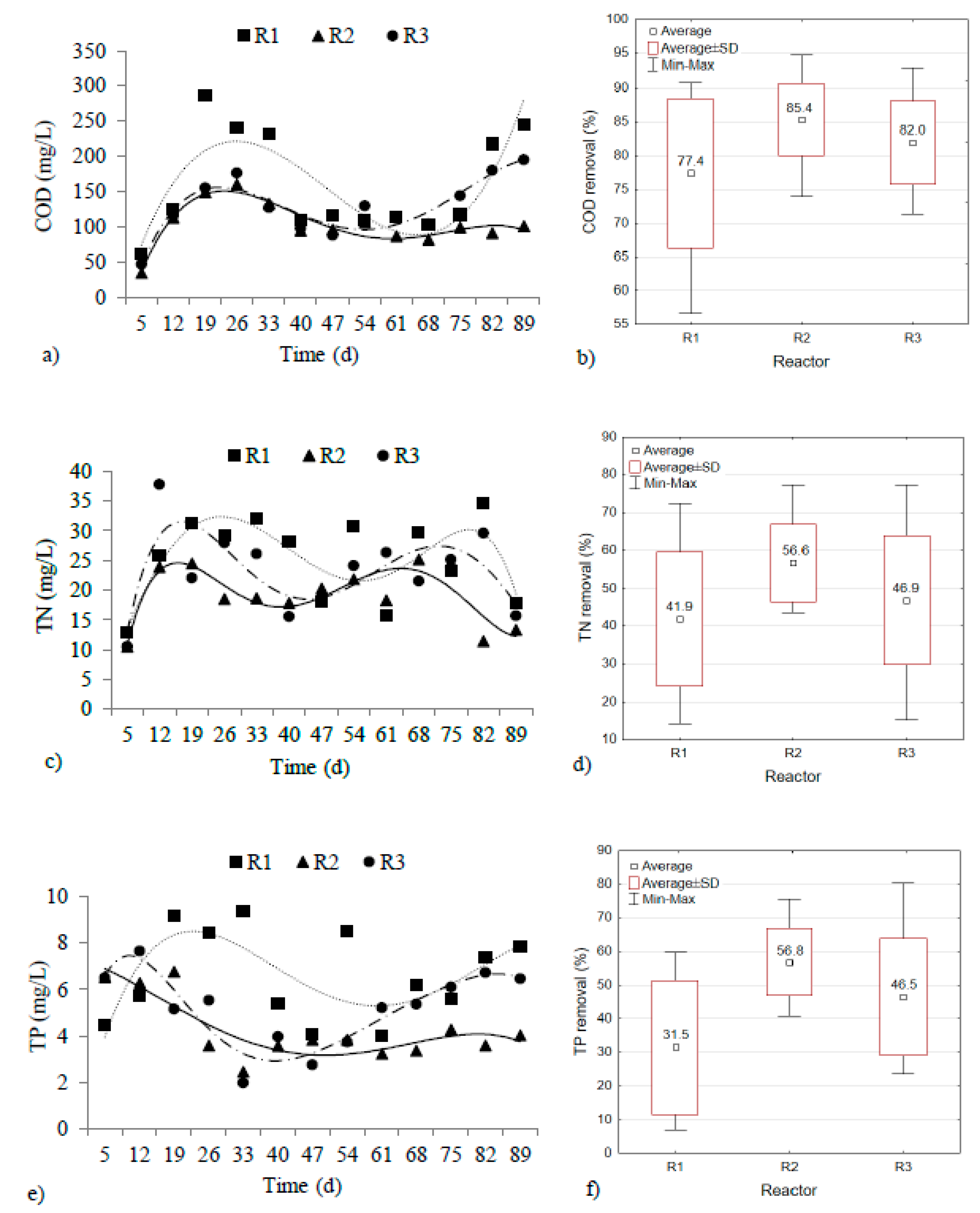
3.5. Carbon, Nitrogen, and Phosphorus Removal
4. Conclusions
Author Contributions
Funding
Acknowledgments
Conflicts of Interest
References
- Guo, N.; Zhang, J.; Xie, H.-J.; Tan, L.-R.; Luo, J.-N.; Tao, Z.-Y.; Wang, S.-G. Effects of the Food-to-Microorganism (F/M) Ratio on N2O Emissions in Aerobic Granular Sludge Sequencing Batch Airlift Reactors. Water 2017, 9, 477. [Google Scholar] [CrossRef]
- Jafari Kang, A.; Yuan, Q. Long-term stability and nutrient removal efficiency of aerobic granules at low organic loads. Biores. Technol. 2017, 234, 336–342. [Google Scholar] [CrossRef]
- Zou, J.; Pan, J.; Wu, S.; Qian, M.; He, Z.; Wang, B.; Li, J. Rapid control of activated sludge bulking and simultaneous acceleration of aerobic granulation by adding intact aerobic granular sludge. Sci. Total Environ. 2019, 674, 105–113. [Google Scholar] [CrossRef]
- He, Q.L.; Zhang, S.L.; Zou, Z.C.; Wang, H.Y. Enhanced formation of aerobic granular sludge with yellow earth as nucleating agent in a sequencing batch reactor. IOP Conf. Ser. Earth Environ. Sci. 2016, 39, 1–10. [Google Scholar] [CrossRef]
- Bengtssona, S.; de Bloisc, M.; Wilen, B.-M.; Gustavssond, D. Treatment of municipal wastewater with aerobic granular sludge. Crit. Rev. Environ. Sci. Technol. 2018, 48, 119–166. [Google Scholar] [CrossRef]
- Nancharaiah, Y.V.; Kiran Kumar Reddy, G. Aerobic granular sludge technology: Mechanisms of granulation and biotechnological applications. Biores. Technol. 2018, 247, 1128–1143. [Google Scholar] [CrossRef]
- Tay, J.H.; Pan, S.; He, Y.; Tay, S.T.L. Effect of organic loading rate on aerobic granulation. I: Reactor performance. J. Environ. Eng. 2004, 130, 1094–1101. [Google Scholar] [CrossRef]
- De Kreuk, M.K.; Kishida, N.; Tsuneda, S.; van Loosdrecht, M.C.M. Behavior of polymeric substrates in an aerobic granular sludge system. Wat. Res. 2010, 44, 5929–5938. [Google Scholar] [CrossRef]
- Sheng, G.P.; Li, A.J.; Li, X.Y.; Yu, H.Q. Effects of seed sludge properties and selective biomass discharge on aerobic sludge granulation. Chem. Eng. J. 2010, 160, 108–114. [Google Scholar] [CrossRef]
- Zhou, J.-H.; Zhao, H.; Hu, M.; Yu, H.-T.; Xu, X.-Y.; Vidonish, J.; Alvarez, P.J.J.; Zhu, L. Granular activated carbon as nucleating agent for aerobic sludge granulation: Effect of GAC size on velocity field differences (GAC versus flocs) and aggregation behavior. Biores. Technol. 2015, 198, 358–363. [Google Scholar] [CrossRef]
- Czarnota, J.; Masłoń, A. Biogranulation and physical properties of aerobic granules in reactors at low organic loading rate and with powdered ceramsite added. J. Ecol. Eng. 2019, 20, 202–210. [Google Scholar] [CrossRef]
