Next Article in Journal
Accurate Measurement Method for Distribution Parameters of Four-Circuit Transmission Lines with the Same Voltage Considering Earth Resistance
Next Article in Special Issue
Green Synthesis of Core/Shell Phase Change Materials: Applications in Industry and Energy Sectors
Previous Article in Journal
Prediction of Air-Conditioning Outlet Temperature in Data Centers Based on Graph Neural Networks
Previous Article in Special Issue
Optimization of Energy Recovery Processes from Sunflower Stalks Using Expired Non-Steroidal Anti-Inflammatory Drugs (NSAIDs)
 
 
Font Type:
Arial Georgia Verdana
Font Size:
Aa Aa Aa
Line Spacing:
Column Width:
Background:
Article

Sustainable Hydrogen Production with Negative Carbon Emission Through Thermochemical Conversion of Biogas/Biomethane

by
Bin Wang
1,2,†,
Yu Shao
2,3,†,
Lingzhi Yang
2,4,
Ke Guo
2,5,
Xiao Li
2,3,
Mengzhu Sun
2,3 and
Yong Hao
2,3,*
1
School of Energy, Power and Mechanical Engineering, North China Electric Power University, Beijing 102206, China
2
Institute of Engineering Thermophysics, Chinese Academy of Sciences, Beijing 100190, China
3
University of Chinese Academy of Sciences, Beijing 100049, China
4
International Research Center for Renewable Energy & State Key Laboratory of Multiphase Flow in Power Engineering, Xi’an Jiaotong University, Xi’an 710049, China
5
Department of Thermal Science and Energy Engineering, University of Science and Technology of China, Hefei 230027, China
*
Author to whom correspondence should be addressed.
These authors contributed equally to this work.
Energies 2025, 18(7), 1804; https://doi.org/10.3390/en18071804
Submission received: 26 February 2025 / Revised: 23 March 2025 / Accepted: 25 March 2025 / Published: 3 April 2025
(This article belongs to the Special Issue Biomass and Bio-Energy—2nd Edition)

Abstract

Biogas (primarily biomethane), as a carbon-neutral renewable energy source, holds great potential to replace fossil fuels for sustainable hydrogen production. Conventional biogas reforming systems adopt strategies similar to industrial natural gas reforming, posing challenges such as high temperatures, high energy consumption, and high system complexity. In this study, we propose a novel multi-product sequential separation-enhanced reforming method for biogas-derived hydrogen production, which achieves high H2 yield and CO2 capture under mid-temperature conditions. The effects of reaction temperature, steam-to-methane ratio, and CO2/CH4 molar ratio on key performance metrics including biomethane conversion and hydrogen production are investigated. At a moderate reforming temperature of 425 °C and pressure of 0.1 MPa, the conversion rate of CH4 in biogas reaches 97.1%, the high-purity hydrogen production attains 2.15 mol-H2/mol-feed, and the hydrogen yield is 90.1%. Additionally, the first-law energy conversion efficiency from biogas to hydrogen reaches 65.6%, which is 11 percentage points higher than that of conventional biogas reforming methods. The yield of captured CO2 reaches 1.88 kg-CO2/m3-feed, effectively achieving near-complete recovery of green CO2 from biogas. The mild reaction conditions allow for a flexible integration with industrial waste heat or a wide selection of other renewable energy sources (e.g., solar heat), facilitating distributed and carbon-negative hydrogen production.

