Silane Treatment as an Effective Way of Improving the Reinforcing Activity of Carbon Nanofibers in Nitrile Rubber Composites
Abstract
1. Introduction
2. Materials and Methods
2.1. Raw Materials
2.2. Silanization of Carbon Nanofibers
2.3. Fabrication of Elastomer Composites
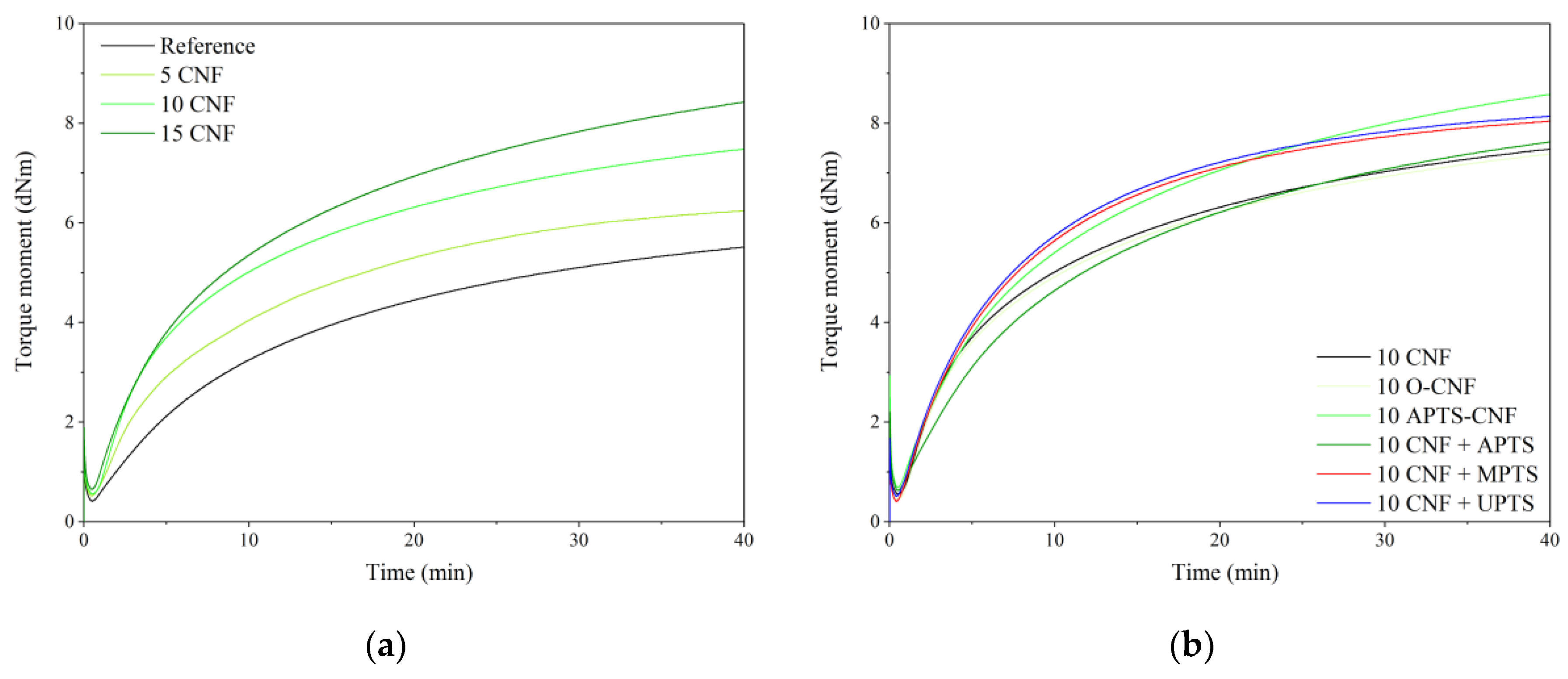
- Neat NBR (Reference)
- NBR filled with 5 phr of CNF (5 CNF)
- NBR filled with 10 phr of CNF (10 CNF)
- NBR filled with 15 phr of CNF (15 CNF)
- NBR filled with 10 phr of oxidized CNF (10 O-CNF)
- NBR filled with 10 phr of APTS-silanized CNF (10 APTS-CNF)
- NBR filled with 10 phr of CNF modified in situ by APTS (10 CNF + APTS)
- NBR filled with 10 phr of CNF modified in situ by MPTS (10 CNF + MPTS)
- NBR filled with 10 phr of CNF modified in situ by UPTS (10 CNF + UPTS)
2.4. Characterization Techniques
3. Results
3.1. Characterization of the Carbon Nanofibers
3.2. Rheometric Studies
3.3. Crosslink Density Measurement
3.4. FTIR Analysis and Morphology of the Elastomer Composites
3.5. Mechanical Properties
3.6. Payne Effect
3.7. Electrical Properties
3.8. Flammability
4. Conclusions
- Rheometric measurements showed that application of APTS-silanized CNF resulted in the improvement of torque moment by approximately 53% and 12% compared to the raw NBR and to NBR filled with unmodified CNF, respectively.
