Torsional Stiffness Effects on the Dynamic Stability of a Horizontal Axis Wind Turbine Blade
Abstract
:1. Introduction
2. Analysis
2.1. Rotor Structural Model

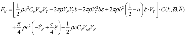
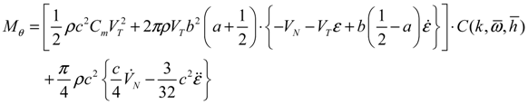
2.2. Rotor Aerodynamic Model
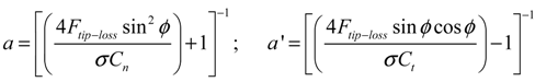
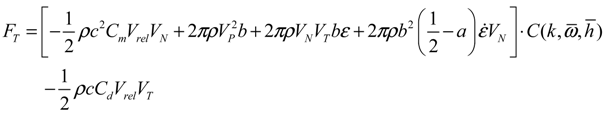
2.2.1. Modification of Greenberg’s Extension of Theodorsen’s Strip Theory
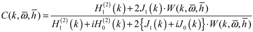
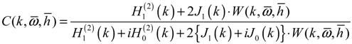
is the Theodorsen’s lift deficiency function [28,29], which is defined as:
(i = 0, 1) is the Hankel function of second kind of order i, and the term of Ji (i = 0, 1) is the real part of the complex Bessel function of order i, and the k is reduced frequency. To obtain a solution to non-constant free-stream for the unsteady motions as well as the airfoil at constant angle of attack, it is assumed that the wake is sinusoidal.
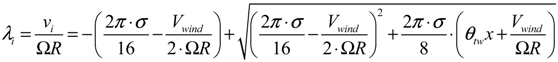
(i = 1, 2, 3) is the component of elastic velocity vectors of the blade and R0i (i = 1, 2, 3) is the component of position vector; and R0i is an arbitrary point of the cross-section in the deformed blade configuration. The term r is the blade radius; Ω, the constant angular velocity; γ, the yaw angle; Ψ, the azimuth angle of the blade and Vwind, the mean wind speed. The term μ denotes the nondimensional term given by μ = Vwind/ΩR. The term λi is The inflow ratio λi denotes the inflow ratio, which is defined as a non-dimensionalized operational speed [31], and can be defined as follows:
2.2.2. Blade Element Momentum Method