1. Introduction

With the growing global energy demand and increasing concerns regarding the mitigation of the greenhouse effect, the development of clean energy has become increasingly critical. Hydrogen, with its high energy density and environment-friendly nature, presents vast potential and application prospects in global CO2 reduction and energy transformation [1,2]. The International Energy Agency (IEA) projects that the global annual hydrogen demand will increase from 100 Mt in 2024 to 150 Mt by 2030, 45% of which is low-emissions hydrogen [3]. Currently, approximately 96% of hydrogen is derived from fossil fuels such as natural gas, industrial by-products, and coal, resulting in annual CO2 emissions of up to 920 Mt [3]. Developing sustainable hydrogen production technologies has become increasingly crucial as the transition towards low-carbon energy accelerates.
Biogas (BG), as a renewable resource, is mainly composed of CH4 (55–70 vol%) and CO2 (27–44 vol%) and is typically produced through the anaerobic digestion of biodegradable residual biomass from various sources, such as animal manure, sewage sludge, and municipal waste [4,5]. According to statistics, the global annual biogas production reaches 61 billion cubic meters [6], primarily for biogas upgrading, power generation, and household gas supply [7,8]. As a renewable energy source with abundant availability and high methane content, biogas has been shown in studies to serve as an alternative feedstock for conventional natural gas reforming technology to produce low-carbon hydrogen [4,9,10,11,12]. Biogas can be an alternative feedstock for hydrogen production due to its renewability and carbon-neutral nature, reducing greenhouse gas emissions and dependence on fossil fuels. Compared with hydrogen production via natural gas reforming and coal gasification, biogas reforming reduces the carbon emission by approximately 68% and 77%, respectively [13]. Due to its primary composition of methane, biogas shares similarities with natural gas; therefore, it exhibits a certain level of compatibility with existing fossil energy processing infrastructure. Given the cost-effectiveness (1.4–1.8 EUR/kg-H2) and technological maturity of hydrogen production by natural gas reforming, biogas reforming offers a promising pathway for achieving low-cost green hydrogen production in the near term, in contrast to the high hydrogen production cost of renewable electricity-powered water electrolysis (3.2–6 EUR/kg-H2) [14,15,16,17]. Furthermore, biogas-based hydrogen production with CO2 capture can become a carbon-negative process. Calculations indicate that in Europe, the biogas-to-hydrogen pathway with CO2 capture and storage can produce up to 12.5 million tons of hydrogen annually while removing up to 133 million tons of CO2 from the atmosphere, accounting for approximately 3% of Europe’s total greenhouse gas emissions [18]. Additionally, the utilization of biogas helps to mitigate the environmental impact of biomethane emissions (methane has 21 times the global warming potential of CO2) and promotes the integrated utilization of biomass resources, including biowaste and municipal waste [19].
The primary methods for hydrogen production from biogas include steam reforming, partial oxidation reforming, autothermal reforming, dry reforming, and dry oxidative reforming [20]. Among these, steam reforming is the most predominant and mature hydrogen production process, which amplifies hydrogen yield via the contribution of water in both steam reforming and water–gas shift reactions [21]. Due to the endothermic nature of steam biogas reforming (SBR), high temperatures are typically required to promote methane conversion [22,23]. Tuna et al. reported an experimental study on biogas steam reforming using a 7.4% Ni/γ-Al2O3 catalyst, achieving a high methane conversion and a hydrogen yield of 60% at 850 °C [24]. Chouhan et al. conducted a simulation study on biogas steam reforming in an industrial reformer, obtaining a methane conversion of 95.96% and a hydrogen production of 1.04 mol-H2/mol-BG at 900 °C [25]. The high-temperature conditions and endothermic properties of the reaction usually require fuel combustion as the heat source [26], resulting in high energy consumption for H2 production and significant CO2 emissions. In addition, conventional SBR only produces a gas mixture of H2, CO and CO2, limiting its applicability in a wide range of technologies such as fuel cells. Therefore, downstream processes such as the water–gas shift reaction (WGS) and pressure swing adsorption (PSA) are required to obtain high-purity hydrogen, resulting in a complex hydrogen production system [27].
To reduce the reaction temperature, energy consumption and overall size of the hydrogen production process, in situ product separation during the reaction has been extensively studied [28]. According to Le Chatelier’s principle, in situ product separation shifts the reaction in the forward direction and promotes methane conversion, which is equivalent to lowering the reaction temperature [29]. CO2 sorption-enhanced reforming [28] and hydrogen membrane separation [30] have shown significant potential for enhancing methane conversion in steam biogas reforming. The sorption-enhanced reforming method, which uses sorbents to capture CO2 in situ during reforming, can achieve 65.6–97.8% methane conversion at 600 °C. Phromprasitet et al. proposed multifunctional catalysts of Ni over Zr-modified CaO sorbents and applied them to sorption-enhanced reforming of biogas, achieving a methane conversion of 65.6% and a hydrogen yield of 90% at 600 °C [31]. Dang et al. investigated the effects of temperature and CO2 content on hydrogen production performance in sorption-enhanced reforming of biogas using multifunctional catalysts. Stability experiments demonstrated that at 600 °C, the H2 content in the product gas reached 98.0 vol%, with a CH4 conversion of approximately 97.8% [32]. Gil et al. conducted a parametric study on sorption-enhanced reforming of biogas using a Pd/Ni–Co catalyst and dolomite CO2 sorbent. At 550–600 °C, the sorption-enhanced reforming of biogas process achieved a hydrogen purity of 98.4 vol%, while the hydrogen yield exceeded 90% at 625–650 °C [33,34]. However, since CO2 is a minor component in SBR products, solely separating CO2 has a limited effect on promoting the conversion of methane. Moreover, the SBR products still contain impurities (CH4, CO), requiring additional processes to obtain high-purity hydrogen. As hydrogen is the primary component of the reforming products, its separation shall significantly shift the reaction equilibrium forward, thereby enhancing methane conversion, particularly under mid-temperature conditions. SBR with membrane separation can achieve 85–90% methane conversion at temperatures between 400 and 500 °C while producing high-purity hydrogen directly. Ruales et al. conducted an energy and exergy analysis of steam biogas reforming based on a Pd-Ag membrane reactor, which resulted in 95% recovery of high-purity hydrogen (purity ≥ 99.99%) at 500 °C, while the exergy efficiency of the system is 85% [35]. Ongis et al. evaluated a small-scale biogas-to-hydrogen reaction system, achieving a hydrogen production efficiency of 59.8%, a hydrogen recovery rate of 83%, and a methane conversion of 86.8% at 500 °C [36,37,38]. The parameters of the three main SBR methods are summarized in Table 1. Biogas reforming that involves the separation of either CO2 or H2 only reduces the partial pressure of one product, resulting in limited methane conversion under mid-temperature conditions. Moreover, as the extent of single-product separation increases, the energy required for separation rises sharply, leading to higher energy consumption in hydrogen production.
The simultaneous separation of H2 and CO2 can further enhance the conversion of biogas by driving the reaction equilibrium forward. Through the synergistic separation of CO2 and H2, high conversion of the CH4 in biogas, high H2 yield, and CO2 capture can be achieved simultaneously at moderate temperatures. In particular, our recent study proposes a novel multi-product sequential separation principle and a sequential separation-driven steam methane reforming (SMR) method [41]. The target products CO2 and H2 are separated alternately by hydrotalcite and a Pd-based membrane. The sequential separation of H2 and CO2 involves first separating one product, such as H2, to promote the reaction progress to a sufficient degree and then switching to the separation of the other product (e.g., CO2), thus avoiding the exponential increase in separation energy penalty at a very high separation level of each single product alone. The sequential separation-driven reforming reactor is designed with six pairs of “catalyst/membrane + CO2 sorbent” combinations operating in series. Each combination separates H2 and CO2 in sequence at partial pressures close to their thermodynamic equilibrium values, respectively, to maximize pressure differences for H2 and CO2 separation. Each combination only converts a small portion of the CH4 feed, but most importantly, the reactant side returns to its original concentration state after the gas mixture flows through each combination. This method achieves complete CH4 conversion at 400 °C, producing high-purity H2 and concentrated CO2 while achieving energy-efficient hydrogen production and CO2 capture.
This work applies our previously reported innovative approach to steam biogas reforming for the first time, aiming to demonstrate its practical effectiveness and broad applicability across different fuels, while also highlighting its potential for carbon-negative hydrogen production. Experimental investigations are conducted on the effects of reaction temperature, steam-to-methane molar ratio, and CO2/CH4 molar ratio on key performance metrics including biomethane conversion and hydrogen yield. Analyses are then performed to evaluate the energy efficiency of hydrogen production. Under moderate temperature conditions, this method achieves near-complete conversion of biomethane to hydrogen and the in situ capture of CO2.

2. Experimental System

Methane reforming enhanced by sequentially separation of CO2 and H2 products is a novel approach that has achieved complete methane conversion at mid-temperature conditions. According to Le Chatelier’s principle, the separation of products during the reaction promotes the forward shift of the reaction equilibrium, theoretically enabling a higher reactant conversion at a lower reaction temperature. Therefore, this study experimentally investigates the biogas conversion performance by the multi-product sequential separation method. Figure 1 illustrates the reactor with material packing scheme, in which the catalyst and hydrotalcite being alternately arranged.
The stainless-steel reactor is 39 cm long, with an inner diameter of 3 cm and a wall thickness of 0.5 cm. A porous ceramic tube (α-Al2O3, porosity 30–35%) measuring 38 cm in length and 1 cm in external diameter is positioned centrally within the reactor. The outer surface of the ceramic tube is coated with a dense, hydrogen-permeable Pd-based membrane, 10 μm in thickness. One end of the Pd-based membrane tube is open to the external environment, while the other end is sealed. The inlet and outlet for the reaction gas and high-purity hydrogen are located at the left end of the reactor, while the right end features an outlet for discharging the residual tail gas during the reaction stage and CO2 during the sorbent regeneration stage.
The annular space between the porous ceramic tube and the enclosure of the reactor is filled by six sets of catalyst-sorbent combinations. Each set comprised a packed bed of commercial 20 wt% Ni/MgO–Al2O3 SMR catalyst (7.5 g, with a particle size of 1–3 mm) followed by a packed bed of hydrotalcite CO2 sorbent (30 g, with a particle size of 3–5 mm). During the reaction stage, the products CO2 and H2 are separated alternately by hydrotalcite and Pd-based membrane.
The experimental system is illustrated in Figure 2. Since impurities in real biogas, such as H2S, NH3, and siloxanes, readily cause catalyst deactivation [27], and given that these impurities can be effectively removed by mainstream biogas upgrading technologies (e.g., desulfurization, adsorption) [42], simulated biogas (60 vol% of CH4 and 40 vol% of CO2) is employed in our experiments rather than actual biogas. Simulated biogas is introduced into the reactor through the mass flow controller (MFC), where argon serves as an internal standard gas for gas flow measurement in mass spectrometry and does not participate in the reactions. Helium serves as a purge gas for hydrotalcite regeneration. A constant flow pump regulates the flow of deionized water, and liquid water is evaporated to steam by a preheater. The electric heating furnace provides a constant temperature for the reactor in the chamber. The reactor tail gas passes through a glass condenser to condense excess water vapor, after which the gas composition is analyzed via mass spectrometry. A vacuum pump creates the pressure difference needed for H2 permeation through the Pd-based membrane, with the flow rate of high-purity H2 measured by a gas mass flow meter (MFM).
The reactor operates in three stages: a reaction stage, a dwell stage, and a regeneration stage. During the reaction stage, biogas and steam are introduced into the reactor for 1 min, with a CH4 flow rate of 60 sccm and a steam-to-methane ratio of 2–4. The steam methane reforming reaction (Equation (1)), water–gas shift reaction (Equation (2)), and global reaction (Equation (3)) occur over the Ni-based catalyst. The H2 produced is separated from the reactor via the Pd-based membrane, while the hydrotalcite sorbent adsorbs the CO2 produced. The experiment was conducted at a reaction temperature of 300–425 °C and with a hydrogen separation pressure of 2000 Pa. During sorbent regeneration stage, helium is used as a purge gas to desorb CO2 from the hydrotalcite sorbent for 2 min at a flow rate of 1000 sccm. The inert purge gas can be replaced by more cost-effective alternatives, such as steam. A mass spectrometer analyzes the tail gas to determine its components quantitatively. The argon flow rate is maintained at 100 sccm throughout the experiment, serving as an internal standard gas for the mass spectrometer.
CH 4 + H 2 O = 3 H 2 + CO
CO + H 2 O = H 2 + CO 2
CH 4 + 2 H 2 O = 4 H 2 + CO 2
At the end of the reaction stage, reactants do not immediately exit the reactor. When the process transitions directly to the regeneration stage, the high flow rate of purge gas decreases the hydrogen partial pressure within the reactor. This reduction in pressure across the Pd-based membrane diminishes hydrogen recovery at the end of the reaction. In addition, the high flow rate of purge gas leads to a rapid discharge of the remaining reactants in the reactor, reducing the conversion of methane. Therefore, a dwell stage is added between the reaction and regeneration stages. During the dwell stage, the supply of methane and steam is stopped, and a small flow rate of purge gas is introduced to maintain gas flow and ensure that the remaining reactants in the reactor pass entirely through the catalyst bed. The small flow rate of purge gas provides the additional advantage of maintaining the hydrogen in a high partial pressure state, which enhances the hydrogen permeation performance.
The effects of temperature, steam-to-methane molar ratio (S/C), and CO2/CH4 molar ratio (c/m) on the reforming of biogas are experimentally investigated. The reaction temperature range is chosen to be 300–425 °C and the S/C ratio is set in the range from 2.0 to 4.0, while reaction pressure is maintained at 0.1 MPa throughout the entire investigation. In order to cover a sufficiently wide range of variant biogas components, the molar ratios of CO2/CH4 in biogas are chosen to be 0, 0.33, 0.66, and 1.