- Swelling experiments indicated that the 10 APTS-CNF sample exhibited a very high crosslink density value (6.9 mol/cm3), which was 1.3 mol/cm3 higher than that measured for the composite filled with raw CNF.
- The tensile strength of the nitrile rubber composites was improved considerably, from 4.8 and 6.9 MPa (raw NBR and NBR/10CNF) up to 9.5 MPa for the composite with APTS-CNF, indicating the stronger reinforcing effect of CNF following the silanization process.
- SEM images showed better adhesion and dispersion of the silanized CNF in NBR matrix compared with unmodified CNF.
- NBR composites filled with APTS-CNF exhibited enhanced electrical conductivity (9.8 × 10−12 S) compared to pure NBR (3.4 × 10−13 S) and NBR filled with raw CNF (6.4 × 10−12 S), most likely due to the improved filler dispersion.
- Rheological experiments revealed improved polymer-filler interactions after the application of silane coupling agents, as evidenced by the reduced Payne effect.
- The flammability parameters of the 10 APTS-CNF composite were 20% lower compared to pure NBR, suggesting improved fire resistance in the case of the elastomer composites.
Author Contributions
Funding
Conflicts of Interest
References
- Bhattacharya, M. Polymer nanocomposites—a comparison between carbon nanotubes, graphene, and clay as nanofillers. Materials 2016, 9, 262. [Google Scholar] [CrossRef]
- Wernik, J.M.; Meguid, S.A. Recent developments in multifunctional nanocomposites using carbon nanotubes. Appl. Mech. Rev. 2010, 63, 050801. [Google Scholar] [CrossRef]
- Kausar, A.; Ilyas, H.; Siddiq, M. Current Research Status and Application of Polymer/Carbon Nanofiller Buckypaper: A Review. Polym. Plast. Technol. Eng. 2017, 56, 1780–1800. [Google Scholar] [CrossRef]
- Marzec, A.; Laskowska, A.; Boiteux, G.; Zaborski, M.; Gain, O.; Serghei, A. Properties of carboxylated nitrile rubber/hydrotalcite composites containing imidazolium ionic liquids. Macromol. Symp. 2014, 341, 7–17. [Google Scholar] [CrossRef]
- Guadagno, L.; Raimondo, M.; Vittoria, V.; Vertuccio, L.; Lafdi, K.; De Vivo, B.; Lamberti, P.; Spinelli, G.; Tucci, V. The role of carbon nanofiber defects on the electrical and mechanical properties of CNF-based resins. Nanotechnology 2013, 24, 305704. [Google Scholar] [CrossRef]
- Al-Saleh, M.H.; Sundaraja, U. Review of the mechanical properties of carbon nanofiber/polymer composites. Compos. Part A Appl. Sci. Manuf. 2011, 42, 2126–2142. [Google Scholar] [CrossRef]
- Paleo, A.J.; Sencadas, V.; van Hattum, F.W.J.; Lanceros-Mendez, S.; Ares, A. Carbon nanofiber type and content dependence of the physical properties of carbon nanofiber reinforced polypropylene composites. Polym. Eng. Sci. 2014, 54, 117–128. [Google Scholar] [CrossRef]
- Gauthier, C.; Chazeau, L.; Prasse, T.; Cavaille, J.Y. Reinforcement effects of vapour grown carbon nanofibres as fillers in rubbery matrices. Compos. Sci. Technol. 2005, 62, 335–343. [Google Scholar] [CrossRef]
- Jimenez, G.A.; Jana, S.C. Electrically conductive polymer nanocomposites of polymethylmethacrylate and carbon nanofibers prepared by chaotic mixing. Compos. Part A Appl. Sci. Manuf. 2007, 38, 983–993. [Google Scholar] [CrossRef]
