Preparation and Characterization of Novel Polymer-Based Gel Electrolyte for Dye-Sensitized Solar Cells Based on poly(vinylidene fluoride-co-hexafluoropropylene) and poly(acrylonitrile-co-butadiene) or poly(dimethylsiloxane) bis(3-aminopropyl) Copolymers
Abstract
1. Introduction
- A tightness problem, namely, leakage or volatilization from the devices caused by high vapor pressure;
- The chemical components of the electrolyte lead to corrosion of the platinum counter electrode;
2. Experimental
2.1. Materials
2.2. Preparation of Gel Electrolyte
2.3. Preparation of DSSC Devices
2.4. Characterization
3. Results and Discussion
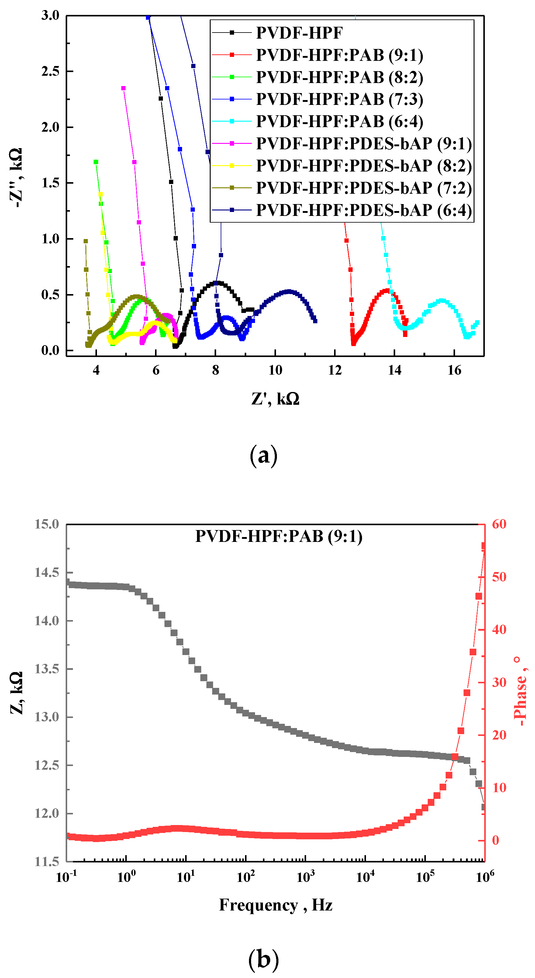
3.1. Effect of Gel Compositions Based on PVDF-HFP and PAB or PDES-bAP on the Optical and Electrochemical Properties
3.2. Characterization of DSSC Devices
Author Contributions
Funding
Conflicts of Interest
References
- O’Regan, B.; Grätzel, M.; Gr, M. A low-cost, high-efficiency solar cell based on dye-sensitized colloidal TiO2 films. Nature 1991, 353, 737–740. [Google Scholar] [CrossRef]
- Yeoh, M.-E.; Chan, K.Y. Efficiency Enhancement in Dye-Sensitized Solar Cells with ZnO and TiO2 Blocking Layers. J. Electron. Mater. 2019, 48, 4342–4350. [Google Scholar] [CrossRef]
- Yang, Y.; Peng, X.; Chen, S.; Lin, L.; Zhang, B.; Feng, Y. Performance improvement of dye-sensitized solar cells by introducing a hierarchical compact layer involving ZnO and TiO2 blocking films. Ceram. Int. 2014, 40, 15199–15206. [Google Scholar] [CrossRef]
- Yang, H.; Huang, M.; Wu, J.; Lan, Z.; Hao, S.; Lin, J. The polymer gel electrolyte based on poly (methyl methacrylate) and its application in quasi-solid-state dye-sensitized solar cells. Mater. Chem. Phys. 2008, 110, 38–42. [Google Scholar] [CrossRef]
- Mohammad, T.; Sekhar, P.S.C.; Dwivedi, C.; Dutta, V. Electric-field assisted spray technique for controlled pore filling of nanostructured films: Device applications. J. Mater. Sci. Mater. Electron. 2019, 30, 13567–13575. [Google Scholar] [CrossRef]
- Dinesh, V.; Kumar, R.S.; Sukhananazerin, A.; Sneha, J.M.; Kumar, P.M.; Biji, P. Novel stainless steel based, eco-friendly dye-sensitized solar cells using electrospun porous ZnO nanofibers. Nano Struct. Nano Objects 2019, 19, 100311. [Google Scholar] [CrossRef]
- Farooq, S.; Tahir, A.A.; Krewer, U.; Shah, A.U.H.A.; Bilal, S. Efficient photocatalysis through conductive polymer coated FTO counter electrode in platinum free dye sensitized solar cells. Electrochim. Acta 2019, 320, 134544. [Google Scholar] [CrossRef]