- Sguanci, S.; Lubello, C.; Caffaz, S.; Lotti, T. Long-term stability of aerobic granular sludge for the treatment of very low-strength real domestic wastewater. J. Clean. Prod. 2019, 222, 882–890. [Google Scholar] [CrossRef]
- Kim, I.S.; Kim, S.M.; Jang, A. Characterization of aerobic granules by microbial density at different COD loading rates. Biores. Technol. 2008, 99, 18–25. [Google Scholar] [CrossRef]
- Sarma, S.J.; Tay, J.H.; Chu, A. Finding Knowledge Gaps in Aerobic Granulation Technology. Trends Biotechnol. 2017, 35, 66–78. [Google Scholar] [CrossRef]
- Czarnota, J.; Masłoń, A.; Zdeb, M. Powdered keramsite as unconventional method of AGS technology support in GSBR reactor with minimum-optimum OLR. E3S Web Conf. 2018, 44, 00024. [Google Scholar] [CrossRef]
- De Kreuk, M.K.; van Loosdrecht, M.C. Formation of aerobic granules with domestic sewage. J. Environ. Eng. 2006, 132, 694–697. [Google Scholar] [CrossRef]
- Val del Río, A.; Morales, N.; Figueroa, M.; Mosquera-Corral, A.; Campos, J.L.; Méndez, R. Effect of coagulant-flocculant reagents on aerobic granular biomass. J. Chem. Technol. Biotechnol. 2012, 87, 908–913. [Google Scholar] [CrossRef]
- Pijuan, M.; Werner, U.; Yuan, Z.G. Reducing the startup time of aerobic granular sludge reactors through seeding floccular sludge with crushed aerobic granules. Water Res. 2011, 45, 5075–5083. [Google Scholar] [CrossRef]
- Verawaty, M.; Pijuan, M.; Yuan, Z.; Bond, P.L. Determining the mechanisms for aerobic granulation from mixed seed of floccular and crushed granules in activated sludge wastewater treatment. Water Res. 2012, 46, 761–771. [Google Scholar] [CrossRef]
- Minh, N.D. Treatment of High-Strength Organic Wastewater Using an Aerobic Granular System with Baffed Membrane Bioreactor AIT Thesis. Master’s Thesis, Asian Institute of Technology, Bangkok, Thailand, 2006; pp. 1–119. [Google Scholar]
- Thanh, B.X.; Visvanathan, C.; Aim, R.B. Characterization of aerobic granular sludge at various organic loading rates. Process Biochem. 2009, 44, 242–245. [Google Scholar] [CrossRef]
- Wei, D.; Xue, X.; Chen, S.; Zhang, Y.; Yan, L.; Wei, Q.; Du, B. Enhanced aerobic granulation and nitrogen removal by the addition of zeolite powder in a sequencing batch reactor. Appl. Microbiol. Biotechnol. 2013, 97, 9235–9243. [Google Scholar] [CrossRef]
- Wei, Y.; Ji, M.; Li, G.; Qin, F. Powdered Activated Carbon (PAC) Addition for Enhancement of Aerobically Grown Microbial Granules Treating Landfill Leachate. In Proceedings of the 2010 the 2nd Conference on Environmental Science and Information Application Technology, Wuhan, China, 17–18 July 2010; pp. 805–808. [Google Scholar] [CrossRef]
