Numerical Investigation of Hydrate Dissociation Performance in the South China Sea with Different Horizontal Well Configurations
Abstract
:1. Introduction


2. Production Strategies and Simulation Approach
2.1. Production Methods and Well Design

2.2. Geometry, Domain Discretization, and System Properties
| Parameter | Value | Parameter | Value |
|---|---|---|---|
| Thickness of HBL | 50 m | Capillary pressure model [28] | Pcap = −P01 [(S*)−1/λ − 1]1−λ S* = (SA − SirA)/(SmxA − SirA) |
| Thickness of OB and UB | 24.5 m | ||
| Position of HBL below the ground | 160.5 m | SirA | 0.29 |
| Distance between two wells | 45 m | λ | 0.45 |
| Initial PB and TB (at base of HBL) | 17.47 MPa, 289.08 K | P01 | 105 Pa |
| Sea floor temperature T0 | 277.15 K | Relative permeability Model [29] | krA = (SA*)n krG = (SG*)nG SA* = (SA − SirA)/(1 − SirA) SG* = (SG − SirG)/(1 − SirA) |
| Geothermal gradient G | 0.045 K/m | n | 3.572 |
| Water salinity (mass fraction) | 3.50% | nG | 3.572 |
| Intrinsic permeability kx = ky = kz (HBL, OB & UB) | 7.5 × 10−14 m2 (=75 mD) | SirG | 0.05 |
| Porosityϕ (all formations) | 0.40 | SirA | 0.30 |
| Initial hydrate saturation | SH = 0.451 | Composite thermal conductivity model [29] | kΘC = kΘRD + (SA1/2 + SH1/2) (kΘRW− kΘRD) + ϕSIkΘI |
3. Simulation Results
3.1. Spatial Distributions of the New Well Configuration in the Reference Case
3.1.1. Spatial Distribution of SH and SG


3.1.2. Spatial Distribution of XS
3.1.3. Spatial Distribution of P


3.1.4. Spatial Distribution of T

3.2. Production Behaviors with the New Horizontal Well System in the Reference Case
3.2.1. Gas Production

3.2.2. Water Production and Gas to Water Ratio

3.2.3. Energy Ratio

3.3. Comparison of the Effects of the Previous Work and the New Dual Horizontal Wells System
3.3.1. Gas Production and Percentage of Dissociated Hydrate


