Effects of Heat-Treated Wood Particles on the Physico-Mechanical Properties and Extended Creep Behavior of Wood/Recycled-HDPE Composites Using the Time–Temperature Superposition Principle
Abstract
1. Introduction
2. Materials and Methods
2.1. Materials
2.2. Heat Treatment of Wood Particles
2.3. Processing of Composite Panels
2.4. Determining of the Composite Properties
2.5. Evaluation of the Vertical Density Profile
2.6. Scanning Electron Microscopy
2.7. Short-Term Accelerated and Experimental Creep Tests
2.8. Theoretical Creep Models
2.9. Analysis of Variance
3. Results and Discussion
3.1. Density, Moisture Content, Water Absorption, and Thickness Swelling
3.2. Flexural Properties, Wood Screw Holding Strength, and Internal Bond Strength
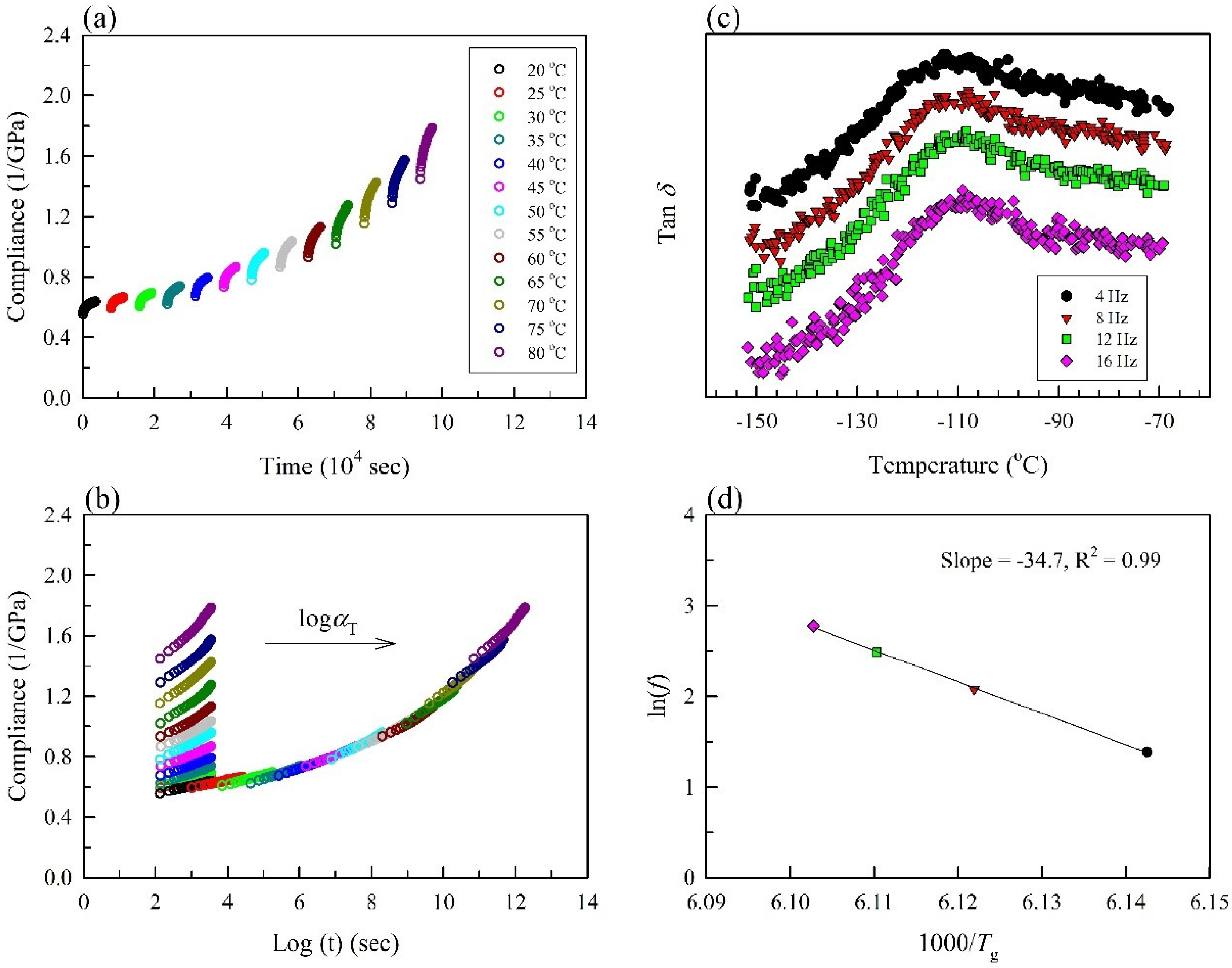
3.3. Extended Creep Behavior Using TTSP and Long-Term Creep Behavior
4. Conclusions
Acknowledgments
Author Contributions
Conflicts of Interest
References
- Klyosov, A. Wood-Plastic Composites; John Wiley & Sons Inc.: Hoboken, NJ, USA, 2007. [Google Scholar]
- Rowell, R.M. Chemical modification of wood. For. Prod. Abstr. 1983, 6, 363–382. [Google Scholar] [CrossRef]
- Hung, K.-C.; Wu, J.-H. Mechanical and interfacial properties of plastic composite panels made from esterified bamboo particles. J. Wood Sci. 2010, 56, 216–221. [Google Scholar] [CrossRef]
- Deka, M.; Saikia, C.N.; Baruah, K.K. Studies on thermal degradation and termite resistant properties of chemically modified wood. Bioresour. Technol. 2002, 84, 151–157. [Google Scholar] [CrossRef]
- Bekhta, P.; Niemz, P. Effect of high temperature on the change in color, dimensional stability and mechanical properties of spruce wood. Holzforschung 2003, 57, 539–546. [Google Scholar] [CrossRef]
- Gündüz, G.; Korkut, S.; Korkut, D.S. The effect of heat treatment on physical and technological properties and surface roughness of Camiyani Black Pine (Pinus nigra Arn. subsp. pallasiana var. pallasiana) wood. Bioresour. Technol. 2008, 99, 2275–2280. [Google Scholar] [CrossRef] [PubMed]
- Korkut, D.S.; Hiziroglu, S. Experimental test of heat treatment effect on physical properties of red oak (Quercus falcate Michx.) and southern pine (Pinus taeda L.). Materials 2014, 7, 7314–7323. [Google Scholar] [CrossRef]
- Gao, X.; Li, Q.; Cheng, W.; Han, G.; Xuan, L. Optimization of high temperature and pressurized steam modified wood fibers for high-density polyethylene matrix composites using the orthogonal design method. Materials 2016, 9, 847. [Google Scholar] [CrossRef]
- Ayrilmis, N.; Jarusombuti, S.; Fuengvivat, V.; Bauchongkol, P. Effect of thermal treatment of rubber wood fibres on physical and mechanical properties of medium density fibreboard. J. Trop. Forest. Sci. 2011, 23, 10–16. [Google Scholar]
- Fang, H.; Wu, Q.; Hu, Y.; Wang, Y.; Yan, X. Effects of thermal treatment on durability of short bamboo-fibers and its reinforced composites. Fibers Polym. 2013, 14, 436–440. [Google Scholar] [CrossRef]
