Mechanical Performance of Steel Slag Concrete under Biaxial Compression
Abstract
1. Introduction
2. Materials and Methods
2.1. Materials
2.2. Mix Proportions and Samples
2.3. Apparatus and Testing Method
3. Results and Discussion
3.1. Filure Modes
3.2. Strength
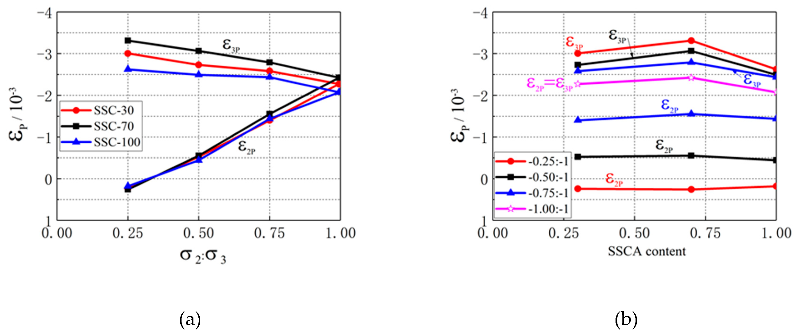
3.3. Deformation
3.4. Stress–Strain Relationship
3.5. Failure Criterion
4. Conclusions
- The failure mode under biaxial compression is plate-splitting crack. The angle between the direction of cracks and the principal axis decreases as the stress ratio increases, and the number of cracks increases with SSCA replacement ratio.
- The biaxial compressive strength of SSC is higher than uniaxial compressive strength. The value of first decreases and then increases with the increase in SSCA replacement ratio except the stress ratio of , and the maximum is obtained at 100% SSCA. The value of first increases and then decreases with the increase in the stress ratio and the maximum is obtained at stress ratio of .
- The peak strain of SSC under biaxial compression is higher than under uniaxial compression. The value of decreases nearly linearly with the increase in stress ratio, and the value of increases nearly linearly with the increase in stress ratio. The values of and increase first and then decrease with the increase in SSCA replacement ratio except the at a stress ratio of .
- The stress–strain curve of SSC under biaxial compression relates to the stress ratio and SSCA replacement ratio. The initial slope of the curve increases with the increase in stress ratio, while it decreases first and then increases with the increase in SSCA replacement ratio.
- Based on the analysis of the test data, the strength failure criterion model for SSC is proposed, and the proposed model has a good predictive capacity for SSC under biaxial compression.
Author Contributions
Funding
Conflicts of Interest
References
- Yi, H.; Xu, G.P.; Chen, H.G.; Wang, J.S.; Wan, Y.F.; Chen, H. An overview of utilization of steel slag. Procedia Environ. Sci. 2012, 16, 791–801. [Google Scholar] [CrossRef]
- Zhang, H.W.; Hong, X. An overview for the utilization of wastes from stainless steel industries. Resour. Conserv. Recycl. 2011, 55, 745–754. [Google Scholar]
- Motz, H.; Geiseler, J. Products of steel slags an opportunity to save natural resources. Waste Manag. 2001, 21, 285–293. [Google Scholar] [CrossRef]
- Shi, C.; Qian, J. High performance cementing materials from industrial slags—A review. Resour. Conserv. Recycl. 2000, 29, 195–207. [Google Scholar] [CrossRef]
- Nguyen, T.T.H.; Phan, D.H.; Mai, H.H.; Nguyen, D.L. Investigation on compressive characteristics of steel-slag concrete. Materials 2020, 13, 1928. [Google Scholar] [CrossRef]
- Faleschini, F.; Alejandro, F.M.; Zanini, M.A. High performance concrete with electric arc furnace slag as aggregate: Mechanical and durability properties. Constr. Build. Mater. 2015, 101, 113–121. [Google Scholar] [CrossRef]
- Sezer, G.I.; Gülderen, M. Usage of steel slag in concrete as fine and/or coarse aggregate. Indian J. Eng. Mater. Sci. 2015, 22, 339–344. [Google Scholar]
- Montgonmery, D.G.; Wang, G. Instant-chilled steel slag aggregate in concrete-strength related properties. Cem. Concr. Res. 1991, 21, 1083–1091. [Google Scholar] [CrossRef]
- Maslehuddin, M.; Sharif, A.M.; Shameem, M. Comparison of properties of steel slag and crushed limestone aggregate concrete. Constr. Build. Mater. 2003, 17, 105–112. [Google Scholar] [CrossRef]
- Jiang, Y.; Ling, T.C.; Shi, C.J.; Pan, S.Y. Characteristics of steel slags and their use in cement and concrete—A review. Resour. Conserv. Recycl. 2018, 136, 187–197. [Google Scholar] [CrossRef]
- Banthia, N.; Djerdane, S.; Pigeon, M. Electrical resistivity of carbon and steel micro-fiber reinforced cements. Cem. Concr. Res. 1995, 22, 804–814. [Google Scholar] [CrossRef]
- Shang, J.L.; Xing, L.L. Study on Interfacial Transition Zone of Steel Slag Coarse Aggregate Concrete. J. Build. Mater. 2013, 16, 217–220. [Google Scholar]