- Li, A.J.; Li, X.Y.; Yu, H.Q. Granular activated carbon for aerobic sludge granulation in a bioreactor with a low-strength wastewater influent. Sep. Purif. Technol. 2011, 80, 276–283. [Google Scholar] [CrossRef]
- Li, J.; Liu, J.; Wang, D.; Chen, T.; Ma, T.; Wang, Z.; Zhuo, W. Accelerating Aerobic Sludge Granulation by Adding Dry Sewage Sludge Micropowder in Sequencing Batch Reactors. Int. J. Environ. Res. Public Health 2015, 12, 10056–10065. [Google Scholar] [CrossRef]
- Tao, J.; Qin, L.; Liu, X.; Li, B.; Chen, J.; You, J.; Shen, Y.; Chen, H. Effect of granular activated carbon on the aerobic granulation of sludge and its mechanism. Biores. Technol. 2017, 236, 60–67. [Google Scholar] [CrossRef]
- Zhang, D.; Li, W.; Hou, C.; Shen, J.; Jiang, X.; Sun, X.; Li, J.; Han, W.; Wang, L.; Liu, X. Aerobic granulation accelerated by biochar for the treatment of refractory wastewater. Chem. Eng. J. 2017, 314, 88–97. [Google Scholar] [CrossRef]
- Liang, Z.; Tu, Q.; Su, X.; Yang, X.; Chen, J.; Chen, Y.; Li, H.; Liu, C.; He, Q. Formation, Extracellular Polymeric Substances, and Structural Stability of Aerobic Granules Enhanced by Granular Activated Carbon. Environ. Sci. Pollut. Res. 2019, 26, 6123–6132. [Google Scholar] [CrossRef]
- Zhang, Y.; Dong, X.; Nuramkhaan, M.; Lei, Z.; Shimizu, K.; Zhang, Z.; Adachi, Y.; Lee, D.-J.; Tay, J.-H. Rapid granulation of aerobic granular sludge: A mini review on operation strategies and comparative analysis. Biores. Technol. Rep. 2019, 7, 1–12. [Google Scholar] [CrossRef]
- Lin, H.; Ma, R.; Hu, Y.; Lin, J.; Sun, S.; Jiang, J.; Li, T.; Liao, Q.; Luo, J. Reviewing bottlenecks in aerobic granular sludge technology: Slow granulation and low granular stability. Environ. Pollut. 2020, 263, 1–11. [Google Scholar] [CrossRef]
- Thanh, B.X.; Visvanathan, C.; Aim, R.B. Fouling characterization in aerobic granulation coupled baffled membrane bioreactor. J. Membrane Sci. 2008, 318, 334–339. [Google Scholar] [CrossRef]
- Thanh, B.X. Aerobic Granulation Coupled Membrane Bioreactor. AIT Thesis No. EV-05-5. Master’s Thesis, Asian Institute of Technology, Bangkok, Thailand, 2005; pp. 1–157. [Google Scholar]
- Czarnota, J.; Masłoń, A.; Zdeb, M.; Łagód, G. The impact of different powdered mineral materials on selected properties of aerobic granular sludge. Molecules 2020, 25, 386. [Google Scholar] [CrossRef]
- Czarnota, J.; Tomaszek, J.A.; Masłoń, A. The use of powdered materials in the technology of aerobic granular sludge. Gas Water Sanit. Eng. 2016, 11, 411–417. (In Polish) [Google Scholar] [CrossRef]