3.3.2. Water Production and Gas to Water Ratio


3.3.3. Energy Ratio

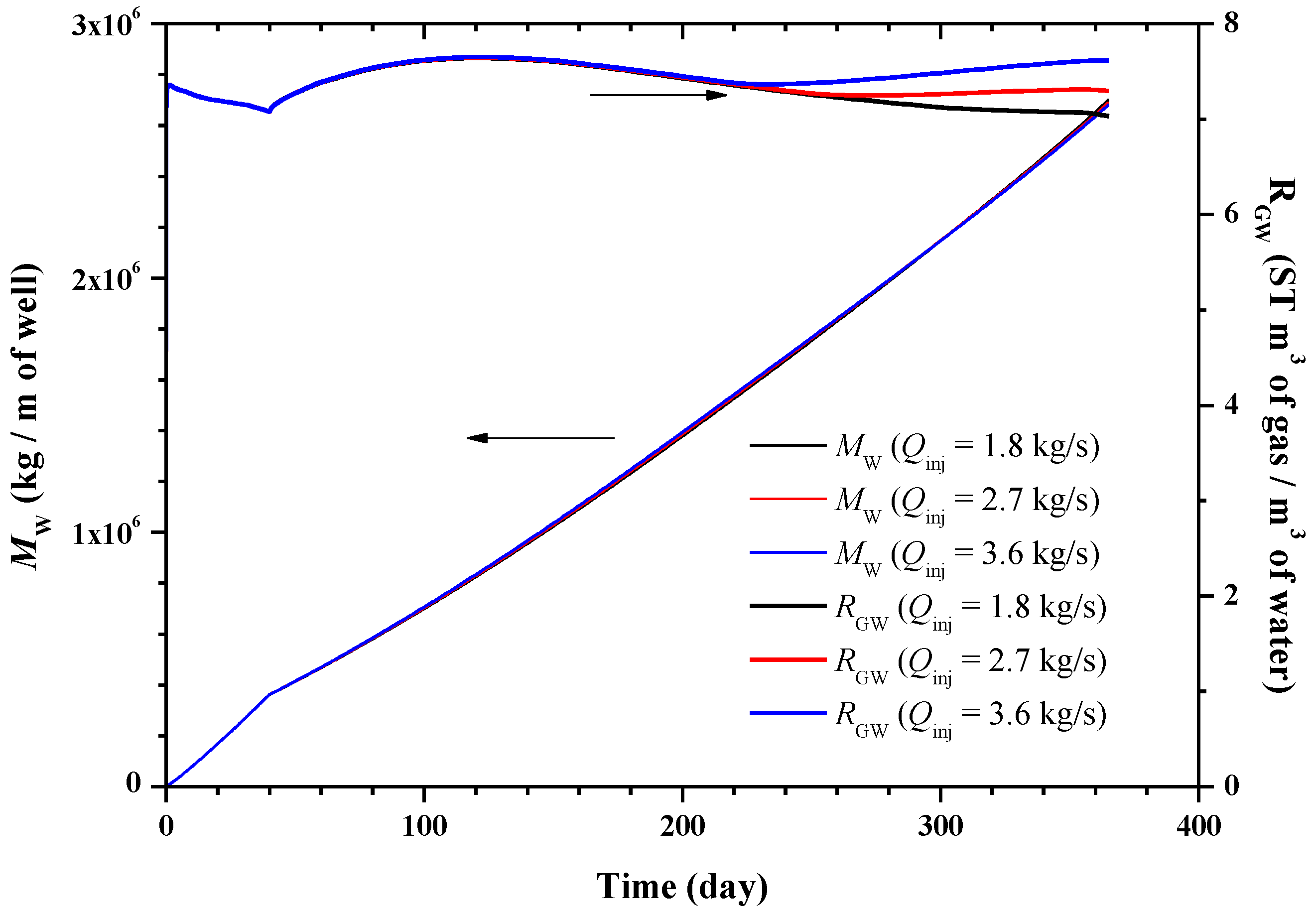
3.4. Sensitivity to the Injection Rate of Warm Brine Qinj