2.3. Rotor Aeroelastic Model

, and
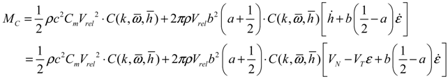
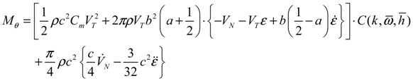
are the tangential stiffness, centrifugal stiffness and tangential aerodynamic matrices, respectively. The term q is the generalized nodal displacement vector, and the equilibrium deflections can be predicted through the Newton-Raphson iterative method. Assuming that the flutter motion is a small perturbation
about the equilibrium position q0, or q(t) = q0 +
, then the linearization of the nonlinear finite element equations of motion can be expressed as follows:
is the coupling term relevant to aerodynamic states. It is well known that modal representation is convenient for reducing a matrix size and for identifying the flutter mode. The preceding linearized flutter equations are transformed into the modal space using the expression of
= [ø]{y(t)}, where [ø] is the modal matrix of the first m coupled rotating modes, and {y(t)} is the vector of m generalized coordinates in the modal space. Equation (27) can be rewritten by substituting
= [ø]{y(t)} and pre-multiplied [ø]T. Therefore, the rearranged equation is expressed as follows:
3. Results and Discussion
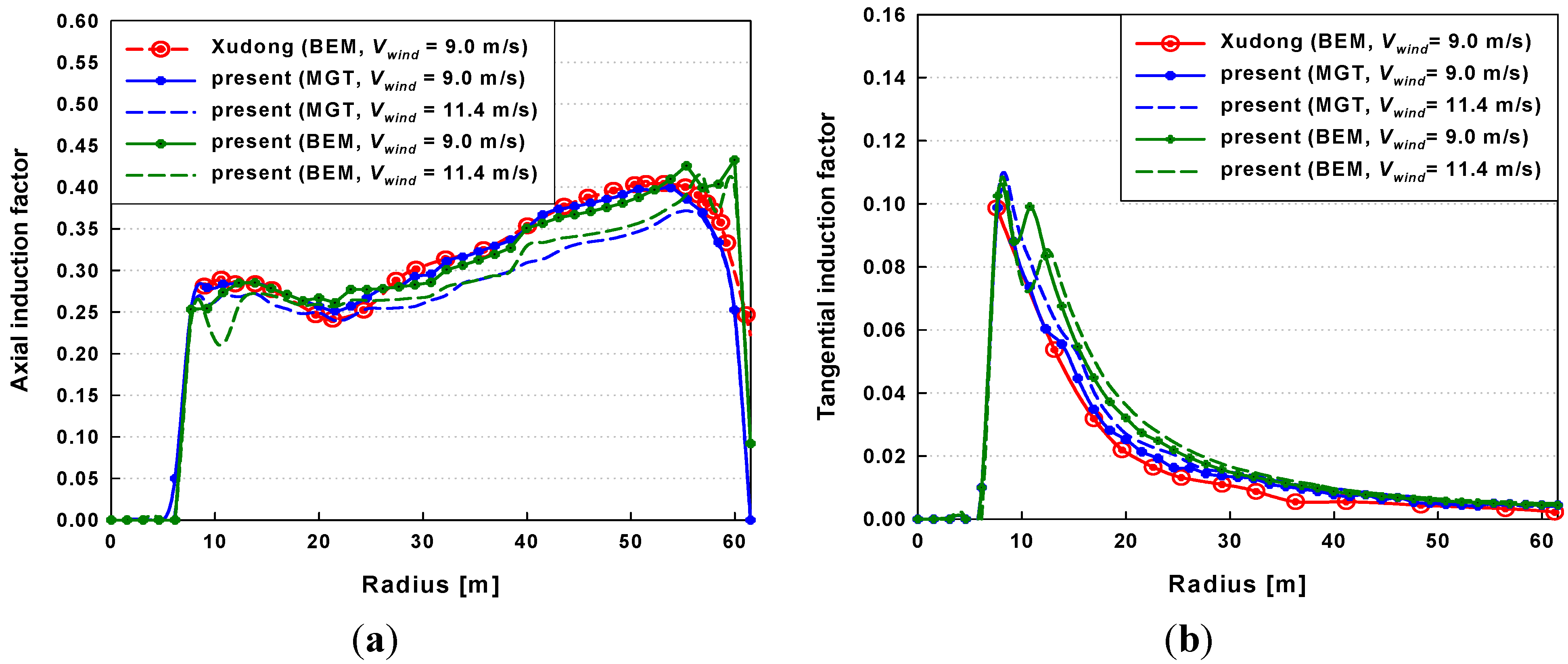
3.1. Validation for Aerodynamic Predictions and Steady-State Blade Deflections


| Parameter | Value |
|---|---|
| Rating | 5 mega-watt |
| Rotor orientation | Upwind, 3 blades |
| Rotor, Hub diameter | 126 m, 3 m |
| Cut-in, Rated, Cut-out wind speed | 3 m/s, 11.4 m/s, 25 m/s |
| Cut-in, Rated, Cut-out rotor speed | 0.722 rad/s, 1.267 rad/s, 1.267 rad/s |




