Study of Toughness and Macro/Micro-Crack Development of Fibre-Reinforced Ultra-High Performance Concrete After Exposure to Elevated Temperature
Abstract
:1. Introduction
2. Experimental Procedure
2.1. Materials and Specimens Preparation
2.2. Test Set-Up
3. Results and discussions
3.1. Properties of UHPC
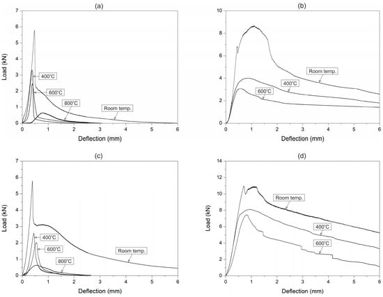
3.2. Flexural Behaviour
3.3. Flexural Toughness and Fracture Energy Evaluation
3.4. Strains and Macro-Crack Development
3.5. Microstructure
4. Conclusions
- The response of fibre-reinforced UHPC is dependent on the response of the UHPC matrix before the first peak load.
- The experimental results showed that in some cases, the load–deflection curve of fibre-reinforced UHPC is a double-peak response. The first peak represents the properties of the UHPC matrix while the second peak represents the properties of the fibres. Under flexural load, the toughness decreases as the temperature increases.
- The type of fibres and their content play an important role. After exposure to elevated temperatures, the hooked-end steel fibres changed colour, but they are still able to bridge the cracks and transfer the stress across the cracks. On the other hand, the polypropylene fibres evaporate and create channels for pressure to escape from UHPC subjected to elevated temperatures, so as to prevent its cracking and spalling. However, large drops in the load–deflection responses and toughness are observed for polypropylene fibre-reinforced UHPC when the temperature approaches 600 °C.
- The toughness indexes of the SF-reinforced UHPC decrease nonlinearly with increasing temperature at a fibre content below 1%. By contrast, the toughness indexes of the PPF-reinforced UHPC decreases nonlinearly with increasing temperature up to about 400–500 °C, and then increases nonlinearly up to a temperature of 800 °C regardless of the fibre content.
- The fracture energy decreases with the increasing temperature, but larger drops are obtained by UHPC reinforced with polypropylene fibres.
- Steel fibres increase the strains in the UHPC as well as improve the ductility after exposure to elevated temperatures to a greater degree than polypropylene fibres.
- The SEM observation results showed that the thermal damages of fibre-reinforced UHPC depends on the pore pressure effect, the thermal incompatibility between the constituents, the decomposition of hydration products, and the formation of micro-cracks.
Author Contributions
Funding
Acknowledgments
Conflicts of Interest
References
- Afroughsabet, V.; Biolzi, L.; Ozbakkaloglu, T. High-performance fiber-reinforced concrete: A review. J. Mater. Sci. 2016, 51, 6517–6551. [Google Scholar] [CrossRef]
- Patrick, B.; Pietro, G. Properties of Concrete Required in Nuclear Power Plants. In Infrastructure Systems for Nuclear Energy; Wiley-Blackwell: Hoboken, NJ, USA, 2013; pp. 407–438. [Google Scholar]
- Mindeguia, J.-C.; Pimienta, P.; Noumowé, A.; Kanema, M. Temperature, pore pressure and mass variation of concrete subjected to high temperature—Experimental and numerical discussion on spalling risk. Cem. Concr. Res. 2010, 40, 477–487. [Google Scholar] [CrossRef]
- Gawin, D.; Alonso, C.; Andrade, C.; Majorana, C.E.; Pesavento, F. Effect of damage on permeability and hygro-thermal behaviour of HPCs at elevated temperatures: Part 1. Experimental results. Comput. Concr. 2005, 2, 189–202. [Google Scholar] [CrossRef]