4. Conclusions
- (1)
- The results show that all the gas production rate, gas to water ratio, and energy ratio increase distinctly in the new well configuration because the injected warm brine can contact the hydrate reservoir more effectively.
- (2)
- The dissociation interface around the left well (LW) grows rapidly and expands to the (RW) when warm brine is injected into the reservoir. When the two wells are connected at about the 570th day, the hydrate dissociation rate decreases because the warm brine can be pumped out from the RW directly. The hydrate of the entire reservoir has been dissociated 70.5% in 1590 days (4.36 years), and the average gas production rate exceeds the commercially viable production rate in the gulf of Mexico. After that, massive water production causes uneconomical gas to water ratio and energy ratio. Therefore, gas production process should be terminated or other production methods without water injection should be employed in the later 25 years.
- (3)
- The sensitivity analysis indicates that the higher injection rate of warm brine can improve the gas production rate. However, the lower injection rate is more favorable for gas production from the point of high energy ratio.
Acknowledgments
Notations
| G | thermal gradient within the sea (°C/m) |
| H | depth of the sea water (m) |
| k | intrinsic permeability (m2) |
| keff | effective permeability (m2) |
| krA | aqueous relative permeability (m2) |
| krG | gas relative permeability (m2) |
| kΘC | thermal conductivity (W/m/K) |
| kΘRD | thermal conductivity of dry porous medium (W/m/K) |
| kΘRW | thermal conductivity of fully saturated porous medium (W/m/K) |
| kΘI | thermal conductivity of ice (W/m/K) |
| VP | cumulative volume of produced gas (m3) |
| VR | cumulative volume of released gas (m3) |
| MW | cumulative mass of produced water (kg) |
| P | pressure (MPa) |
| PB | initial pressure at base of HBL (MPa) |
| P0 | atmosphere pressure (MPa) |
| PW | pressure at the well (MPa) |
| PW0 | initial pressure at the well (MPa) |
| Q | injected heat (J) |
| Qavg | average gas production rate (ST m3/day/m of well) |
| Qinj | heat injection rate (W/m of well) |
| r | radius (m) |
| RGW | the gas to water production ratio (ST m3 of CH4/m3 of H2O) |
| S | phase saturation |
| t | time (days) |
| T | temperature (°C) |
| T0 | the temperature of the sea floor (°C) |
| TW | injected warm water temperature (°C) |
| TB | initial temperature at the base of HBL (°C) |
| TT | initial temperature at the top of HBL (°C) |
| W | pump work (J) |
| x,y,z | cartesian coordinates (m) |
| SH | hydrate saturation |
| SG | gas saturation |
| XS | the mass fraction of salt in the aqueous phase |
| ΔHc | combustion enthalpy of produced methane (J) |
| ΔPW | driving force of depressurization, PW0 − PW (MPa) |
| Δx | discretization along the x-axis (m) |
| Δy | discretization along the y-axis (m) |
| Δz | discretization along the z-axis (m) |
| ϕ | porosity |
| η | energy ratio |
| λ | van Genuchten exponent-Table 1 |
Subscripts and Superscripts
| 0 | denotes initial state |
| A | aqueous phase |
| B | base of HBL |
| cap | capillary |
| G | gas phase |
| H | solid hydrate phase |
Author Contributions
Conflicts of Interest
References
- Sloan, E.D.; Koh, C.A. Clathrate Hydrates of Natural Gases, 3rd ed.; CRC Press: Boca Raton, FL, USA, 2008. [Google Scholar]
- Moridis, G.J.; Collett, T.S.; Boswell, R.; Kurihara, M.; Reagan, M.T.; Koh, C.; Sloan, E.D. Toward production from gas hydrates: current status, assessment of resources, and simulation-based evaluation of technology and potential. SPE Reserv. Eval. Eng. 2009, 12, 745–771. [Google Scholar]
- Li, X.S.; Zhang, Y.; Li, G.; Chen, Z.Y.; Wu, H.J. Experimental investigation into the production behavior of methane hydrate in porous sediment by depressurization with a novel three-dimensional cubic hydrate simulator. Energy Fuels 2011, 25, 4497–4505. [Google Scholar] [CrossRef]