3.2. Dynamic Stability Analysis under Normal Operating Conditions



3.3. Effects of Torsional Stiffness Reductions on Dynamic Stability




4. Conclusions
Acknowledgments
References
- Riziotis, V.A.; Voutsinas, S.G.; Politis, E.S.; Chaviaropoulos, P.K. Aeroelastic stability of wind turbines: The problems, the methods and the issues. Wind Energy 2004, 7, 373–392. [Google Scholar] [CrossRef]
- Fung, Y.C. An Introduction to the Theory of Aeroelasticity; Dover Publications: New York, NY, USA, 2002. [Google Scholar]
- Bisplinghoff, R.L.; Ashley, H.; Halfman, R.L. Aeroelasticity; Dover Publications: New York, NY, USA, 1955. [Google Scholar]
- Lobitz, D.W. Aeroelastic stability predictions for a MW-sized blade. Wind Energy 2004, 7, 211–224. [Google Scholar] [CrossRef]
- Lobitz, D.W. Parameter sensitivities affecting the flutter speed of a MW-sized blade. J. Solar Energy Eng. Trans. ASME 2005, 127, 538–543. [Google Scholar] [CrossRef]
- Peterson, J.T.; Madsen, H.A. Prediction of Dynamic Loads and Induced Vibration in Stall; Technical Report Risø-R-1045; Risø National Laboratory: Roskilde, Denmark, 1998. [Google Scholar]
- Thomsen, K.; Petersen, J.T.; Nim, E.; Øye, S.; Petersen, B. A method for determination of damping for edgewise blade vibrations. Wind Energy 2001, 3, 233–246. [Google Scholar] [CrossRef]
- Rasmussen, F.; Petersen, J.T.; Madsen, H.A. Dynamic stall and aerodynamic damping. ASME J. Sol. Energy Eng. 1999, 121, 150–155. [Google Scholar] [CrossRef]
- Chaviaropoulos, P.K. Flap/lead-lag aeroelastic stability of wind turbine blades. Wind Energy 2001, 4, 183–200. [Google Scholar] [CrossRef]
- Björck, A.; Dahlberg, J.; Östman, A.; Ganander, H. Computations of Aerodynamic Damping for Blade Vibrations in Stall. In Proceedings of the 1997 European Wind Energy Conference, Dublin Castle, Ireland, 6–9 October 1997.
- Holierhoek, J.G. Investigation into the Possibility of Flap-Lag-Stall Flutter. In Proceedings of the 45th AIAA Aerospace Sciences Meeting and Exhibit, Reno, NV, USA, 8–11 January 2007.
- Acree, C.W., Jr.; Peyran, R.J.; Johnson, W. Rotor Design for Whirl Flutter: An Examination of Options for Improving Tiltrotor Aeroelastic Margins. In Proceedings of American Helicopter Society 55th Annual Forum, Montreal, Canada, 25–27 May 1999.
- Nixon, M.W. Parametric studies for tiltrotor aeroelastic stability in high speed flight. J. Am. Helicopter Soc. 1993, 38, 71–79. [Google Scholar] [CrossRef]
- Bir, G.S.; Chopra, I. Aeromechanical instability of rotorcraft with advanced geometry blades. J. Math. Comp. Model. 1994, 19, 159–191. [Google Scholar] [CrossRef]
- Bir, G.S.; Wright, A.D.; Butterfield, C.P. Stability Analysis of A Variable-Speed Wind Turbines. In Proceedings of the 1997 ASME Wind Energy Symposium, Reno, NV, USA, 6–9 January 1997.
- Bir, G.; Jonkman, J. Aeroelastic instabilities of large offshore and onshore wind turbines. J. Phys. Conf. Ser. 2007, 75, 1–19. [Google Scholar] [CrossRef]
- Gupta, S. Development of A Time-Accurate Viscous Lagrangian Vortex Wake Model for Wind Turbine Applications. PhD Thesis, University of Maryland, College Park, MD, USA, 2006. [Google Scholar]
- Hodges, D.H. Nonlinear Equations for the Dynamics of Pre-Twisted Beams Undergoing Small Strains and Large Rotations; Technical Report TP-240; National Aeronautics and Space Administration: Washington, DC, USA, 1985. [Google Scholar]
- Bauchau, O.A.; Hong, C.H. Finite element approach to rotor blade modeling. J. Am. Helicopter Soc. 1987, 32, 60–67. [Google Scholar] [CrossRef]
- Bauchau, O.A.; Hong, C.H. Nonlinear composite beam theory. ASME J. Appl. Mech. 1988, 55, 156–163. [Google Scholar] [CrossRef]
- Panda, B. Assembly of moderate-rotation finite elements used in helicopter rotor dynamics. J. Am. Helicopter Soc. 1987, 32, 63–69. [Google Scholar] [CrossRef]
- Xudong, W.; Shen, W.Z.; Zhu, W.J.; Sørensen, J.N. Shape optimization of wind turbine blades. Wind Energy 2009, 12, 781–803. [Google Scholar] [CrossRef]