- Bach, U.; Lupo, D.; Comte, P.; Moser, J.-E.; Weissörtel, F.; Salbeck, J.; Spreitzer, H.; Grätzel, M. Solid-state dye-sensitized mesoporous TiO2 solar cells with high photon-to-electron conversion efficiencies. Nature 1998, 395, 583–585. [Google Scholar] [CrossRef]
- Lai, Y.-H.; Chiu, C.-W.; Chen, J.-G.; Wang, C.-C.; Lin, J.-J.; Lin, K.-F.; Ho, K.-C. Enhancing the performance of dye-sensitized solar cells by incorporating nanosilicate platelets in gel electrolyte. Sol. Energy Mater. Sol. Cells 2009, 93, 1860–1864. [Google Scholar] [CrossRef]
- Wang, P.; Zakeeruddin, S.M.; Exnar, I.; Grätzel, M. High efficiency dye-sensitized nanocrystalline solar cells based on ionic liquid polymer gel electrolyte. Chem. Commun. 2002, 8, 2972–2973. [Google Scholar] [CrossRef]
- Dong, R.-X.; Shen, S.-Y.; Chen, H.-W.; Wang, C.-C.; Shih, P.-T.; Liu, C.-T.; Vittal, R.; Lin, J.-J.; Ho, K.-C. A novel polymer gel electrolyte for highly efficient dye-sensitized solar cells. J. Mater. Chem. A 2013, 1, 8471–8478. [Google Scholar] [CrossRef]
- Tsai, C.-H.; Lu, C.-Y.; Chen, M.-C.; Huang, T.-W.; Wu, C.-C.; Chung, Y.-W. Efficient gel-state dye-sensitized solar cells adopting polymer gel electrolyte based on poly (methyl methacrylate). Org. Electron. 2013, 14, 3131–3137. [Google Scholar] [CrossRef]
- Venkatesan, S.; Obadja, N.; Chang, T.-W.; Chen, L.-T.; Lee, Y.-L. Performance improvement of gel- and solid-state dye-sensitized solar cells by utilization the blending effect of poly (vinylidene fluoride-co-hexafluropropylene) and poly (acrylonitrile-co-vinyl acetate) co-polymers. J. Power Sources 2014, 268, 77–81. [Google Scholar] [CrossRef]
- Scully, S.; Lloyd, M.; Herrera, R.; Giannelis, E.; Malliaras, G.G. Dye-sensitized solar cells employing a highly conductive and mechanically robust nanocomposite gel electrolyte. Synth. Met. 2004, 144, 291–296. [Google Scholar] [CrossRef]
- Wang, G.; Zhou, X.; Li, M.; Zhang, J.; Kang, J.; Lin, Y.; Fang, S.; Xiao, X. Solar cells. Mater. Res. Bull. 2004, 39, 2113–2118. [Google Scholar] [CrossRef]
- Kang, J.; Li, W.; Wang, X.; Lin, Y.; Li, X.; Xiao, X.; Fang, S. Gel polymer electrolytes based on a novel quaternary ammonium salt for dye-sensitized solar cells. J. Appl. Electrochem. 2004, 34, 301–304. [Google Scholar] [CrossRef]
