Thermal, Spectral and Laser Properties of Er3+:Yb3+:GdMgB5O10: A New Crystal for 1.5 μm Lasers
Abstract
:1. Introduction
2. Experiments
3. Results and Discussion
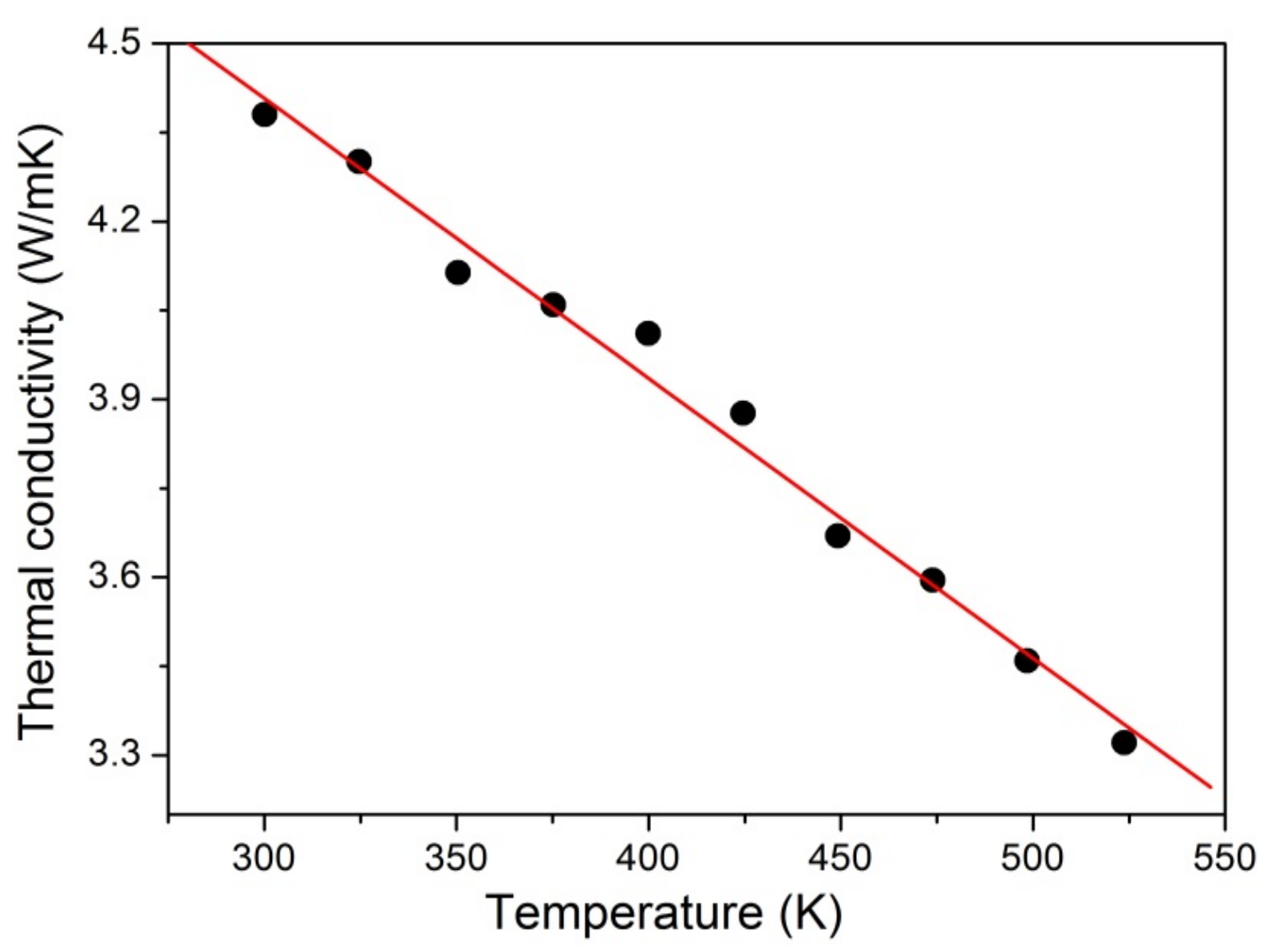
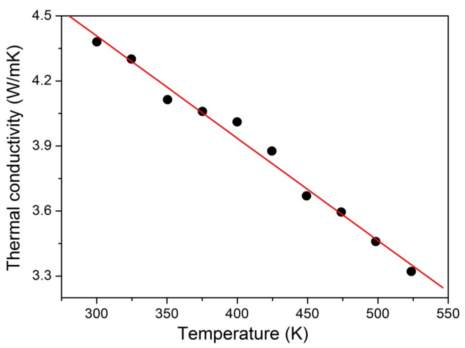
3.1. Thermal Properties
3.2. Spectral Characteristics
3.3. Laser Performance
4. Conclusions
Acknowledgments
Author Contributions
Conflicts of Interest
References
- Huber, G.; Kranke, C.; Petermann, K. Solid-state lasers: Status and future. J. Opt. Soc. Am. B 2010, 27, B93–B105. [Google Scholar] [CrossRef]
- Krupke, W.F. Ytterbium solid-state lasers. The first decade. IEEE J. Sel. Top. Quantum Electron. 2000, 6, 1287–1296. [Google Scholar] [CrossRef]
- Tolstik, N.A.; Kisel, V.E.; Kuleshov, N.V.; Maltsev, V.V.; Leonyuk, N.I. Er,Yb:YAl3(BO3)4-efficient 1.5 μm laser crystal. Appl. Phys. B 2009, 97, 357–362. [Google Scholar] [CrossRef]
- Bjurshagen, S.; Pasiskevicius, V.; Parreu, I.; Pujol, M.C.; Pena, A.; Aguilo, M.; Diaz, F. Crystal growth, spectroscopic characterization, and eye-safe laser operation of erbium- and ytterbium-codoped KLu(WO4)2. Appl. Opt. 2008, 47, 656–665. [Google Scholar] [CrossRef] [PubMed]
- Tolstik, N.A.; Troshin, A.E.; Kurilchik, S.V.; Kisel, V.E.; Kuleshov, N.V.; Matrosov, V.N.; Matrosova, T.A.; Kupchenko, M.I. Spectroscopy, continuous-wave and Q-switched diode pumped laser operation of Er3+, Yb3+:YVO4 crystal. Appl. Phys. B 2007, 86, 275–278. [Google Scholar] [CrossRef]
- Kuleshov, N.V.; Lagatasky, A.A.; Podlipensky, A.V.; Mikhailov, V.P.; Kornienko, A.A.; Dunina, E.B.; Hartung, S.; Huber, G. Fluorescence dynamics, excited-state absorption, and stimulated emission of Er3+ in KY(WO4)2. J. Opt. Soc. Am. B 1998, 15, 1205–1212. [Google Scholar] [CrossRef]
- Schweizer, T.; Jensen, T.; Heumann, E.; Huber, G. Spectroscopic properties and diode pumped 1.6 μm laser performance in Yb-codoped Er:Y3A15O12 and Er:Y2SiO5. Opt. Commun. 1995, 118, 557–561. [Google Scholar] [CrossRef]
- Hellström, J.E.; Pasiskevicius, V.; Laurell, F.; Denker, B.; Sverchkov, S.; Galagan, B.; Ivleva, L. Passive Q-switching at 1.54 μm of an Er-Yb:GdCa4O(BO3)3 laser with a Co2+:MgAl2O4 saturable absorber. Appl. Phys. B 2005, 81, 49–52. [Google Scholar]
