Thermodynamics of Halite Scaling in Superhot Geothermal Systems
Abstract
1. Introduction
[…] identifying mathematical expressions for the temperature, pressure, and composition dependence of solute thermodynamic properties that allow robust extrapolation to experimentally unstudied conditions. The latter is particularly relevant for conditions that are experimentally difficult to handle, namely at moderate pressures between ca. 10 and for temperatures in excess of °C.
2. Method
2.1. Overview of Thermodynamic Models
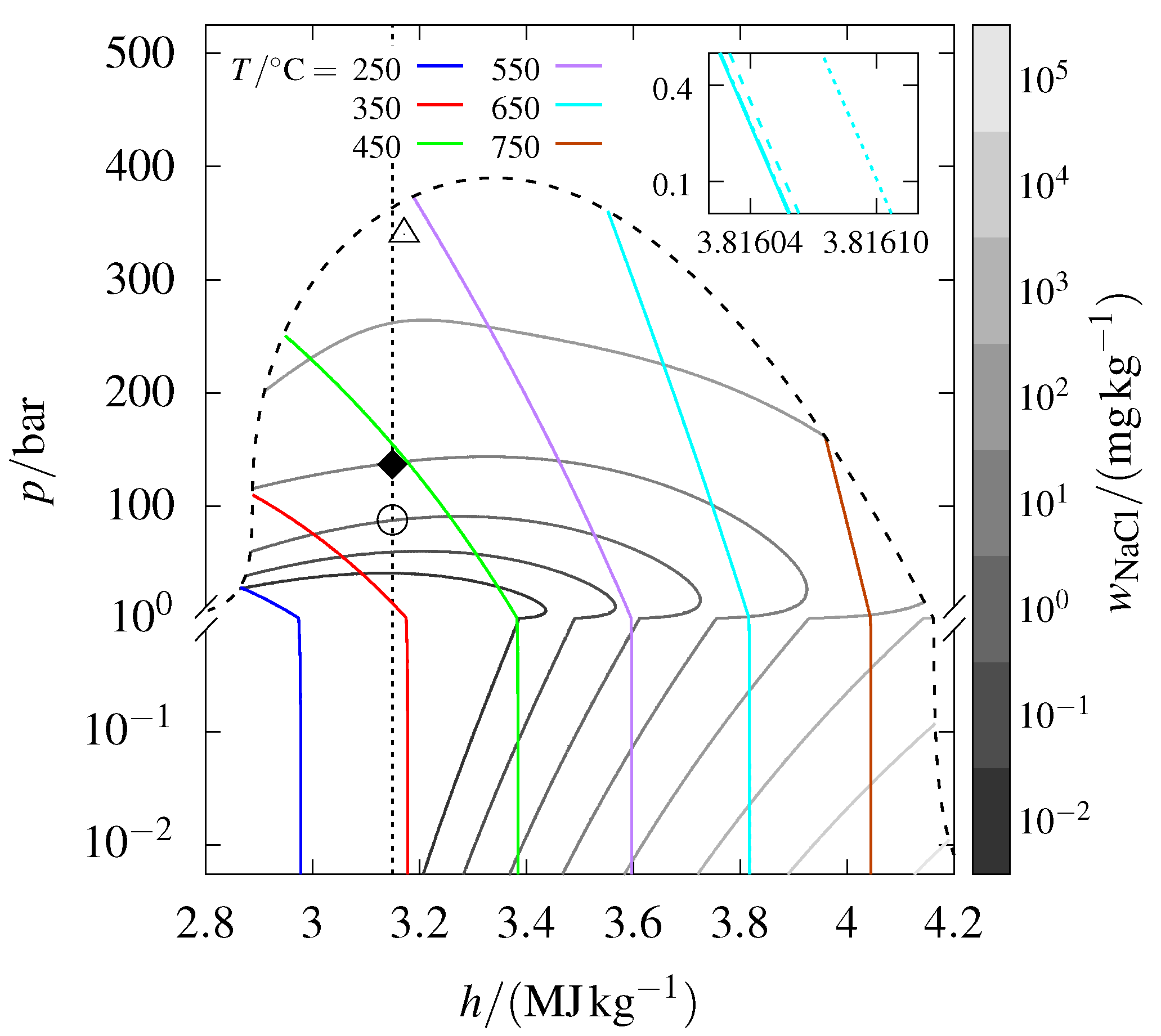
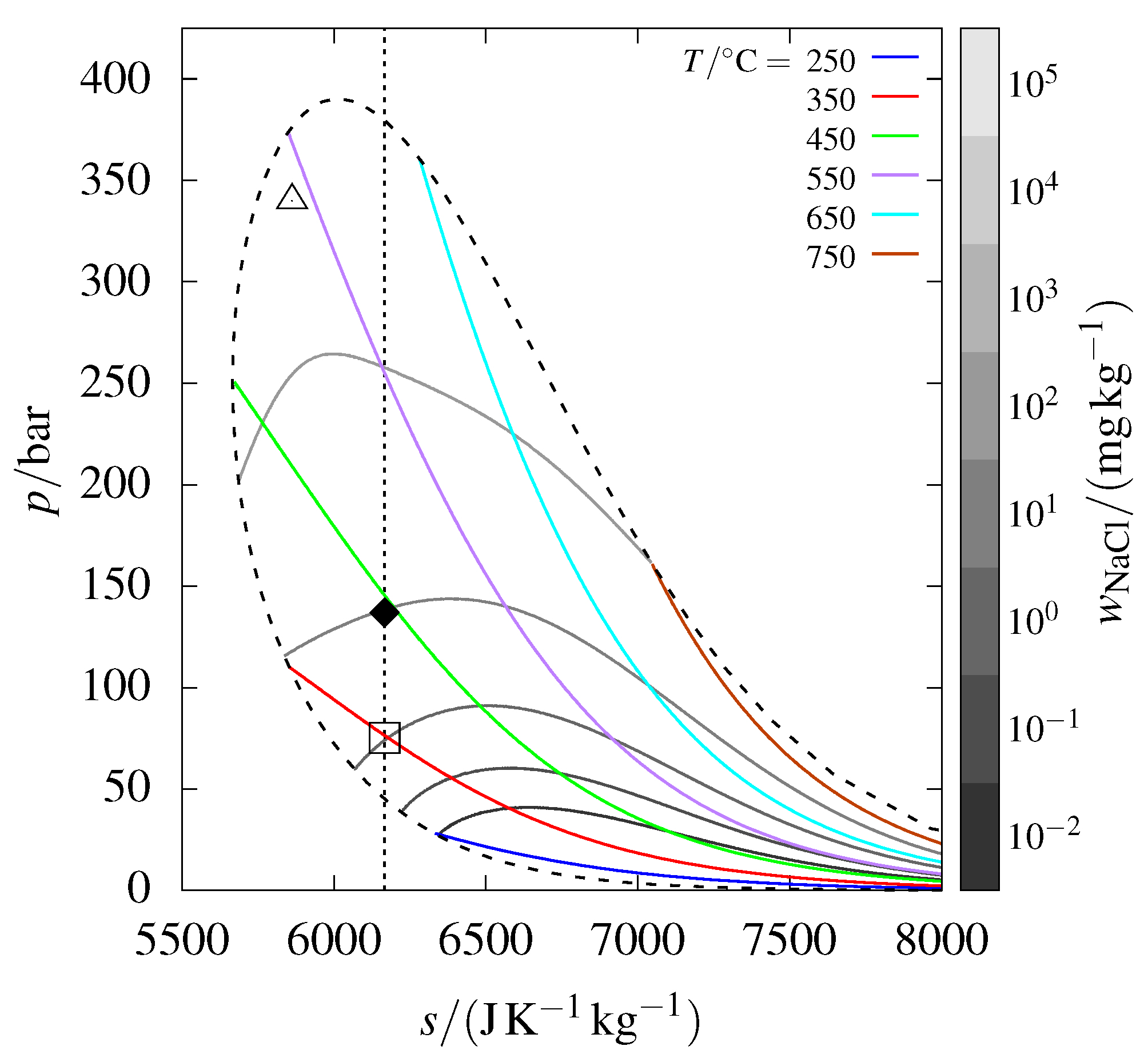
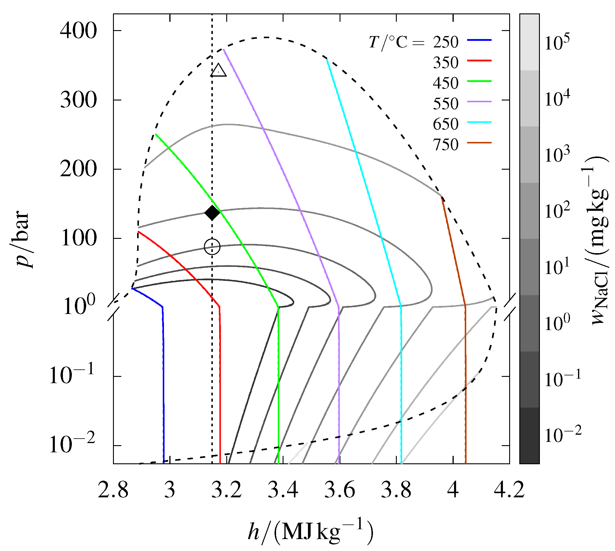
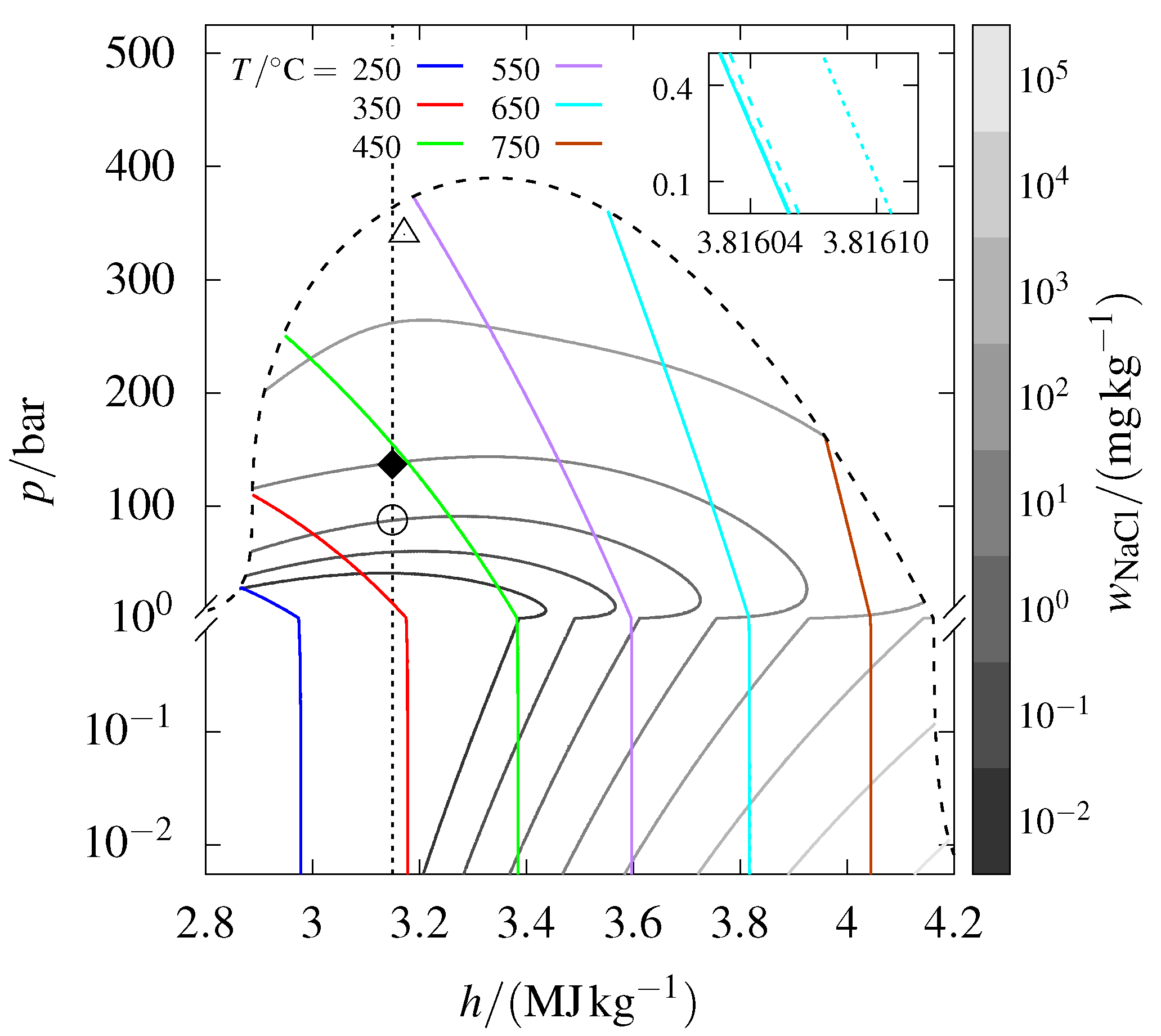
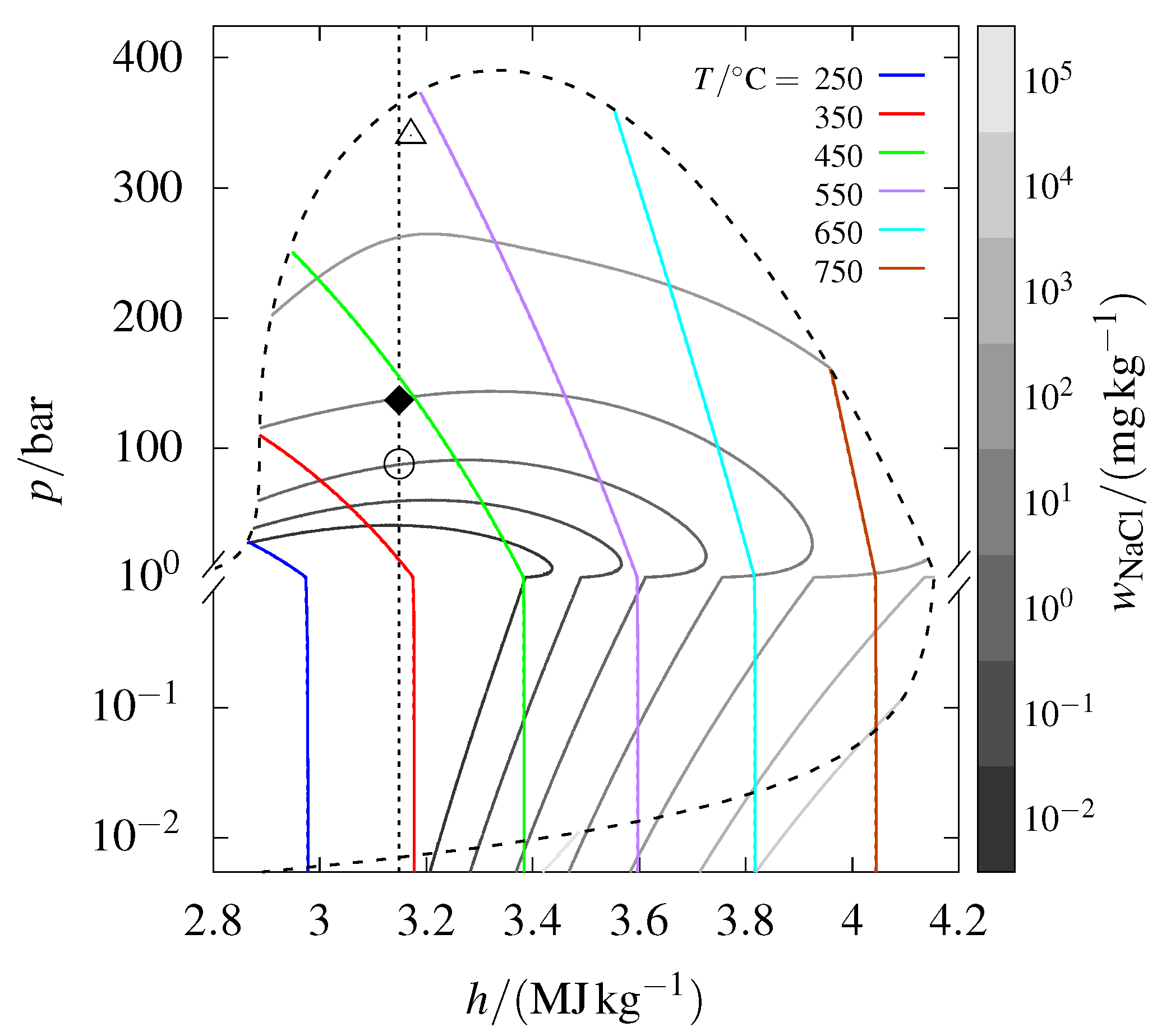
2.2. Representative Conditions from Superhot Wells
2.3. The Impact of the Reference State
3. Results and Discussion
3.1. Isotherms
3.2. Solubility Isopleths
3.3. Isenthalp
3.4. Brine
3.5. Specific Entropy Phase Diagram
3.6. Changing the Reference State
3.7. Limitations
4. Conclusions
Author Contributions
Funding
Data Availability Statement
Conflicts of Interest
Abbreviations
| EOS | Equation of state |
| IAPWS | International Association for the Properties of Water and Steam |
| IDDP | Icelandic Deep Drilling Project |
| IUPAC | International Union of Pure and Applied Chemistry |
Appendix A. Reference States