3. Evaluation Criteria

The hydrogen production performance of the multi-product separation method is investigated through prototype reactor experiments. The following metrics evaluate the reaction performance, including the CH4 conversion and hydrogen yield. The CH4 conversion reflects the performance of converting biogas into hydrogen. A higher CH4 conversion indicates a higher H2 production. The hydrogen yield is the most critical evaluation metric in this study, as it directly reflects the hydrogen production performance of SBR. Since SBR is an endothermic reaction, the first-law thermodynamic efficiency is defined to reflect the energy conversion performance of the reaction.
The CH4 conversion ( X CH 4 ) is defined as follows:
X CH 4 = n CH 4 , in n CH 4 , out n CH 4 , in
where n CH 4 , in and n CH 4 , out are the amounts of CH4 entering and leaving the reactor per cycle, respectively, mol.
The hydrogen yield ( y H 2 ) reflects the percentage of hydrogen production relative to the maximum theoretical hydrogen production, which is defined as follows:
y H 2 = n H 2 , per 4 n CH 4 , in × 100 %
where n H 2 , per is the amount of high-purity hydrogen permeated through the Pd-based membrane per cycle, mol. Each mole of biogas (60 vol% of CH4 and 40 vol% of CO2) can produce up to 2.4 moles of hydrogen, corresponding to a hydrogen yield of 100% and hydrogen production of 2.4 mol-H2/mol-feed.
CO selectivity ( S CO ) and CO2 selectivity ( S CO 2 ) are defined as follows:
S CO = n CO , out n CH 4 , in n CH 4 , out
S CO 2 = n CO 2 , out n CO 2 , in n CH 4 , in n CH 4 , out
where n CO 2 , in is the amount (mol) of CO2 entering the reactor per cycle, while n CO , out and n CO 2 , out are the amounts (mol) of CO and CO2 leaving the reactor per cycle, respectively.
By the first law of thermodynamics, energy efficiency ( η H 2 ) for hydrogen production from SBR with multi-product sequential separation is defined as follows:
η H 2 = n H 2 , per Δ H H 2 n BG , in Δ H BG + Q / η heat + W / η E
where n BG , in is the amount (mol) of biogas entering the reactor per cycle; Δ H H 2 and Δ H BG are the higher heating values (kJ/mol) of hydrogen and biogas, respectively; Q is the energy required for reactant preheating and the endothermic reaction, kJ; W is the energy required for product separation, kJ; η heat is the efficiency of heat exchange of reactant preheating and the endothermic reaction, taken as 90%; a thermal to electric conversion efficiency ( η E ) of 50% is applied [43,44].

4. Results and Discussion

The effectiveness of the proposed method for biogas conversion is investigated experimentally and analyzed thermodynamically. The effects of temperature, the S/C ratio, and the c/m ratio on the CH4 conversion and hydrogen yield of multi-product separation SBR are systematically explored. Additionally, the impact of various factors on the energy efficiency of hydrogen production is discussed.

