Fluid Chemical and Isotopic Signatures Insighting the Hydrothermal Control of the Wahongshan-Wenquan Fracture Zone (WWFZ), NE Tibetan Plateau
Abstract
1. Introduction
2. Study Area
3. Materials and Methods
Sample Collection and Testing
4. Results
4.1. Chemical Characterization of Hot Springs
4.2. Hydrogen–Oxygen Stable Isotope Characterization of Hot Water
4.3. Chemical Characterization of Hot Spring Gases
4.3.1. Hot Spring Gas Composition
4.3.2. Isotopic Characterization of Hot Spring Gases
4.4. Geothermal Reservoir Temperatures and Circulation Depths
4.4.1. Water–Rock Equilibrium Analysis
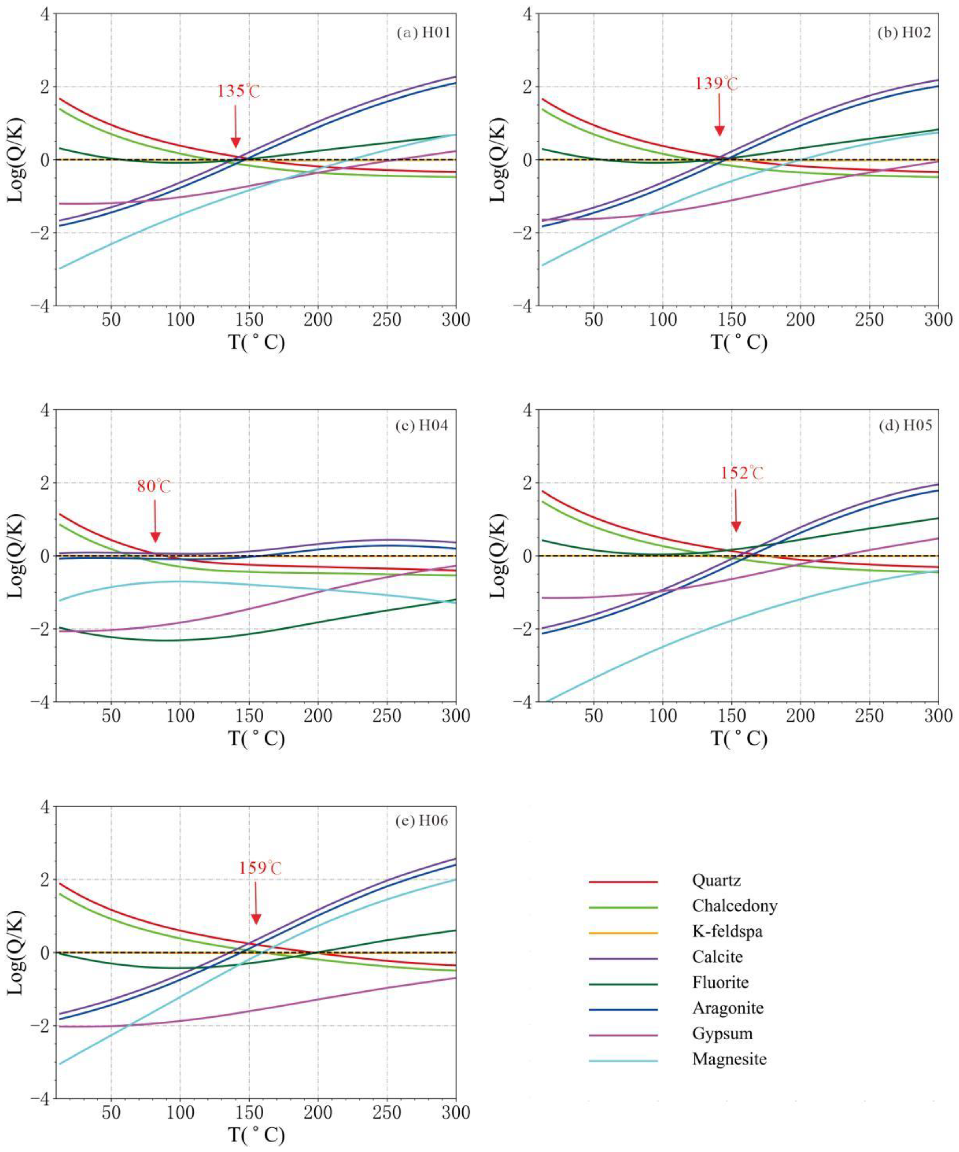
4.4.2. Geothermal Reservoir Temperatures by Multi-Mineral Saturation Indices
4.4.3. Geothermal Reservoir Temperature Estimation by Geothermometers
4.4.4. Silicon-Enthalpy Mixing Model for Estimating Cold Water Mixing Ratio
4.4.5. Hot Water Circulation Depth Estimates
5. Discussion
5.1. Water and Heat Sources
5.2. Hydrothermal Transport Channel
5.3. Geothermal Reservoir
5.4. Insulation Cover
6. Conclusions
Author Contributions
Funding
Data Availability Statement
Conflicts of Interest
References
- Liao, Z. Thermal Springs and Geothermal Energy in the Qinghai-Tibetan Plateau and the Surroundings; Springer: Singapore, 2018. [Google Scholar] [CrossRef]
- Wang, G.; Lin, W. Main hydro-geothermal systems and their genetic models in China. Acta Geol. Sin. 2020, 94, 1923–1937. [Google Scholar] [CrossRef]
- Wang, Y.; Li, L.; Wen, H.; Hao, Y. Geochemical evidence for the nonexistence of supercritical geothermal fluids at the Yangbajing geothermal field, southern Tibet. J. Hydrol. 2021, 604, 127243. [Google Scholar] [CrossRef]
- Yu, X.; Wei, Z.; Wang, G.; Ma, X.; Zhang, T.; Yang, H.; Li, L.; Zhou, S.; Wang, X. Hot spring gas geochemical characteristics and geological implications of the northern Yadong-Gulu Rift in the Tibetan Plateau. Front. Earth Sci. 2022, 10, 863559. [Google Scholar] [CrossRef]
- Zhao, D.; Zhou, X.; Zhang, Y.; He, M.; Tian, J.; Shen, J.; Li, Y.; Qiu, G.; Du, F.; Zhang, X.; et al. Hydrogeochemical Study of Hot Springs along the Tingri—Nyima Rift: Relationship between Fluids and Earthquakes. Water 2023, 15, 1634. [Google Scholar] [CrossRef]
- Ye, T.; Huang, Q.; Chen, X.; Zhang, H.; Chen, Y.J.; Zhao, L.; Zhang, Y. Magma chamber and crustal channel flow structures in the Tengchong volcano area from 3-D MT inversion at the intracontinental block boundary southeast of the Tibetan Plateau. J. Geophys. Res. Solid Earth 2018, 123, 11112–11126. [Google Scholar] [CrossRef]
