Flexural Behavior of GFRP Tubes Filled with Magnetically Driven Concrete
Abstract
:1. Introduction
2. Experimental Investigation
2.1. Magnetically Driven Concrete
2.2. GFRP Tubes
2.3. Reinforcing Bars and GFRP Bars
2.4. Magnetic Vibration Device and Test Specimens
- The first letters indicate that the type of the bars, where the prefix letter “G” refers to GFRP bars while the letter “R” refers to steel reinforcing bars.
- The following four digits “2000” indicate the length of the specimen in mm.
- The following three digits “300” indicate the outer diameter of the specimen in mm.
- The following two digit “12” is the nominal thickness of the GFRP tube in mm.
- The last character “A” refers to the specimen was vibrated using vibrating tube while the character “B” refers to the specimen was vibrated using magnetic method.
2.5. Bending Test
3. Test Results
3.1. Material Test Results
3.2. Beam Test Results
3.2.1. Load-Displacement Curves
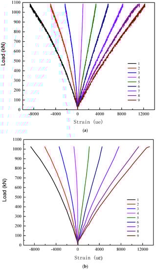
3.2.2. Load-Strain Curves
3.2.3. Failure Mode and Ultimate Strength
4. Design of Elastic Stiffness
4.1. Method 1
4.2. Method 2
5. Conclusions
Acknowledgments
Author Contributions
Conflicts of Interest
Nomenclature
| Escm | the elastic bending modulus of concrete-filled tubes |
| Is | the moment of inertia of GFRP tube |
| Ic | the moment of inertia of concrete |
| Es | the elastic modulus of GFRP |
| Ec | the elastic modulus of concrete |
| Ecm | secant modulus of elastic of concrete, Ecm = 9500 (fck + 8)1/3 |
| Isc | the moment of inertia of concrete-filled tubes |
| As | the cross section area of GFRP tube |
| Ac | the cross section area of concrete |
| Ke | 0.6 is a correction factor |
| Ea | the elastic modulus of GFRP tube |
| Ia | the moment of inertia of GFRP tube |
| fck | the characteristic cylinder compressive strength of the concrete at the age considered |
References
- Chen, J.; Wang, J.; Jin, W.L. Study of magnetically driven concrete. Constr. Build. Mater. 2016, 121, 53–59. [Google Scholar] [CrossRef]
- Wangsness, R.K.; Cloud, M.J. Electromagnetic Fields, 2nd ed.; Wiley: Hoboken, NJ, USA, 1986; ISBN 978-0-471-81186-2. [Google Scholar]
- Mirmiran, A.; Shahawy, M. Behavior of concrete columns confined by fiber composites. J. Struct. Eng. 1997, 23, 583–590. [Google Scholar] [CrossRef]
- Mirmiran, A.; Shahawy, M.; El Khoury, C.; Naguib, W. Large beam-column tests on concrete-filled composite tubes. ACI Struct. J. 2000, 9, 268–276. [Google Scholar]
- Davol, A.; Burgueno, R.; Seible, F. Flexural behavior of circular concrete filled FRP shells. J. Struct. Eng. 2001, 127, 810–817. [Google Scholar] [CrossRef]
- Fam, A.Z.; Rizkalla, S.H. Flexural behavior of concrete-filled fiber-reinforced polymer circular tubes. J. Compos. Constr. 2002, 6, 123–132. [Google Scholar] [CrossRef]
- Shao, Y. Behavior of FRP-Concrete Beam-Columns under Cyclic Loading. Ph.D. Thesis, North Carolina State University, Raleigh, NC, USA, 2003. [Google Scholar]
- Teng, J.; Lam, L. Behavior and modeling of fiber reinforced polymer-confined concrete. J. Struct. Eng. 2004, 130, 1713–1723. [Google Scholar] [CrossRef]
- Aydin, F.; Saribiyik, M. Investigation of flexural behaviors of hybrid beams formed with GFRP box section and concrete. Constr. Build. Mater. 2013, 41, 563–569. [Google Scholar] [CrossRef]
- Abouzied, A.; Masmoudi, R. Structural performance of new fully and partially concrete-filled rectangular FRP-tube beams. Constr. Build. Mater. 2015, 101, 652–660. [Google Scholar] [CrossRef]
- Muttashar, M.; Karunasena, W.; Manalo, A.; Lokuge, W. Behaviour of hollow pultruded GFRP square beams with different shear span-to-depth ratios. J. Compos. Mater. 2015. [Google Scholar] [CrossRef]
- Muttashar, M.; Mana`lo, A.; Karunasena, W.; Lokuge, W. Influence of infill concrete strength on the flexural behavior of pultruded GFRP square beams. Compos. Struct. 2016, 145, 58–67. [Google Scholar] [CrossRef]
- Muttashar, M.; Manalo, A.; Karunasena, W.; Lokuge, W. Flexural behaviour of multi-celled GFRP composite beams with concrete infill: Experiment and theoretical analysis. Compos. Struct. 2017, 159, 21–33. [Google Scholar] [CrossRef]
- Maxwell, J.C. A Dynamical Theory of the Electromagnetic Field. Philos. Trans. R. Soc. Lond. 1865, 155, 459–512. [Google Scholar] [CrossRef]
- Ministry of Urban and Rural Construction. Standard for Evaluation of Concrete Compressive Strength; GBT50107-2010; Ministry of Urban and Rural Construction: Beijing, China, 2010.
- Ministry of Urban and Rural Construction. Technical Code for Concrete-Filled Steel Tubular Structures; GB50936-2014; Ministry of Urban and Rural Construction: Beijing, China, 2014.