- Kallesøe, B.S.; Hansen, M.H. Effects of Large Bending Deflections on Blade Flutter Limits; Risø National Laboratory: Roskilde, Denmark, 2008. [Google Scholar]
- Stemple, A.D.; Lee, S.W. Large Deflection Static and Dynamic Finite Element Analyses of Composite Beams with Arbitrary Cross Sectional Warping. In Proceedings of 30th AIAA/ASME/ASCE/AHS/ACS Structures. Structural Dynamics and Materials Conference, Mobil, AL, USA, 3–5 April 1989; pp. 1788–1798.
- Cho, M.H.; Lee, I. Aeroelastic stability of hingeless rotor blade in hover using large deflection theory. Am. Inst. Aeronaut. Austronaut. J. 1994, 32, 1472–1477. [Google Scholar] [CrossRef]
- Det Norske Veritas (DNV) and Risø National Laboratory. In Guidelines for Design of Wind Turbines; DNV/Risø in Technical Co-Operation: Roskilde, Denmark, 2001.
- NWTC Design Codes (PreComp by Gunjit Bir). Available online: http://wind.nrel.gov/designcodes/preprocessors/precomp/ (accessed on 22 January 2011).
- Greenberg, J.M. Airfoil in Sinusoidal Motion in a Pulsating Stream; TN-1326; National Advisory Committee for Aeronautics (NACA): Washington, DC, USA, 1947. [Google Scholar]
- Loewy, R.G. A two-dimensional approach to the unsteady aerodynamics of rotary wings. J. Aeronaut. Sci. 1957, 24, 82–98. [Google Scholar]
- Leishman, J.G. Principles of Helicopter Aerodynamics; Cambridge University Press: New York, NY, USA, 2006. [Google Scholar]
- Vity, V.; Coppotelli, G.; de Pompeis, F.; Marzocca, P. Development of An Aerodynamic and Aeroelastic Tool for Wind Turbine Design. In Proceedings of the 48th AIAA/ASME/ASCE/AHS/ASC Structures, Structure Dynamics, and Material Conference, Honolulu, HI, USA, 23–26 April 2007.
- National Renewable Energy Laboratory. Computer-aided engineering tools. Available online: http://wind.nrel.gov/designcodes/preprocessors/airfoilprep/ (accessed on 13 January 2013).
- Yamane, T.; Friedmann, P.P. Aeroelastic tailoring analysis for preliminary design of advanced turbo propellers with composite blades. Comp. Fluids 1993, 21, 235–245. [Google Scholar] [CrossRef]
- Jonkman, J.; Butterfield, S.; Musial, W.; Scott, G. Definition of 5-MW Reference Wind Turbine for Offshore System Development; Technical Report NREL/TP-500–38060; National Renewable Energy Laboratory: Denver, CO, USA, 2009. [Google Scholar]
- Kallosøe, B.S. Effect of steady deflections on the aeroelastic stability of a turbine blade. Wind Energy 2011, 14, 209–224. [Google Scholar] [CrossRef]
- Buhl, T.; Markou, H.; Hansen, H.; Thomsen, K.; Rasmussen, F. Aeroelastic Stability Analysis and Passive Instability Suppression. In Proceedings of the 2006 European Wind Energy Conference and Exhibition, Athens, Greece, 27 February–2 March 2006.
© 2013 by the authors; licensee MDPI, Basel, Switzerland. This article is an open access article distributed under the terms and conditions of the Creative Commons Attribution license (http://creativecommons.org/licenses/by/3.0/).
Share and Cite
Jeong, M.-S.; Lee, I.; Yoo, S.-J.; Park, K.-C. Torsional Stiffness Effects on the Dynamic Stability of a Horizontal Axis Wind Turbine Blade. Energies 2013, 6, 2242-2261. https://doi.org/10.3390/en6042242
Jeong M-S, Lee I, Yoo S-J, Park K-C. Torsional Stiffness Effects on the Dynamic Stability of a Horizontal Axis Wind Turbine Blade. Energies. 2013; 6(4):2242-2261. https://doi.org/10.3390/en6042242
Chicago/Turabian StyleJeong, Min-Soo, In Lee, Seung-Jae Yoo, and Kwang-Choon Park. 2013. "Torsional Stiffness Effects on the Dynamic Stability of a Horizontal Axis Wind Turbine Blade" Energies 6, no. 4: 2242-2261. https://doi.org/10.3390/en6042242
APA StyleJeong, M.-S., Lee, I., Yoo, S.-J., & Park, K.-C. (2013). Torsional Stiffness Effects on the Dynamic Stability of a Horizontal Axis Wind Turbine Blade. Energies, 6(4), 2242-2261. https://doi.org/10.3390/en6042242