4.1. Influence of Temperature

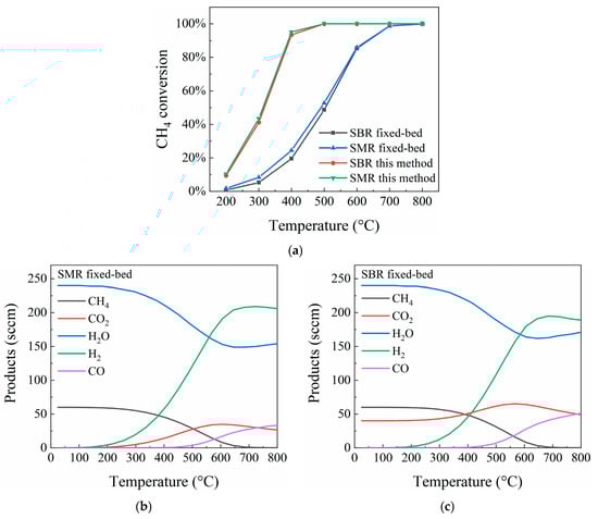
As methane is the primary fuel species in biogas, the conversion of biogas methane is first investigated thermodynamically by the HSC Chemistry 5.11 software [45]. Fixed-bed reactions denote the steam methane reforming (SMR) reaction or steam biogas reforming (SBR) reaction without product separation. For the new method of this study, the products of H2 and CO2 are assumed to be completely separated when the reaction reaches equilibrium, and six alternating reaction and product separation processes are performed sequentially. The c/m ratio of biogas is chosen to be 0.66 (40 sccm CO2 and 60 sccm CH4), and the S/C ratio is set to be 4. As shown in Figure 3a, in contrast to the conventional fixed-bed reforming, which is typically employed in industrial hydrogen production, the new method of this study shows an impressively high CH4 conversion of 93.43% at a medium temperature of 400 °C versus ~650 °C in the former. This corresponds to a remarkable temperature decrease of 250 °C. In fact, for the most part of the temperature range investigated, the temperature decrease is between 200 and 300 °C for each conversion rate of biogas methane shown. As a reference case, the conversion of pure methane is also studied following the same procedure, with the flow rate of methane fixed at 60 sccm (with S/C = 4) for consistency considerations. The performance of pure methane conversion exhibits a trend that resembles that of biogas methane (with the conversion of biogas methane being lower by up to 5 percentage points), despite the major difference of 40% CO2 content in the latter. The underlying reason for such similarity can be attributed to the fact that CO2 is a minor species in the global steam methane reforming reaction (CH4 + 2H2O = 4H2 + CO2), such that the influence of CO2 partial pressure variation on CH4 conversion is relatively insensitive.
Further interpretation can be given from thermodynamic calculations on a closed system with initial gas concentrations that are identical to that of the two mixtures above. As shown in Figure 3b,c, for systems that reach equilibrium without the separation of any product, despite the considerably higher CO2 content in biogas, the curve of methane flow rate versus temperature is almost identical, i.e., starting at the same flow rate and approaches complete conversion at about 700 °C. As illustrated in Figure 3b, the CO2 content rises with an increasing temperature when it is below a specific value (600 °C), but declines once the temperature exceeds 600 °C. The CO content remains nearly zero at temperatures below 400 °C, but as the temperature exceeds 400 °C, it increases with further temperature rise. The endothermicity of SMR increases methane conversion and CO and H2 content in the product with the increase in the temperature. In the relatively low temperature range below 400 °C, the exothermic reaction of WGS reaction is favored in the forward direction and converts CO (produced by SMR) further to CO2, resulting in a CO fraction close to zero. At even higher temperatures (>400 °C), the reverse water–gas shift (RWGS) reaction (CO2 + H2 = CO + H2O) becomes more and more favorable as temperature increases. Additionally, the conversion of methane rapidly increases when the temperature further increases to 600 °C, resulting in no additional CO production, which subsequently limits the WGS reaction. For steam biogas reforming (Figure 3c), the higher CO2 content in the reactants promotes the RWGS reaction, reducing the specific value from 600 °C to 570 °C. The effect of higher CO2 concentration in biogas mainly plays two roles, i.e., elevating the CO2 level throughout the entire temperature range, and changing the quantitative composition distribution of the gas mixture at equilibrium at relatively high temperatures above 570 °C. While the first role is simple and self-evident, the second role is primarily due to the promotion of the endothermic reverse water–gas shift (RWGS) reaction (CO2 + H2 = CO + H2O) that is thermodynamically favored at elevated temperatures. The sharp decrease in theoretical conversion temperature is due to the promotion by the sequential separation of two target products, i.e., H2 and CO2 in an alternating fashion, the mechanism of which was detailed in our previous study [41].
The similarity between temperature-dependent theoretical performances of biogas and pure methane conversion provides a necessary basis on which the former can be compared with the results already demonstrated in our previous work [37]. That is, methane was almost completely converted to high-purity H2 and CO2 via sequential separation-driven steam methane reforming at temperatures up to 425 °C. In this study, we then investigate experimentally the conversion of methane in typical-composition biogas and focus on the temperature range between 300 and 425 °C, in which the conversion is relatively high. The continuous increase in methane conversion with temperature is attributed to the endothermic nature of the reforming reactions. The reaction kinetics are significantly enhanced at higher temperatures, facilitating the steam methane reforming process. Moreover, the adsorption thermodynamics and kinetics of hydrotalcite are improved, accelerating CO2 separation. This rapid CO2 removal shifts the reaction equilibrium towards higher methane conversion. For a biogas mixture with c/m ratio of 0.66 and total flow rate of 100 sccm, the methane conversion rate shown in Figure 4a is close to but slightly lower (by around 5 percentage points) than the values shown in Figure 3a. The difference could be accounted for primarily by the use of lower S/C ratios of 2.5 and 3, primarily for the purpose of lowering energy penalties for heating water to steam in excess of the theoretical S/C ratio of 2.0. Experimental studies of conventional methane reforming typically use S/C ratios between 3 and 4 to both promote methane conversion and avoid carbon coking on the reforming catalyst; however, this is at the cost of increased energy penalty for heating more water thus incurred. With even lower S/C ratios of 2.5 and 3, the conversion of methane is slightly impacted (by Le Chatelier’s principle) but the performance is still quite satisfactory, i.e., methane conversion reaches up to 88.9% at around 400 °C and approaches 97.1% at 425 °C. It can be projected that methane conversion shall reach 99% or higher at temperatures around 450 °C, but this temperature is beyond the upper limit of the working temperature range of the hydrotalcite adsorbent used in the reactor. As for the impact of S/C ratio, the S/C = 3 case exhibits conversions between 1 and 5 percentage points than that of the S/C = 2.5 case, the trend of which can be expected from the Le Chatelier’s principle, as well.
Among the methane converted at each temperature, the CO yield per cycle ranges from 0.05 to 0.12 mL, corresponding to a CO selectivity of 0.21–0.25%. As the temperature increases, the CO2 yield per cycle rises from 60.5 mL to 98.2 mL at the S/C of 3, with CO2 selectivity ranging from 99.75% to 99.79%. During the reaction process, CO and CO2 are the products of the methane reforming (Equation (1)) and the global SMR (Equation (3)), respectively. An excessive CO yield indicates an incomplete water–gas shift (WGS) reaction. Therefore, CO is an undesirable intermediate, and its suppression or elimination is crucial for maximizing hydrogen production. The high CO2 selectivity and low CO selectivity indicate a near-complete conversion of CO. This can be attributed to two factors: firstly, WGS is endothermic, and a reaction temperature of 200–400 °C favors its progression, and secondly, the separation of products CO2 and H2 during the reaction process drives the WGS equilibrium forward. Additionally, the high concentration of CO2 released during the regeneration of hydrotalcite facilitates the recovery of green CO2 from biogas. At 425 °C and an S/C ratio of 3, a CO2 capture of 1.88 kg-CO2/m3-feed can be achieved.
The production and yield of H2 are shown in Figure 4b. Corresponding to the differences in methane conversion, the difference in H2 production between the two S/C ratios of 2.5 and 3 is also small (i.e., less than 5%), and the trend in H2 yield resembles that of methane conversion shown in Figure 4a. This is due to the increased methane conversion at higher temperatures and the enhanced hydrogen permeation performances of the palladium membrane [46], facilitating higher high-purity H2 production. High-purity hydrogen production of 2.15 mol-H2/mol-feed is achieved with a hydrogen yield of 90% at 425 °C and an S/C ratio of 3. Notably, the hydrogen production and yield in Figure 4b refer to the high-purity hydrogen permeated through the palladium membrane. At 300 °C, the total hydrogen production (including the permeated hydrogen through the palladium membrane and residual hydrogen in the tail gas) is 82 mL, while the high-purity hydrogen yield is only 41 mL. As the temperature increases to 425 °C, the total hydrogen production reaches 233 mL, with the high-purity hydrogen yield increasing to 215 mL. Correspondingly, the high-purity hydrogen recovery rate increases from 50% at 300 °C to 92% at 425 °C. This improvement is attributed to the elevated hydrogen partial pressure in the reaction system at higher temperatures, coupled with the enhanced hydrogen permeability of the palladium membrane, leading to a higher hydrogen recovery rate.