- Zhang, M.; Liu, W.; Guan, L.; Takahata, N.; Sano, Y.; Li, Y.; Zhou, X.; Chen, Z.; Cao, C.; Zhang, L.; et al. First estimates of hydrothermal helium fluxes in continental collision settings: Insights from the Southeast Tibetan Plateau margin. Geophys. Res. Lett. 2022, 49, e2022GL098228. [Google Scholar] [CrossRef]
- Zhou, X.; Liu, L.; Chen, Z.; Cui, Y.; Du, J. Gas geochemistry of the hot spring in the Litang fault zone, Southeast Tibetan Plateau. Appl. Geochem. 2017, 79, 17–26. [Google Scholar] [CrossRef]
- Zhao, J.; Wang, G.; Zhang, C.; Xing, L.; Li, M.; Zhang, W. Genesis of geothermal fluid in typical geothermal fields in western Sichuan, China. Acta Geol. Sin.-Engl. Ed. 2021, 95, 873–882. [Google Scholar] [CrossRef]
- Tian, T.; Pang, Z.; Liao, D.; Zhou, X. Fluid geochemistry and its implications on the role of deep faults in the genesis of high temperature systems in the eastern edge of the Qinghai Tibet Plateau. Appl. Geochem. 2021, 131, 105036. [Google Scholar] [CrossRef]
- Sun, M.; Zhang, X.; Yuan, X.; Yu, Z.; Xiao, Y.; Wang, Y.; Zhang, Y. Hydrochemical Characteristics and Genetic Mechanism of Geothermal Springs in the Aba Area, Western Sichuan Province, China. Sustainability 2022, 14, 12824. [Google Scholar] [CrossRef]
- Wang, C.; Zheng, M.; Zhang, X.; Wu, Q.; Liu, X.; Ren, J.; Chen, S. Geothermal-type lithium resources in southern Xizang, China. Acta Geol. Sin.-Engl. Ed. 2021, 95, 860–872. [Google Scholar] [CrossRef]
- Liu, J.; Zhou, X.; Li, Y.; He, M.; Li, J.; Dong, J.; Tian, J.; Yan, Y.; Ouyang, S.; Liu, F. Relationship between hydrogeochemical characteristics of hot springs and seismic activity in the Jinshajiang fault zone, Southeast Tibetan Plateau. Front. Earth Sci. 2023, 10, 1015134. [Google Scholar] [CrossRef]
- Liu, F.; Zhang, W.; Wang, G.; Wei, S.; Yue, C.; Jiang, G.; Liao, Y. Geothermal anomalies in the Xianshuihe area: Implications for tunnel construction along the Sichuan-Tibet Railway, China. J. Groundw. Sci. Eng. 2023, 11, 237–248. [Google Scholar] [CrossRef]
- Lin, W.; Wang, G.; Shao, J.; Gan, H.; Tan, X. Distribution and exploration of hot dry rock resources in China: Progress and inspiration. Acta Geol. Sin. 2021, 95, 1366–1381. [Google Scholar] [CrossRef]
- Zhang, C.; Jiang, G.; Shi, Y.; Wang, Z.; Wang, Y.; Li, S.; Jia, X.; Hu, S. Terrestrial heat flow and crustal thermal structure of the Gonghe-Guide area, northeastern Qinghai-Tibetan plateau. Geothermics 2018, 72, 182–192. [Google Scholar] [CrossRef]
- Zhang, S.; Zhang, L.; Tian, C.; Cai, J.; Tang, B. Occurrence geological characteristitics and development potential of hot dry rocks in Qinghai Gonghe basin. J. Geomech. 2019, 25, 501–508. [Google Scholar] [CrossRef]