- Luo, S.; Cao, J.; Wang, X. Investigation of the interfacial compatibility of PEG and thermally modified wood flour/polypropylene composites using the stress relaxation approach. Bioresources 2013, 8, 2064–2073. [Google Scholar] [CrossRef]
- Robin, J.J.; Breton, Y. Reinforcement of recycled polyethylene with wood fibers heat treated. J. Reinf. Plast. Compos. 2001, 20, 1253–1262. [Google Scholar] [CrossRef]
- Boonstra, M.J.; Tjeerdsma, B. Chemical analysis of heat treated softwoods. Holz Roh Werkst. 2006, 64, 204–211. [Google Scholar] [CrossRef]
- Pelaez-Samaniego, M.R.; Yadama, V.; Lowell, E.; Espinoza-Herrera, R. A review of wood thermal pretreatments to improve composites properties. Wood Sci. Technol. 2013, 47, 1285–1319. [Google Scholar] [CrossRef]
- Kaboorani, A.; Faezipour, M.; Ebrahimi, G. Feasibility of using heat treated wood in wood/thermoplastic composites. J. Reinf. Plast. Compos. 2008, 27, 1689–1699. [Google Scholar] [CrossRef]
- Kaboorani, A. Thermal properties of composites made of heat-treated wood and polypropylene. J. Compos. Mater. 2009, 43, 2599–2607. [Google Scholar] [CrossRef]
- Kaboorani, A.; Faezipour, M. Effects of wood preheat treatment on thermal stability of HDPE composites. J. Reinf. Plast. Compos. 2009, 28, 2945–2955. [Google Scholar] [CrossRef]
- Nuñez, A.J.; Marcovich, N.E.; Aranguren, M.I. Analysis of the creep behavior of polypropylene–woodflour composites. Polym. Eng. Sci. 2004, 44, 1594–1603. [Google Scholar] [CrossRef]
- Tajvidi, M.; Falk, R.H.; Hermanson, J.C. Time-temperature superposition principle applied to a kenaf fiber/high-density polyethylene composite. J. Appl. Polym. A 2005, 97, 1995–2004. [Google Scholar] [CrossRef]
- Chen, J.; Gardner, D.J. Dynamic mechanical properties of extruded nylon–wood composites. Polym. Compos. 2008, 29, 372–379. [Google Scholar] [CrossRef]
- Xu, Y.; Lee, S.-Y.; Wu, Q. Creep analysis of bamboo high-density polyethylene composites: Effect of interfacial treatment and fiber loading level. Polym. Compos. 2011, 32, 692–699. [Google Scholar] [CrossRef]
- Tamrakar, S.; Lopez-Anido, R.A.; Kiziltas, A.; Gardner, D.J. Time and temperature dependent response of a wood-polypropylene composite. Compos. Part A Appl. Sci. Manuf. 2011, 42, 834–842. [Google Scholar] [CrossRef]
- Butylina, S.; Martikka, O.; Karki, T. Properties of wood fibre-polypropylene composites: Effect of wood fibre source. Appl. Compos. Mater. 2011, 18, 101–111. [Google Scholar] [CrossRef]
- Ayrilmis, N.; Jarusombuti, S.; Fueangvivat, V.; Bauchongkol, P. Effect of thermal-treatment of wood fibers on properties of flat-pressed wood plastic composites. Polym. Degrad. Stab. 2011, 96, 818–822. [Google Scholar] [CrossRef]
- Segerholm, B.K.; Ibach, R.E. Westin, M. Moisture sorption, biological durability, and mechanical performance of WPC containing modified wood and polylactates. Bioresources 2012, 7, 4575–4585. [Google Scholar] [CrossRef][Green Version]