Appendix A.1. Reference States Used in Figure 1 and Figure 2
Appendix A.2. Reference State Used in Figure 3
References
- Friðleifsson, G.Ó.; Elders, W.A.; Albertsson, A. The concept of the Iceland deep drilling project. Geothermics 2014, 49, 2–8. [Google Scholar] [CrossRef]
- Reinsch, T.; Dobson, P.; Asanuma, H.; Huenges, E.; Poletto, F.; Sanjuan, B. Utilizing supercritical geothermal systems: A review of past ventures and ongoing research activities. Geotherm. Energy 2017, 5, 16. [Google Scholar] [CrossRef]
- Driesner, T. Supercritical and Superhot Geothermal Resources-Some Fundamental Insights. Proc. World Geotherm. Congr. 2020, 1, 1–6. [Google Scholar]
- Gunnarsson, G.; Pálsdóttir, A.; Ragnarsdóttir, K.R.; Friðriksson, Þ. Towards Utilization of Superhot Geothermal Resources–the IDDP Project and Beyond. In Proceedings of the 49th Workshop on Geothermal Reservoir Engineering, Stanford, CA, USA, 12–14 February 2024. [Google Scholar]
- Stober, I.; Bucher, K. Scaling in Geothermal Energy Production: From Theoretical Models to Exploration and Development; Springer Nature: Cham, Switzerland, 2021; Chapter 15.7; pp. 379–390. [Google Scholar] [CrossRef]
- Andritsos, N.; Karabelas, A.; Koutsoukos, P. Scale formation in geothermal plants. Int. Summer Sch. Direct Appl. Geotherm. Energy 2002, 179–189. [Google Scholar]