- Kodur, V.; Phan, L. Critical factors governing the fire performance of high strength concrete systems. Fire Saf. J. 2007, 42, 482–488. [Google Scholar] [CrossRef]
- Du Béton, F.I. Structural Concrete. Textbook on Behaviour, Design and Performance, 2nd ed.; 1, fib Bulletin 51, Fédération Internationale du Béton: Lausanne, Switzerland, 2009. [Google Scholar]
- Smarzewski, P.; Barnat-Hunek, D. Property Assessment of Hybrid Fiber-Reinforced Ultra-High-Performance Concrete. Int. J. Civ. Eng. 2018, 16, 593–606. [Google Scholar] [CrossRef]
- Jasiczak, J.; Wdowska, A.; Rudnicki, T. Betony Ultrawysokowartościowe–Właściwości, Technologie, Zastosowania; Stowarzyszenie Producentów Cementu: Kraków, Poland, 2008. [Google Scholar]
- Shi, C.; Wu, Z.; Xiao, J.; Wang, D.; Huang, Z.; Fang, Z. A review on ultra high performance concrete: Part I. Raw materials and mixture design. Constr. Build. Mater. 2015, 101, 741–751. [Google Scholar] [CrossRef]
- Yoo, D.; Banthia, N. Mechanical properties of ultra-high-performance fiber-reinforced concrete: A review. Cem. Concr. Compos. 2016, 73, 267–280. [Google Scholar] [CrossRef]
- Abbas, S.; Nehdi, M.L.; Saleem, M.A. Ultra-High Performance Concrete: Mechanical Performance, Durability, Sustainability and Implementation Challenges. Int. J. Concr. Struct. Mater. 2016, 10, 271–295. [Google Scholar] [CrossRef]
- Yoo, D.Y.; Yoon, Y.S. A Review on Structural Behavior, Design, and Application of Ultra-High-Performance Fiber-Reinforced Concrete. Int. J. Concr. Struct. Mater. 2016, 10, 125–142. [Google Scholar] [CrossRef]
- Bangi, M.R.; Horiguchi, T. Pore pressure development in hybrid fibre-reinforced high strength concrete at elevated temperatures. Cem. Concr. Res. 2011, 41, 1150–1156. [Google Scholar] [CrossRef]
- Way, R.; Wille, K. Material characterization of an ultra-high performance fibre-reinforced concrete under elevated temperature. In Proceedings of the 3rd International Symposium on UHPC and Nanotechnology for High Performance Construction Materials, Kassel, Germany, 7–9 March 2012; pp. 565–572. [Google Scholar]
- Kodur, V.R. Fiber Reinforcement for Minimizing Spalling in HSC Structural Members Exposed to Fire. ACI Spec. Publ. 2003, 216, 221–236. [Google Scholar]
- Kodur, V.K.R.; Cheng, F.-P.; Wang, T.-C.; Sultan, M.A. Effect of Strength and Fiber Reinforcement on Fire Resistance of High-Strength Concrete Columns. J. Struct. Eng. 2003, 129, 253–259. [Google Scholar] [CrossRef]
- Peng, G.-F.; Yang, W.-W.; Zhao, J.; Liu, Y.-F.; Bian, S.-H.; Zhao, L.-H. Explosive spalling and residual mechanical properties of fiber-toughened high-performance concrete subjected to high temperatures. Cem. Concr. Res. 2006, 36, 723–727. [Google Scholar] [CrossRef]
- Ding, Y.; Zhang, C.; Cao, M.; Zhang, Y.; Azevedo, C. Influence of different fibers on the change of pore pressure of self-consolidating concrete exposed to fire. Constr. Build. Mater. 2016, 113, 456–469. [Google Scholar] [CrossRef]
- Heo, Y.-S.; Sanjayan, J.G.; Han, C.-G.; Han, M.-C. Relationship between inter-aggregate spacing and the optimum fiber length for spalling protection of concrete in fire. Cem. Concr. Res. 2012, 42, 549–557. [Google Scholar] [CrossRef]
- Bentz, D.P. Fibers, Percolation, and Spalling of High-Performance Concrete. ACI Mater. J. 2000, 97, 351–359. [Google Scholar] [CrossRef]
- Schmidt, D.; Dehn, F.; Urbonas, L. Fire resistance of ultra-high performance concrete (UHPC)–testing of laboratory samples and columns under load. In Proceedings of the International Symposium on UHPC, Kassel, Germany, 13–15 September 2004; pp. 703–715. [Google Scholar]