- Lee, C.-H.; Wu, T.-L.; Chen, Y.-L.; Wu, J.-H. Characteristics and discrimination of five types of wood-plastic composites by FTIR spectroscopy combined with principal component analysis. Holzforschung 2010, 64, 699–704. [Google Scholar] [CrossRef]
- Dorigato, A.; Pegoretti, A.; Kolarik, J. Nonlinear tensile creep of linear low density polyethylene/fumed silica nanocomposites: Time–strain superposition and creep prediction. Polym. Compos. 2010, 31, 1947–1955. [Google Scholar] [CrossRef]
- Xu, Y.; Wu, Q.; Lei, Y.; Yao, F. Creep behavior of bagasse fiber reinforced polymer composites. Bioresour. Technol. 2010, 101, 3280–3286. [Google Scholar] [CrossRef] [PubMed]
- Homkhiew, C.; Ratanawilai, T.; Thongruang, W. Time–temperature and stress dependent behaviors of composites made from recycled polypropylene and rubberwood flour. Constr. Build. Mater. 2014, 66, 98–104. [Google Scholar] [CrossRef]
- Yang, T.-C.; Wu, T.-L.; Hung, K.-C.; Chen, Y.-L.; Wu, J.-H. Mechanical properties and extended creep behavior of bamboo fiber reinforced recycled poly(lactic acid) composites using the time–temperature superposition principle. Constr. Build. Mater. 2015, 93, 558–563. [Google Scholar] [CrossRef]
- Hung, K.-C.; Wu, T.-L.; Chen, Y.-L.; Wu, J.-H. Assessing the effect of wood acetylation on mechanical properties and extended creep behavior of wood/recycled-polypropylene composites. Constr. Build. Mater. 2016, 108, 139–145. [Google Scholar] [CrossRef]
- Findley, W.N.; Lai, J.S.; Onaran, K. Creep and Relaxation of Nonlinear Viscoelastic Materials–with an Introduction to Linear Viscoelasticity; Dover Publications: New York, NY, USA, 1976. [Google Scholar]
- Wong, E.D.; Zhang, M.; Wang, Q.; Kawai, S. Formation of the density profile and its effects on the properties of particleboard. Wood Sci. Technol. 1999, 33, 327–340. [Google Scholar] [CrossRef]
- Adhikary, K.B.; Pang, S.; Staiger, M.P. Dimensional stability and mechanical behaviour of wood-plastic composites based on recycled and virgin high-density polyethylene (HDPE). Compos. Part B Eng. 2008, 39, 807–815. [Google Scholar] [CrossRef]
- Ashori, A.; Sheshmani, S. Hybrid composites made from recycled materials: Moisture absorption and thickness swelling behavior. Bioresour. Technol. 2010, 101, 4717–4720. [Google Scholar] [CrossRef] [PubMed]
- Tumuluru, J.S.; Sokhansanj, S.; Hess, J.R.; Wright, C.T.; Boardman, R.D. A review on biomass torrefaction process and product properties for energy applications. Ind. Biotechnol. 2011, 7, 384–401. [Google Scholar] [CrossRef]
- Windeisen, E.; Bächle, H.; Zimmer, B.; Wegener, G. Relations between chemical changes and mechanical properties of thermally treated wood. Holzforschung 2009, 63, 773–778. [Google Scholar] [CrossRef]