- Sanchez-Garcia, M.D.; Lagaron, J.M.; Hoa, S.V. Effect of addition of carbon nanofibers and carbon nanotubes on properties of thermoplastic biopolymers. Compos. Sci. Technol. 2010, 70, 1095–1105. [Google Scholar] [CrossRef]
- Jang, J.S.; Varischetti, J.; Lee, G.; Suhr, J. Experimental and analytical investigation of mechanical damping and CTE of both SiO2 particle and carbon nanofiber reinforced hybrid epoxy composites. Compos. Part A Appl. Sci. Manuf. 2011, 42, 98–103. [Google Scholar] [CrossRef]
- Zhang, B.; Fu, R.; Zhang, M.; Dong, X.; Zhao, B.; Wang, L.; Pittman, C.U., Jr. Studies of the vapor-induced sensitivity of hybrid composites fabricated by filling polystyrene with carbon black and carbon nanofibers. Compos. Part A Appl. Sci. Manuf. 2006, 37, 1884–1889. [Google Scholar] [CrossRef]
- Shokrieh, M.M.; Esmkhani, M.; Haghighatkhah, A.R.; Zhao, Z. Flexural fatigue behavior of synthesized graphene/carbon-nanofiber/epoxy hybrid nanocomposites. Mater. Des. 2014, 62, 401–408. [Google Scholar] [CrossRef]
- Chowdhurry, S.; Olima, M.; Liu, Y.; Saha, M.; Bergman, J.; Robison, T. Poly dimethylsiloxane/carbon nanofiber nanocomposites: Fabrication and characterization of electrical and thermal properties. Int. J. Smart Nano Mater. 2016, 7, 236–247. [Google Scholar] [CrossRef][Green Version]
- Bal, S.; Saha, S. Comparison and analysis of physical properties of carbon nanomaterial-doped polymer composites. High Perform Polym. 2014, 26, 953–960. [Google Scholar] [CrossRef]
- Li, Y.; Ji, J.; Wang, Y.; Li, R.; Zhong, W.H. Soy proteintreated nanofillers creating adaptive interfaces in nanocomposites with effectively improved conductivity. J. Mater. Sci. 2018, 53, 8653–8655. [Google Scholar] [CrossRef]
- Pingot, M.; Szadkowski, B.; Zaborski, M. Effect of carbon nanofibers on mechanical and electrical behaviors of acrylonitrile-butadiene rubber composites. Polym. Adv. Technol. 2018, 29, 1661–1669. [Google Scholar] [CrossRef]
- Lakshminarayanan, P.V.; Toghiani, H.; Pittman, C.U. Nitric acid oxidation of vapor grown carbon nanofibers. Carbon 2004, 42, 2433–2442. [Google Scholar] [CrossRef]
- Al-Saleh, M.H.; Sundararaj, U. A review of vapor grown carbon nanofiber/polymer conductive composites. Carbon 2009, 47, 2–22. [Google Scholar] [CrossRef]
- Nie, Y.; Hübert, T. Effect of carbon nanofiber (CNF) silanization on the properties of CNF/epoxy nanocomposites. Polym. Int. 2011, 60, 1574–1580. [Google Scholar] [CrossRef]
- Ahn, S.N.; Lee, H.J.; Kim, B.J.; Tan, L.S.; Baek, J.B. Epoxy/amine-functionalized short-length vapor-grown carbon nanofiber composites. J. Polym. Sci. Part A Polym. Chem. 2008, 46, 7473–7482. [Google Scholar] [CrossRef]
- Marzec, A.; Laskowska, A.; Boiteux, G.; Zaborski, M.; Gain, O.; Serghei, A. Study on weather aging of nitrile rubber composites containing imidazolium ionic liquids. Macromol. Symp. 2014, 342, 25–34. [Google Scholar] [CrossRef]