- European Committee for Standardization. Eurocode 4. Design of Composite Steel and Concrete Structures; European Committee for Standardization: Brussels, Belgium, 2005. [Google Scholar]












| Water | Cement | Sand | Coarse Steel Slag |
|---|---|---|---|
| 210 | 525 | 524 | 1115 |
| Test Specimen | L (mm) | D (mm) | t (mm) | d (mm) | n (mm) |
|---|---|---|---|---|---|
| G2000-300-8A | 2000 | 300.2 | 7.98 | 6 | 6 |
| G2000-300-8B | 1999 | 300.1 | 7.98 | 6 | 6 |
| G2000-300-12A | 2001 | 299.7 | 11.98 | 6 | 6 |
| G2000-300-12B | 2002 | 300.3 | 12.01 | 6 | 6 |
| R2000-300-8A | 2001 | 300.2 | 8.01 | 6 | 6 |
| R2000-300-8B | 1998 | 300.1 | 8.01 | 6 | 6 |
| R2000-300-12A | 2000 | 300.0 | 12.01 | 6 | 6 |
| R2000-300-12B | 2000 | 299.8 | 12.02 | 6 | 6 |
| G2000-180-8A | 2001 | 180.1 | 8.00 | 6 | 6 |
| R2000-180-8B | 2002 | 180.2 | 7.98 | 6 | 6 |
| R1500-300-8A | 1501 | 300.3 | 7.99 | 6 | 6 |
| R1500-300-12A | 1499 | 300.1 | 12.02 | 6 | 6 |
| R1500-300-12B | 1502 | 300.2 | 12.03 | 6 | 6 |
| GFRP Tube | Water-Absorption Rate (%) | Degree of Cure (%) | Density (kg/m3) | fu (MPa) | E (GPa) |
|---|---|---|---|---|---|
| Series A | 0.14 | 92.7 | 1987.1 | 371.9 | 39.2 |
| Series B | 0.14 | 92.5 | 1985.2 | 373.1 | 38.9 |
| Series C | 0.15 | 95.9 | 2066.5 | 342.6 | 36.8 |
| Specimens | E (GPa) | fy (MPa) | fu (MPa) | εu (%) |
|---|---|---|---|---|
| GFRP bar | 31.8 | --- | 519 | 1.4 |
| Reinforcing bar | 205 | 375 | 465 | --- |
| Stirrups | 201 | 330 | 415 | --- |
| Specimens | Nu (kN) | Mu (kN·m) |
|---|---|---|
| G2000-300-8A | 708.5 | 212.6 |
| G2000-300-8B | 696.5 | 209.0 |
| G2000-300-12A | 1126.0 | 337.8 |
| G2000-300-12B | 1083.0 | 324.9 |
| R2000-300-8A | 686.9 | 206.1 |
| R2000-300-8B | 723.0 | 216.9 |
| R2000-300-12A | 1001.2 | 300.4 |
| R2000-300-12B | 1043.0 | 312.9 |
| G2000-180-8A | 357.1 | 107.1 |
| R2000-180-8B | 366.0 | 109.8 |
| R1500-300-8A | 1058.0 | 264.5 |
| R1500-300-12A | 1276.1 | 319.0 |
| R1500-300-12B | 1121.1 | 280.3 |
| Specimens | Bscm (N·mm2) | (EI)eff (N·mm2) |
|---|---|---|
| G2000-300-8A | 2.03262 × 1013 | 9.16117 × 1012 |
| G2000-300-8B | 2.03262 × 1013 | 9.16117 × 1012 |
| G2000-300-12A | 2.70496 × 1013 | 9.85801 × 1012 |
| G2000-300-12B | 2.70496 × 1013 | 9.85801 × 1012 |
| R2000-300-8A | 2.03262 × 1013 | 9.15116 × 1012 |
| R2000-300-8B | 2.03262 × 1013 | 9.15116 × 1012 |
| R2000-300-12A | 2.70496 × 1013 | 9.84799 × 1012 |
| R2000-300-12B | 2.70496 × 1013 | 9.84799 × 1012 |
| G2000-180-8A | 3.54573 × 1012 | 1.26122 × 1012 |
| R2000-180-8B | 2.03262 × 1013 | 1.27145 × 1012 |
| R1500-300-8A | 2.03262 × 1013 | 9.15116 × 1012 |
| R1500-300-12A | 2.70496 × 1013 | 9.84799 × 1012 |
| R1500-300-12B | 2.70496 × 1013 | 9.84799 × 1012 |
© 2018 by the authors. Licensee MDPI, Basel, Switzerland. This article is an open access article distributed under the terms and conditions of the Creative Commons Attribution (CC BY) license (http://creativecommons.org/licenses/by/4.0/).
Share and Cite
Xie, F.; Chen, J.; Dong, X.; Feng, B. Flexural Behavior of GFRP Tubes Filled with Magnetically Driven Concrete. Materials 2018, 11, 92. https://doi.org/10.3390/ma11010092
Xie F, Chen J, Dong X, Feng B. Flexural Behavior of GFRP Tubes Filled with Magnetically Driven Concrete. Materials. 2018; 11(1):92. https://doi.org/10.3390/ma11010092
Chicago/Turabian StyleXie, Fang, Ju Chen, Xinlong Dong, and Bing Feng. 2018. "Flexural Behavior of GFRP Tubes Filled with Magnetically Driven Concrete" Materials 11, no. 1: 92. https://doi.org/10.3390/ma11010092
APA StyleXie, F., Chen, J., Dong, X., & Feng, B. (2018). Flexural Behavior of GFRP Tubes Filled with Magnetically Driven Concrete. Materials, 11(1), 92. https://doi.org/10.3390/ma11010092