- Hesshaus, A.; Houben, G.; Kringel, R. Halite clogging in a deep geothermal well – Geochemical and isotopic characterisation of salt origin. Phys. Chem. Earth, Parts A/B/C 2013, 64, 127–139. [Google Scholar] [CrossRef]
- Scott, S.; Driesner, T.; Weis, P. Boiling and condensation of saline geothermal fluids above magmatic intrusions. Geophys. Res. Lett. 2017, 44, 1696–1705. [Google Scholar] [CrossRef]
- Lamy-Chappuis, B.; Yapparova, A.; Driesner, T. Simulations of the IDDP-2 well, Reykjanes, Iceland, and its behavior in different operation scenarios. Geothermics 2023, 114, 102790. [Google Scholar] [CrossRef]
- Driesner, T. The Molecular-Scale Fundament of Geothermal Fluid Thermodynamics. Rev. Mineral. Geochem. 2013, 76, 5–33. [Google Scholar] [CrossRef]
- Dolejš, D. Thermodynamics of Aqueous Species at High Temperatures and Pressures: Equations of State and Transport Theory. Rev. Mineral. Geochem. 2013, 76, 35–79. [Google Scholar] [CrossRef]
- Feng, G.; Xu, T.; Zhao, Y.; Gherardi, F. Heat mining from super-hot horizons of the Larderello geothermal field, Italy. Renew. Energy 2022, 197, 371–383. [Google Scholar] [CrossRef]
- Ellingsen, L.; Haug-Warberg, T. Thermodynamics of NaCl in dense water vapor via cross virial coefficients. Geochim. Cosmochim. Acta 2024, 375, 19–35. [Google Scholar] [CrossRef]
