Review of Data-Driven Approaches Applied to Time-Series Solar Irradiance Forecasting for Future Energy Networks
Abstract
1. Introduction
1.1. Time-Series Solar Irradiance Forecasting
1.2. Classification
2. Classical Methods Based on Statistical Models
2.1. Autoregressive Model
- Value of the time series at time t;
- c:
- Constant (intercept) term;
- p:
- Order of the autoregression (number of lags);
- Autoregressive coefficients;
- Lag-i observation;
- White noise error term at time t with , .
2.2. Moving-Average Model
- Mean of the time series ();
- Moving-average coefficient.
2.3. Autoregressive–Moving-Average Model
2.4. Autoregressive Integrated Moving-Average Model
- d:
- Order of differencing;
- L:
- Lag operator ();
- Original time series value at time t.
2.5. Autoregressive Conditional Heteroskedasticity Model
- Observed value at time t;
- Constant mean of ;
- Residual error at time t;
- Conditional variance;
- Standardized shock with , ;
- Constant term ();
- ARCH coefficient for lag i ();
- q:
- Order of ARCH terms;
- Squared residual at lag i.
2.6. Vector Autoregression Model
- Value of the j-th variable at time t ().
- Solar irradiance at time t (primary variable, W/m2).
- Exogenous variables (temperature, humidity, pressure, etc.).
- Intercept term for the j-th equation (constant).
- p:
- Order of VAR model (number of lagged observations used).
- Coefficient matrix element, effect of variable l at lag i on variable j.
- Value of l-th variable at time , lag .
- White noise error for j-th variable, , .
- k:
- Total number of variables in the system.
2.7. Time-Varying Autoregressive Model
- Value at time t;
- c:
- Intercept term;
- Time-varying autoregressive coefficient for lag i;
- p:
- Model order;
- Lagged observation at time ;
- White noise error term.
2.8. Lasso Regression Model
- Time series value at time t (target to predict);
- Lagged value at time (predictor for lag j);
- Intercept term;
- Coefficient for the j-th lag ;
- n:
- Total observations in the time series;
- p:
- Maximum lag order (number of lagged predictors);
- Regularization (tuning) parameter;
- Effective sample size (first prediction starts at ).
3. Machine Learning Approach
3.1. Feedforward Neural Network Model
- Input vector of p lagged values.
- Weights and biases for layer l.