- Heinz, D.; Ludwig, H. Heat treatment and the risk of DEF delayed ettringite formation in UHPC. In Proceedings of the International Symposium on UHPC, Kassel, Germany, 13–15 September 2004; pp. 717–730. [Google Scholar]
- Wang, C.; Yang, C.; Liu, F.; Wan, C.; Pu, X. Preparation of Ultra-High Performance Concrete with common technology and materials. Cem. Concr. Compos. 2012, 34, 538–544. [Google Scholar] [CrossRef]
- Liu, C.; Huang, J. Fire performance of highly flowable reactive powder concrete. Constr. Build. Mater. 2009, 23, 2072–2079. [Google Scholar] [CrossRef]
- Tai, S.; Pan, H.; Kung, N. Mechanical properties of steel fiber reinforced reactive powder concrete following exposure to high temperature reaching 800 °C. Nucl. Eng. Des. 2011, 241, 2416–2424. [Google Scholar] [CrossRef]
- Zheng, W.; Luo, B.; Wang, Y. Compressive and tensile properties of reactive powder concrete with steel fibres at elevated temperatures. Constr. Build. Mater. 2013, 41, 844–851. [Google Scholar] [CrossRef]
- Zheng, W.Z.; Li, H.Y.; Wang, Y.; Xie, H.Y. Tensile Properties of Steel Fiber-Reinforced Reactive Powder Concrete after High Temperature. Adv. Mater. Res. 2011, 413, 270–276. [Google Scholar] [CrossRef]
- Pimienta, P.; Mindeguia, J.; Simon, A.; Behloul, M.; Felicetti, R.; Bamonte, P.; Gambarova, P. Literature review on the behaviour of UHPFRC at high temperature. In Proceedings of the 3rd International Symposium on UHPC and Nanotechnology for High Performance Construction Materials, Kassel, Germany, 3–9 March 2012; pp. 549–556. [Google Scholar]
- Li, H.; Liu, G. Tensile Properties of Hybrid Fiber-Reinforced Reactive Powder Concrete after Exposure to Elevated Temperatures. Int. J. Concr. Struct. Mater. 2016, 10, 29–37. [Google Scholar] [CrossRef]
- Hertz, K.D. Danish investigations on silica fume concretes at elevated temperatures. ACI Mater. J. 1992, 89. [Google Scholar] [CrossRef]
- So, H.-S.; Yi, J.-b.; Khulgadai, J.; So, S.-Y. Properties of Strength and Pore Structure of Reactive Powder Concrete Exposed to High Temperature. ACI Mater. J. 2014, 111, 335–346. [Google Scholar] [CrossRef]
- Canbaz, M. The effect of high temperature on reactive powder concrete. Constr. Build. Mater. 2014, 70, 508–513. [Google Scholar] [CrossRef]
- Khoury, G.A.; Majorana, C.E.; Pesavento, F.; Schrefler, B.A. Modelling of heated concrete. Mag. Concr. Res. 2002, 54, 77–101. [Google Scholar] [CrossRef]
- Bazant, Z.P.; Thonguthai, W. Pore Pressure and Drying of Concrete at High Temperature. J. Eng. Mech. Div. 1978, 104, 1059–1079. [Google Scholar]
- ISO/TR 834-3. Fire-Resistance Tests-Elements of Building Construction-Part 3: Commentary on Test Method and Guide to the Application of the Outputs from the Fire-Resistance Test; ISO: Geneva, Switzerland, 2012. [Google Scholar]
- ARAMIS v6.3. User Manual-Software; GOM mbH: Braunschweig, Germany, 2007. [Google Scholar]
- Smarzewski, P. Effect of Curing Period on Properties of Steel and Polypropylene Fibre Reinforced Ultra-High Performance Concrete. IOP Conf. Ser. Mater. Sci. Eng. 2017, 245, 32059. [Google Scholar] [CrossRef]
- Smarzewski, P.; Barnat-Hunek, D. Effect of Fiber Hybridization on Durability Related Properties of Ultra-High Performance Concrete. Int. J. Concr. Struct. Mater. 2017, 11, 315–325. [Google Scholar] [CrossRef]
- PN-EN 12390-7. Testing Hardened Concrete, Density of Hardened Concrete. 2011. Available online: http://sklep.pkn.pl/pn-en-12390-7-2011p.html (accessed on 7 March 2019).