- Órfão, J.J.M.; Antunes, F.J.A.; Figueiredo, J.L. Pyrolysis kinetics of lignocellulosic materials–three independent reactions model. Fuel 1999, 78, 349–358. [Google Scholar] [CrossRef]
- Garrote, G.; Dominiguez, H.; Parajo, J.C. Study on the deactylation of hemicelluloses during the hydrothermal processing of Eucalyptus wood. Holz. Roh. Werkst. 2001, 59, 53–59. [Google Scholar] [CrossRef]
- Çolak, S.; Çolakoğlu, G.; Aydin, I.; Kalaycioğlu, H. Effects of steaming process on some properties of eucalyptus particleboard bonded with UF and MUF adhesives. Build. Environ. 2007, 42, 304–309. [Google Scholar] [CrossRef]
- Kubojima, Y.; Okano, T.; Ohta, M. Bending strength and toughness of heat-treated wood. J. Wood Sci. 2000, 46, 8–15. [Google Scholar] [CrossRef]
- Yildiz, S.; Gezer, E.D.; Yildiz, U.C. Mechanical and chemical behavior of spruce wood modified by heat. Build. Environ. 2006, 41, 1762–1766. [Google Scholar] [CrossRef]
- Ohlmeyer, M.; Lukowsky, D. Wood-based panels produced from thermal-treated materials: Properties and perspectives. In Proceedings of the International Conference on Wood Frame Housing Durability and Disaster Issues, Las Vegas, NV, USA, 4–6 October 2004; pp. 127–131. [Google Scholar]
- Niska, K.O.; Sain, M. Wood-Polymers Composites; CRC Press: New York, NY, USA, 2008. [Google Scholar]
- LaPlante, G.; Lee-Sullivan, P. Moisture effects on FM300 structural film adhesive: Stress relaxation, fracture toughness, and dynamic mechanical analysis. J. Appl. Polym. Sci. 2005, 95, 1285–1294. [Google Scholar] [CrossRef]
- Achereiner, F.; Engelsing, K.; Bastian, M.; Heidemeyer, P. Accelerated creep testing of polymers using the stepped isothermal method. Polym. Test. 2013, 32, 447–454. [Google Scholar] [CrossRef]
- Brinson, H.F.; Brinson, L.C. Polymer Engineering Science and Viscoelasticity, an Introduction; Springer: New York, NY, USA, 2008. [Google Scholar]





| WPCs | Heat Treatment Temperature (°C) | Density (kg/m3) | Moisture Content (%) | 24 h Soaking | |
|---|---|---|---|---|---|
| Water Absorption (%) | Thickness Swelling (%) | ||||
| WPCNT | - | 703 ± 13 A | 2.4 ± 0.2 C | 10.0 ± 2.1 B | 2.1 ± 0.1 B |
| WPC120 | 120 | 704 ± 27 A | 2.1 ± 0.2 C | 8.7 ± 1.9 B | 1.9 ± 0.4 B |
| WPC160 | 160 | 729 ± 22 A | 1.8 ± 0.2 B | 7.6 ± 1.7 A | 1.7 ± 0.4 A |
| WPC200 | 200 | 700 ± 30 A | 1.3 ± 0.3 A | 7.0 ± 1.5 A | 1.5 ± 0.2 A |
| WPCs | Flexural Properties | Wood Screw Holding Strength (N) | Internal Bond Strength (MPa) | |
|---|---|---|---|---|
| MOR (MPa) | MOE (GPa) | |||
| WPCNT | 16.7 ± 1.9 A | 1.7 ± 0.2 A | 788 ± 62 A | 1.5 ± 0.3 B |
| WPC120 | 17.8 ± 1.5 A | 1.8 ± 0.2 A | 705 ± 53 A | 2.0 ± 0.2 A |
| WPC160 | 17.1 ± 0.9 A | 1.7 ± 0.1 A | 785 ± 50 A | 2.0 ± 0.3 A |
| WPC200 | 15.8 ± 1.1 A | 1.6 ± 0.1 A | 755 ± 63 A | 1.9 ± 0.1 A |
| Model | Parameters | WPCNT | WPC200 |
|---|---|---|---|
| Burger’s model | EM (GPa) | 1.10 | 1.66 |
| EK (GPa) | 2.65 | 2.88 | |
| ηK (GPas) | 70.66 | 31.11 | |