- Activation functions at layer l.
- L:
- Number of hidden layers.
- Predicted value at time t.
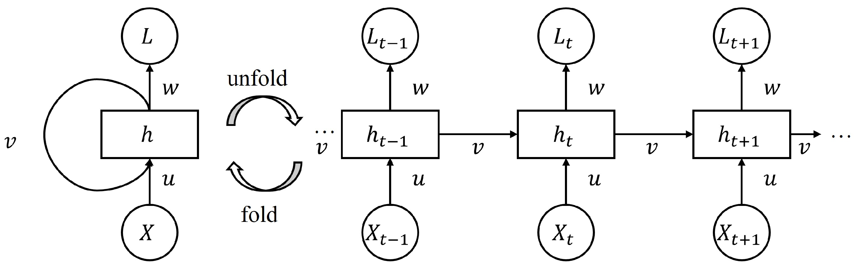
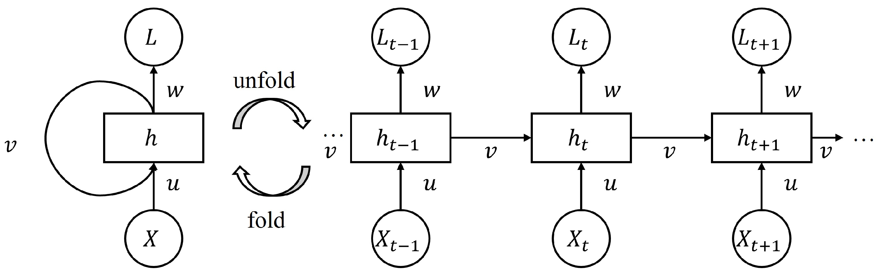
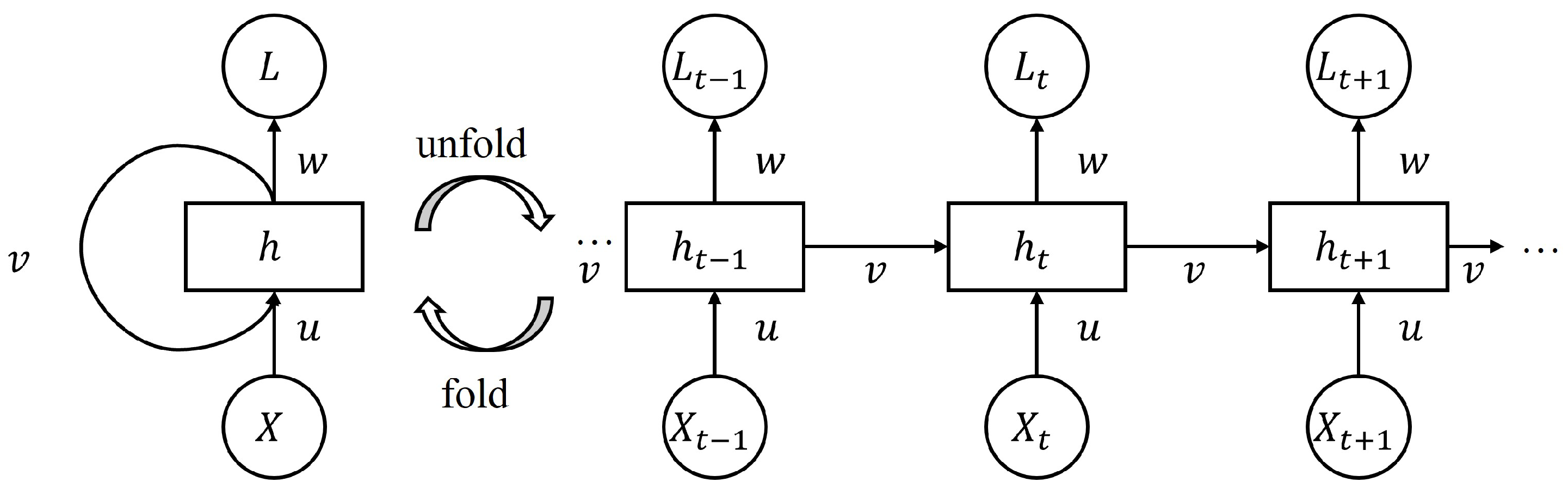
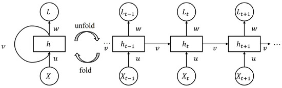
3.2. Recurrent Neural Network Model
- Input value at time t.
- Hidden state vector at time t.
- Previous hidden state at time .
- Activation function.
- u:
- Weight matrix for input to hidden state.
- w:
- Weight matrix for hidden state to next hidden state.
- Bias vector for hidden layer.
- v:
- Weight matrix for hidden state to output.
- Output bias term.
- Predicted value for next time step .
3.3. Long Short-Term Memory Model
- Input vector at time t.
- Hidden state vector at time t.
- Previous hidden state from time .
- Cell state vector (long-term memory).
- Previous cell state from time .
- Forget gate activation vector, values in [0,1].
- Input gate activation vector, values in [0,1].
- Output gate activation vector, values in [0,1].
- Candidate cell state vector.
- Weight matrices.
- Bias vectors.
- Output weight matrix.
- Output bias scalar.
- Sigmoid activation: , output range [0,1].
- Hyperbolic tangent: , output range [−1,1].
- ⊙
- Element-wise product operation.
- Predicted irradiance at time t (W/m2).
3.4. Bidirectional Long Short-Term Memory Model
- Input at time t;
- Forward hidden state (past to future context);
- Backward hidden state (future to past context);
- Forward pass weights/biases;
- Backward pass weights/biases;
- Output layer parameters;
- Prediction at time t.
3.5. Convolutional Neural Network Model
- w:
- Input window size;
- k:
- Kernel size;
- s:
- Stride/Pool size;
- ∗:
- Convolution operation;
- Learnable kernel weights;
- Bias term in layer l;
- Activation function ReLU;
- Maximum value pooling operation;
- Predicted value for the next time step.
3.6. Graph Neural Network Model
- Graph structure representing the solar sensor network.
- Set of nodes (vertices), nodes (sensor locations).
- Set of edges, edges (spatial connections).
- Node feature matrix.
- Hidden representation of node i at layer l.
- Updated representation of node i at layer .
- Set of neighbor nodes connected to node i.
- Number of neighbors for node i (node degree).
- Weight matrix at layer l.
- Bias vector at layer l.
