Diagnostic Measurements for Power Transformers
Abstract
:1. Introduction
2. Failure Statistic of Power Transformers
3. Partial Discharge Diagnostics
3.1. Measuring Technique
3.2. Calibration of Partial Discharge Measurements
- type and actual level of the PD source;
- signal attenuation in the coupling path;
- sensor sensitivity (the UHF antenna or the coupling capacitor and the quadrupole);
- attenuation of the measurement cable and the sensitivity of the measurement device.
3.3. Online Monitoring of Partial Discharges
3.4. Localization of Partial Discharges
4. Frequency Response Analysis
4.1. Measuring Technique
4.2. Influencing Factors
4.3. Interpretation of Frequency Response Measurement
5. Dissolved Gas Analysis
5.1. Dynamics between Oil and Gas Phase
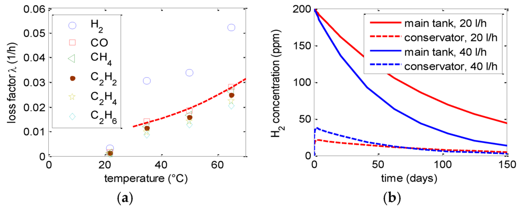
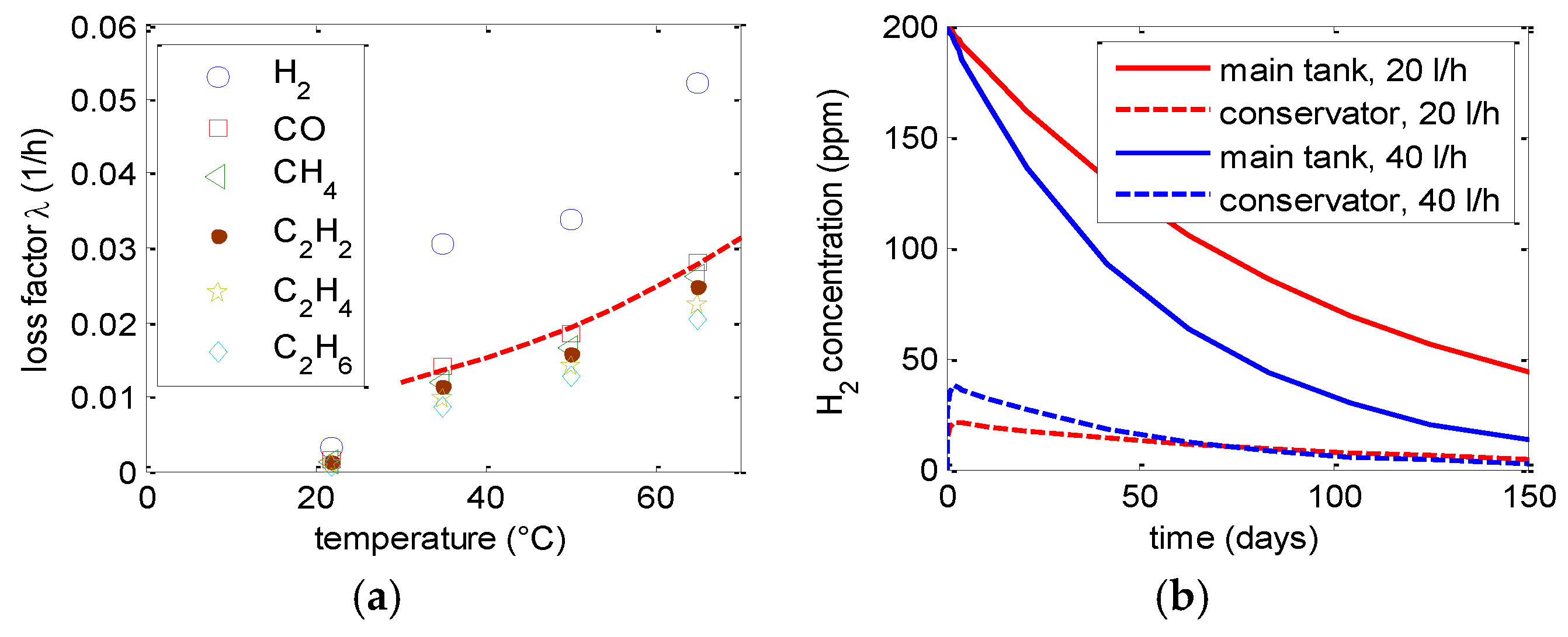
5.2. Gas Evaporation via Conservator
5.3. Calculation of Fault Gas Losses
5.4. Online Monitoring of Fault Gases
6. Moisture Measurement
6.1. Motivation
6.2. Methods of Moisture Assessment
6.3. Dielectric Response Methods
7. Thermal Monitoring for Life Estimation and Dynamic Rating
7.1. Advanced Thermal Model
7.2. Monitoring of Cooling Unit
7.3. Assessment of Overload Capability
8. Conclusions
Acknowledgments
Author Contributions
Conflicts of Interest
Abbreviations
| AF | Antenna factor |
| CI | Capacitive inter-winding |
| CIGRE | International council of large electric systems |
| DGA | Dissolved gas analysis |
| EUT | Equipment under test |
| FB | Frequency band |
| FRA | Frequency response analysis |
| GSU | Generator step-up unit |
| GTEM | Gigahertz-transversal-electro-magnetic |
| IEC | International Electrotechnical Commission |
| ODAF | Oil directed air forced |
| ODWF | Oil directed water forced |