- Long, D.; Zhou, X.; Yang, K.; Gu, P.; Gao, Y.; Wang, S.; Chen, G. Research on relationship between the deep structure and geothermal resource distribution in the Northeastern Tibetan Plateau. Geol. China 2021, 48, 721–731. [Google Scholar] [CrossRef]
- Lin, W.; Wang, G.; Zhang, S.; Zhao, Z.; Xing, L.; Gan, H.; Tan, X. Heat aggregation mechanisms of Hot Dry Rocks resources in the Gonghe Basin, northeastern Tibetan Plateau. Acta Geol. Sin.-Engl. Ed. 2021, 95, 1793–1804. [Google Scholar] [CrossRef]
- Song, G.; Song, X.; Li, G.; Xu, R.; Cao, W.; Zhao, C. Multi-objective optimization of geothermal extraction from the Enhanced Geothermal System in Qiabuqia geothermal field, Gonghe Basin. Acta Geol. Sin.-Engl. Ed. 2021, 95, 1844–1856. [Google Scholar] [CrossRef]
- Zhang, E.; Wen, D.; Wang, G.; Yan, W.; Wang, W.; Ye, C.; Li, X.; Wang, H.; Tan, X.; Weng, W.; et al. The first power generation test of hot dry rock resources exploration and production demonstration project in the Gonghe Basin, Qinghai Province, China. China Geol. 2022, 5, 372–382. [Google Scholar] [CrossRef]
- Lin, W.; Wang, G.; Gan, H.; Zhang, S.; Zhao, Z.; Yue, G.; Long, X. Heat source model for Enhanced Geothermal Systems (EGS) under different geological conditions in China. Gondwana Res. 2023, 122, 243–259. [Google Scholar] [CrossRef]
- Jia, B.; Xian, C. Permeability measurement of the fracture-matrix system with 3D embedded discrete fracture model. Pet. Sci. 2022, 19, 1757–1765. [Google Scholar] [CrossRef]
- Jia, B.; Xian, C.; Tsau, J.; Zuo, X.; Jia, W. Status and outlook of oil field chemistry-assisted analysis during the energy transition period. Energy Fuels 2022, 36, 12917–12945. [Google Scholar] [CrossRef]
- Zhang, X.; Guo, Q.; Liu, M.; Luo, J.; Yin, Z.; Zhang, C.; Zhu, M.; Guo, W.; Li, J.; Zhou, C. Hydrogeochemical processes occurring in the hydrothermal systems of the Gonghe–Guide basin, northwestern China: Critical insights from a principal components analysis (PCA). Environ. Earth Sci. 2016, 75, 1187. [Google Scholar] [CrossRef]
- Ma, Y.; Tang, B.; Su, S.; Zhang, S.; Li, C. Geochemical characteristics of geothermal fluids and water-rock interaction in geothermal reservoirs in and around the Gonghe Basin, Qinghai Province. Earth Sci. Front. 2020, 27, 123–133. [Google Scholar] [CrossRef]
- Wang, B.; Qin, X.; Ren, E.; Feng, N.; Yang, S.; Li, W.; Li, G.; Jiang, Z. Geochemical characteristics and formation mechanisms of the geothermal waters from the Reshui area, Dulan of Qinghai, China. Water 2023, 15, 3084. [Google Scholar] [CrossRef]