- Faleschini, F.; Brunelli, K.; Zanini, M.A.; Dabala, M. Electric Arc Furnace Slag as Coarse Recycled Aggregate for Concrete Production. J. Sustain. Metall. 2016, 2, 44–50. [Google Scholar] [CrossRef]
- Alexander, S.B.; Jeffery, R.R. Interfacial transition zone of cement composites with steel furnace slag aggregates. Cem. Concr. Compos. 2018, 86, 117–129. [Google Scholar]
- San-José, J.T.; Vegas, I.; Arribas, I.; Marcos, I. The performance of steel-making slag concretes in the hardened state. Mater. Des. 2014, 6, 612–619. [Google Scholar] [CrossRef]
- Pellegrino, C.; Gaddo, V. Mechanical and durability characteristics of concrete containing EAF slag as aggregate. Cem. Concr. Compos. 2009, 31, 663–671. [Google Scholar] [CrossRef]
- Beshr, H.; Almusallam, A.A.; Maslehuddin, M. Effect of coarse aggregate quality on the mechanical properties of high strength concrete. Constr. Build. Mater. 2003, 17, 97–103. [Google Scholar] [CrossRef]
- Qasrawi, H. Use of relatively high Fe2O3 steel slag as coarse aggregate in concrete. ACI Mater. J. 2012, 109, 471–478. [Google Scholar]
- Qasrawi, H. The use of steel slag aggregate to enhance the mechanical properties of recycled aggregate concrete and retain the environment. Constr. Build. Mater. 2014, 54, 298–304. [Google Scholar] [CrossRef]
- Pang, B.; Zhou, Z.; Xu, H. Utilization of carbonated and granulated steel slag aggregate in concrete. Constr. Build. Mater. 2015, 84, 454–467. [Google Scholar] [CrossRef]
- Pellegrino, C.; Cavagnis, P.; Faleschini, F.; Brunelli, K. Properties of concretes with Black/Oxidizing Electric Arc Furnace slag aggregate. Cem. Concr. Compos. 2013, 37, 232–240. [Google Scholar] [CrossRef]
- Mi, G.D.; Wang, Q.; Wang, W.L. Destructive effect of steel slag coarse aggregate on the concrete under autoclaved condition. J. Tsinghua Univ. Sci. Technol. 2015, 5, 940–944. [Google Scholar]
- Wang, Q.; Wang, D.; Zhuang, S. The soundness of steel slag with different free CaO and MgO contents. Constr. Build. Mater. 2017, 151, 138–146. [Google Scholar] [CrossRef]
- Guo, Z.H. Principles of Reinforced Concrete; Tsinghua University Press: Beijing, China, 2013; pp. 13–15. [Google Scholar]
- Zhou, J.J.; Pan, J.L.; Leung, C.K.Y.; Li, Z.J. Experimental study on mechanical behavior of high performance concrete under multi-axial compressive stress. Sci. China-Technol. Sci. 2014, 57, 2514–2522. [Google Scholar] [CrossRef]
- Rong, C.; Shi, Q.X.; Zhang, T.; Zhao, H.C. New failure criterion models for concrete under multiaxial stress in compression. Constr. Build. Mater. 2018, 161, 432–441. [Google Scholar] [CrossRef]
- Deng, Z.H.; Wang, Y.M.; Sheng, J.; Hu, X. Strength and deformation of recycled aggregate concrete under triaxial compression. Constr. Build. Mater. 2017, 156, 1043–1052. [Google Scholar] [CrossRef]
- Deng, Z.H.; Sheng, J.; Wang, Y.M. Strength and constitutive model of recycled concrete under biaxial compression. KSCE J. Civ. Eng. 2019, 23, 699–710. [Google Scholar] [CrossRef]
- Liu, H.Y.; Song, Y.P. Experimental study of lightweight aggregate concrete under multiaxial stresses. J. Zhejiang Univ.-Sci. 2010, 11, 545–554. [Google Scholar] [CrossRef]
- Yu, Z.P.; Huan, Q.; Li, F.; Qin, Y.; Zhang, J. Experimental Study on Mechanical Properties and Failure Criteria of Self-Compacting Concrete under Biaxial Tension-Compression. J. Mater. Civ. Eng. 2019, 31, 04019045. [Google Scholar] [CrossRef]
- Yu, Z.P.; Huan, Q.; Xie, X.H. Experimental study on mechanical properties of ordinary concrete and lightweight aggregate concrete based on biaxial loading. J. Build. Mater. 2019, 22, 371–377. [Google Scholar]
- The State Standard of China. Pebble and Crushed Stone for Construction (GB/T14685-2011); China Standard Press: Beijing, China, 2011.
- The Profession Standard of China. Specification for Mix Proportion Design of Ordinary Concrete (JGJ 55-2011); China Architecture & Building Press: Beijing, China, 2011.
