Arrhenius Equation-Based Cell-Health Assessment: Application to Thermal Energy Management Design of a HEV NiMH Battery Pack
Abstract
:1. Introduction
2. Effect of Temperature Gradient on Cell Degradation Variation
2.1. Model Structure Based on Arrhenius Equation
2.2. Model Parameter Calibration
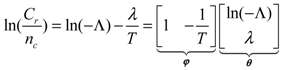
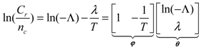
2.2.1. Linear Identifiable Form
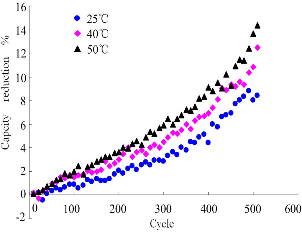
2.2.2. HEV NiMH Cell Aging Test


| Temperature/°C | Quadratic function/% |
|---|---|
| 25 | Cd = 3.2 × 10−5 n2 − 9.8 × 10−4 n + 0.21 |
| 40 | Cd = 2.6 × 10−5 n2 + 6 × 10−3 n + 0.15 |
| 50 | Cd = 2.3 × 10−5 n2 + 9 × 10−3 n + 0.13 |
| Temperature/°C | 25 | 40 | 50 |
|---|---|---|---|
| Cycle life | 801.87 | 765.96 | 754.19 |
2.2.3. Least-Squares Algorithm Based Parameterization
, we can determine the model parameters:
.It is clear from error analysis that the fitting equation has good accuracy.| Result | ⋀ | λ |
|---|---|---|
| Estimate | −5.61 × 10−4 | 240.74 |
| Standard error (1 Sigma) | 6.20 × 10−5 | 34.29 |
2.3. Assessment Criterion
3. Feasibility Assessment of Primitive NiMH Battery Pack Design with its Cooling System
3.1. Experimental Analysis

| Thickness | 23.5 mm |
| Width | 60 mm |
| Height | 84 mm |
| Weight | 180 g |
| Nominal Voltage | 1.2 V |
| Nominal Capacity | 6.5 Ah |
| Power Density | ≥ 1400 W/kg |
| Energy Density | ≥ 44 Wh/kg |
| Ambient Temperature | −40 ~ 80 °C |
| Working Temperature | −30 ~ 60 °C |
| Usable SOC range | 30% ~ 80% |





3.2. Analysis of the Shortcomings of the Preliminary Design

| Layer No. | Flow/ Kg/s | Flow percent |
|---|---|---|
| 1 | 0.0130 | 29.23% |
| 2 | 0.0170 | 38.11% |
| 3 | 0.0145 | 32.66% |



4. Improved Thermal Energy Management
4.1. Enhanced Structure Design


| Width | 444 mm |
| Length | 542 mm |
| Height | 198 mm |
| Weight | 35 kg |
| Nominal Capacity | 6.5 Ah |
| Nominal Voltage | 144 V |
| Number of cells | 120 |
4.2. Simulation Validation