- Masłowski, M.; Miedzianowska, J.; Strzelec, K. Reinforced, extruded, isotropic magnetic elastomer composites: Fabrication and properties. Adv. Polym. Tech. 2019, 2019, 1–11. [Google Scholar] [CrossRef]
- Zhu, M.; Lerum, M.Z.; Chen, W. How to prepare reproducible, homogeneous, and hydrolytically stable aminosilane-derived layers on silica. Langmuir 2012, 28, 416–423. [Google Scholar] [CrossRef]
- Szadkowski, B.; Marzec, A.; Zaborski, M. Effect of different carbon fillers on the properties of nitrile rubber composites. Compos. Interfaces 2019, 26, 729–750. [Google Scholar] [CrossRef]
- Szadkowski, B.; Marzec, A.; Zaborski, A. Use of carbon black as reinforcing nano-filler in conductivity-reversible elastomer composites. Polym Test. 2020, 81, 106222. [Google Scholar] [CrossRef]
- Laskowska, A.; Marzec, A.; Boiteux, G.; Zaborski, M.; Gain, O.; Serghei, A. Investigations of nitrile rubber composites containing imidazolium ionic liquids. Macrmol. Symp. 2014, 341, 18–25. [Google Scholar] [CrossRef]
- Ma, H.; Zeng, J.; Realff, M.L.; Kumar, S.; Schiraldi, D.A. Processing, structure, and properties of fibers from polyester/carbon nanofiber composites. Compos. Sci. Technol. 2003, 63, 1617–1628. [Google Scholar] [CrossRef]
- Bhattacharya, M.; Bhowmick, A.K. Correlation of vulcanization and viscoelastic properties of nanocomposites based on natural rubber and different nanofillers, with molecular and supramolecular structure. Rubber Chem. Technol. 2010, 83, 16–34. [Google Scholar] [CrossRef]
- Surya, I.; Ismail, H.; Azura, A.R. The comparison of alkanolamide and silane coupling agent on the properties of silica-filled natural rubber (SMR-L) compounds. Polym. Test. 2014, 40, 24–32. [Google Scholar] [CrossRef]
- Boonbumrung, A.; Sae-Oui, P.; Sirisinha, C. Reinforcement of multiwalled carbon nanotube in nitrile rubber: In comparison with carbon black, conductive carbon black, and precipitated silica. J. Nanomater. 2016, 2016, 1–8. [Google Scholar] [CrossRef]
- Szadkowski, B.; Marzec, A.; Zaborski, M. Effect of in situ silanization of multiwalled carbon nanotubes on the properties of NBR/MWCNT-OH composites. Polym. Plast. Technol. Eng. 2019, 58, 1327–1341. [Google Scholar] [CrossRef]
- Nihmath, A.; Ramesan, M.T. Fabrication, characterization and dielectric studies of NBR/hydroxyapatite nanocomposites. J Inorg. Organomet. Polym. 2017, 27, 481–489. [Google Scholar] [CrossRef]
- Kumar, S.R.; Asseref, P.M.; Dhanasekaran, J.; Mohan, S.K. A new approach with prepregs for reinforcing nitrile rubber with phenolic and benzoxazine resins. RSC Adv. 2014, 4, 12526–12533. [Google Scholar] [CrossRef]
- Laskowska, A.; Zaborski, M.; Boiteux, G.; Gain, O.; Marzec, A.; Maniukiewicz, W. Ionic elastomers based on carboxylated nitrile rubber (XNBR) and magnesium aluminum layered double hydroxide (hydrotalcite). Express Polym. Lett. 2014, 8, 374–386. [Google Scholar] [CrossRef]
- Laskowska, A.; Marzec, A.; Zaborski, M.; Boiteux, G. Reinforcement of carboxylated acrylonitrile-butadiene rubber (XNBR) with graphene nanoplatelets with varying surface area. J. Polym. Eng. 2014, 34, 883–893. [Google Scholar] [CrossRef]