- Lamy-Chappuis, B.; Yapparova, A.; Driesner, T. Advanced well model for superhot and saline geothermal reservoirs. Geothermics 2022, 105, 102529. [Google Scholar] [CrossRef]
- Ármannsson, H.; Fridriksson, T.; Gudfinnsson, G.H.; Ólafsson, M.; Óskarsson, F.; Thorbjörnsson, D. IDDP—The chemistry of the IDDP-01 well fluids in relation to the geochemistry of the Krafla geothermal system. Geothermics 2014, 49, 66–75. [Google Scholar] [CrossRef]
- Friðleifsson, G.O.; Elders, W.A.; Zierenberg, R.A.; Stefánsson, A.; Fowler, A.P.G.; Weisenberger, T.B.; Harðarson, B.S.; Mesfin, K.G. The Iceland Deep Drilling Project 4.5 km deep well, IDDP-2, in the seawater-recharged Reykjanes geothermal field in SW Iceland has successfully reached its supercritical target. Sci. Drill. 2017, 23, 1–12. [Google Scholar] [CrossRef]
- Weisenberger, T.B.; Harðarson, B.S.; Mesfin, K.G.; Einarsson, G.M.; Níelsson, S.; Zierenberg, R.A.; Friðleifsson, G.Ó. The Iceland Deep Drilling Project at Reykjanes—4.5 km Deep Drilling into Supercritical Conditions. In Proceedings of the 44th Workshop on Geothermal Reservoir Engineering, Stanford, CA, USA, 11–13 February 2019. [Google Scholar]
- The Iceland Deep Drilling Project at Reykjanes: Drilling into the root zone of a black smoker analog. J. Volcanol. Geotherm. Res. 2020, 391, 106435. [CrossRef]