4.3. Experimental Validation




5. Conclusions
Acknowledgments
References
- Juul, N.; Meibom, P. Road transport and power system scenarios for Northern Europe in 2030. Appl. Energy 2012, 92, 573–582. [Google Scholar] [CrossRef]
- Williams, B.; Martin, E.; Lipman, T.; Kammen, D. Plug-in-hybrid vehicle use, energy consumption, and greenhouse emissions: An analysis of household vehicle placements in northern California. Energies 2011, 4, 435–457. [Google Scholar] [CrossRef]
- Ehsani, M.; Falahi, M.; Lotfifard, S. Vehicle to grid services: Potential and applications. Energies 2012, 5, 4076–4090. [Google Scholar] [CrossRef]
- Doucette, R.T.; McCulloch, M.D. Modeling the prospects of plug-in hybrid electric vehicles to reduce CO2 emissions. Appl. Energy 2011, 88, 2315–2323. [Google Scholar] [CrossRef]
- Zou, Y.; Sun, F.; Hu, X.; Guzzella, L.; Peng, H. Combined optimal sizing and control for a hybrid tracked vehicle. Energies 2012, 5, 4697–4710. [Google Scholar] [CrossRef]
- Hu, X.; Sun, F.; Zou, Y. Estimation of state of charge of a lithium-ion battery pack for electric vehicles using an adaptive Luenberger observer. Energies 2010, 3, 1586–1603. [Google Scholar] [CrossRef]
- Xing, Y.; Ma, E.W.M.; Tsui, K.L.; Pecht, M. Battery management systems in electric and hybrid vehicles. Energies 2011, 4, 1840–1857. [Google Scholar] [CrossRef]
- Hu, X.; Li, S.; Peng, H. A comparative study of equivalent circuit models for Li-ion batteries. J. Power Sources 2012, 198, 359–367. [Google Scholar] [CrossRef]
- Hu, X.; Li, S.; Peng, H.; Sun, F. Robustness analysis of State-of-Charge estimation methods for two types of Li-ion batteries. J. Power Sources 2012, 217, 209–219. [Google Scholar] [CrossRef]
- Thomas, E.V.; Bloom, I.; Christophersen, J.P. Rate-based degradation modeling of lithium-ion cells. J. Power Sources 2012, 206, 378–382. [Google Scholar] [CrossRef]
- Rao, Z.; Wang, S.; Zhang, G. Simulation and experiment of thermal energy management with phase change material for ageing LiFePO4 power battery. Energy Convers. Manag. 2011, 52, 3408–3414. [Google Scholar] [CrossRef]
- Duan, X.; Naterer, G.F. Heat transfer in phase change materials for thermal management of electric vehicle battery modules. Int. J. Heat Mass Transf. 2010, 53, 5176–5182. [Google Scholar] [CrossRef]
- Khateeb, S.A.; Farid, M.M.; Selman, J.R.; Al-Hallaj, S. Design and simulation of a lithium-ion battery with a phase change material thermal management system for an electric scooter. J. Power Sources 2004, 128, 292–307. [Google Scholar] [CrossRef]
- Khateeb, S.A.; Amiruddin, S.; Farid, M.M.; Selman, J.R.; Al-Hallaj, S. Thermal management of Li-ion battery with phase change material for electric scooters: experimental validation. J. Power Sources 2005, 142, 345–353. [Google Scholar] [CrossRef]
- Giuliano, M.R.; Prasad, A.K.; Advani, S.G. Experimental study of an air-cooled thermal management system for high capacity lithium-titanate batteries. J. Power Sources 2012, 216, 345–352. [Google Scholar] [CrossRef]
- Mahamud, R.; Park, C. Reciprocating air flow for Li-ion battery thermal management to improve temperature uniformity. J. Power Sources 2011, 196, 5685–5696. [Google Scholar] [CrossRef]
- Sabbah, R.; Kizilel, R.; Selman, J.R.; Al-Hallaj, S. Active (air-cooled) vs. passive (phase change material) thermal management of high power lithium-ion packs: Limitation of temperature rise and uniformity of temperature distribution. J. Power Sources 2008, 182, 630–638. [Google Scholar] [CrossRef]
- Rao, Z.; Wang, S.; Wu, M.; Lin, Z.; Li, F. Experimental investigation on thermal management of electric vehicle battery with heat pipe. Energy Convers. Manag. 2013, 65, 92–97. [Google Scholar] [CrossRef]
- Rao, Z.; Wang, S. A review of power battery thermal energy management. Renew. Sustain. Energy Rev. 2011, 15, 4554–4571. [Google Scholar] [CrossRef]
- Serrao, L.; Chehab, Z.; Guezenec, Y.G.; Rizzoni, G. An Aging Model of Ni-MH Batteries for Hybrid Electric Vehicles. In Proceedings of IEEE Vehicle Propulsion and Power, Chicago, IL, USA, 7–9 September 2005.
- Laidler, K.J. The World of Physical Chemistry; Oxford University Press: Oxford, UK, 1993. [Google Scholar]
- Laidler, K.J. Chemical Kinetics, 3rd ed.; Benjamin-Cummings: San Francisco, CA, USA, 1997. [Google Scholar]
- Zhang, Y.; Wang, C.; Tang, X. Cycling degradation of an automotive LiFePO4 lithium-ion battery. J. Power Sources 2011, 196, 1513–1520. [Google Scholar] [CrossRef]
- Zhou, C.; Qian, K.; Allan, M.; Zhou, W. Modeling of the cost of EV battery wear due to V2G application in power systems. IEEE Trans. Energy Convers. 2011, 26, 1041–1050. [Google Scholar] [CrossRef]
- Sarre, G.; Blanchard, P.; Broussely, M. Aging of lithium-ion batteries. J. Power Sources 2004, 127, 65–71. [Google Scholar] [CrossRef]
- Yang, H.; Piao, C. Design Criteria of HEV Battery Module; Technical Report for ChangAn Automobile Company Limited: Chongqing, China, 2007. [Google Scholar]
- Chen, F. A Study on Temperature Uniformity of Ni-MH Batteries for Hybrid Electric Vehicle. Master’s Thesis, Chonqqing University, Chongqing, China, 2010. [Google Scholar]
- Yang, Y.; Chen, F.; Qing, D.; Liang, C. Heat dissipation optimization of DC-DC and IPU for hybrid electric vehicle. J. Chongqing Univ. 2010, 33, 1–6. [Google Scholar]
© 2013 by the authors; licensee MDPI, Basel, Switzerland. This article is an open access article distributed under the terms and conditions of the Creative Commons Attribution license (http://creativecommons.org/licenses/by/3.0/).
Share and Cite
Yang, Y.; Hu, X.; Qing, D.; Chen, F. Arrhenius Equation-Based Cell-Health Assessment: Application to Thermal Energy Management Design of a HEV NiMH Battery Pack. Energies 2013, 6, 2709-2725. https://doi.org/10.3390/en6052709
Yang Y, Hu X, Qing D, Chen F. Arrhenius Equation-Based Cell-Health Assessment: Application to Thermal Energy Management Design of a HEV NiMH Battery Pack. Energies. 2013; 6(5):2709-2725. https://doi.org/10.3390/en6052709
Chicago/Turabian StyleYang, Yalian, Xiaosong Hu, Datong Qing, and Fangyuan Chen. 2013. "Arrhenius Equation-Based Cell-Health Assessment: Application to Thermal Energy Management Design of a HEV NiMH Battery Pack" Energies 6, no. 5: 2709-2725. https://doi.org/10.3390/en6052709
APA StyleYang, Y., Hu, X., Qing, D., & Chen, F. (2013). Arrhenius Equation-Based Cell-Health Assessment: Application to Thermal Energy Management Design of a HEV NiMH Battery Pack. Energies, 6(5), 2709-2725. https://doi.org/10.3390/en6052709