- Ileperuma, O.; Dissanayake, M.; Somasunderam, S.; Bandara, L. Photoelectrochemical solar cells with polyacrylonitrile-based and polyethylene oxide-based polymer electrolytes. Sol. Energy Mater. Sol. Cells 2004, 84, 117–124. [Google Scholar] [CrossRef]
- Sun, K.C.; Arbab, A.A.; Sahito, I.A.; Qadir, M.B.; Choi, B.J.; Kwon, S.C.; Yeo, S.Y.; Yi, S.C.; Jeong, S.H. A PVdF-based electrolyte membrane for a carbon counter electrode in dye-sensitized solar cells. RSC Adv. 2017, 7, 20908–20918. [Google Scholar] [CrossRef]
- Sharma, K.; Sharma, V.; Sharma, S.S. Dye-Sensitized Solar Cells: Fundamentals and Current Status. Nanoscale Res. Lett. 2018, 13, 381. [Google Scholar] [CrossRef]
- Suryanarayanan, V.; Lee, K.-M.; Ho, W.-H.; Chen, H.-C.; Ho, K.-C. A comparative study of gel polymer electrolytes based on PVDF-HFP and liquid electrolytes, containing imidazolinium ionic liquids of different carbon chain lengths in DSSCs. Sol. Energy Mater. Sol. Cells 2007, 91, 1467–1471. [Google Scholar] [CrossRef]
- Yang, Y.; Zhou, C.-H.; Xu, S.; Hu, H.; Chen, B.-L.; Zhang, J.; Wu, S.-J.; Liu, W.; Zhao, X.-Z. Improved stability of quasi-solid-state dye-sensitized solar cell based on poly (ethylene oxide)–poly (vinylidene fluoride) polymer-blend electrolytes. J. Power Sources 2008, 185, 1492–1498. [Google Scholar] [CrossRef]
- Tu, C.-W.; Liu, K.-Y.; Chien, A.-T.; Lee, C.-H.; Ho, K.-C.; Lin, K.-F. Performance of gelled-type dye-sensitized solar cells associated with glass transition temperature of the gelatinizing polymers. Eur. Polym. J. 2008, 44, 608–614. [Google Scholar] [CrossRef]
- Matsumoto, M. Polymer electrolytes with dual-phase structure composed of NBR/SBR blend polymer. Polymer 1995, 36, 3243–3244. [Google Scholar] [CrossRef]
- Chae, W.-S.; Moon, J.-N.; Kim, K.-J. Effect of poly(acrylonitrile-co-butadiene) on the charge transfer rate in polypyrrole film. J. Electroanal. Chem. 1996, 412, 103–108. [Google Scholar] [CrossRef]
- Yaroslavtseva, T.; Reznitskikh, O.; Sherstobitova, E.; Erkabaev, A.M.; Brezhestovsky, M.S.; Bushkova, O.V. Solid polymer electrolytes in a poly(butadiene-acrylonitrile)–LiBr system. Ionics 2017, 23, 3347–3363. [Google Scholar] [CrossRef]
- Tsao, C.-H.; Kuo, P.-L. Poly(dimethylsiloxane) hybrid gel polymer electrolytes of a porous structure for lithium ion battery. J. Membr. Sci. 2015, 489, 36–42. [Google Scholar] [CrossRef]
- Li, H.; Chen, Y.-M.; Ma, X.-T.; Shi, J.-L.; Zhou, M.-Y.; Zhu, L.-P. Gel polymer electrolytes based on active PVDF separator for lithium ion battery. I: Preparation and property of PVDF/poly(dimethylsiloxane) blending membrane. J. Membr. Sci. 2011, 379, 397–402. [Google Scholar] [CrossRef]