- Óskarsson, F. Composition of Reservoir Fluids in Well IDDP-2. In Proceedings of the World Geothermal Congress, Reykjavik, Iceland, 21–26 May 2021; Volume 1. [Google Scholar]
- Wagner, W.; Pruß, A. The IAPWS formulation 1995 for the thermodynamic properties of ordinary water substance for general and scientific use. J. Phys. Chem. Ref. Data 2002, 31, 387–535. [Google Scholar] [CrossRef]
- International Association for the Properties of Water and Steam. IAPWS R6-95(2018), Revised Release on the IAPWS Formulation 1995 for the Thermodynamic Properties of Ordinary Water Substance for General and Scientific Use. IAPWS 2018, 31, 387–535. [Google Scholar]
- Hasan, A.; Kabir, C. Modeling two-phase fluid and heat flows in geothermal wells. J. Pet. Sci. Eng. 2010, 71, 77–86. [Google Scholar] [CrossRef]
- Bordvik, S.; van Erp, T.S.; Ucar, S.; Næss, E. Predicting Silica Deposition from Superheated, Pressurized Steam Using Numerical Modeling of Nucleation, Agglomeration and Deposition. Energies 2023, 16, 6906. [Google Scholar] [CrossRef]
- Friðleifsson, G.Ó.; Elders, W.A. The Iceland Deep Drilling Project: A search for deep unconventional geothermal resources. Geothermics 2005, 34, 269–285. [Google Scholar] [CrossRef]