4.2. Influence of Steam-to-Methane Ratio

The conversion performance of methane in biogas versus the S/C ratio is then investigated experimentally. It is well known that the steam-to-methane ratio plays an important role in promoting the conversion performances of methane in conventional SMR. Our study shows that the same trend holds for biogas also in terms of its methane conversion with respect to the S/C ratio. As shown in Figure 5a, methane conversion demonstrates a monotonic increase in the S/C ratio range between 2.0 and 4.0. In particular, the conversion increases by 4.6 percentage points when the S/C ratio increases from 2.0 to 2.5, while the increase magnitude is much smaller when the S/C ratio goes beyond 2.4. The possible reason for such behavior is likely that the S/C ratio of 2.0 (the theoretical stoichiometric coefficient of water in the global methane reforming reaction) is very low. Due to the tendency of methane decomposition and the Boudouard reaction (2CO = C + CO2) on nickel-based catalysts, using a stoichiometric or even lower S/C ratio will result in severe carbon deposition on the reforming catalysts [47,48,49]. Therefore, a higher S/C ratio favors a higher methane conversion rate. A higher steam flow rate promotes the SMR and the WGS reaction, increasing H2 and CO2 yields. However, when the steam flow exceeds a certain threshold (S/C ratio of 2.5), the amount of unreacted steam also increases, leading to a slight decrease in the partial pressures of hydrogen and CO2 in the product gas, adversely affecting product separation.
At different S/C ratios, the CO yield per cycle remains within the range of 0.12–0.14 mL, with a CO selectivity of 0.21–0.26%. As the S/C ratio increases, the CO2 yield per cycle rises from 95.0 mL to 98.5 mL, with CO2 selectivity ranging from 99.74% to 99.79%. In contrast to the trend observed in methane conversion, the CO2 selectivity at an S/C ratio of 2 shows no significant difference from that of the higher S/C ratios. This is because the mid-temperature falls within the optimal sorption performance of hydrotalcite, ensuring effective CO2 removal. This, in turn, shifts the equilibrium towards the WGS reaction according to Le Chatelier’s principle.
As for the production and yield of H2, both metrics show a similar trend of relative increase followed by a slow and barely noticeable decrease, with the peak values of both metrics corresponding to S/C ratios between 2.5 and 3.0. Similarly, the recovery of high-purity hydrogen exhibits a trend similar to that of hydrogen yield. At S/C ratios of 2.5 and 3.0, the hydrogen recovery on the palladium membrane side reaches its maximum value of 93%. This phenomenon can be attributed to a higher steam-to-carbon (S/C) ratio enhancing methane conversion. However, when the S/C ratio exceeds a certain threshold, excessive steam reduces the partial pressure of the products, thereby reducing the efficiency of product separation.

4.3. Influence of CO2/CH4 Ratio

The adverse impact of CO2 on the conversion of methane in biogas, as well as the wide range of CO2 variation in biogas, are two important and practical considerations for biogas conversion processes in reality. The same performance metrics of methane conversion and H2 production and yield, are then investigated with respect to the c/m ratio at different S/C ratios. In Figure 6a, it can be observed that there is a common trend of methane conversion monotonically decreasing versus the increasing c/m ratio. The reason is simply that by Le Chatelier’s principle, the presence of high concentration CO2 is in disfavor of the SMR reaction or the water–gas shift reaction moving in the forward direction. We then examine methane conversion at different S/C ratios. Similar to the trend shown in Figure 5a, it can be found that for every c/m ratio in the full range from 0 to 1, methane conversion shows a sharp increase when the S/C ratio increases from 2.0 to 2.5. An appropriate increase in steam flow rate enhances the reactant partial pressure, drives the reaction forward, and mitigates carbon deposition. However, an excessive steam supply beyond the stoichiometric requirement is energetically unfavorable and reduces the hydrogen content in the product. Figure 6a shows that methane conversion decreases progressively with the increase in c/m. Figure 6a demonstrates that the influence of the S/C ratio on CH4 conversion becomes more pronounced as the c/m increases; conversely, the influence is less pronounced at lower c/m values. This trend can be explained by the inhibitory effect of CO2 on both the SMR and WGS reactions. The elevated CO2 concentration in the reactant prevents the sorbent from fully and rapidly separating CO2, thus hindering methane conversion. The positive effect of a higher S/C ratio on enhancing the reactant partial pressure becomes more pronounced as the c/m ratio increases, thereby promoting methane conversion. Furthermore, at c/m values below 0.4, the relatively low CO2 concentration has a limited effect on CH4 conversion, resulting in SBR performance that resembles conventional SMR. Due to the timely separation of CO2 and H2 during the reaction, the CO selectivity increases slightly from 0.15% to 0.3% as the c/m ratio increases at the S/C ratio of 3.
The production of H2, as shown in Figure 6b, decreases with respect to the increasing c/m ratio for all S/C combinations; at each c/m ratio, i.e., for each group of columns at a given c/m value, the H2 production typically maximizes at an S/C ratio of 3.0, with one exception at 2.5 for the c/m = 0 (i.e., pure methane) case. The yield of H2 exhibits a generally decreasing trend with the increasing c/m ratio; at each given c/m value, however, the yield shows a trend similar to that of H2 production, i.e., maximizing at an S/C ratio of 3.0 for all except the c/m = 0 case (at S/C = 2.5). The high-purity hydrogen recovery on the palladium membrane side decreases from 93% to 90% as the c/m ratio increases, reaching a maximum of 93% at S/C ratios between 2.5 and 3. This agrees well with the findings disclosed in Figure 3, Figure 4 and Figure 5 that the optimum S/C ratio for the best performance of biogas conversion in terms of H2 production and yield is between 2.5 and 3, which is higher than that required for pure methane and is likely related to the high-CO2 content of biogas.

4.4. Energy Efficiency

The energy consumption performance of multi-product sequential separation-driven biogas reforming for hydrogen production is investigated in this section. Figure 7a illustrates the effect of temperature on the energy efficiency of hydrogen production. As the temperature increases from 300 °C to 425 °C, the energy efficiency rises from 15.13% to 65.64%. The energy input for hydrogen production primarily consists of the chemical energy of reactants, thermal energy for reaction/reactant preheating/hydrotalcite regeneration, and work for hydrogen separation. At lower reaction temperatures, the CH4 conversion rate is low, and a significant amount of biogas is discharged as tail gas from the reactor, resulting in a higher chemical energy input per unit of H2 production. Additionally, incomplete biogas conversion at lower temperatures increases energy loss for reactant preheating, particularly for steam preheating, which reduces overall energy efficiency. Furthermore, at 300 °C, the slow regeneration rate of hydrotalcite leads to higher energy consumption for CO2 desorption. As the temperature increases, CH4 conversion and H2 yield gradually improve, while the regeneration rate of hydrotalcite accelerates. The increased methane conversion also raises the hydrogen partial pressure inside the reactor, reducing the vacuum pump power consumption required per unit of hydrogen production.
Figure 7b illustrates the effect of the steam-to-methane (S/C) mole ratio and CO2/CH4 (c/m) mole ratio on H2 production energy efficiency. It can be observed that as the S/C ratio increases, energy efficiency first increases and then decreases. When the c/m molar ratio is 0 (corresponding to steam methane reforming), the maximum energy efficiency is achieved at an optimal S/C value of 2.5. Under a typical c/m mole ratio of 0.66 (40 vol% CO2 and 60 vol% CH4), the highest energy efficiency of 65.64% is obtained at an S/C ratio of 3. CO2 in biogas inhibits CH4 conversion, and appropriately increasing the reactant partial pressure (by increasing steam flow) promotes the forward reaction, thereby enhancing high-purity hydrogen production and energy efficiency. As the S/C ratio increases, CH4 conversion gradually improves. However, once the S/C ratio exceeds a specific value, the benefits of increasing the S/C ratio for CH4 conversion become negligible. Meanwhile, the amount of unreacted steam increases, reducing the hydrogen partial pressure in the reaction system and leading to a decline in H2 recovery. The minimal difference in energy efficiency between S/C ratios of 2.5 and 3 can also be attributed to the fact that while steam promotes the reaction, it simultaneously reduces the partial pressure of hydrogen. Figure 7b also demonstrates that energy efficiency decreases as the c/m molar ratio increases. Because of a higher CO2 content, methane steam reforming and water–gas shift reactions are inhibited, reducing H2 yield. Additionally, a higher CO2 ratio results in increased preheating energy consumption. For example, when the c/m ratio is 1 (50 vol% CO2 and 50 vol% CH4), the reactant preheating energy consumption is 3.6% higher than that at a c/m ratio of 0.66 (40 vol% CO2 and 60 vol% CH4).
The multi-product sequential separation SBR hydrogen production method proposed in this study achieves a high methane conversion rate and high-purity H2 yield under mild conditions. Figure 7c,d compares the energy efficiency of this method with that of conventional biogas reforming for hydrogen production, where the conventional method incorporates PSA-based physical hydrogen separation. Both H2 production methods have the same initial conditions of 25 °C and 1 bar, with CO2/CH4 molar ratios of 0.66 and 1 in the biogas feed. The reference system operates at a conventional biogas reforming temperature of 700 °C, while the reforming temperature in this study is 425 °C. Since the reference system adopts an S/C ratio of 4, the results in this study for an equivalent S/C ratio of 4 are used for comparison. PSA technology is assumed to recover 85.05% of the original hydrogen in the conventional biogas reforming process. Additionally, a conventional biogas reforming system with CO2 capture is included as a reference case, utilizing commercially mature amine-based capture systems with a CO2 capture energy consumption of 2.413 GJ/t-CO2 [50]. The proposed hydrogen production method in this study demonstrates significant advantages in both hydrogen yield and energy efficiency. The energy efficiency of this method is 7–8 percentage points higher than that of conventional SBR and 10–12 percentage points higher than that of conventional SBR with CO2 capture.