| OLTC | On-load tap changer |
| PD | Partial discharge |
| PRPD | Phase resolved partial discharge pattern |
| PTFE | Polytetrafluoroethylene |
| TDCG | Total dissolved combustible gases |
| TF | Transfer function |
| UHF | Ultra high frequency |
References
- Chakravorti, S.; Dey, D.; Chatterjee, B. Recent Trends in the Condition Monitoring of Transformers; Power Systems Springer-Verlag: London, UK, 2013. [Google Scholar]
- IEC 60270. High-Voltage Test Techniques–Partial Discharge Measurements; International Electrotechnical Commission: Geneva, Switzerland, 2000. [Google Scholar]
- Tenbohlen, S.; Jagers, J.; Vahidi, F.; Bastos, G.; Desai, B.; Diggin, B.; Fuhr, J.; Gebauer, J.; Krüger, M.; Lapworth, J.; et al. Transformer Reliability Survey; Technical Brochure 642 CIGRE: Paris, France, 2015. [Google Scholar]
- Tenbohlen, S.; Jagers, J.; Bastos, G.; Desai, B.; Diggin, B.; Fuhr, J.; Gebauer, J.; Krüger, M.; Lapworth, J.; Manski, P.; et al. Development and Results of a Worldwide Transformer Reliability Survey. In Proceedings of the CIGRE SC A2 Colloquium, Shanghai, China, 20–25 September 2015.
- Gulski, E.; Strehl, T.; Muhr, M.; Tenbohlen, S.; Meijer, S.; Judd, M.D.; Bodega, R.; Lemke, E.; Jongen, R.A.; Coenen, S.; et al. Guidelines for Unconventional Partial Discharge Measurements; Technical Brochure 444; CIGRE: Paris, France, 2010. [Google Scholar]
- Judd, M.D. Experience with UHF Partial Discharge Detection and Location in Power Transformers. In Proceedings of the Electrical Insulation Conference, Annapolis, MD, USA, 5–8 June 2011.
- Fuhr, J. Benefits and Limits of Advanced Methods Used for Transformer Diagnostics. In Proceedings of the IEEE Electrical Insulation Conference, Montreal, QC, Canada, 31 May–3 June 2009.