- Wang, G.; Lin, W.; Liu, F.; Gan, H.; Wang, S.; Yue, G.; Long, X.; Liu, Y. Theory and survey practice of deep heat accumulation in geothermal system and exploration practice. Acta Geol. Sin. 2023, 97, 639–660. [Google Scholar] [CrossRef]
- Alam, M.A. Tectonic and Structural Controls on Geothermal Systems. In Geological and Geo-Environmental Processes on Earth; Shandilya, A.K., Singh, V.K., Bhatt, S.C., Dubey, C.S., Eds.; Springer Natural Hazards; Springer: Singapore, 2021; pp. 223–242. [Google Scholar] [CrossRef]
- Wallis, I.C.; Rowland, J.V.; Dempsey, D. The relationship between geothermal fluid flow and geologic context: A global review. Geotherm. Resour. Counc. Trans. 2018, 42, 1–19. [Google Scholar] [CrossRef]
- Meixner, J.; Schill, E.; Grimmer, J.C.; Gaucher, E.; Kohl, T.; Klingler, P. Structural control of geothermal reservoirs in extensional tectonic settings: An example from the Upper Rhine Graben. J. Struct. Geol. 2016, 82, 1–15. [Google Scholar] [CrossRef]
- Duwiquet, H.; Guillou-Frottier, L.; Arbaret, L.; Magri, F.; Guillon, T.; Bellanger, M.; Lopez, S.; Penhoët, E.; Heap, M.J. Crustal Fault Zones as underexploited geothermal resources: Contribution of numerical modelling and comparison with natural systems. In Proceedings of the 47th Workshop on Geothermal Reservoir Engineering, Stanford, CA, USA, 7–9 February 2022. [Google Scholar]
- White, D.E.; Muffler, L.J.P.; Truesdell, A.H. Vapor-dominated hydrothermal systems compared with hot-water systems. Econ. Geol. 1971, 66, 75–97. [Google Scholar] [CrossRef]
- Yuan, D.; Zhang, P.; Liu, B.; Gan, W.; Mao, F.; Wang, Z.; Zheng, W.; Guo, H. Geometrical imagery and tectonic transformation of Late Quaternary active tectonics in northeastern margin of Qinghai-Xizang Plateau. Acta Geol. Sin. 2004, 78, 270–278. [Google Scholar]
- Feng, Y.; Zhang, X.; Zhang, B.; Liu, J.; Wang, Y.; Jia, D.; Hao, L.; Kong, Z. The geothermal formation mechanism in the Gonghe Basin: Discussion and analysis from the geological background. China Geol. 2018, 1, 331–345. [Google Scholar] [CrossRef]
- Zhou, X.; Zhou, Z.; Meng, Y.; Wang, J.; Zeng, X. The relationship between the copper polymetallic mineral sources and Indosinian igneous rocks in Elashan area, Qinghai Province. Acta Geol. Sin.-Engl. Ed. 2014, 88, 952–953. [Google Scholar] [CrossRef]
- Xu, L.; Chen, Y. Source parameters of the Gonghe, Qinghai Province, China, earthquake from inversion of digital broadband waveform data. Acta Seimol. Sin. 1997, 10, 143–159. [Google Scholar] [CrossRef]
- GB/T 8538-2008; Methods for Examination of Drinking Natural Mineral Water. China Standard Press: Beijing, China, 2008.