- Ren, T.T.; Liu, L.; Sheng, G.P.; Liu, X.W.; Yu, H.Q. Calcium spatial distribution in aerobic granules and its effects on granule structure, strength and bioactivity. Water Res. 2008, 42, 3343–3352. [Google Scholar] [CrossRef]
- Kończak, B.; Miksch, K. Effect of Ca2+, Mg2+ i Fe3+ cations on formation of aerobic granular biomass. Przem. Chem. 2011, 90, 2002–2005. (In Polish) [Google Scholar]
- Sajjad, M.; Kim, K.S. Studies on the interactions of Ca2+ and Mg2+ with EPS and their role in determining the physicochemical characteristics of granular sludges in SBR system. Process Biochem. 2015, 50, 966–972. [Google Scholar] [CrossRef]
- APHA. Standard Methods for the Examination of Water and Wastewater, 21st ed.; American Public Health Association: Washington, DC, USA, 2005. [Google Scholar]
- Kristensen, G.H.; Jørgensen, P.E.; Henze, M. Characterization of functional microorganism groups and substrate in activated sludge and wastewater by AUR, NUR and OUR. Water Sci. Technol. 1992, 25, 43–57. [Google Scholar] [CrossRef]
- Zielińska, M.; Bernat, K.; Cydzik-Kwiatkowska, A.; Wojnowska-Baryła, I. Respirometric activity of activated sludge in sequencing batch reactor depending on substrate and dissolved oxygen concentration. Environ. Prot. Eng. 2012, 38, 41–49. [Google Scholar] [CrossRef]
- Arrojo, B. Advanced Systems for Biological Treatment of High Nitrogen—Loaded Wastewater. Ph.D. Thesis, University Santiago de Compostela, Santiago de Compostela, Spain, 2007; pp. 1–312. [Google Scholar]
- Li, A.-J.; Li, X.-Y.; Yu, H.-Q. Aerobic sludge granulation facilitated by activated carbon for partial nitrification treatment of ammonia-rich wastewater. Chem. Eng. J. 2013, 218, 253–259. [Google Scholar] [CrossRef]
- Wang, S.-G.; Gai, L.-H.; Zhao, L.-J.; Fan, M.-H.; Gong, W.-X.; Gao, B.-Y.; Ma, Y. Aerobic Granules for Low-Strength Wastewater Treatment: Formation, Structure, and Microbial Community. J. Chem. Technol. Biotechnol. 2009, 84, 1015–1020. [Google Scholar] [CrossRef]
- Jiang, H.L.; Tay, J.H.; Liu, Y.; Tay, S.T. Ca2+ augmentation for enhancement of aerobically grown microbial granules in sludge blanket reactors. Biotechnol. Lett. 2003, 25, 95–99. [Google Scholar] [CrossRef]
- Cydzik-Kwiatkowska, A.; Rusanowska, P.; Głowacka, K. Operation mode and external carbon dose as determining factors in elemental composition and morphology of aerobic granules. Arch. Environ. Prot. 2016, 42, 74–79. [Google Scholar] [CrossRef][Green Version]
- Wu, D.; Zhang, Z.; Yu, Z.; Zhu, L. Optimization of F/M for stability of aerobic granular process via quantitative sludge discharge. Biores. Technol. 2018, 252, 150–156. [Google Scholar] [CrossRef]
- Kończak, B.; Miksch, K. Influence of extracellular polymeric substances on aerobic granulation. Sci. Rev. Eng. Environ. Sci. 2016, 25, 425–432. [Google Scholar]