- PN-EN 13755. Natural Stone Test Methods. Determination of Water Absorption at Atmospheric Pressure. 2008. Available online: http://sklep.pkn.pl/pn-en-13755-2008e.html (accessed on 7 March 2019).
- PN-EN 12390-3. Testing Hardened Concrete. Compressive Strength of Test Specimens. 2011. Available online: http://sklep.pkn.pl/pn-en-12390-3-2011p.html (accessed on 7 March 2019).
- PN-EN 12390-6. Testing Hardened Concrete. Tensile Splitting Strength of Test Specimens. 2011. Available online: http://sklep.pkn.pl/pn-en-12390-6-2011p.html (accessed on 7 March 2019).
- ASTM C469/C469M-14. Standard Test Method for Static Modulus of Elasticity and Poisson’s Ratio of Concrete in Compression; ASTM International: West Conshohocken, PA, USA, 2014. [Google Scholar]
- PN-EN 12390-5. Testing Hardened Concrete. Flexural Strength of Test Specimens. 2011. Available online: http://sklep.pkn.pl/pn-en-12390-5-2011p.html (accessed on 7 March 2019).
- Bornemann, R.; Faber, S. UHPC with steel- and noncorroding high strength polymer fibres under static and cyclic loading. In Proceedings of the International Symposium on Ultra-High Performance Concrete, Kassel, Germany, 13–15 September 2004; pp. 673–681. [Google Scholar]
- Kazemi, S.; Lubell, A. Influence of specimen size and fibre content on mechanical properties of ultra-high performance fibre-reinforced concrete. ACI Mater. J. 2012, 109, 675–684. [Google Scholar] [CrossRef]
- Resplendino, J. Ultra High Performance Concrete: New AFGC Recommendations. In Designing and Building with UHPFRC; Wiley: London, UK, 2013; pp. 713–722. [Google Scholar]
- ASTM E119-98. Test Methods for Fire Tests of Building Construction and Materials; ASTM International: West Conshohocken, PA, USA, 1998. [Google Scholar]
- ASTM C1018-97. Test Method for Flexural Toughness and First-Crack Strength of Fibre-Reinforced Concrete (Using Beam with Third-Point Loading); ASTM International: West Conshohocken, PA, USA, 1997. [Google Scholar] [CrossRef]
- Smarzewski, P. Hybrid Fibres as Shear Reinforcement in High-Performance Concrete Beams with and without Openings. Appl. Sci.-Basel 2018, 8, 2070. [Google Scholar] [CrossRef]
- Smarzewski, P. Analysis of Failure Mechanics in Hybrid Fibre-Reinforced High-Performance Concrete Deep Beams with and without Openings. Materials 2019, 12, 101. [Google Scholar] [CrossRef]
- Smarzewski, P. Processes of Cracking and Crushing in Hybrid Fibre Reinforced High-Performance Concrete Slabs. Processes 2019, 7, 49. [Google Scholar] [CrossRef]