- Różycka, A.; Bogdanowicz, K.A.; Górska, N.; Rysz, J.; Marzec, M.; Iwan, A.; Pich, R.; Januszko, A. Influence of TiO2 Nanoparticles on Liquid Crystalline, Structural and Electrochemical Properties of (8Z)-N-(4-((Z)-(4-pentylphenylimino)methyl) benzylidene)-4-pentylbenzenamine. Materials 2019, 12, 1097. [Google Scholar] [CrossRef]
- Delekar, S.D.; Dhodamani, A.; More, K.V.; Dongale, T.D.; Kamat, R.K.; Acquah, S.; Dalal, N.S.; Panda, D. Structural and Optical Properties of Nanocrystalline TiO2 with Multiwalled Carbon Nanotubes and Its Photovoltaic Studies Using Ru(II) Sensitizers. ACS Omega 2018, 3, 2743–2756. [Google Scholar] [CrossRef]
- Bogdanowicz, K.A.; Jewłoszewicz, B.; Iwan, A.; Dysz, K.; Przybyl, W.; Januszko, A.; Marzec, M.; Cichy, K.; Świerczek, K.; Kavan, L.; et al. Selected Electrochemical Properties of 4,4’-((1E,1’E)-((1,2,4-thiadiazole-3,5-diyl)bis(azaneylylidene))bis(methaneylylidene))bis(N,N-di-p-tolylaniline) towards Perovskite Solar Cellswith 14.4% Efficiency. Materials 2020, 13, 2440. [Google Scholar] [CrossRef]
- Bansil, R. Phase separation in polymer solutions and gels. J. Phys. Colloq. 1993, 3, 225–235. [Google Scholar] [CrossRef]
- Iwan, A.; Boharewicz, B.; Tazbir, I.; Filapek, M.; Korona, K.P.; Wróbel, P.; Stefaniuk, T.; Ciesielski, A.; Wojtkiewicz, J.; Wronkowska, A.A.; et al. How do 10-camphorsulfonic acid, silver or aluminum nanoparticles influence optical, electrochemical, electrochromic and photovoltaic properties of air and thermally stable triphenylamine-based polyazomethine with carbazole moieties? Electrochimica Acta 2015, 185, 198–210. [Google Scholar] [CrossRef]
- Iwan, A.; Boharewicz, B.; Tazbir, I.; Malinowski, M.; Filapek, M.; Kłab, T.; Luszczynska, B.; Glowacki, I.; Korona, K.P.; Kaminska, M.; et al. New environmentally friendly polyazomethines with thiophene rings for polymer solar cells. Solar Energy 2015, 117, 246–259. [Google Scholar] [CrossRef]












| Code | wt.% of PVDF-HFP | wt.% of PAB | wt.% of PDES-bAP |
|---|---|---|---|
| PVDF-HPF | 10 | - | - |
| PVDF-HPF:PAB (9:1) | 9 | 1 | - |
| PVDF-HPF:PAB (8:2) | 8 | 2 | - |
| PVDF-HPF:PAB (7:3) | 7 | 3 | - |
| PVDF-HPF:PAB (6:4) | 6 | 4 | - |
| PVDF-HPF:PDES-bAP (9:1) | 9 | - | 1 |
| PVDF-HPF:PDES-bAP (8:2) | 8 | - | 2 |
| PVDF-HPF:PDES-bAP (7:3) | 7 | - | 3 |
| PVDF-HPF:PDES-bAP (6:4) | 6 | - | 4 |