- Coenen, S.; Tenbohlen, S.; Markalous, S.M.; Strehl, T. Sensitivity of UHF PD measurements in power transformers. IEEE Trans. Dielectr. Electr. Insul. 2008, 15, 1553–1558. [Google Scholar] [CrossRef]
- Markalous, S.M.; Tenbohlen, S.; Feser, K. Detection and location of partial discharges in power transformers using acoustic and electromagnetic signals. IEEE Trans. Dielectr. Electr. Insul. 2008, 15, 1576–1583. [Google Scholar] [CrossRef]
- Sikorski, W.; Siodla, K.; Moranda, H. Location of partial discharges sources in power transformers based on advanced auscultatory technique. IEEE Trans. Dielectr. Electr. Insul. 2012, 19, 1948–1956. [Google Scholar] [CrossRef]
- Venkatesan, S.; Stewart, B.G.; Judd, M.D.; Reid, A.J.; Fouracre, R.A. Analysis of PD in Voids Using Correlation Plots of RF Radiated Energy and Apparent Charge. In Proceedings of the International Conference on Solid Dielectrics, Winchester, UK, 8–13 July 2007.
- Siegel, S.; Tenbohlen, S. Design of an Oil-filled GTEM Cell for the Characterization of UHF PD Sensors. In Proceedings of the International Conference on Condition Monitoring and Diagnosis (CMD), Jeju, Korea, 21–25 September 2014.
- Coenen, S.; Siegel, M.; Luna, G.; Tenbohlen, S. Parameters influencing Partial Discharge Measurements and their Impact on Diagnosis. In Proceedings of the Monitoring and Acceptance Tests of Power Transformers CIGRE Session, Paris, France, 22–26 August 2016.
- Müller, A.; Beltle, M.; Siegel, M.; Tenbohlen, S. Assessment of UHF PD Monitoring Data by Means of Pattern Recognition. In Proceedings of the 18th International Symposium on High Voltage Engineering, Seoul, Korea, 25–30 August 2013.
- Coenen, S.; Tenbohlen, S. Location of PD sources in power transformers by UHF and acoustic measurements. IEEE Trans. Dielectr. Electr. Insul. 2012, 19, 1934–1940. [Google Scholar] [CrossRef]
- Gomez-Luna, E.; Aponte Mayor, G.; Gonzalez-Garcia, C.; Pleite Guerra, J. Current status and future trends in frequency-response analysis with a transformer in service. IEEE Trans. Power Deliv. 2013, 28, 1024–1031. [Google Scholar] [CrossRef]
- Tang, W.H.; Wu, Q. Condition Monitoring and Assessment of Power Transformers Using Computational Intelligence; Power Systems Springer-Verlag: London, UK, 2011. [Google Scholar]
- Wang, Z.D.; Li, J.; Sofian, D.M. Interpretation of transformer FRA responses; Part I: Influence of winding structure. IEEE Trans. Power Deliv. 2009, 24, 703–710. [Google Scholar] [CrossRef]
- Rahimpour, E.; Christian, J.; Feser, K.; Mohseni, H. Transfer function method to diagnose axial displacement and radial deformation of transformer windings. IEEE Trans. Power Deliv. 2003, 18, 493–505. [Google Scholar] [CrossRef]
- Cigre, W.G. Mechanical Condition Assessment of Transformer Windings using Frequency Response Analysis (FRA); Brochure 342; CIGRE: Paris, France, 2008. [Google Scholar]
- Jayasinghe, J.A.S.B.; Wang, Z.D.; Jarman, P.N.; Darwin, A.W. Winding movement in power transformers: A comparison of FRA measurement connection methods. IEEE Trans. Dielectr. Insul. 2006, 13, 1342–1349. [Google Scholar] [CrossRef]
- Samimi, M.H.; Tenbohlen, S.; Shayegani Akmal, A.A.; Mohseni, H. Effect of different connection schemes, terminating resistors and measurement impedances on the sensitivity of the FRA method. IEEE Trans. Dielectr. Insul. 2016, unpublished work. [Google Scholar]
- Reykherdt, A.A.; Davydov, V. Case studies of factors influencing frequency response analysis measurements and power transformer diagnostics. IEEE Electr. Insul. Mag. 2011, 27, 22–30. [Google Scholar] [CrossRef]
- Samimi, M.H.; Tenbohlen, S.; Shayegani Akmal, A.A.; Mohseni, H. Effect of Terminating and Shunt Resistors on the FRA Method Sensitivity. In Proceedings of the International Power System Conference, Tehran, Iran, 23–25 November 2015.