- Attention weight from node j to node i, .
- Attention parameter vector (learnable).
- ‖:
- Concatenation operation for attention computation.
- Leaky rectified linear unit with negative slope 0.2.
- Graph-level output at time t for all nodes.
- Activation function (typically ReLU or sigmoid).
3.7. Transformer
- Input sequence matrix.
- T:
- Sequence length (number of time steps).
- Model dimension (hidden state size).
- Positional encoding for position t.
- Query, Key, Value matrices at layer l.
- Dimension of keys and values, .
- h:
- Number of attention heads for multi-head attention.
- Projection matrices.
- Attention output matrix.
- Scaling factor to prevent gradient saturation.
- Row-wise softmax normalization.
- Concatenation of h attention heads.
- Layer normalization with learnable parameters.
- Feedforward network: .
- First FFN weight matrix.
- Second FFN weight matrix.
- Feedforward dimension (typically ).
- N:
- Number of encoder/decoder layers.
- Causal mask matrix preventing attention to future positions.
- Final output projection parameters.
- Output predictions.
3.8. Hybrid Network
4. Comparative Discussions
5. Conclusions
Funding
Data Availability Statement
Conflicts of Interest
References
- Yang, D.; Dong, Z. Operational photovoltaics power forecasting using seasonal time series ensemble. Sol. Energy 2018, 166, 529–541. [Google Scholar] [CrossRef]
- Xiao, W. Photovoltaic Power System: Modeling, Design and Control, 1st ed.; Wiley: Hoboken, NJ, USA, 2017. [Google Scholar]
- Wang, H.; Liu, Y.; Zhou, B.; Li, C.; Cao, G.; Voropai, N.; Barakhtenko, E. Taxonomy research of artificial intelligence for deterministic solar power forecasting. Energy Convers. Manag. 2020, 214, 112909. [Google Scholar] [CrossRef]
- Impram, S.; Varbak Nese, S.; Oral, B. Challenges of renewable energy penetration on power system flexibility: A survey. Energy Strategy Rev. 2020, 31, 100539. [Google Scholar] [CrossRef]
- Ahmed, S.D.; Al-Ismail, F.S.M.; Shafiullah, M.; Al-Sulaiman, F.A.; El-Amin, I.M. Grid Integration Challenges of Wind Energy: A Review. IEEE Access 2020, 8, 10857–10878. [Google Scholar] [CrossRef]
- Lei, X.; Zhong, J.; Chen, Y.; Shao, Z.; Jian, L. Grid integration of electric vehicles within electricity and carbon markets: A comprehensive overview. eTransportation 2025, 25, 100435. [Google Scholar] [CrossRef]
- Sampath Kumar, D.; Gandhi, O.; Rodríguez-Gallegos, C.D.; Srinivasan, D. Review of power system impacts at high PV penetration Part II: Potential solutions and the way forward. Sol. Energy 2020, 210, 202–221. [Google Scholar] [CrossRef]
- Ahmad, S.; Shafiullah, M.; Ahmed, C.B.; Alowaifeer, M. A Review of Microgrid Energy Management and Control Strategies. IEEE Access 2023, 11, 21729–21757. [Google Scholar] [CrossRef]
- Jiao, X.; Yang, T.; Li, X.; Ding, S.; Xiao, W. A DC Side Power Ramp Rate Control Strategy for High Performance and Low Cost PV Systems. CPSS Trans. Power Electron. Appl. 2023, 8, 128–136. [Google Scholar] [CrossRef]
- Sukumar, S.; Marsadek, M.; Agileswari, K.; Mokhlis, H. Ramp-rate control smoothing methods to control output power fluctuations from solar photovoltaic (PV) sources—A review. J. Energy Storage 2018, 20, 218–229. [Google Scholar] [CrossRef]
- Akram, U.; Nadarajah, M.; Shah, R.; Milano, F. A review on rapid responsive energy storage technologies for frequency regulation in modern power systems. Renew. Sustain. Energy Rev. 2020, 120, 109626. [Google Scholar] [CrossRef]
- Kebede, A.A.; Kalogiannis, T.; Van Mierlo, J.; Berecibar, M. A comprehensive review of stationary energy storage devices for large scale renewable energy sources grid integration. Renew. Sustain. Energy Rev. 2022, 159, 112213. [Google Scholar] [CrossRef]