- Nakaramontri, Y.; Kummerlöwe, C.; Nakason, C.; Vennemann, N. The effect of surface functionalization of carbon nanotubes on properties of natural rubber/carbon nanotube composites. Polym. Compos. 2015, 36, 2113–2122. [Google Scholar] [CrossRef]
- Kaewsakul, W.; Sahakaro, K.; Dierkes, W.K.; Noordermeer, J.W. Mechanistic aspects of silane coupling agents with different functionalities on reinforcement of silica-filled natural rubber compounds. Polym. Eng. Sci. 2015, 55, 836–842. [Google Scholar] [CrossRef]
- Luginsland, H.D.; Frohlich, J.; Wehmeier, A. Influence of different silanes on the reinforcement of silica-filled rubber compounds. Rubber Chem. Technol. 2002, 75, 563–579. [Google Scholar] [CrossRef]
- Raji, M.; Mekhzoum, M.E.M.; Rodrigue, D.; el Kacem Qaiss, A.; Bouhfid, R. Effect of silane functionalization on properties of polypropylene/clay nanocomposites. Compos. B. Eng. 2018, 146, 106–115. [Google Scholar]
- Li, W.; Zhou, B.; Wang, M.; Li, Z.; Ren, R. Silane functionalization of graphene oxide and its use as a reinforcement in bismaleimide composites. J. Mater. Sci. 2015, 50, 5402–5410. [Google Scholar] [CrossRef]
- Payne, A.R. Effect of dispersion on the dynamic properties of filler-loaded rubbers. J Appl. Polym. Sci. 1965, 9, 2273–2284. [Google Scholar] [CrossRef]
- Wang, M.J. Effect of polymer-filler and filler-filler interactions on dynamic properties of filled vulcanizates. Rubber Chem. Technol. 1998, 71, 520–589. [Google Scholar] [CrossRef]
- Georgousis, G.; Pandis, C.; Chatzimanolis-Moustakas, C.; Kyritsis, A.; Kontou, E.; Pissis, P.; Omastová, M. Study of the reinforcing mechanism and strain sensing in a carbon black filled elastomer. Compos. B. Eng. 2015, 80, 20–26. [Google Scholar] [CrossRef]
- Bokobza, L. Multiwall carbon nanotube-filled natural rubber: Electrical and mechanical properties. Express Polym. Lett. 2012, 6, 213–223. [Google Scholar] [CrossRef]
- Fu, W.; Wang, L. Research on Payne effect of natural rubber reinforced by graft-modified silica. J. Appl. Polym. Sci. 2016, 133, 43891. [Google Scholar] [CrossRef]
- Gauthier, C.; Reynaud, E.; Vassoille, R.; Ladouce-Stelandre, L. Analysis of the non-linear viscoelastic behaviour of silica filled styrene butadiene rubber. Polymer 2004, 45, 2761–2771. [Google Scholar] [CrossRef]
- Sengloyluan, K.; Sahakaro, K.; Dierkes, W.K.; Noordermeer, J.W.M. Silane grafted natural rubber and its compatibilization effect on silica-reinforced rubber tire compounds. Express Polym. Lett. 2017, 11, 1003–1022. [Google Scholar] [CrossRef]
- Ye, X.; Tian, M.; Zhang, L.Q. Some interesting phenomena in silica-filled HNBR with the addition of silane coupling agent. J. Appl. Polym. Sci. 2012, 124, 927–934. [Google Scholar] [CrossRef]
- Nakaramontri, Y.; Kummerlöwe, C.; Vennemann, N.; Wisunthorn, S.; Pichaiyut, S.; Nakason, C. Effect of bis (triethoxysilylpropyl) tetrasulfide (TESPT) on properties of carbon nanotubes and conductive carbon black hybrid filler filled natural rubber nanocomposites. Express Polym. Lett. 2018, 12, 867–884. [Google Scholar] [CrossRef]