- Bagheri, M.; Phung, B.T.; Blackburn, T. Influence of Temperature and Moisture Content on Frequency Response Analysis of Transformer Winding. IEEE Trans. Dielectr. Electr. Insul. 2014, 21, 1393–1404. [Google Scholar] [CrossRef]
- Mitchell, S.D.; Welsh, J.S. Modeling power transformers to support the interpretation of frequency-response analysis. IEEE Trans. Power Del. 2011, 26, 2705–2717. [Google Scholar] [CrossRef]
- Darwin, A.W.; Sofian, D.; Wang, Z.D.; Jarman, P.N. Interpretation of Frequency Response Analysis (FRA) Results for Diagnosing Transformer Winding Deformation. In Proceedings of the CIGRE 2009 6th Southern Africa Regional Conference, Cape Town, South Africa, August 2009.
- Rahimpour, E.; Tenbohlen, S. Experimental and theoretical investigation of disc space variation in real high-voltage windings using transfer function method. IET Electric Power Appl. 2010, 4, 451–461. [Google Scholar] [CrossRef]
- Ghanizade, A.J.; Gharehpetian, G.B. ANN and cross-correlation based features for discrimination between electrical and mechanical defects and their localization in transformer winding. IEEE Trans. Dielectr. Electr. Insul. 2014, 21, 2374–2382. [Google Scholar] [CrossRef]
- Karimifard, P.; Gharehpetian, G.B.; Tenbohlen, S. Determination of axial displacement extent based on transformer winding transfer function estimation using vector-fitting method. Eur. Trans. Electr. Power 2008, 18, 423–436. [Google Scholar] [CrossRef]
- Heindl, M.; Tenbohlen, S.; Kraetge, A.; Krüger, M.; Velásquez, J.L. Algorithmic Determination of Pole-Zero Representations of Power Transformers’ Transfer Function for Interpretation of FRA Data. In Proceedings of the 16th International Symposium of High Voltage Engineering, Cape Town, South Africa, 24–28 August 2009.
- Rahimpour, E.; Jabbari, M.; Tenbohlen, S. Mathematical comparison methods to assess transfer functions of transformers to detect different types of mechanical faults. IEEE Trans. Power Del. 2010, 25, 2544–2555. [Google Scholar] [CrossRef]
- Heindl, M.; Tenbohlen, S.; Velásquez, J.; Kraetge, A.; Wimmer, R. Transformer Modeling Based on Frequency Response Measurements for Winding Failure Detection. In Proceedings of the 2010 International Conference on Condition Monitoring and Diagnosis, Tokyo, Japan, 6–11 September 2010; pp. 201–204.
- Nirgude, P.; Ashokraju, D.; Rajkumar, A.; Singh, B. Application of numerical evaluation techniques for interpreting frequency response measurements in power transformers. IET Sci. Meas. Technol. 2008, 2, 275–285. [Google Scholar] [CrossRef]
- Samimi, M.H.; Tenbohlen, S.; Shayegani Akmal, A.A.; Mohseni, H. Using the Complex Values of the Frequency Response to Improve Power Transformer Diagnostics. In Proceedings of the 24th Iranian Conference on Electrical Engineering (ICEE), Shiraz, Iran, 10–12 May 2016.