- Das, U.K.; Tey, K.S.; Seyedmahmoudian, M.; Mekhilef, S.; Idris, M.Y.I.; Van Deventer, W.; Horan, B.; Stojcevski, A. Forecasting of photovoltaic power generation and model optimization: A review. Renew. Sustain. Energy Rev. 2018, 81, 912–928. [Google Scholar] [CrossRef]
- Sweeney, C.; Bessa, R.J.; Browell, J.; Pinson, P. The future of forecasting for renewable energy. WIREs Energy Environ. 2020, 9, e365. [Google Scholar] [CrossRef]
- Diagne, M.; David, M.; Lauret, P.; Boland, J.; Schmutz, N. Review of solar irradiance forecasting methods and a proposition for small-scale insular grids. Renew. Sustain. Energy Rev. 2013, 27, 65–76. [Google Scholar] [CrossRef]
- Antonanzas, J.; Osorio, N.; Escobar, R.; Urraca, R.; de Pison, F.M.; Antonanzas-Torres, F. Review of photovoltaic power forecasting. Sol. Energy 2016, 136, 78–111. [Google Scholar] [CrossRef]
- Lauret, P.; David, M.; Pedro, H.T.C. Probabilistic Solar Forecasting Using Quantile Regression Models. Energies 2017, 10, 1591. [Google Scholar] [CrossRef]
- Huang, Q.; Wei, S. Improved quantile convolutional neural network with two-stage training for daily-ahead probabilistic forecasting of photovoltaic power. Energy Convers. Manag. 2020, 220, 113085. [Google Scholar] [CrossRef]
- Voyant, C.; Notton, G.; Kalogirou, S.; Nivet, M.L.; Paoli, C.; Motte, F.; Fouilloy, A. Machine learning methods for solar radiation forecasting: A review. Renew. Energy 2017, 105, 569–582. [Google Scholar] [CrossRef]
- Box, G.E.P.; Jenkins, G. Time Series Analysis, Forecasting and Control; Holden-Day, Inc.: San Francisco, CA, USA, 1990. [Google Scholar]
- Reikard, G. Predicting solar radiation at high resolutions: A comparison of time series forecasts. Sol. Energy 2009, 83, 342–349. [Google Scholar] [CrossRef]
- Pedro, H.T.; Coimbra, C.F. Assessment of forecasting techniques for solar power production with no exogenous inputs. Sol. Energy 2012, 86, 2017–2028. [Google Scholar] [CrossRef]
- Ahmed, R.; Sreeram, V.; Mishra, Y.; Arif, M. A review and evaluation of the state-of-the-art in PV solar power forecasting: Techniques and optimization. Renew. Sustain. Energy Rev. 2020, 124, 109792. [Google Scholar] [CrossRef]
- Qing, X.; Niu, Y. Hourly day-ahead solar irradiance prediction using weather forecasts by LSTM. Energy 2018, 148, 461–468. [Google Scholar] [CrossRef]
- Wang, K.; Qi, X.; Liu, H. Photovoltaic power forecasting based LSTM-Convolutional Network. Energy 2019, 189, 116225. [Google Scholar] [CrossRef]
- Si, Z.; Yang, M.; Yu, Y.; Ding, T. Photovoltaic power forecast based on satellite images considering effects of solar position. Appl. Energy 2021, 302, 117514. [Google Scholar] [CrossRef]
- Khodayar, M.; Wang, J. Spatio-Temporal Graph Deep Neural Network for Short-Term Wind Speed Forecasting. IEEE Trans. Sustain. Energy 2019, 10, 670–681. [Google Scholar] [CrossRef]
- Lin, Y.; Koprinska, I.; Rana, M.; Troncoso, A. Solar Power Forecasting Based on Pattern Sequence Similarity and Meta-learning. In Artificial Neural Networks and Machine Learning—ICANN 2020 29th International Conference on Artificial Neural Networks, Bratislava, Slovakia, 15–18 September 2020; Farkaš, I., Masulli, P., Wermter, S., Eds.; Springer: Cham, Switzerland, 2020; pp. 271–283. [Google Scholar]
- Kim, J.; Obregon, J.; Park, H.; Jung, J.Y. Multi-step photovoltaic power forecasting using transformer and recurrent neural networks. Renew. Sustain. Energy Rev. 2024, 200, 114479. [Google Scholar] [CrossRef]