- Li, G.; Li, B.; Li, X.S.; Zhang, Y.; Wang, Y. Experimental and numerical studies on gas production from methane hydrate in porous media by depressurization in pilot-scale hydrate simulator. Energy Fuels 2012, 26, 6300–6310. [Google Scholar]
- Li, X.S.; Yang, B.; Zhang, Y.; Li, G.; Duan, L.P.; Wang, Y. Experimental investigation into gas production from methane hydrate in sediment by depressurization in a novel pilot-scale hydrate simulator. Appli. Energy 2012, 93, 722–732. [Google Scholar] [CrossRef]
- Konno, Y.; Masuda, Y.; Hariguchi, Y.; Kurihara, M.; Ouchi, H. Key factors for depressurization-induced gas production from oceanic methane hydrates. Energy Fuels 2010, 24, 1736–1744. [Google Scholar] [CrossRef]
- Cef, H.; Praveen, L.; John, A.R.; Peter, E. Recovery of methane from a variable-volume bed of silica sand/hydrate by depressurization. Energy Fuels 2010, 24, 2947–2955. [Google Scholar] [CrossRef]
- Wang, Y.; Li, X.S.; Li, G.; Zhang, Y.; Li, B.; Chen, Z.Y. Experimental investigation into methane hydrate production during three-dimensional thermal stimulation with five-spot well system. Appl. Energy 2013, 110, 90–97. [Google Scholar] [CrossRef]
- Fitzgerald, G.C.; Castaldi, M.J.; Zhou, Y. Large scale reactor details and results for the formation and decomposition of methane hydrates via thermal stimulation dissociation. J. Petrol. Sci. Eng. 2012, 94, 19–27. [Google Scholar] [CrossRef]
- Wang, Y.; Li, X.S.; Li, G.; Huang, N.S.; Feng, J.C. Experimental study on the hydrate dissociation in porous media by five-spot thermal huff and puff method. Fuel 2014, 117, 688–696. [Google Scholar] [CrossRef]
- Li, G.; Moridis, G.J.; Zhang, K.; Li, X.S. The use of huff and puff method in a single horizontal well in gas production from marine gas hydrate deposits in the Shenhu Area of South China Sea. J. Petrol. Sci. Eng. 2011, 77, 49–68. [Google Scholar] [CrossRef]
- Praveen, L.; Cef, H.; Sung, C.N.; John, A.R.; Peter, E. Recovery of methane from hydrate formed in a variable volume bed of silica sand particles. Energy Fuels 2009, 23, 5508–5516. [Google Scholar] [CrossRef]
- Prathyusha, M.; Ponnivalavan, B.; Jitendra, S.S.; Praveen, L. Formation and dissociation kinetics of methane hydrates in seawater and silica sand. Energy Fuels 2014, 28, 2708–2716. [Google Scholar] [CrossRef]
- Li, G.; Li, X.S.; Tang, L.G.; Zhang, Y.; Feng, Z.P.; Fan, S.S. Experimental investigation of production behavior of methane hydrate under ethylene glycol injection. J. Chem. Ind. Eng. (China) 2007, 58, 2067–2074. [Google Scholar]
- Sung, W.M.; Lee, H.; Lee, C. Numerical study for production performances of a methane hydrate reservoir stimulated by inhibitor injection. Energy Sources 2002, 24, 499–512. [Google Scholar]
- Kawamura, T.; Yamamoto, Y.; Ohtake, M.; Sakamoto, Y.; Komai, T.; Haneda, H. Experimental study on dissociation of hydrate core sample accelerated by thermodynamic inhibitors for gas recovery from natural gas hydrate. In Proceedings of the 5th International Conference on Gas Hydrate, Trondheim, Norway, 12–16 June 2005.
- Li, X.S.; Wan, L.H.; Li, G.; Li, Q.P.; Chen, Z.Y.; Yan, K.F. Experimental investigation into the production behavior of methane hydrate in porous sediment with hot brine stimulation. Ind. Eng. Chem. Res. 2008, 47, 9696–9702. [Google Scholar] [CrossRef]
- Zhou, X.T.; Fan, S.S.; Liang, D.Q.; Du, J.W. Replacement of methane from quartz sand-bearing hydrate with carbon dioxide-in-water emulsion. Energy Fuels 2008, 22, 1759–1764. [Google Scholar] [CrossRef]
- Lee, S.; Lee, Y.; Lee, J.; Lee, H.; Seo, Y. Experimental verification of methane-carbon dioxide replacement in natural gas hydrates using a differential scanning calorimeter. Environ. Sci. Technol. 2013, 47, 13184–13190. [Google Scholar] [CrossRef]
- Li, X.S.; Wang, Y.; Li, G.; Zhang, Y. Experimental investigations into gas production behaviors from methane hydrate with different methods in a cubic hydrate simulator. Energy Fuels 2012, 26, 1124–1134. [Google Scholar] [CrossRef]