- Ramakrishnan, V.; Wu, G.Y.; Hosalli, G. Flexural fatigue strength, endurance limit, and impact strength of fiber reinforced concretes. Transp. Res. Rec. 1989, 1226, 17–24. [Google Scholar]
- Ali, F. Is High Strength Concrete More Susceptible to Explosive Spalling than Normal Strength Concrete in Fire? Fire Mater. 2002, 26, 127–130. [Google Scholar] [CrossRef]
- ACI Committee 544. Design of Steel Fiber Reinforced Concrete. ACI Struct. J. 1988, 85, 563–580. [Google Scholar] [CrossRef]
- Smarzewski, P. Influence of basalt-polypropylene fibres on fracture properties of high performance concrete. Compos. Struct. 2019, 209, 23–33. [Google Scholar] [CrossRef]
- Bencardino, F.; Rizzuti, L.; Spadea, G.; Swamy, R.N. Experimental evaluation of fiber reinforced concrete fracture properties. Compos. Part B Eng. 2010, 41, 17–24. [Google Scholar] [CrossRef]
- Van Mier, J.G.M. Reality behind fictitious cracks? In Proceedings of the 5th International Symposium on Fracture Mechanics of Concrete and Concrete Structures (FraMCoS), Vail, CO, USA, 12–16 April 2004; pp. 11–30. [Google Scholar]
- Van Mier, J.G.M. Cementitious composites with high tensile strength and ductility through hybrid fibres. In Proceedings of the 6th Rilem Symposium on Fibre Reinforced Concrete (BEFIB 2004), Varenna, Italy, 20–22 September 2004; pp. 219–238. [Google Scholar]
- Fu, Y.F.; Wong, Y.L.; Tang, C.A.; Poon, C.S. Thermal induced stress and associated cracking in cement-based composite at elevated temperatures–Part I: Thermal cracking around single inclusion. Cem. Concr. Compos. 2004, 26, 99–111. [Google Scholar] [CrossRef]
- Fu, Y.F.; Wong, Y.L.; Tang, C.A.; Poon, C.S. Thermal induced stress and associated cracking in cement-based composite at elevated temperatures–Part II: Thermal cracking around multiple inclusions. Cem. Concr. Compos. 2004, 26, 113–126. [Google Scholar] [CrossRef]
- Fu, Y.F.; Wong, Y.L.; Poon, C.S.; Tang, C.A.; Lin, P. Experimental study of micro/macro crack development and stress-strain relations of cement-based composite materials at elevated temperatures. Cem. Concr. Res. 2004, 34, 789–797. [Google Scholar] [CrossRef]
- Li, X.J.; Li, Z.J.; Onofrei, M.; Ballivy, G.; Khayat, K.H. Microstructural characteristics of HPC under different thermo-mechanical and thermo-hydraulic conditions. Mater. Struct. 1999, 32, 727–733. [Google Scholar] [CrossRef]