- Liu, Q.; Shen, Y.; Wu, L.; Li, J.; Zhuang, L.; Wang, S. A hybrid FCW-EMD and KF-BA-SVM based model for short-term load forecasting. CSEE J. Power Energy Syst. 2018, 4, 226–237. [Google Scholar] [CrossRef]
- Rajagukguk, R.A.; Ramadhan, R.A.; Lee, H.J. A Review on Deep Learning Models for Forecasting Time Series Data of Solar Irradiance and Photovoltaic Power. Energies 2020, 13, 6623. [Google Scholar] [CrossRef]
- Yang, D.; Alessandrini, S.; Antonanzas, J.; Antonanzas-Torres, F.; Badescu, V.; Beyer, H.G.; Blaga, R.; Boland, J.; Bright, J.M.; Coimbra, C.F.; et al. Verification of deterministic solar forecasts. Sol. Energy 2020, 210, 20–37. [Google Scholar] [CrossRef]
- Notton, G.; Nivet, M.L.; Voyant, C.; Paoli, C.; Darras, C.; Motte, F.; Fouilloy, A. Intermittent and stochastic character of renewable energy sources: Consequences, cost of intermittence and benefit of forecasting. Renew. Sustain. Energy Rev. 2018, 87, 96–105. [Google Scholar] [CrossRef]
- Li, B.; Zhang, J. A review on the integration of probabilistic solar forecasting in power systems. Sol. Energy 2020, 210, 68–86. [Google Scholar] [CrossRef]
- Mayer, M.J.; Gróf, G. Extensive comparison of physical models for photovoltaic power forecasting. Appl. Energy 2021, 283, 116239. [Google Scholar] [CrossRef]
- Brinkworth, B. Autocorrelation and stochastic modelling of insolation sequences. Sol. Energy 1977, 19, 343–347. [Google Scholar] [CrossRef]
- Dong, J.; Olama, M.M.; Kuruganti, T.; Melin, A.M.; Djouadi, S.M.; Zhang, Y.; Xue, Y. Novel stochastic methods to predict short-term solar radiation and photovoltaic power. Renew. Energy 2020, 145, 333–346. [Google Scholar] [CrossRef]
- Yang, D.; Kleissl, J.; Gueymard, C.A.; Pedro, H.T.; Coimbra, C.F. History and trends in solar irradiance and PV power forecasting: A preliminary assessment and review using text mining. Sol. Energy 2018, 168, 60–101. [Google Scholar] [CrossRef]
- Inman, R.H.; Pedro, H.T.; Coimbra, C.F. Solar forecasting methods for renewable energy integration. Prog. Energy Combust. Sci. 2013, 39, 535–576. [Google Scholar] [CrossRef]
- David, M.; Ramahatana, F.; Trombe, P.; Lauret, P. Probabilistic forecasting of the solar irradiance with recursive ARMA and GARCH models. Sol. Energy 2016, 133, 55–72. [Google Scholar] [CrossRef]
- Jiang, P.; Ma, X. A hybrid forecasting approach applied in the electrical power system based on data preprocessing, optimization and artificial intelligence algorithms. Appl. Math. Model. 2016, 40, 10631–10649. [Google Scholar] [CrossRef]
- Lauret, P.; David, M.; Pinson, P. Verification of solar irradiance probabilistic forecasts. Sol. Energy 2019, 194, 254–271. [Google Scholar] [CrossRef]
- Alsharif, M.H.; Younes, M.K.; Kim, J. Time Series ARIMA Model for Prediction of Daily and Monthly Average Global Solar Radiation: The Case Study of Seoul, South Korea. Symmetry 2019, 11, 240. [Google Scholar] [CrossRef]
- Liu, G.; Qin, H.; Shen, Q.; Lyv, H.; Qu, Y.; Fu, J.; Liu, Y.; Zhou, J. Probabilistic spatiotemporal solar irradiation forecasting using deep ensembles convolutional shared weight long short-term memory network. Appl. Energy 2021, 300, 117379. [Google Scholar] [CrossRef]
- Pierro, M.; Bucci, F.; De Felice, M.; Maggioni, E.; Moser, D.; Perotto, A.; Spada, F.; Cornaro, C. Multi-Model Ensemble for day ahead prediction of photovoltaic power generation. Sol. Energy 2016, 134, 132–146. [Google Scholar] [CrossRef]
- Cavalcante, L.; Bessa, R.J.; Reis, M.; Browell, J. LASSO vector autoregression structures for very short-term wind power forecasting. Wind. Energy 2017, 20, 657–675. [Google Scholar] [CrossRef]
- Mellit, A.; Kalogirou, S.A. Artificial intelligence techniques for photovoltaic applications: A review. Prog. Energy Combust. Sci. 2008, 34, 574–632. [Google Scholar] [CrossRef]