- Huang, J.H.; Chen, Y.J.; Lin, Y.F.; Gong, X.H.; Luo, Z.D.; Huang, Y.D. High efficient 1.56 μm laser operation of Czochralski grown Er:Yb:Sr3Y2(BO3)4 crystal. Opt. Express 2008, 16, 17243–17248. [Google Scholar] [CrossRef] [PubMed]
- Gorbachenya, K.N.; Kisel, V.E.; Yasukevich, A.S.; Maltsev, V.V.; Leonyuk, N.I.; Kuleshov, N.V. Eye-safe 1.55 μm passively Q-switched Er,Yb:GdAl3(BO3)4 diode-pumped laser. Opt. Lett. 2016, 41, 918–921. [Google Scholar] [CrossRef] [PubMed]
- Wang, P.; Dawes, J.; Burns, P.; Piper, J.; Zhang, H.; Zhu, L.; Meng, X. Diode-pumped cw tunable Er3+:Yb3+:YCOB laser at 1.5–1.6 μm. Opt. Mater. 2002, 19, 383–387. [Google Scholar] [CrossRef]
- Luo, J.; Fan, S.; Xie, H.; Xiao, K.; Qian, G.; Zhang, Z.; Qian, G.; Sun, R.; Xu, J. Thermal and Nonlinear Optical Properties of Ca4YO(BO3)3. Cryst. Res. Technol. 2001, 36, 1212–1221. [Google Scholar] [CrossRef]
- Pan, Z.; Gong, H.; Yu, H.; Zhang, H.; Wang, J.; Boughton, R. Growth, morphology and anisotropic thermal properties of Nd-doped Sr3Y2(BO3)4 crystal. J. Cryst. Growth 2013, 363, 176–184. [Google Scholar] [CrossRef]
- Huang, Y.; Sun, S.; Yuan, F.; Zhang, L.; Lin, Z. Spectroscopic properties and continuous-wave laser operation of Er3+:Yb3+:LaMgB5O10 crystal. J. Alloy. Compd. 2017, 395, 215–220. [Google Scholar] [CrossRef]
- Huang, J.H.; Chen, Y.J.; Lin, Y.F.; Gong, X.H.; Luo, Z.D.; Huang, Y.D. Spectral and laser properties of Er:Yb:Sr3Lu2(BO3)4 crystal at 1.5–1.6 μm. Opt. Mater. Express 2013, 3, 1885–1892. [Google Scholar] [CrossRef]
- Shannon, R.D. Revised effective ionic radii and systematic studies of interatomic distances in halides and chalcogenides. Acta Crystallogr. 1976, A32, 751–767. [Google Scholar] [CrossRef]
- Huang, Y.; Lou, F.; Sun, S.; Yuan, F.; Zhang, L.; Lin, Z.; You, Z. Spectroscopy and laser performance of Yb3+:GdMgB5O10 crystal. J. Lumin. 2017, 188, 7–11. [Google Scholar] [CrossRef]
- Fan, J.; Lin, Z.; Zhang, L.; Wang, G. Phase diagram, growth and spectral properties of Nd3+:GdMg(BO2)5 crystal. J. Alloy. Compd. 2007, 436, 252–255. [Google Scholar] [CrossRef]