- Verbeck, G.J.; Hass, W.E. Dilatometer method for determination of thermal coefficient of expansion of fine and coarse aggregate. In Proceedings of the 13th Annual Meeting, Highway Research Board, Division of Engineering and Industrial Research, National Research Council, Washington, DC, USA, 9–12 January 1951; pp. 187–193. [Google Scholar]
- Mobasher, B.; Stang, H.; Shah, S.P. Microcracking in Fiber Reinforced Concrete. Cem. Concr. Res. 1990, 20, 665–676. [Google Scholar] [CrossRef]
- Mihashi, H.; Otsuka, K.; Kiyota, M.; Mori, S. Observation of multiple cracking on micro and meso level. In Proceedings of the JCI International Workshop on Ductile Fiber Reinforced Cementitious Composites (DFRCC), Gifu, Japan, 21–22 October 2002; pp. 121–127. [Google Scholar]















| Material Characteristics | CEM I 52.5 N-HSR/NA | Condensed Silica Fume |
|---|---|---|
| Specific surface area (m2/kg) | 443 | 17,000 |
| Water demand (%) | 30 | – |
| Start of setting (min) | 120 | – |
| End of setting (min) | 180 | – |
| Volume stability acc. to Le Chateliere (mm) | 2 | – |
| Compressive strength at 2 days (N/mm2) | 27.7 | – |
| Compressive strength at 28 days (N/mm2) | 57.1 | – |
| Tensile strength at 2 days (N/mm2) | 5.3 | – |
| Tensile strength at 28 days (N/mm2) | 8.2 | – |
| Composition (%) | – | – |
| SiO2 | 20.92 | 94.80 |
| Al2O3 | 3.50 | 1.30 |
| Fe2O3 | 4.38 | 0.83 |
| CaO | 64.69 | 0.56 |
| MgO | 1.20 | 0.71 |
| SO3 | 3.07 | – |
| K2O | 0.38 | 1.26 |
| Na2O | 0.22 | 0.41 |
| Cl | 0.08 | – |
| Loss on ignition | 1.27 | 0.12 |
| Insoluble matter | 0.20 | – |
| Sieve Size | Percentage Passing | |
|---|---|---|
| (mm) | Fine Aggregate | Coarse Aggregate |
| 16 | – | 100.0 |
| 8 | – | 67.0 |
| 4 | – | 26.3 |
| 2 | 100 | 4.1 |
| 1 | 88.2 | – |
| 0.5 | 74.8 | – |
| 0.25 | 11.6 | – |
| 0.125 | – | – |
| < 0.125 | – | – |
| Designation | C0 | CPP-0.5 | CPP-1 | CPP-1.5 | CPP-2 | CS-0.5 | CS-1 | CS-1.5 | CS-2 |
|---|---|---|---|---|---|---|---|---|---|
| Fibre volume content (%) | – | 0.5 | 1.0 | 1.5 | 2.0 | 0.5 | 1.0 | 1.5 | 2.0 |
| Cement (kg/m3) | 670.5 | 670.5 | 670.5 | 670.5 | 670.5 | 670.5 | 670.5 | 670.5 | 670.5 |
| Silica fume (kg/m3) | 74.5 | 74.5 | 74.5 | 74.5 | 74.5 | 74.5 | 74.5 | 74.5 | 74.5 |
| Fine aggregate (kg/m3) | 500 | 500 | 500 | 500 | 500 | 500 | 500 | 500 | 500 |
| Coarse aggregate (kg/m3) | 990 | 990 | 990 | 990 | 990 | 990 | 990 | 990 | 990 |
| Water (l/m3) | 178 | 178 | 178 | 178 | 178 | 178 | 178 | 178 | 178 |
| Superplasticiser (l/m3) | 20 | 20 | 20 | 20 | 20 | 20 | 20 | 20 | 20 |