- Wang, H.; Lei, Z.; Zhang, X.; Zhou, B.; Peng, J. A review of deep learning for renewable energy forecasting. Energy Convers. Manag. 2019, 198, 111799. [Google Scholar] [CrossRef]
- Yadav, A.K.; Malik, H.; Chandel, S. Selection of most relevant input parameters using WEKA for artificial neural network based solar radiation prediction models. Renew. Sustain. Energy Rev. 2014, 31, 509–519. [Google Scholar] [CrossRef]
- Alzahrani, A.; Shamsi, P.; Dagli, C.; Ferdowsi, M. Solar Irradiance Forecasting Using Deep Neural Networks. Procedia Comput. Sci. 2017, 114, 304–313. [Google Scholar] [CrossRef]
- Husein, M.; Chung, I.Y. Day-Ahead Solar Irradiance Forecasting for Microgrids Using a Long Short-Term Memory Recurrent Neural Network: A Deep Learning Approach. Energies 2019, 12, 1856. [Google Scholar] [CrossRef]
- Bengio, Y.; Simard, P.; Frasconi, P. Learning long-term dependencies with gradient descent is difficult. IEEE Trans. Neural Netw. 1994, 5, 157–166. [Google Scholar] [CrossRef]
- Srivastava, S.; Lessmann, S. A comparative study of LSTM neural networks in forecasting day-ahead global horizontal irradiance with satellite data. Sol. Energy 2018, 162, 232–247. [Google Scholar] [CrossRef]
- Jiao, X.; Li, X.; Ge, Z.; Yang, Y.; Xiao, W. A predictive power ramp rate control scheme with an updating Gaussian prediction confidence estimator for PV systems. Sol. Energy 2024, 276, 112648. [Google Scholar] [CrossRef]
- Ajith, M.; Martínez-Ramón, M. Deep learning based solar radiation micro forecast by fusion of infrared cloud images and radiation data. Appl. Energy 2021, 294, 117014. [Google Scholar] [CrossRef]
- Wen, H.; Du, Y.; Chen, X.; Lim, E.; Wen, H.; Jiang, L.; Xiang, W. Deep Learning Based Multistep Solar Forecasting for PV Ramp-Rate Control Using Sky Images. IEEE Trans. Ind. Inform. 2021, 17, 1397–1406. [Google Scholar] [CrossRef]
- Jiao, X.; Li, X.; Lin, D.; Xiao, W. A Graph Neural Network Based Deep Learning Predictor for Spatio-Temporal Group Solar Irradiance Forecasting. IEEE Trans. Ind. Inform. 2022, 18, 6142–6149. [Google Scholar] [CrossRef]
- Mo, F.; Jiao, X.; Li, X.; Du, Y.; Yao, Y.; Meng, Y.; Ding, S. A novel multi-step ahead solar power prediction scheme by deep learning on transformer structure. Renew. Energy 2024, 230, 120780. [Google Scholar] [CrossRef]
- Zang, H.; Liu, L.; Sun, L.; Cheng, L.; Wei, Z.; Sun, G. Short-term global horizontal irradiance forecasting based on a hybrid CNN-LSTM model with spatiotemporal correlations. Renew. Energy 2020, 160, 26–41. [Google Scholar] [CrossRef]







| Model | Complexity | Accuracy | Data Req. | Robustness | Application | Key Advantage | Key Drawback |
|---|---|---|---|---|---|---|---|
| Traditional Statistical Models | |||||||
| AR | Low | Small | Low | Short | Simple, interpretable | Linear assumptions; fails during sudden cloud cover or storms | |
| MA | Low | Small | Low | Short | Handles shocks well | Only captures short memory; poor in multi-day weather systems | |
| ARMA | Low–Mid | Small | Low–Mid | Short | Combines AR and MA benefits | Requires stationarity; fails during seasonal transitions and extreme events | |
| ARIMA | Mid | Small–Mid | Mid | Short–Mid | Handles non-stationary data | Parameter selection difficulty; poor performance in fog/dust events | |
| ARCH | Mid | Mid | Low–Mid | Short | Models volatility clustering | Assumes symmetric volatility; fails in asymmetric storm patterns | |
| GARCH | Mid | Mid | Mid | Short–Mid | Captures volatility persistence | Complex parameters; struggles with sudden atmospheric pressure drops | |