- Driesner, T.; Heinrich, C.A. The system H2O–NaCl. Part I: Correlation formulae for phase relations in temperature–pressure–composition space from 0 to 1000 °C, 0 to 5000 bar, and 0 to 1 XNaCl. Geochim. Cosmochim. Acta 2007, 71, 4880–4901. [Google Scholar] [CrossRef]
- Chase, M.W. JANAF—Thermochemical Tables, 4th ed.; American Institute of Physics: Woodbury, NY, USA, 1998. [Google Scholar]
- Higashi, H.; Iwai, Y.; Matsumoto, K.; Kitani, Y.; Okazaki, F.; Shimoyama, Y.; Arai, Y. Measurement and correlation for solubilities of alkali metal chlorides in water vapor at high temperature and pressure. Fluid Phase Equilibria 2005, 228–229, 547–551. [Google Scholar] [CrossRef]
- Plyasunov, A.V. Thermodynamics of Si(OH)4 in the vapor phase of water: Henry’s and vapor–liquid distribution constants, fugacity and cross virial coefficients. Geochim. Cosmochim. Acta 2012, 77, 215–231. [Google Scholar] [CrossRef]
- Arnórsson, S. Deposition of calcium carbonate minerals from geothermal waters—Theoretical considerations. Geothermics 1989, 18, 33–39. [Google Scholar] [CrossRef]
- Fournier, R.O.; Thompson, J. Composition of steam in the system NaCl-KCl-H2O-quartz at 600 °C. Geochim. Cosmochim. Acta 1993, 57, 4365–4375. [Google Scholar] [CrossRef]



| Property | Symbol | Units | IDDP-1 | IDDP-2 |
|---|---|---|---|---|
| Temperature | T | °C | ||
| Pressure | p | |||
| fraction | — | |||
| density | — | |||
| Specific enthalpy | h | |||