- Abeywickrama, N.; Serdyuk, Y.V.; Gubanski, S.M. Effect of core magnetization on frequency response analysis (FRA) of power transformers. IEEE Trans. Power Deliv. 2008, 23, 1432–1438. [Google Scholar] [CrossRef]
- Abu-Siada, A.; Hashemnia, N.; Islam, S.; Masoum, M.A.S. Understanding power transformer frequency response analysis signatures. IEEE Electr. Insul. Mag. 2013, 29, 48–56. [Google Scholar] [CrossRef]
- Wang, M.; Vandermaar, A.J.; Srivastava, K.D. Transformer winding movement monitoring in service—Key factors affecting FRA measurements. IEEE Electr. Insul. Mag. 2004, 20, 5–12. [Google Scholar] [CrossRef]
- Shintemirov, A.; Tang, W.; Wu, Q. Transformer winding condition assessment using frequency response analysis and evidential reasoning. IET Electr. Power Appl. 2010, 4, 198–212. [Google Scholar] [CrossRef]
- Bakar, N.A.; Abu-Siada, A.; Islam, S. A review of dissolved gas analysis measurement and interpretation techniques. IEEE Electr. Insul. Mag. 2014, 30, 39–49. [Google Scholar] [CrossRef]
- Möllmann, A.; Pahlavanpour, B. New guidelines for the interpretation of dissolved gas analysis in oil-filled transformers. Electra 1999, 186, 31–51. [Google Scholar]
- IEEE Guide for the Interpretation of Gases Generated in Oil Immersed Transformers; IEEE Std. C57.104; IEEE Power & Energy Society: New York, NY, USA, 2008.
- Report on Gas Monitors for Oil-filled Electrical Equipment; Cigré Technical Brochure 409; Cigre: Paris, France, 2010.
- Anderson, R.; Roderick, U.R.; Jaakkola, V.; Östman, N. The Transfer of Fault Gases in Transformers and Its Effect upon the Interpretation of Gas Analysis Data; Cigré Report 12-02; Cigre: Paris, France, 1976. [Google Scholar]
- Bräsel, E.; Bräsel, O.; Sasum, U. Gashaushalt bei Transformatoren der offenen Bauart—Neue Erkenntnisse; EW-Medien und Kongresse: Frankfurt, Germany, ew, Jg. 109, Heft 14–15; pp. 56–59. 2010. (In German) [Google Scholar]
- Recent Developments in DGA Interpretation; Cigré Technical Brochure 296; Cigre: Paris, France, 2006.
- Müller, A.; Tenbohlen, S. Analysis of Fault Gas Losses through the Conservator Tank of Free-Breathing Power Transformers. In Proceedings of the 18th International Symposium on High Voltage Engineering, Seoul, Korea, 25–30 August 2013.
- Lundgaard, L.E.; Hansen, W.; Linhjell, D.; Painter, T.J. Aging of oil-impregnated paper in power transformers. IEEE Trans. Power Deliv. 2004, 19, 230–239. [Google Scholar] [CrossRef]
- Koch, M.; Tenbohlen, S.; Stirl, T. Diagnostic application of moisture equilibrium for power transformers. IEEE Trans. Power Deliv. 2010, 25, 2574–2581. [Google Scholar] [CrossRef]
- Koch, M.; Krüger, M.; Tenbohlen, S. Comparing Various Moisture Determination Methods for Power Transformers. In Proceedings of the CIGRE South Africa Regional Conference, Cape Town, South Africa, 17–21 August 2009.
- Susa, D.; Lehtonen, M.; Nordman, H. Dynamic thermal modelling of power transformers. IEEE Trans. Power Deliv. 2005, 20, 197–204. [Google Scholar] [CrossRef]
- Lesieutre, B.C.; Hagman, W.H.; Kirtley, J.L., Jr. An improved transformer top oil temperature model for use in an online monitoring and diagnostic system. IEEE Trans. Power Deliv. 1997, 12, 249–256. [Google Scholar] [CrossRef]
- IEC 60076-7. Power Transformers—Part 7: Loading Guide for Oil Immersed Power Transformers; International Electrotechnical Commission: Geneva, Switzerland, 2005. [Google Scholar]
- Djamali, M.; Tenbohlen, S. A Dynamic Top Oil Temperature Model for Power Transformers with Consideration of the Tap Changer Position. In Proceedings of the 19th International Symposium on High Voltage Engineering, Pilsen, Czech Republic, 23–28 August 2015.