5. Conclusions

We proposed a novel multi-product sequential separation-driven steam biogas reforming method for renewable hydrogen production and demonstrated its effectiveness in addressing critical challenges in conventional biogas conversion to hydrogen. Two key indicators including biogas conversion and hydrogen production are chosen as performance metrics. Systematic experimental studies on the effects of reaction temperature, steam-to-methane ratio, and CO2/CH4 molar ratio on the two indicators show that at 425 °C, the proposed method achieves impressively high conversion (97% biomethane conversion), H2 production up to 2.15 mol-H2/mol-feed, and high-purity (>99 vol%) H2 yield up to 90%. The first-law energy conversion efficiency reaches 65.6% at the same temperature, about 11 percentage points higher than that of conventional biogas reforming methods, which is primarily due to the relatively low steam-to-methane ratio of 3 employed. Under varying CO2/CH4 molar ratios of the biogas feed, a methane conversion rate of over 96% is consistently achieved, demonstrating the broad adaptability and effectiveness of this method for hydrogen production from biogas with different CO2 concentrations. This method also demonstrates a CO2 reduction capability of 1.88 kg-CO2/m3-feed with a CO2 capture rate of 96%, enabling the production of sustainable hydrogen with negative carbon emission from biogas. The mild reaction conditions of the proposed method offer significant potential for utilizing industrial waste heat, solar thermal energy, and other low-carbon footprint heat sources as alternatives to the combustion-based heat supply used in conventional methods. This study provides a promising pathway for achieving low-cost, sustainable hydrogen production in the near- to mid-term future.

Author Contributions

Conceptualization, investigation, methodology, data curation, formal analysis, writing—original draft, writing—review and editing, B.W.; investigation, methodology, data curation, formal analysis, writing—original draft, Y.S.; formal analysis, writing—original draft, L.Y.; writing—original draft, K.G.; writing—original draft, X.L.; writing—original draft, M.S.; conceptualization, writing—review and editing, supervision, Y.H. All authors have read and agreed to the published version of the manuscript.

Funding

This work is supported by the Basic Science Center Program for Ordered Energy Conversion of the National Natural Science Foundation of China (No. 52488201).

Data Availability Statement

The original contributions presented in this study are included in the article. Further inquiries can be directed to the corresponding author.

Conflicts of Interest

The authors declare no conflict of interest.