| Code | λmax (nm) | λoffset (nm) | Egopt (eV) |
|---|---|---|---|
| PVDF-HPF | 358 | 508 | 2.44 |
| PVDF-HPF:PAB (9:1) | 370 | 456 | 2.72 |
| PVDF-HPF:PAB (8:2) | 370 | 460 | 2.70 |
| PVDF-HPF:PAB (7:3) | 370 | 470 | 2.64 |
| PVDF-HPF:PAB (6:4) | 370 | 454 | 2.73 |
| PVDF-HPF:PDES-bAP (9:1) | 362 | 464 | 2.67 |
| PVDF-HPF:PDES-bAP (8:2) | 362 | 462 | 2.69 |
| PVDF-HPF:PDES-bAP (7:3) | 362 | 431 | 2.88 |
| PVDF-HPF:PDES-bAP (6:4) | 362 | 446 | 2.78 |
| Code | Eoxonset (V) | Eredoffset (V) | EHOMO (eV) | ELUMO (eV) | Eg (eV) |
|---|---|---|---|---|---|
| PVDF-HFP | 1.68 | −2.12 | −6.13 | −2.45 | 3.68 |
| PVDF-HFP:PAB (9:1) | 1.15 | −2.41 | −5.60 | −2.16 | 3.44 |
| PVDF-HFP:PAB (8:2) | 1.75 | −2.18 | −6.20 | −2.39 | 3.81 |
| PVDF-HFP:PAB (7:3) | 1.26 | −2.25 | −5.71 | −2.32 | 3.39 |
| PVDF-HFP:PAB (6:4) | 1.14 | −2.24 | −5.59 | −2.33 | 3.26 |
| PVDF-HFP:PDES-bAP (9:1) | 0.26 | −2.28 | −4.71 | −2.29 | 2.42 |
| PVDF-HFP:PDES-bAP (8:2) | 0.69 | −2.37 | −5.14 | −2.20 | 2.94 |
| PVDF-HFP:PDES-bAP (7:3) | 1.71 | −2.24 | −6.16 | −2.33 | 3.83 |
| PVDF-HFP:PDES-bAP (6:4) | 1.72 | −2.36 | −6.17 | −2.21 | 3.96 |
| Code | R (Ω) | L (cm) | A (cm2) | σ (S/cm) |
|---|---|---|---|---|
| PVDF-HFP | 8010 | 1 | 1.5 | 8.32 × 10−5 |
| PVDF-HFP:PAB (9:1) | 13078 | 1 | 1.5 | 5.10 × 10−5 |
| PVDF-HFP:PAB (8:2) | 5617 | 1 | 1.5 | 1.19 × 10−4 |
| PVDF-HFP:PAB (7:3) | 8383 | 1 | 1.5 | 7.95 ×·10−5 |
| PVDF-HFP:PAB (6:4) | 15670 | 1 | 1.5 | 4.25 × 10−5 |
| PVDF-HFP:PDES-bAP (9:1) | 13132 | 1 | 1.5 | 5.08 × 10−5 |
| PVDF-HFP:PDES-bAP (8:2) | 6008 | 1 | 1.5 | 1.11 × 10−4 |
| PVDF-HFP:PDES-bAP (7:3) | 5355 | 1 | 1.5 | 1.24 × 10−4 |
| PVDF-HFP:PDES-bAP (6:4) | 10473 | 1 | 1.5 | 6.37 × 10−5 |
| Code | Voc (mV) | Jsc (mA/cm2) | Pmax (mW) | Rs (Ω) | Rsh (kΩ) | FF (-) | PCE (%) |
|---|---|---|---|---|---|---|---|
| For size of DSSC 7 × 7 mm2 | |||||||
| PVDF-HFP:PAB (9:1) | 567 ± 6.4 | 19.31 ± 0.61 | 2.48 ± 0.18 | 24.7 ± 2.0 | 1.21 ± 0.34 | 0.47 ± 0.01 | 5.07 ± 0.19 |
| PVDF-HFP:PAB (8:2) | 567 ± 9.0 | 18.53 ± 0.69 | 2.32 ± 0.14 | 56.6 ± 6.3 | 1.31 ± 0.63 | 0.45 ± 0.04 | 4.72 ± 0.30 |
| PVDF-HFP:PAB (7:3) | 573 ± 4.2 | 16.12 ± 0.85 | 1.77 ± 0.13 | 73.6 ± 6.8 | 2.95 ± 0.27 | 0.39 ± 0.03 | 3.28 ± 0.29 |
| PVDF-HFP:PAB (6:4) | 562 ± 9.3 | 14.24 ± 0.40 | 1.53 ± 0.11 | 90.3 ± 8.7 | 3.28 ± 0.53 | 0.39 ± 0.03 | 3.11 ± 0.26 |
| PVDF-HFP:PDES-bAP (9:1) | 685 ± 8.0 | 2.71 ± 0.08 | 0.36 ± 0.02 | 116.2 ± 5.2 | 3.69 ± 0.64 | 0.39 ± 0.05 | 0.73 ± 0.06 |