- Wang, B.; Jiang, H.; Zhang, X.; Sun, H.; Yin, S. Study on Thermal Conductivity of the Doped GSGG Laser Crystals. J. Synth. Cryst. 2006, 35, 912–916. [Google Scholar]
- Judd, B.R. Optical absorption intensities of rare-earth ions. Phys. Rev. 1962, 127, 750–761. [Google Scholar] [CrossRef]
- Ofelt, G.S. Intensities of crystal spectra of rare-earth ions. J. Chem. Phys. 1962, 37, 511–520. [Google Scholar] [CrossRef]
- Li, C.; Wyon, C.; Moncorge, R. Spectroscopic Properties and Fluorescence Dynamics of Er3+ and Yb3+ in Y2SiO5. IEEE J. Quantum Electron. 1992, 28, 1209–1221. [Google Scholar] [CrossRef]
- Huang, J.H.; Chen, Y.J.; Lin, Y.F.; Gong, X.H.; Luo, Z.D.; Huang, Y.D. Spectral properties of Er3+-doped CaGdAlO4 crystal for laser application around 1.55 μm. J. Alloy. Compd. 2014, 585, 163–167. [Google Scholar] [CrossRef]
- Aull, B.F.; Jenssen, H.P. Vibronic Interactions in Nd:YAG Resulting in Nonreciprocity of Absorption and Stimulated-Emission Cross-Sections. IEEE J. Quantum Electron. 1982, 18, 925–930. [Google Scholar] [CrossRef]
- Burns, P.A.; Dawes, J.M.; Dekker, P.; Piper, J.A.; Jiang, H.D.; Wang, J.Y. Optimization of Er,Yb:YCOB for CW laser operation. IEEE J. Quantum Electron. 2004, 40, 1575–1582. [Google Scholar] [CrossRef]








| Transition (from 4I15/2) | (nm) | E//Z | E//Y | E//X | ||||
|---|---|---|---|---|---|---|---|---|
| fexp × 106 | fcal × 106 | fexp × 106 | fcal × 106 | fexp × 106 | fcal × 106 | |||
| 4I13/2 | 1515 | 1.98 | 1.99 (ed) | 2.42 | 2.51 (ed) | 1.85 | 1.82 (ed) | |
| 0.43 (md) | 0.43 (md) | 0.43 (md) | ||||||
| 4I9/2 | 798 | 0.31 | 0.36 | 0.36 | 0.41 | 0.27 | 0.31 | |
| 4F9/2 | 655 | 2.62 | 2.60 | 3.09 | 3.18 | 2.39 | 2.32 | |
| 4S3/2 | 539 | 0.74 | 0.79 | 0.88 | 1.01 | 0.68 | 0.72 | |
| 2H11/2 | 520 | 6.51 | 7.30 | 7.69 | 8.55 | 7.82 | 9.14 | |
| 4F7/2 | 488 | 2.96 | 2.93 | 4.43 | 3.68 | 2.36 | 2.65 | |
| 4G11/2 | 378 | 13.77 | 12.91 | 16.04 | 15.12 | 17.57 | 16.17 | |
| RMS error (%) | 10.01 | 10.78 | 13.53 | |||||
| Ωt (10−20 cm2) | Ω2 = 4.95 Ω4 = 1.77 Ω6 = 2.26 | Ω2 = 5.77 Ω4 = 2.10 Ω6 = 2.86 | Ω2 = 6.69 Ω4 = 1.56 Ω6 = 2.04 | |||||
| Ωeff = (Ωx + Ωy + Ωz)/3, Ω2 = 5.81, Ω4 = 1.62, Ω6 = 2.39 | ||||||||
| J’→J | λ (nm) | E//Z | E//Y | E//X | τr (ms) | |||
|---|---|---|---|---|---|---|---|---|