References

  1. Singh, S.B.; Hajare, P.; Konwar, R.J.; De, M. Physically and chemically modified zeolite templated nitrogenous carbons for enhanced hydrogen adsorption. FlatChem 2024, 48, 100767. [Google Scholar] [CrossRef]
  2. Singh, S.B.; De, M. Thermally exfoliated graphene oxide for hydrogen storage. Mater. Chem. Phys. 2020, 239, 122102. [Google Scholar]
  3. IEA. Global Hydrogen Review 2024; IEA: Paris, France, 2024. [Google Scholar]
  4. Wang, Z.; Gong, Z.; Turap, Y.; Wang, Y.; Zhang, Z.; Wang, W. Renewable hydrogen production from biogas using iron-based chemical looping technology. Chem. Eng. J. 2022, 429, 132192. [Google Scholar]
  5. Veiga, S.; Romero, M.; Faccio, R.; Segobia, D.; Apesteguía, C.; Pérez, A.L.; Dante Brondino, C.; Bussi, J. Biogas dry reforming over Ni-La-Ti catalysts for synthesis gas production: Effects of preparation method and biogas composition. Fuel 2023, 346, 128300. [Google Scholar]
  6. Bórawski, P.; Bełdycka-Bórawska, A.; Kapsdorferová, Z.; Rokicki, T.; Parzonko, A.; Holden, L. Perspectives of Electricity Production from Biogas in the European Union. Energies 2024, 17, 1169. [Google Scholar] [CrossRef]
  7. Scarlat, N.; Dallemand, J.-F.; Fahl, F. Biogas: Developments and perspectives in Europe. Renew. Energy 2018, 129, 457–472. [Google Scholar]
  8. Alengebawy, A.; Mohamed, B.A.; Ghimire, N.; Jin, K.; Liu, T.; Samer, M.; Ai, P. Understanding the environmental impacts of biogas utilization for energy production through life cycle assessment: An action towards reducing emissions. Environ. Res. 2022, 213, 113632. [Google Scholar]
  9. Di Marcoberardino, G.; Foresti, S.; Binotti, M.; Manzolini, G. Potentiality of a biogas membrane reformer for decentralized hydrogen production. Chem. Eng. Process. Process Intensif. 2018, 129, 131–141. [Google Scholar]
  10. Madeira, J.G.F.; Oliveira, E.M.; Springer, M.V.; Cabral, H.L.; do Carmo Barbeito, D.F.; Souza, A.P.G.; da Silva Moura, D.A.; Delgado, A.R.S. Hydrogen production from swine manure biogas via steam reforming of methane (SRM) and water gas shift (WGS): A ecological, technical, and economic analysis. Int. J. Hydrogen Energy 2021, 46, 8961–8971. [Google Scholar]
  11. Corrente, M.V.; Manfro, R.L.; Souza, M.M.V.M. Hydrogen production by biogas reforming using Ni/MgO-Al2O3 catalysts. Fuel 2024, 368, 131561. [Google Scholar]
  12. Antonini, C.; Treyer, K.; Streb, A.; van der Spek, M.; Bauer, C.; Mazzotti, M. Hydrogen production from natural gas and biomethane with carbon capture and storage—A techno-environmental analysis. Sustain. Energy Fuels 2020, 4, 2967–2986. [Google Scholar]
  13. Cho, H.H.; Strezov, V.; Evans, T.J. A review on global warming potential, challenges and opportunities of renewable hydrogen production technologies. Sustain. Mater. Technol. 2023, 35, e00567. [Google Scholar]
  14. IEA. Global Hydrogen Review 2023; IEA: Paris, France, 2023. [Google Scholar]
  15. Ishaq, H.; Dincer, I.; Crawford, C. A review on hydrogen production and utilization: Challenges and opportunities. Int. J. Hydrogen Energy 2022, 47, 26238–26264. [Google Scholar]
  16. Farhana, K.; Mahamude, A.S.F.; Kadirgama, K. Comparing hydrogen fuel cost of production from various sources—A competitive analysis. Energy Convers. Manag. 2024, 302, 118088. [Google Scholar]
  17. Yue, M.; Lambert, H.; Pahon, E.; Roche, R.; Jemei, S.; Hissel, D. Hydrogen energy systems: A critical review of technologies, applications, trends and challenges. Renew. Sustain. Energy Rev. 2021, 146, 111180. [Google Scholar]
  18. Rosa, L.; Mazzotti, M. Potential for hydrogen production from sustainable biomass with carbon capture and storage. Renew. Sustain. Energy Rev. 2022, 157, 112123. [Google Scholar] [CrossRef]
  19. Gadirli, G.; Pilarska, A.A.; Dach, J.; Pilarski, K.; Kolasa-Więcek, A.; Borowiak, K. Fundamentals, Operation and Global Prospects for the Development of Biogas Plants—A Review. Energies 2024, 17, 568. [Google Scholar] [CrossRef]
  20. Kumar, R.; Kumar, A.; Pal, A. Overview of hydrogen production from biogas reforming: Technological advancement. Int. J. Hydrogen Energy 2022, 47, 34831–34855. [Google Scholar]
  21. Di Giuliano, A.; Gallucci, K. Sorption enhanced steam methane reforming based on nickel and calcium looping: A review. Chem. Eng. Process. Process Intensif. 2018, 130, 240–252. [Google Scholar]
  22. Peng, X.; Jin, Q. Molecular simulation of methane steam reforming reaction for hydrogen production. Int. J. Hydrogen Energy 2022, 47, 7569–7585. [Google Scholar]
  23. Usman, M.; Wan Daud, W.M.A.; Abbas, H.F. Dry reforming of methane: Influence of process parameters—A review. Renew. Sustain. Energy Rev. 2015, 45, 710–744. [Google Scholar] [CrossRef]
  24. Tuna, C.E.; Silveira, J.L.; da Silva, M.E.; Boloy, R.M.; Braga, L.B.; Pérez, N.P. Biogas steam reformer for hydrogen production: Evaluation of the reformer prototype and catalysts. Int. J. Hydrogen Energy 2018, 43, 2108–2120. [Google Scholar]
  25. Chouhan, K.; Sinha, S.; Kumar, S.; Kumar, S. Simulation of steam reforming of biogas in an industrial reformer for hydrogen production. Int. J. Hydrogen Energy 2021, 46, 26809–26824. [Google Scholar]
  26. Minh, D.P.; Siang, T.J.; Vo, D.-V.N.; Phan, T.S.; Ridart, C.; Nzihou, A.; Grouset, D. Chapter 4—Hydrogen Production From Biogas Reforming: An Overview of Steam Reforming, Dry Reforming, Dual Reforming, and Tri-Reforming of Methane. In Hydrogen Supply Chains; Azzaro-Pantel, C., Ed.; Academic Press: Cambridge, MA, USA, 2018; pp. 111–166. [Google Scholar]
  27. Phan, T.S.; Minh, D.P.; Espitalier, F.; Nzihou, A.; Grouset, D. Hydrogen production from biogas: Process optimization using ASPEN Plus®. Int. J. Hydrogen Energy 2022, 47, 42027–42039. [Google Scholar]
  28. Phromprasit, J.; Powell, J.; Wongsakulphasatch, S.; Kiatkittipong, W.; Bumroongsakulsawat, P.; Assabumrungrat, S. Activity and stability performance of multifunctional catalyst (Ni/CaO and Ni/Ca12Al14O33CaO) for bio-hydrogen production from sorption enhanced biogas steam reforming. Int. J. Hydrogen Energy 2016, 41, 7318–7331. [Google Scholar]
  29. Abanades, J.C.; Grasa, G. Production of a syngas and CaO by desorption-enhanced reverse water–gas shift of CaCO3 with H2. Chem. Eng. J. 2024, 493, 152191. [Google Scholar]
  30. Gapp, E.; Pfeifer, P. Membrane reactors for hydrogen production from renewable energy sources. Curr. Opin. Green Sustain. Chem. 2023, 41, 100800. [Google Scholar]
  31. Phromprasit, J.; Powell, J.; Wongsakulphasatch, S.; Kiatkittipong, W.; Bumroongsakulsawat, P.; Assabumrungrat, S. H2 production from sorption enhanced steam reforming of biogas using multifunctional catalysts of Ni over Zr-, Ce- and La-modified CaO sorbents. Chem. Eng. J. 2017, 313, 1415–1425. [Google Scholar] [CrossRef]
  32. Dang, C.; Xia, H.; Yuan, S.; Wei, X.; Cai, W. Green hydrogen production from sorption-enhanced steam reforming of biogas over a Pd/Ni–CaO-mayenite multifunctional catalyst. Renew. Energy 2022, 201, 314–322. [Google Scholar]
  33. Capa, A.; García, R.; Chen, D.; Rubiera, F.; Pevida, C.; Gil, M.V. On the effect of biogas composition on the H2 production by sorption enhanced steam reforming (SESR). Renew. Energy 2020, 160, 575–583. [Google Scholar]
  34. García, R.; Gil, M.V.; Rubiera, F.; Chen, D.; Pevida, C. Renewable hydrogen production from biogas by sorption enhanced steam reforming (SESR): A parametric study. Energy 2021, 218, 119491. [Google Scholar] [CrossRef]
  35. Ruales, H.B.T.; Italiano, C.; Vita, A.; Iulianelli, A. Low impact emissions H2 production via biogas steam reforming in a foam structured membrane reactor: Energy efficiency and exergy analyses, and H2 production cost assessment. Energy Convers. Manag. 2025, 326, 119504. [Google Scholar] [CrossRef]
  36. Ongis, M.; Di Marcoberardino, G.; Baiguini, M.; Gallucci, F.; Binotti, M. Optimization of Small-Scale Hydrogen Production with Membrane Reactors. Membranes 2023, 13, 331. [Google Scholar] [CrossRef] [PubMed]
  37. Ongis, M.; Di Marcoberardino, G.; Manzolini, G.; Gallucci, F.; Binotti, M. Membrane reactors for green hydrogen production from biogas and biomethane: A techno-economic assessment. Int. J. Hydrogen Energy 2023, 48, 19580–19595. [Google Scholar]
  38. Ongis, M.; Baiguini, M.; Di Marcoberardino, G.; Gallucci, F.; Binotti, M. Techno-economic analysis for the design of membrane reactors in a small-scale biogas-to-hydrogen plant. Int. J. Hydrogen Energy 2025, 101, 887–903. [Google Scholar] [CrossRef]
  39. Roy, P.S.; Park, C.S.; Raju, A.S.K.; Kim, K. Steam-biogas reforming over a metal-foam-coated (Pd–Rh)/(CeZrO2–Al2O3) catalyst compared with pellet type alumina-supported Ru and Ni catalysts. J. CO2 Util. 2015, 12, 12–20. [Google Scholar] [CrossRef]
  40. Saebea, D.; Authayanun, S.; Patcharavorachot, Y.; Arpornwichanop, A. Enhancement of Hydrogen Production for Steam Reforming of Biogas in Fluidized Bed Membrane Reactor. Chem. Eng. Trans. 2014, 39, 1177–1182. [Google Scholar]
  41. Ling, Y.; Wang, H.; Liu, M.; Wang, B.; Li, S.; Zhu, X.; Shi, Y.; Xia, H.; Guo, K.; Hao, Y.; et al. Sequential separation-driven solar methane reforming for H2 derivation under mild conditions. Energy Environ. Sci. 2022, 15, 1861–1871. [Google Scholar]
  42. Kumar, R.; Kumar, A. Recent advances of biogas reforming for hydrogen production: Methods, purification, utility and techno-economics analysis. Int. J. Hydrogen Energy 2024, 76, 108–140. [Google Scholar]
  43. van den Broek, M.; Berghout, N.; Rubin, E.S. The potential of renewables versus natural gas with CO2 capture and storage for power generation under CO2 constraints. Renew. Sustain. Energy Rev. 2015, 49, 1296–1322. [Google Scholar]
  44. Sultan, H.; Muhammad, H.A.; Bhatti, U.H.; Min, G.H.; Baek, I.H.; Baik, Y.-J.; Nam, S.C. Reducing the efficiency penalty of carbon dioxide capture and compression process in a natural gas combined cycle power plant by process modification and liquefied natural gas cold energy integration. Energy Convers. Manag. 2021, 244, 114495. [Google Scholar]
  45. Roine, A. HSC Chemistry 5.11; Outokumpu Research Oy: Pori, Finland, 2002. [Google Scholar]
  46. Wei, L.; Hu, X.; Yu, J.; Huang, Y. Aluminizing and oxidation treatments on the porous stainless steel substrate for preparation of H2-permeable composite palladium membranes. Int. J. Hydrogen Energy 2014, 39, 18618–18624. [Google Scholar]
  47. Pashchenko, D.; Makarov, I. Carbon deposition in steam methane reforming over a Ni-based catalyst: Experimental and thermodynamic analysis. Energy 2021, 222, 119993. [Google Scholar]
  48. Xu, J.; Yeung, C.M.Y.; Ni, J.; Meunier, F.; Acerbi, N.; Fowles, M.; Tsang, S.C. Methane steam reforming for hydrogen production using low water-ratios without carbon formation over ceria coated Ni catalysts. Appl. Catal. A Gen. 2008, 345, 119–127. [Google Scholar]
  49. Effendi, A.; Zhang, Z.-G.; Hellgardt, K.; Honda, K.; Yoshida, T. Steam reforming of a clean model biogas over Ni/Al2O3 in fluidized- and fixed-bed reactors. Catal. Today 2002, 77, 181–189. [Google Scholar]
  50. Park, H.; Lee, J.; Yun, S.; Kim, J.-K. Energy-efficient process design and optimization of the absorption-based CO2 capture process with a low-pressure flash column for the SMR-based hydrogen production plant. Energy Convers. Manag. 2025, 325, 119416. [Google Scholar]
Figure 1. Schematic diagram of the arrangement of the catalyst and hydrotalcite.
Figure 1. Schematic diagram of the arrangement of the catalyst and hydrotalcite.
Energies 18 01804 g001
Figure 2. Experimental schematic diagram for steam biogas reforming.
Figure 2. Experimental schematic diagram for steam biogas reforming.
Energies 18 01804 g002
Figure 3. Thermodynamic analysis of SMR and SBR. (a) Effect of temperature on the CH4 conversion rate; (b) Evolvement of both reactant and product species of SMR without separation; (c) Evolvement of both reactant and product species of SBR without separation (CO2/CH4 mole ratio: 0.66, S/C mole ratio: 4).
Figure 3. Thermodynamic analysis of SMR and SBR. (a) Effect of temperature on the CH4 conversion rate; (b) Evolvement of both reactant and product species of SMR without separation; (c) Evolvement of both reactant and product species of SBR without separation (CO2/CH4 mole ratio: 0.66, S/C mole ratio: 4).
Energies 18 01804 g003
Figure 4. Influence of temperature on the multi-product separation SBR (S/C of 2.5 and 3, CO2/CH4 ratio of 0.66, 1 bar). (a) CH4 conversion; (b) H2 production and H2 yield.
Figure 4. Influence of temperature on the multi-product separation SBR (S/C of 2.5 and 3, CO2/CH4 ratio of 0.66, 1 bar). (a) CH4 conversion; (b) H2 production and H2 yield.
Energies 18 01804 g004
Figure 5. Influence of steam-to-methane ratio on the multi-product separation SBR (425 °C, 1 bar, CO2/CH4 ratio of 0.66). (a) CH4 conversion; (b) H2 production and H2 yield.
Figure 5. Influence of steam-to-methane ratio on the multi-product separation SBR (425 °C, 1 bar, CO2/CH4 ratio of 0.66). (a) CH4 conversion; (b) H2 production and H2 yield.
Energies 18 01804 g005
Figure 6. Influence of CO2/CH4 ratio on the multi-product separation SBR (425 °C, 1 bar). (a) CH4 conversion; (b) H2 production and H2 yield.
Figure 6. Influence of CO2/CH4 ratio on the multi-product separation SBR (425 °C, 1 bar). (a) CH4 conversion; (b) H2 production and H2 yield.
Energies 18 01804 g006
Figure 7. Energy efficiency of hydrogen production of multi-product sequential separation SBR. (a) Influence of reaction temperature; (b) Influence of S/C ratio and CO2/CH4 ratio; (c) Comparison of energy efficiency of H2 production between conventional SBR and this method; (d) Comparison of CH4 conversion and H2 yield between conventional SBR and this method.
Figure 7. Energy efficiency of hydrogen production of multi-product sequential separation SBR. (a) Influence of reaction temperature; (b) Influence of S/C ratio and CO2/CH4 ratio; (c) Comparison of energy efficiency of H2 production between conventional SBR and this method; (d) Comparison of CH4 conversion and H2 yield between conventional SBR and this method.
Energies 18 01804 g007
Table 1. Summary of typical parameters for the three main steam biogas reforming methods.
Table 1. Summary of typical parameters for the three main steam biogas reforming methods.
MethodsBiogas CompositionReaction Temperature (°C)Regeneration Temperature (°C)CH4 ConversionH2 YieldCO2 Capture
(kg-CO2/m3-Feed)
Ref.
Conventional SBR60% CH4 + 40% CO2700*88%69%No[25]
Conventional SBR60% CH4 + 40% CO2800*90%71%No[39]
Sorption-enhanced60% CH4 + 40% CO2550-94%85%1.78[34]
Sorption-enhanced60% CH4 + 40% CO260085091%90%1.85[28]
Membrane60% CH4 + 40% CO2500*74%55%No[35]
Membrane60% CH4 + 40% CO2600*71%58%No[40]
*: represents that the SBR method does not require a regeneration process. -: represents that value cannot be obtained directly in the literature or cannot be obtained by calculation. No: represents that the process does not capture CO2.
Disclaimer/Publisher’s Note: The statements, opinions and data contained in all publications are solely those of the individual author(s) and contributor(s) and not of MDPI and/or the editor(s). MDPI and/or the editor(s) disclaim responsibility for any injury to people or property resulting from any ideas, methods, instructions or products referred to in the content.