| PVDF-HFP:PDES-bAP (8:2) | 848 ± 12.1 | 2.34 ± 0.16 | 0.30 ± 0.02 | 160.5 ± 3.4 | 4.17 ± 0.87 | 0.38 ± 0.03 | 0.61 ± 0.06 |
| PVDF-HFP:PDES-bAP (7:3) | 703 ± 9.7 | 0.73 ± 0.09 | 0.09 ± 0.01 | 209 ± 7.3 | 5.37 ± 0.79 | 0.31 ± 0.02 | 0.20 ± 0.03 |
| PVDF-HFP:PDES-bAP (6:4) | 798 ± 4.3 | 0.02 ± 0.01 | 0.01 ± 0.01 | 338.4 ± 25.7 | 25.66 ± 1.26 | 0.28 ± 0.03 | 0.01 ± 0.01 |
| For size of DSSC 7 × 80 mm2 | |||||||
| PVDF-HFP:PAB (9:1) | 528 ± 17 | 6.4 ± 0.51 | 8.78 ± 0.44 | 5.49 ± 0.57 | 0.11 ± 0.06 | 0.46 ± 0.02 | 1.57 ± 0.08 |
© 2020 by the authors. Licensee MDPI, Basel, Switzerland. This article is an open access article distributed under the terms and conditions of the Creative Commons Attribution (CC BY) license (http://creativecommons.org/licenses/by/4.0/).
Share and Cite
Bogdanowicz, K.A.; Augustowski, D.; Dziedzic, J.; Kwaśnicki, P.; Malej, W.; Iwan, A. Preparation and Characterization of Novel Polymer-Based Gel Electrolyte for Dye-Sensitized Solar Cells Based on poly(vinylidene fluoride-co-hexafluoropropylene) and poly(acrylonitrile-co-butadiene) or poly(dimethylsiloxane) bis(3-aminopropyl) Copolymers. Materials 2020, 13, 2721. https://doi.org/10.3390/ma13122721
Bogdanowicz KA, Augustowski D, Dziedzic J, Kwaśnicki P, Malej W, Iwan A. Preparation and Characterization of Novel Polymer-Based Gel Electrolyte for Dye-Sensitized Solar Cells Based on poly(vinylidene fluoride-co-hexafluoropropylene) and poly(acrylonitrile-co-butadiene) or poly(dimethylsiloxane) bis(3-aminopropyl) Copolymers. Materials. 2020; 13(12):2721. https://doi.org/10.3390/ma13122721
Chicago/Turabian StyleBogdanowicz, Krzysztof Artur, Dariusz Augustowski, Justyna Dziedzic, Paweł Kwaśnicki, Wacław Malej, and Agnieszka Iwan. 2020. "Preparation and Characterization of Novel Polymer-Based Gel Electrolyte for Dye-Sensitized Solar Cells Based on poly(vinylidene fluoride-co-hexafluoropropylene) and poly(acrylonitrile-co-butadiene) or poly(dimethylsiloxane) bis(3-aminopropyl) Copolymers" Materials 13, no. 12: 2721. https://doi.org/10.3390/ma13122721
APA StyleBogdanowicz, K. A., Augustowski, D., Dziedzic, J., Kwaśnicki, P., Malej, W., & Iwan, A. (2020). Preparation and Characterization of Novel Polymer-Based Gel Electrolyte for Dye-Sensitized Solar Cells Based on poly(vinylidene fluoride-co-hexafluoropropylene) and poly(acrylonitrile-co-butadiene) or poly(dimethylsiloxane) bis(3-aminopropyl) Copolymers. Materials, 13(12), 2721. https://doi.org/10.3390/ma13122721