| A (s−1) | β (%) | A (s−1) | β (%) | A (s−1) | β (%) | |||
| 4I13/2→4I15/2 | 1542 | 151.2 | 100 | 183.8 | 100 | 141.0 | 100 | 6.30 |
| 4I11/2→4I13/2 | 2745 | 27.3 | 14.5 | 32.7 | 13.9 | 25.8 | 14.2 | 5.03 |
| 4I15/2 | 987 | 160.9 | 85.5 | 202.3 | 86.1 | 155.7 | 85.8 | |
| 4I9/2→4I11/2 | 4488 | 1.7 | 1.0 | 1.9 | 0.9 | 1.6 | 1.1 | 5.65 |
| 4I13/2 | 1703 | 59.7 | 34.2 | 75.8 | 36.0 | 54.2 | 35.0 | |
| 4I15/2 | 809 | 113.0 | 64.8 | 133.1 | 63.1 | 98.9 | 63.9 | |
| 4F9/2→4I9/2 | 3466 | 4.9 | 0.4 | 5.5 | 0.3 | 5.8 | 0.5 | 0.68 |
| 4I11/2 | 1956 | 83.0 | 5.8 | 103.4 | 6.0 | 79.4 | 6.2 | |
| 4I13/2 | 1142 | 58.8 | 4.1 | 70.8 | 4.1 | 54.9 | 4.3 | |
| 4I15/2 | 656 | 1137.2 | 89.7 | 1561.9 | 89.7 | 1137.2 | 89.1 | |
| 4S3/2→4F9/2 | 3125 | 0.9 | 0.04 | 1.1 | 0.04 | 0.8 | 0.04 | 0.46 |
| 4I9/2 | 1665 | 69.7 | 3.3 | 87.3 | 3.3 | 62.7 | 3.3 | |
| 4I11/2 | 1215 | 43.8 | 2.1 | 55.5 | 2.1 | 39.7 | 2.1 | |
| 4I13/2 | 842 | 589.2 | 28.1 | 749.3 | 28.2 | 534.8 | 28.1 | |
| 4I15/2 | 545 | 1390.3 | 66.4 | 1767.9 | 66.4 | 1261.9 | 66.5 | |
© 2017 by the authors. Licensee MDPI, Basel, Switzerland. This article is an open access article distributed under the terms and conditions of the Creative Commons Attribution (CC BY) license (http://creativecommons.org/licenses/by/4.0/).
Share and Cite
Huang, Y.; Yuan, F.; Sun, S.; Lin, Z.; Zhang, L. Thermal, Spectral and Laser Properties of Er3+:Yb3+:GdMgB5O10: A New Crystal for 1.5 μm Lasers. Materials 2018, 11, 25. https://doi.org/10.3390/ma11010025
Huang Y, Yuan F, Sun S, Lin Z, Zhang L. Thermal, Spectral and Laser Properties of Er3+:Yb3+:GdMgB5O10: A New Crystal for 1.5 μm Lasers. Materials. 2018; 11(1):25. https://doi.org/10.3390/ma11010025
Chicago/Turabian StyleHuang, Yisheng, Feifei Yuan, Shijia Sun, Zhoubin Lin, and Lizhen Zhang. 2018. "Thermal, Spectral and Laser Properties of Er3+:Yb3+:GdMgB5O10: A New Crystal for 1.5 μm Lasers" Materials 11, no. 1: 25. https://doi.org/10.3390/ma11010025
APA StyleHuang, Y., Yuan, F., Sun, S., Lin, Z., & Zhang, L. (2018). Thermal, Spectral and Laser Properties of Er3+:Yb3+:GdMgB5O10: A New Crystal for 1.5 μm Lasers. Materials, 11(1), 25. https://doi.org/10.3390/ma11010025