- Wang, C.Z.; Guo, Z.H.; Zhang, X.Q. Experimental investigation of biaxial and triaxial compressive concrete strength. ACI Mater. J. 1987, 84, 92–100. [Google Scholar]
- Wang, H.L.; Song, Y.P. Failure criterion of concrete with different aggregate gradations under biaxial compression. J. Hydraul. Eng. 2008, 39, 1353–1359. [Google Scholar]
- Kupfer, H.; Gerstle, K.H. Behavior of concrete under biaxial stresses. ASCE 1973, 99, 853–866. [Google Scholar]
- Yu, Z.P.; Shan, Y.S.; Huan, Q.; Sun, X. Failure criteria and mechanical properties of recycled concrete with different replacement ratios of coarse aggregates under multiaxial compression. J. Mater. Civ. Eng. 2019, 31, 04019216. [Google Scholar] [CrossRef]










| Classification | Gradation (mm) | Bulk Density (kg/m3) | Apparent Density (kg/m3) | Crush Index (%) | Water Absorption (%) |
|---|---|---|---|---|---|
| SSCA | 5–20 | 2280.00 | 3230.00 | 6.10 | 1.36 |
| NCA | 5–20 | 1480.00 | 2760.00 | 10.40 | 0.65 |
| No. | Replacement Ratio (%) | W/C 1 | Water (kg) | Cement (kg) | Natural Fine Aggregate (kg) | SSCA (kg) | NCA (kg) |
|---|---|---|---|---|---|---|---|
| SSC-30 | 30 | 0.56 | 200 | 357 | 777 | 350 | 816 |
| SSC-70 | 70 | 0.56 | 200 | 357 | 777 | 816 | 350 |
| SSC-100 | 100 | 0.56 | 200 | 357 | 777 | 1166 | 0 |
| No. | (MPa) | (MPa) | (10−3) | (10−3) | ||
|---|---|---|---|---|---|---|
| SSC-30 | 0.00:1 | - | −38.32 | - | −2.11 | - |
| 0.25:1 | −14.12 | −56.49 | 0.24 | −3.01 | 1.47 | |
| 0.50:1 | −29.22 | −60.44 | −0.52 | −2.73 | 1.58 | |
| 0.75:1 | −40.26 | −53.68 | −1.41 | −2.58 | 1.4 | |
| 1.00:1 | −50.86 | −50.86 | −2.27 | −2.27 | 1.33 | |
| SSC-70 | 0.00:1 | - | −43.86 | - | −2.29 | - |
| 0.25:1 | −14.50 | −58.01 | 0.26 | −3.31 | 1.32 | |
| 0.50:1 | −32.18 | −64.36 | −0.55 | −3.06 | 1.47 | |
| 0.75:1 | −44.47 | −59.29 | −1.55 | −2.79 | 1.35 | |
| 1.00:1 | −58.83 | −58.83 | −2.42 | −2.42 | 1.34 | |
| SSC-100 | 0.00:1 | - | −36.17 | - | −1.92 | - |
| 0.25:1 | −13.70 | −55.06 | 0.18 | −2.62 | 1.52 | |
| 0.50:1 | −28.49 | −56.99 | −0.44 | −2.49 | 1.58 | |
| 0.75:1 | −41.11 | −54.81 | −1.44 | −2.44 | 1.52 | |
| 1.00:1 | −54.04 | −54.04 | −2.07 | −2.07 | 1.49 |
| Parameter | Specimens | |||
|---|---|---|---|---|
| SSC-30 | SSC-70 | SSC-100 | NC-0 | |
| A | 1.503 | 1.206 | 0.502 | 1.003 |
| C | 0.340 | −0.541 | −0.115 | −0.341 |
| D | −2.570 | −1.177 | −0.693 | −0.901 |
| R2 | 0.998 | 0.995 | 0.994 | 0.997 |
© 2020 by the authors. Licensee MDPI, Basel, Switzerland. This article is an open access article distributed under the terms and conditions of the Creative Commons Attribution (CC BY) license (http://creativecommons.org/licenses/by/4.0/).
Share and Cite
Wen, X.; Zhou, J.; Chen, B.; Deng, Z.; Liu, B. Mechanical Performance of Steel Slag Concrete under Biaxial Compression. Materials 2020, 13, 3268. https://doi.org/10.3390/ma13153268
Wen X, Zhou J, Chen B, Deng Z, Liu B. Mechanical Performance of Steel Slag Concrete under Biaxial Compression. Materials. 2020; 13(15):3268. https://doi.org/10.3390/ma13153268
Chicago/Turabian StyleWen, Xiaoyan, Jingkai Zhou, Beiquan Chen, Zhiheng Deng, and Bing Liu. 2020. "Mechanical Performance of Steel Slag Concrete under Biaxial Compression" Materials 13, no. 15: 3268. https://doi.org/10.3390/ma13153268
APA StyleWen, X., Zhou, J., Chen, B., Deng, Z., & Liu, B. (2020). Mechanical Performance of Steel Slag Concrete under Biaxial Compression. Materials, 13(15), 3268. https://doi.org/10.3390/ma13153268