- Gilman, J.W.; Harris, R.H.; Shields, J.R.; Kashiwagi, T.; Morgan, A.B. A study of the flammability reduction mechanism of polystyrene-layered silicate nanocomposite: Layered silicate reinforce carbonaceous char. Polym. Adv. Technol. 2006, 17, 263–271. [Google Scholar] [CrossRef]
- Morgan, A.B.; Liu, W. Flammability of thermoplastic carbon nanofiber nanocomposites. Fire Mater. 2011, 35, 43–60. [Google Scholar] [CrossRef]
- Gilman, J.W.; Jackson, C.L.; Morgan, A.B.; Harris, R.; Manias, E.; Giannelis, E.P.; Wuthenow, M.; Hilton, D.; Phillips, S.H. Flammability properties of polymer-layered silicate nanocomposites. Polypropylene and polystyrene nanocomposites. Chem. Mater. 2000, 12, 1866–1873. [Google Scholar] [CrossRef]
- Rybiński, P.; Janowska, G. Thermal properties and flammability of nanocomposites based on nitrile rubbers and activated halloysite nanotubes and carbon nanofibers. Thermochim. Acta 2012, 549, 6–12. [Google Scholar] [CrossRef]

















| Sample Code | Mmin (dNm) | ΔM (dNm) | τ02 (min) | τ90 (min) |
|---|---|---|---|---|
| Reference | 0.41 | 5.10 | 6.04 | 28.06 |
| 5 CNF | 0.52 | 5.72 | 3.89 | 24.92 |
| 10 CNF | 0.64 | 6.99 | 3.06 | 27.47 |
| 15 CNF | 0.65 | 7.89 | 2.91 | 27.46 |
| 10 O-CNF | 0.50 | 6.80 | 3.10 | 27.55 |
| 10 APTS-CNF | 0.59 | 7.81 | 3.06 | 27.47 |
| 10 CNF + APTS | 0.60 | 5.92 | 3.98 | 27.80 |
| 10 CNF + MPTS | 0.44 | 7.50 | 2.90 | 23.67 |
| 10 CNF + UPTS | 0.51 | 7.63 | 2.61 | 21.69 |
| Sample Code | G′min (Pa·105) | G′max (Pa·105) | G″max (Pa·104) | ΔG′ (Pa·105) |
|---|---|---|---|---|
| 5 CNF | 0.15 | 1.91 | 4.60 | 1.76 |
| 10 CNF | 0.56 | 2.51 | 5.60 | 1.95 |
| 15 CNF | 0.65 | 2.62 | 5.75 | 1.97 |
| 10 O-CNF | 0.35 | 2.21 | 5.21 | 1.86 |
| 10 APTS-CNF | 0.30 | 2.16 | 5.12 | 1.86 |
| 10 CNF + APTS | 0.36 | 2.16 | 5.14 | 1.80 |
| 10 CNF + MPTS | 0.31 | 2.09 | 5.01 | 1.78 |
| 10 CNF + UPTS | 0.45 | 2.24 | 5.04 | 1.79 |
© 2020 by the authors. Licensee MDPI, Basel, Switzerland. This article is an open access article distributed under the terms and conditions of the Creative Commons Attribution (CC BY) license (http://creativecommons.org/licenses/by/4.0/).
Share and Cite
Szadkowski, B.; Marzec, A.; Rybiński, P. Silane Treatment as an Effective Way of Improving the Reinforcing Activity of Carbon Nanofibers in Nitrile Rubber Composites. Materials 2020, 13, 3481. https://doi.org/10.3390/ma13163481
Szadkowski B, Marzec A, Rybiński P. Silane Treatment as an Effective Way of Improving the Reinforcing Activity of Carbon Nanofibers in Nitrile Rubber Composites. Materials. 2020; 13(16):3481. https://doi.org/10.3390/ma13163481
Chicago/Turabian StyleSzadkowski, Bolesław, Anna Marzec, and Przemysław Rybiński. 2020. "Silane Treatment as an Effective Way of Improving the Reinforcing Activity of Carbon Nanofibers in Nitrile Rubber Composites" Materials 13, no. 16: 3481. https://doi.org/10.3390/ma13163481
APA StyleSzadkowski, B., Marzec, A., & Rybiński, P. (2020). Silane Treatment as an Effective Way of Improving the Reinforcing Activity of Carbon Nanofibers in Nitrile Rubber Composites. Materials, 13(16), 3481. https://doi.org/10.3390/ma13163481