| Steel fibre (kg/m3) | – | – | – | – | – | 39 | 78 | 117 | 156 |
| Polypropylene fibre (kg/m3) | – | 4.5 | 9 | 13.5 | 18 | – | – | – | – |
| Slump (mm) | 120 | 102 | 91 | 83 | 72 | 109 | 99 | 91 | 84 |
| Unite weight (kg/m3) | 2434 | 2441 | 2447 | 2453 | 2458 | 2475 | 2514 | 2554 | 2594 |
| Designation | C0 | CPP-0.5 | CPP-1 | CPP-1.5 | CPP-2 | CS-0.5 | CS-1 | CS-1.5 | CS-2 |
|---|---|---|---|---|---|---|---|---|---|
| Apparent density (g/cm3) | 2.56 | 2.41 | 2.37 | 2.30 | 2.27 | 2.50 | 2.54 | 2.58 | 2.60 |
| Absorbability (%) | 0.6 | 0.9 | 0.9 | 0.8 | 0.7 | 1.8 | 2.0 | 2.1 | 2.5 |
| Open porosity (%) | 4.3 | 4.7 | 4.0 | 3.9 | 3.8 | 4.6 | 5.1 | 5.5 | 5.7 |
| Compressive strength (N/mm2) | 139.8 | 131.4 | 118.5 | 115.8 | 114.7 | 134.1 | 135.1 | 138.7 | 139.6 |
| Splitting tensile strength (N/mm2) | 9.4 | 10.5 | 10.2 | 9.9 | 9.4 | 10.6 | 11.7 | 13.1 | 11.8 |
| Flexural strength (N/mm2) | 7.7 | 8.0 | 7.0 | 6.5 | 5.6 | 8.3 | 9.4 | 11.1 | 9.6 |
| Modulus of elasticity (N/mm2 × 103) | 48.6 | 43.7 | 42.6 | 40.9 | 40.0 | 50.2 | 50.7 | 51.1 | 51.6 |
| Designation | Temperature | Peak Load (kN) | Area Under the Curve (kN×mm) Up to | Toughness Index | Fracture Energy | ||||||
|---|---|---|---|---|---|---|---|---|---|---|---|
| (° C) | 1st Peak | 2nd Peak | δ | 3δ | 5.5δ | 10.5δ | I5 | I10 | I20 | (N/mm) | |
| CPP-0.5 | Room | 5.6 | – | 1.2 | 2.2 | 2.5 | 2.7 | 1.8 | 2.1 | 2.3 | 1.08 |
| 400 | 3.5 | – | 0.8 | 0.9 | 1.1 | – | 1.1 | 1.4 | – | 0.44 | |
| 600 | 2.7 | – | 0.6 | 0.7 | 0.8 | – | 1.2 | 1.3 | – | 0.32 | |
| 800 | 1.1 | – | 0.3 | 0.4 | 0.6 | – | 1.3 | 2.0 | – | 0.24 | |
| CPP-1 | Room | 5.8 | – | 1.0 | 2.5 | 3.2 | 3.6 | 2.5 | 3.2 | 3.6 | 1.44 |
| 400 | 3.2 | – | 0.7 | 0.7 | 0.8 | – | 1.0 | 1.1 | – | 0.32 | |
| 600 | 2.5 | – | 0.4 | 0.7 | 0.8 | – | 1.7 | 2.0 | – | 0.32 | |
| 800 | 0.7 | – | 0.2 | 0.6 | 0.7 | – | 3.0 | 3.5 | – | 0.28 | |
| CPP-1.5 | Room | 6.1 | 3.2 | 0.7 | 2.8 | 4.3 | 4.9 | 4.0 | 6.1 | 7.0 | 1.96 |
| 400 | 3.0 | – | 0.3 | 0.8 | 0.9 | – | 2.7 | 3.0 | – | 0.36 | |
| 600 | 2.2 | – | 0.2 | 0.7 | 0.8 | – | 3.5 | 4.0 | – | 0.32 | |
| 800 | 0.6 | – | 0.1 | 0.5 | 0.6 | – | 5.0 | 6.0 | – | 0.24 | |
| CPP-2 | Room | 5.8 | 3.1 | 0.8 | 3.2 | 5.4 | 6.6 | 4.0 | 6.8 | 8.3 | 2.64 |
| 400 | 2.6 | – | 0.4 | 0.8 | 0.9 | – | 2.0 | 2.3 | – | 0.36 | |
| 600 | 2.0 | – | 0.3 | 0.8 | 0.9 | – | 2.7 | 3.0 | – | 0.36 | |
| 800 | 0.6 | – | 0.2 | 0.6 | 0.7 | – | 3.0 | 3.5 | – | 0.28 | |
| CS-0.5 | Room | 5.8 | 7.5 | 0.7 | 6.1 | 11.5 | 16.8 | 8.7 | 16.4 | 24.0 | 5.33 |