- Sarma, S.J.; Tay, J.-H. Carbon, nitrogen and phosphorus removal mechanisms of aerobic granules. Crit. Rev. Biotechnol. 2018, 38, 1077–1088. [Google Scholar] [CrossRef] [PubMed]
- Filali, A.; Manas, A.; Mercade, M.; Bessière, Y.; Biscans, B.; Spérandio, M. Stability and performance of two GSBR operated in alternating anoxic/aerobic or anaerobic/aerobic conditions for nutrient removal. Biochem. Eng. J. 2012, 67, 10–19. [Google Scholar] [CrossRef]
- Manas, A.; Sperandio, M.; Decker, F.; Biscans, B. Location and chemical composition of microbially induced phosphorus precipitates in anaerobic and aerobic granular sludge. Environ. Technol. 2012, 33, 2195–2209. [Google Scholar] [CrossRef] [PubMed]






| Mineral Material | Specific Surface Area (m2/g) | Density (g/cm3) | Diameter (µm) | Reference |
|---|---|---|---|---|
| Basalt | Large * | n.d. | from 212 to 300 | [20] |
| Zeolite | Large * | n.d. | from 150 to 300 | [22] |
| Bivalve shell carrier | Large * | 1.45 | from 150 to 220 | [21,31] |
| Yellow earth | n.d. | n.d. | above 270 | [4] |
| Ceramsite | 5.183 | 2.6182 | to 200 | [11,15] |
| Parameter, Units | Powdered Ceramsite (PK) | Powdered Limestone (PL) |
|---|---|---|
| Specific surface area (SBET), m2/g | 5.183 | 1.760 |
| Sphericity/shape | low sphericity | hight sphericity |
| Granulation: d90; d50; d10, µm | 85.279; 24.110; 3.643 | 189.720; 33.915; 1.865 |
| Apparent density, g/cm3 | 2.6182 | 2.1949 |
| Chemical composition, mg/g | Ca: 75.90; Fe: 45.15; Mg: 21.61; Si: 216.30 | Ca: 691.04; Fe: 1.68; Mg: 4.61; Si: 5.58 |
| Substance leaching, µg/g | Ca: 451.65; Fe: 0.50; Mg: 97.87; Si: 23.01 | Ca: 87.75; Fe: 0.21; Mg: 12.67; Si: 7.00 |
| Settling velocity, m/h | approx. 9.0 | approx. 12.0 |
| Parameter, Units | R1 | R2 | R3 |
|---|---|---|---|
| Powdered materials | - | ceramsite | limestone |
| Dosage of powdered material, g/L | - | 3.0 | 3.0 |
| Working height (H) and internal diameter (D), m | 0.78 and 0.07 (H/D = 11.1) | ||
| Average daily flow of wastewater, L/d | 12.0 | 12.0 | 12.0 |
| Amount of wastewater fed during the cycle (ΔV), L | 1.5 | 1.5 | 1.5 |
| Volumetric exchange ratio (VER), - | 0.5 | 0.5 | 0.5 |
| Hydraulic retention time (HRT), h | 6 (*) | 6 | 6 |
| Cycle of operation (3 h) | 10 min—feeding without stirring, 160 min—reaction (air supply: 110 L/h), 4 min—settling, 5 min—decantation, 1 min—an idle phase | ||
| Parameter, Units | Minimum | Maximum | Average | Standard Deviation |
|---|---|---|---|---|
| COD, mg O2/L | 615.0 | 785.0 | 717.1 | 62.6 |
| NH4+–N, mg N/L | 28.8 | 42.8 | 39.3 | 3.4 |
| NO3−–N, mg N/L | 0.51 | 2.99 | 1.56 | 0.61 |