| VAR | Mid | Mid | Mid | Short–Mid | Multivariate relationships | Curse of dimensionality; unstable during rare weather combinations | |
| TVAR | Mid–High | Mid–Big | Mid | Short–Mid | Regime-switching capability | Threshold selection; regime detection fails in unprecedented events | |
| Machine Learning Models | |||||||
| Lasso | Mid | Mid | Mid–High | Short–Mid | Feature selection built in | Linear relationships only; cannot capture extreme nonlinearities | |
| FNN | Mid | Mid–Big | Mid | Short–Mid | Universal approximator | No temporal memory; fails in rapid weather transitions | |
| RNN | Mid–High | Big | Low–Mid | Mid | Sequential processing | Vanishing gradient; poor in extended unusual weather periods | |
| LSTM | High | Big | High | Mid–Long | Long-term dependencies | High computational cost; degrades with out-of-distribution extremes | |
| BiLSTM | High | Big | High | Mid–Long | Bidirectional context | Even higher complexity; requires future data unavailable in real time | |
| CNN | Mid–High | Mid–Big | Mid–High | Short–Mid | Parallel processing, fast | Limited sequential modeling; misses temporal storm development | |
| GNN | High | Big | Mid–High | Mid–Long | Graph structure exploitation | Requires graph construction; topology fails in extreme spatial events | |
| Transformer | High | Big | High | Long | Attention mechanism | Very high memory; attention dilution in chaotic weather | |
| CNN + RNN | High | Big | High | Mid–Long | Feature extraction + sequential | Complex architecture; component failures cascade in extremes | |
| GNN + LSTM | High | Big | High | Long | Spatial–temporal modeling | Very complex; spatial assumptions break in hurricane conditions | |
| Model | Evaluation Metrics | |||
|---|---|---|---|---|
| MAE | MAPE | RMSE | ||
| Statistical Methods | ARIMA | 0.27 | 26.69 | 0.35 |
| LR | 0.08 | 18.11 | 0.095 | |
| MA | 0.076 | 17.21 | 0.089 | |
| SVM | 0.082 | 18.44 | 0.097 | |
| Machine Learning Approaches | GRU | 0.027 | 6.37 | 0.027 |
| RNN | 0.022 | 5.35 | 0.023 | |
| LSTM | 0.024 | 5.13 | 0.031 | |
| Attentional Network | 0.019 | 4.51 | 0.022 | |
| CNN + LSTM | 0.014 | 3.61 | 0.017 | |
| GNN + LSTM | 0.012 | 2.86 | 0.013 | |
Disclaimer/Publisher’s Note: The statements, opinions and data contained in all publications are solely those of the individual author(s) and contributor(s) and not of MDPI and/or the editor(s). MDPI and/or the editor(s) disclaim responsibility for any injury to people or property resulting from any ideas, methods, instructions or products referred to in the content. |
© 2025 by the authors. Licensee MDPI, Basel, Switzerland. This article is an open access article distributed under the terms and conditions of the Creative Commons Attribution (CC BY) license (https://creativecommons.org/licenses/by/4.0/).
Share and Cite
Jiao, X.; Xiao, W. Review of Data-Driven Approaches Applied to Time-Series Solar Irradiance Forecasting for Future Energy Networks. Energies 2025, 18, 5823. https://doi.org/10.3390/en18215823
Jiao X, Xiao W. Review of Data-Driven Approaches Applied to Time-Series Solar Irradiance Forecasting for Future Energy Networks. Energies. 2025; 18(21):5823. https://doi.org/10.3390/en18215823
Chicago/Turabian StyleJiao, Xuan, and Weidong Xiao. 2025. "Review of Data-Driven Approaches Applied to Time-Series Solar Irradiance Forecasting for Future Energy Networks" Energies 18, no. 21: 5823. https://doi.org/10.3390/en18215823
APA StyleJiao, X., & Xiao, W. (2025). Review of Data-Driven Approaches Applied to Time-Series Solar Irradiance Forecasting for Future Energy Networks. Energies, 18(21), 5823. https://doi.org/10.3390/en18215823