| 400 | 2.9 | – | 0.5 | 3.3 | 6.2 | 9.9 | 6.6 | 12.4 | 19.8 | 3.14 | |
| 600 | 2.2 | – | 0.4 | 1.9 | 3.1 | 5.8 | 4.8 | 7.8 | 14.5 | 1.84 | |
| CS-1 | Room | 6.8 | 8.7 | 1.0 | 7.9 | 14.7 | 22.7 | 7.9 | 14.7 | 22.7 | 7.21 |
| 400 | 4.0 | – | 0.8 | 4.1 | 9.5 | 14.8 | 5.1 | 11.9 | 18.5 | 4.70 | |
| 600 | 3.3 | – | 0.6 | 2.5 | 4.6 | 8.4 | 4.2 | 7.7 | 14.0 | 2.67 | |
| CS-1.5 | Room | 12.8 | 11.7 | 4.3 | 17.8 | 31.2 | 42.6 | 4.1 | 7.3 | 9.9 | 13.52 |
| 400 | 9.2 | – | 2.4 | 10.9 | 21.8 | 29.3 | 4.5 | 9.1 | 12.2 | 9.30 | |
| 600 | 8.3 | – | 1.6 | 8.0 | 15.5 | 21.9 | 5.0 | 9.7 | 13.7 | 6.95 | |
| CS-2 | Room | 11 | 10.9 | 3.6 | 17.1 | 30.3 | 49.2 | 4.8 | 8.4 | 13.7 | 15.62 |
| 400 | 8.1 | – | 1.9 | 10.3 | 18.9 | 31.2 | 5.4 | 9.9 | 16.4 | 9.90 | |
| 600 | 7.4 | – | 1.0 | 7.2 | 12.6 | 19.3 | 7.2 | 12.6 | 19.3 | 6.13 | |
| Designation | Equation | Residual Sum of Squares | Adj. R-Square |
|---|---|---|---|
| CPP-0.5 | 0.008 | 0.914 | |
| 0.030 | 0.820 | ||
| CPP-1 | 0.014 | 0.981 | |
| 0.049 | 0.960 | ||
| CPP-1.5 | 0.008 | 0.991 | |
| 0.053 | 0.977 | ||
| CPP-2 | 0.206 | 0.701 | |
| 0.426 | 0.893 | ||
| CS-0.5 | ― | ― | |
| ― | ― | ||
| ― | ― | ||
| CS-1 | ― | ― | |
| ― | ― | ||
| ― | ― | ||
| CS-1.5 | ― | ― | |
| ― | ― | ||
| ― | ― | ||
| CS-2 | ― | ― | |
| ― | ― | ||
| ― | ― |
© 2019 by the author. Licensee MDPI, Basel, Switzerland. This article is an open access article distributed under the terms and conditions of the Creative Commons Attribution (CC BY) license (http://creativecommons.org/licenses/by/4.0/).
Share and Cite
Smarzewski, P. Study of Toughness and Macro/Micro-Crack Development of Fibre-Reinforced Ultra-High Performance Concrete After Exposure to Elevated Temperature. Materials 2019, 12, 1210. https://doi.org/10.3390/ma12081210
Smarzewski P. Study of Toughness and Macro/Micro-Crack Development of Fibre-Reinforced Ultra-High Performance Concrete After Exposure to Elevated Temperature. Materials. 2019; 12(8):1210. https://doi.org/10.3390/ma12081210
Chicago/Turabian StyleSmarzewski, Piotr. 2019. "Study of Toughness and Macro/Micro-Crack Development of Fibre-Reinforced Ultra-High Performance Concrete After Exposure to Elevated Temperature" Materials 12, no. 8: 1210. https://doi.org/10.3390/ma12081210
APA StyleSmarzewski, P. (2019). Study of Toughness and Macro/Micro-Crack Development of Fibre-Reinforced Ultra-High Performance Concrete After Exposure to Elevated Temperature. Materials, 12(8), 1210. https://doi.org/10.3390/ma12081210