| ηM (GPas) | 3.07 × 103 | 6.30 × 103 | |
| τ (s) | 26.7 | 10.8 | |
| R2 | 0.974 | 0.960 | |
| Findley power law model | S0 (GPa−1) | 0.81 | 0.51 |
| a | 0.18 | 0.25 | |
| b | 0.21 | 0.12 | |
| R2 | 0.987 | 0.994 | |
| Activation energy (kJ/mol) | 280.2 | 288.6 |
| Code | Reference Temperature (°C) | S0 (GPa−1) | a | b | R2 | S(t) (GPa−1) | ICR (%) | ||||||
|---|---|---|---|---|---|---|---|---|---|---|---|---|---|
| Time (Years) | Time (Years) | ||||||||||||
| 1 | 10 | 20 | 30 | 1 | 10 | 20 | 30 | ||||||
| WPCNT | 20 | 0.81 | 0.18 | 0.21 | 0.987 | 1.11 | 1.30 | 1.38 | 1.43 | - | - | - | - |
| 25 | 0.79 | 0.30 | 0.18 | 0.992 | 1.26 | 1.50 | 1.59 | 1.66 | - | - | - | - | |
| 30 | 0.77 | 0.44 | 0.17 | 0.996 | 1.44 | 1.76 | 1.89 | 1.97 | - | - | - | - | |
| 35 | 0.75 | 0.62 | 0.16 | 0.998 | 1.67 | 2.08 | 2.24 | 2.34 | - | - | - | - | |
| 40 | 0.74 | 0.85 | 0.16 | 0.998 | 2.00 | 2.57 | 2.78 | 2.92 | - | - | - | - | |
| WPC200 | 20 | 0.51 | 0.25 | 0.12 | 0.994 | 0.85 | 0.95 | 0.99 | 1.02 | 24 | 27 | 28 | 29 |
| 25 | 0.50 | 0.33 | 0.12 | 0.996 | 0.94 | 1.09 | 1.14 | 1.17 | 25 | 28 | 29 | 29 | |
| 30 | 0.51 | 0.40 | 0.12 | 0.998 | 1.05 | 1.22 | 1.28 | 1.32 | 27 | 31 | 32 | 33 | |
| 35 | 0.50 | 0.51 | 0.12 | 0.998 | 1.19 | 1.41 | 1.48 | 1.53 | 29 | 33 | 34 | 34 | |
| 40 | 0.50 | 0.64 | 0.12 | 0.999 | 1.36 | 1.64 | 1.74 | 1.80 | 32 | 36 | 38 | 38 | |
© 2017 by the authors. Licensee MDPI, Basel, Switzerland. This article is an open access article distributed under the terms and conditions of the Creative Commons Attribution (CC BY) license (http://creativecommons.org/licenses/by/4.0/).
Share and Cite
Yang, T.-C.; Chien, Y.-C.; Wu, T.-L.; Hung, K.-C.; Wu, J.-H. Effects of Heat-Treated Wood Particles on the Physico-Mechanical Properties and Extended Creep Behavior of Wood/Recycled-HDPE Composites Using the Time–Temperature Superposition Principle. Materials 2017, 10, 365. https://doi.org/10.3390/ma10040365
Yang T-C, Chien Y-C, Wu T-L, Hung K-C, Wu J-H. Effects of Heat-Treated Wood Particles on the Physico-Mechanical Properties and Extended Creep Behavior of Wood/Recycled-HDPE Composites Using the Time–Temperature Superposition Principle. Materials. 2017; 10(4):365. https://doi.org/10.3390/ma10040365
Chicago/Turabian StyleYang, Teng-Chun, Yi-Chi Chien, Tung-Lin Wu, Ke-Chang Hung, and Jyh-Horng Wu. 2017. "Effects of Heat-Treated Wood Particles on the Physico-Mechanical Properties and Extended Creep Behavior of Wood/Recycled-HDPE Composites Using the Time–Temperature Superposition Principle" Materials 10, no. 4: 365. https://doi.org/10.3390/ma10040365
APA StyleYang, T.-C., Chien, Y.-C., Wu, T.-L., Hung, K.-C., & Wu, J.-H. (2017). Effects of Heat-Treated Wood Particles on the Physico-Mechanical Properties and Extended Creep Behavior of Wood/Recycled-HDPE Composites Using the Time–Temperature Superposition Principle. Materials, 10(4), 365. https://doi.org/10.3390/ma10040365