Share and Cite

MDPI and ACS Style

Wang, B.; Shao, Y.; Yang, L.; Guo, K.; Li, X.; Sun, M.; Hao, Y. Sustainable Hydrogen Production with Negative Carbon Emission Through Thermochemical Conversion of Biogas/Biomethane. Energies 2025, 18, 1804. https://doi.org/10.3390/en18071804

AMA Style

Wang B, Shao Y, Yang L, Guo K, Li X, Sun M, Hao Y. Sustainable Hydrogen Production with Negative Carbon Emission Through Thermochemical Conversion of Biogas/Biomethane. Energies. 2025; 18(7):1804. https://doi.org/10.3390/en18071804

Chicago/Turabian Style

Wang, Bin, Yu Shao, Lingzhi Yang, Ke Guo, Xiao Li, Mengzhu Sun, and Yong Hao. 2025. "Sustainable Hydrogen Production with Negative Carbon Emission Through Thermochemical Conversion of Biogas/Biomethane" Energies 18, no. 7: 1804. https://doi.org/10.3390/en18071804

APA Style

Wang, B., Shao, Y., Yang, L., Guo, K., Li, X., Sun, M., & Hao, Y. (2025). Sustainable Hydrogen Production with Negative Carbon Emission Through Thermochemical Conversion of Biogas/Biomethane. Energies, 18(7), 1804. https://doi.org/10.3390/en18071804

Note that from the first issue of 2016, this journal uses article numbers instead of page numbers. See further details here.

Article Metrics

Back to TopTop