- Trung, N.N. The gas hydrate potential in the South China Sea. J. Petrol. Sci. Eng. 2012, 88, 41–47. [Google Scholar] [CrossRef]
- Hu, G.; Ye, Y.; Zhang, J.; Liu, C.; Li, Q. Acoustic response of gas hydrate formation in sediments from South China Sea. Mar. Pet. Geol. 2014, 52, 1–8. [Google Scholar] [CrossRef]
- Wang, C.J.; Du, D.W.; Zhu, Z.W.; Liu, Y.G.; Yan, S.J.; Yang, G. Estimation of potential distribution of gas hydrate in the northern South China Sea. Chin. J. Oceanol. Limnol. 2010, 28, 693–699. [Google Scholar] [CrossRef]
- Wu, N.Y.; Zhang, H.Q.; Yang, S.X.; Liang, J.Q.; Wand, H.B. Preliminary discussion on natural gas hydrate (NGH) reservoir system of shenhu area, north slope of south china sea. Nat. Gas Ind. 2007, 27, 1–6. [Google Scholar]
- Su, Z.; Moridis, G.J.; Zhang, K.N.; Wu, N.Y. A huff-and-puff production of gas hydrate deposits in Shenhu area of South China Sea through a vertical well. J. Petrol. Sci. Eng. 2012, 86, 54–61. [Google Scholar]
- Feng, J.C.; Li, G.; Li, X.S.; Li, B.; Chen, Z.Y. Evolution of hydrate dissociation by warm brine stimulation combined depressurization in the south china sea. Energies 2013, 6, 5402–5425. [Google Scholar] [CrossRef]
- Moridis, G.J.; Reagan, M.T. Strategies for gas production from oceanic class 3 hydrate accumulations. In Proceedings of the Offshore Technology Conference, Houston, TX, USA, 30 April–3 May 2007.
- Vanoudheusden, E.; Sultan, N.; Cochonat, P. Mechanical behaviour of unsaturated marine sediments: Experimental and theoretical approaches. Mar. Geol. 2004, 213, 323–342. [Google Scholar] [CrossRef]
- Moridis, G.J.; Kowalsky, M.B.; Pruess, K. Tough+Hydrate v1.1 User’s Manual: A Code for the Simulation of System Behavior in Hydrate-Bearing Geologic Media; Lawrence Berkeley National Laboratory: Berkeley, CA, USA, 2009. [Google Scholar]
- Li, G.; Li, X.S.; Li, B.; Wang, Y. Methane hydrate dissociation using inverted five-spot water flooding method in cubic hydrate simulator. Energy 2014, 64, 298–306. [Google Scholar] [CrossRef]
- Li, B.; Li, X.S.; Li, G. Kinetic studies of methane hydrate formation in porous media based on experiments in a pilot-scale hydrate simulator and a new model. Chem. Eng. Sci. 2014, 105, 220–230. [Google Scholar] [CrossRef]
- Li, X.S.; Li, B.; Li, G.; Yang, B. Numerical simulation of gas production potential from permafrost hydrate deposits by huff and puff method in a single horizontal well in Qilian Mountain, Qinghai province. Energy 2012, 40, 59–75. [Google Scholar]
- Moridis, G.J.; Reagan, M.T.; Boyle, K.L.; Zhang, K.N. Evaluation of the gas production potential of some particularly challenging types of oceanic hydrate deposits. Transp. Porous Med. 2011, 90, 269–299. [Google Scholar] [CrossRef]
© 2014 by the authors; licensee MDPI, Basel, Switzerland. This article is an open access article distributed under the terms and conditions of the Creative Commons Attribution license (http://creativecommons.org/licenses/by/3.0/).
Share and Cite
Feng, J.-C.; Li, X.-S.; Li, G.; Li, B.; Chen, Z.-Y.; Wang, Y. Numerical Investigation of Hydrate Dissociation Performance in the South China Sea with Different Horizontal Well Configurations. Energies 2014, 7, 4813-4834. https://doi.org/10.3390/en7084813
Feng J-C, Li X-S, Li G, Li B, Chen Z-Y, Wang Y. Numerical Investigation of Hydrate Dissociation Performance in the South China Sea with Different Horizontal Well Configurations. Energies. 2014; 7(8):4813-4834. https://doi.org/10.3390/en7084813
Chicago/Turabian StyleFeng, Jing-Chun, Xiao-Sen Li, Gang Li, Bo Li, Zhao-Yang Chen, and Yi Wang. 2014. "Numerical Investigation of Hydrate Dissociation Performance in the South China Sea with Different Horizontal Well Configurations" Energies 7, no. 8: 4813-4834. https://doi.org/10.3390/en7084813
APA StyleFeng, J.-C., Li, X.-S., Li, G., Li, B., Chen, Z.-Y., & Wang, Y. (2014). Numerical Investigation of Hydrate Dissociation Performance in the South China Sea with Different Horizontal Well Configurations. Energies, 7(8), 4813-4834. https://doi.org/10.3390/en7084813