- Djamali, M.; Tenbohlen, S. Malfunction detection of the cooling system in air-forced power transformers using online thermal monitoring. IEEE Trans. Power Deliv. 2016, unpublished work. [Google Scholar]
- Tenbohlen, S.; Djamali, M. A Dynamic Top-Oil Temperature Model for Online Assessment of Overload Capability of Power Transformers. In Proceedings of the CIGRE SC A2 Colloquium, Shanghai, China, 20–25 September 2015.
























| Method | Offline | Online | Monitoring | Offsite |
|---|---|---|---|---|
| Ageing of oil (e.g., color, moisture, and tan δ) | xxx | xXx | x 1 | xxx |
| Furan in oil analysis | xX | XX | - | XX |
| Gas-in-oil analysis (DGA) | xxx | xXx | xXx | xxx |
| PD (IEC 60270) | xxx | XX | X | XXX |
| Unconventional PD-measurement (e.g., UHF PD measurement) | xx | XX | X | XX |
| Transfer function (FRA) | xxX | X | - | XXX |
| Dielectric diagnostic (PDC and FDS) | xx | - | - | XX |
| Thermal monitoring | - | - | XX | - |
| Degree of polymerization (DP-value) | - | - | - | XXX |
| Population information | Highest system voltage (kV) | ||||||
|---|---|---|---|---|---|---|---|
| 69 ≤ kV < 100 | 100 ≤ kV < 200 | 200 ≤ kV < 300 | 300 ≤ kV < 500 | 500 ≤ kV < 700 | kV ≥ 700 | All | |
| Number of transformers | 2962 | 10,932 | 4272 | 3233 | 434 | 348 | 22,181 |
| Transformer years | 15,267 | 64,718 | 37,017 | 25,305 | 4774 | 2991 | 150,072 |
| Major failures | 144 | 280 | 186 | 152 | 27 | 10 | 799 |
| Failure rate | 0.94% | 0.43% | 0.50% | 0.60% | 0.57% | 0.33% | 0.53% |
| Characteristic | Value | Characteristic | Value | Characteristic | Value |
|---|---|---|---|---|---|
| Power (MVA) | 333 | Mass of active parts and tank (to) | 200 | Number of Fans | 8 |
| Short circuit losses (kW) | 510 | Mass of oil (to) | 50 | Number of pumps | 4 |
| No load losses (kW) | 47 | Thermal capacitance (W·s/K) | 199,050 | Cooling system | ODAF |
© 2016 by the authors; licensee MDPI, Basel, Switzerland. This article is an open access article distributed under the terms and conditions of the Creative Commons Attribution (CC-BY) license (http://creativecommons.org/licenses/by/4.0/).
Share and Cite
Tenbohlen, S.; Coenen, S.; Djamali, M.; Müller, A.; Samimi, M.H.; Siegel, M. Diagnostic Measurements for Power Transformers. Energies 2016, 9, 347. https://doi.org/10.3390/en9050347
Tenbohlen S, Coenen S, Djamali M, Müller A, Samimi MH, Siegel M. Diagnostic Measurements for Power Transformers. Energies. 2016; 9(5):347. https://doi.org/10.3390/en9050347
Chicago/Turabian StyleTenbohlen, Stefan, Sebastian Coenen, Mohammad Djamali, Andreas Müller, Mohammad Hamed Samimi, and Martin Siegel. 2016. "Diagnostic Measurements for Power Transformers" Energies 9, no. 5: 347. https://doi.org/10.3390/en9050347
APA StyleTenbohlen, S., Coenen, S., Djamali, M., Müller, A., Samimi, M. H., & Siegel, M. (2016). Diagnostic Measurements for Power Transformers. Energies, 9(5), 347. https://doi.org/10.3390/en9050347