| NO2−–N, mg N/L | 0.002 | 0.032 | 0.007 | 0.008 |
| TN, mg N/L | 40.3 | 50.3 | 44.0 | 3.0 |
| PO43−–P, mg P/L | 7.49 | 9.08 | 8.27 | 0.52 |
| TP, mg P/L | 8.55 | 11.6 | 9.73 | 1.05 |
| COD/TN ratio | 13.8 | 18.7 | 16.3 | 1.6 |
| COD/TP ratio | 53.8 | 89.7 | 74.9 | 12.8 |
| Reactor | OLR g COD/(L∙d) | COD (mg O2/L) | SVI (mL/g) | MLSS (g/L) | Diameter of Granules (mm) | References |
|---|---|---|---|---|---|---|
| control | - | min. 1310 max. 5534 | - | - | to 0.7 * | [23] |
| with 1.0 g/L of PAC | 38.0 | 5.0 | to 0.6 | |||
| control | 0.8 | 200 | 100.0 | approx. 3.0 | to 0.25 | [24] |
| with 3.0 g/L of GAC | 40.0 | approx. 3.4 | to 0.6 | |||
| control | - | min. 800 max. 2000 | 47.9 | 5.45 | from 0.6 to 4.0 | [22] |
| with 3.0 g/L of zeolite | 34.9 | 7.36 | from 1.0 to 5.0 | |||
| control | 1.5 | 503 | 70.0 | 3.50 | lack of granules | [10] |
| with 1.0 g/L of GAC | 26.0 | 9.08 | 0.44 | |||
| control | 4.0 | min. 800 max. 1000 | 73.0 | 4.92 | approx. 0.2 | [25] |
| with 1.0 g/L of SSM | 51.0 | 8.62 | approx. 0.4 | |||
| with 20.0 g/L of basalt (SBAR) | 3.0–4.0 | - | to 32.0 | 11.23 | from 0.3 to 3.7 | [20] |
| with 20.0 g/L of basalt (SBBR) | to 28.0 | 12.78 | from 0.3 to 4.0 | |||
| control (35 cm3 of anaerobic granules) | 2.5–30.0 | 600 | 19.0 | approx. 15 | from 0.3 to 4.0 | [21,31] |
| with 20.0 g/L of BSC | 14.0 | approx. 10 | from 0.5 to 2.0 | |||
| with 3.0 g/L of powdered ceramsite | 2.1 | 862.8 ± 31.0 | 30.1 | 4.37 ** | to 0.96 | [11] |
| 1.0 | 408.9 ± 12.9 | 36.9 | 3.03 ** | to 0.29 |
© 2020 by the authors. Licensee MDPI, Basel, Switzerland. This article is an open access article distributed under the terms and conditions of the Creative Commons Attribution (CC BY) license (http://creativecommons.org/licenses/by/4.0/).
Share and Cite
Czarnota, J.; Tomaszek, J.A.; Masłoń, A.; Piech, A.; Łagód, G. Powdered Ceramsite and Powdered Limestone Use in Aerobic Granular Sludge Technology. Materials 2020, 13, 3894. https://doi.org/10.3390/ma13173894
Czarnota J, Tomaszek JA, Masłoń A, Piech A, Łagód G. Powdered Ceramsite and Powdered Limestone Use in Aerobic Granular Sludge Technology. Materials. 2020; 13(17):3894. https://doi.org/10.3390/ma13173894
Chicago/Turabian StyleCzarnota, Joanna, Janusz A. Tomaszek, Adam Masłoń, Adam Piech, and Grzegorz Łagód. 2020. "Powdered Ceramsite and Powdered Limestone Use in Aerobic Granular Sludge Technology" Materials 13, no. 17: 3894. https://doi.org/10.3390/ma13173894
APA StyleCzarnota, J., Tomaszek, J. A., Masłoń, A., Piech, A., & Łagód, G. (2020). Powdered Ceramsite and Powdered Limestone Use in Aerobic Granular Sludge Technology. Materials, 13(17), 3894. https://doi.org/10.3390/ma13173894