| Specific entropy | s |
Disclaimer/Publisher’s Note: The statements, opinions and data contained in all publications are solely those of the individual author(s) and contributor(s) and not of MDPI and/or the editor(s). MDPI and/or the editor(s) disclaim responsibility for any injury to people or property resulting from any ideas, methods, instructions or products referred to in the content. |
© 2024 by the authors. Licensee MDPI, Basel, Switzerland. This article is an open access article distributed under the terms and conditions of the Creative Commons Attribution (CC BY) license (https://creativecommons.org/licenses/by/4.0/).
Share and Cite
Ellingsen, L.; Haug-Warberg, T. Thermodynamics of Halite Scaling in Superhot Geothermal Systems. Energies 2024, 17, 2812. https://doi.org/10.3390/en17122812
Ellingsen L, Haug-Warberg T. Thermodynamics of Halite Scaling in Superhot Geothermal Systems. Energies. 2024; 17(12):2812. https://doi.org/10.3390/en17122812
Chicago/Turabian StyleEllingsen, Lodin, and Tore Haug-Warberg. 2024. "Thermodynamics of Halite Scaling in Superhot Geothermal Systems" Energies 17, no. 12: 2812. https://doi.org/10.3390/en17122812
APA StyleEllingsen, L., & Haug-Warberg, T. (2024). Thermodynamics of Halite Scaling in Superhot Geothermal Systems. Energies, 17(12), 2812. https://doi.org/10.3390/en17122812