- Piper, A.M. A graphic procedure in the geochemical interpretation of water-analyses. Eos Trans. Am. Geophys. Union 1944, 25, 914–928. [Google Scholar] [CrossRef]
- Mondal, N.C.; Singh, V.P.; Singh, V.S.; Saxena, V.K. Determining the interaction between groundwater and saline water through groundwater major ions chemistry. J. Hydrol. 2010, 388, 100–111. [Google Scholar] [CrossRef]
- Wu, H.; Li, X.; Zhao, G.; Li, G.; Li, Z.; Li, L. The variation characteristics of δ18O and δD in precipitation and river water, Qinghai Lake Basin. J. Nat. Resour. 2014, 29, 1552–1564. [Google Scholar] [CrossRef]
- International Atomic Energy Agency. Isotope Hydrology—Learning, Teaching and Applying Isotope Techniques in Hydrology; Non-Serial Publications; IAEA: Vienna, Austria, 2004. [Google Scholar]
- Zhao, P.; Xie, E.; Dor, J.; Jin, J.; Hu, X.; Du, S.; Yao, Z. Geochemical charact eristics of geothermal gases and their geological implications in Tibet. Acta Petrol. Sin. 2002, 18, 539–550. [Google Scholar]
- Giggenbach, W.F. The composition of gases in geothermal and volcanic systems as a function of tectonic setting. Proc.—Int. Symp. Water-Rock Interact. 1992, 7, 873–878. Available online: https://eurekamag.com/research/020/306/020306849.php (accessed on 1 April 2024).
- Giggenbach, W.F.; Glover, R.B. Tectonic regime and major processes governing the chemistry of water and gas discharges from the rotorua geothermal field, New Zealand. Geothermics 1992, 21, 121–140. [Google Scholar] [CrossRef]
- International Atomic Energy Agency. Isotopic and Chemical Techniques in Geothermal Exploration, Development and Use: Sampling Methods, Data Handling, Interpretation—Edited by Stefán Arnórsson; Non-Serial Publications; IAEA: Vienna, Austria, 2000. [Google Scholar]
- Jiang, M.; Wang, Y.; Qian, H. The Broadband Seismicexploration as Well as the Crust upper Mantle Structure in the Orogenic Plateau, Qinghai-Tibet Plateau and Itsadjacent Area; Geological Publishing House: Beijing, China, 2009. [Google Scholar]
- Gao, J.; Zhang, H.; Zhang, S.; Chen, X.; Cheng, Z.; Jia, X.; Li, S.; Fu, L.; Gao, L.; Xin, H. Three-dimensional magnetotelluric imaging of the geothermal system beneath the Gonghe Basin, Northeast Tibetan Plateau. Geothermics 2018, 76, 15–25. [Google Scholar] [CrossRef]
- Gao, J.; Zhang, H.; Zhang, H.; Zhang, S.; Cheng, Z. Three-dimensional magnetotelluric imaging of the SE Gonghe Basin: Implication for the orogenic uplift in the northeastern margin of the Tibetan plateau. Tectonophysics 2020, 789, 228525. [Google Scholar] [CrossRef]
- Zhang, C.; Hu, S.; Song, R.; Zuo, Y.; Jiang, G.; Lei, Y.; Zhang, S.; Wang, Z. Genesis of the hot dry rock gethermal resoureces in the Gonghe basin: Constraints from the radiogenic heat production rate of rocks. Chin. J. Geophys. 2020, 63, 2697–2709. [Google Scholar] [CrossRef]
- Zhou, W.; Li, Q.; Zhang, D.; Tang, H. Crustal structure and geothermal mechanism of the Gonghe-Guide Basin based on EIGEN-6C4 satellite gravity and aeromagnetic data. Pure Appl. Geophys. 2023, 180, 2735–2756. [Google Scholar] [CrossRef]
- Sano, Y.; Wakita, H. Geographical distribution of 3He/4He ratios in Japan: Implications for arc tectonics and incipient magmatism. J. Geophys. Res. 1985, 90, 8729–8741. [Google Scholar] [CrossRef]
- Duchkov, A.D.; Rychkova, K.M.; Lebedev, V.I.; Kamenskii, I.L.; Sokolova, L.S. Estimation of heat flow in Tuva from data on helium isotopes in thermal mineral springs. Russ. Geol. Geophys. 2010, 51, 209–219. [Google Scholar] [CrossRef]
- Sano, Y.; Tominaga, T.; Nakamura, Y.; Wakita, H. 3He/4He ratios of methane-rich natural gases in Japan. Geochem. J. 1982, 16, 237–245. [Google Scholar] [CrossRef]
- Giggenbach, W.F. Geothermal solute equilibria. Derivation of Na-K-Mg-Ca geoindicators. Geochim. Cosmochim. Acta 1988, 52, 2749–2765. [Google Scholar] [CrossRef]
- Reed, M.; Spycher, N. Calculation of pH and mineral equilibria in hydrothermal waters with application to geothermometry and studies of boiling and dilution. Geochim. Cosmochim. Acta 1983, 48, 1479–1492. [Google Scholar] [CrossRef]
- Pang, Z.; Reed, M. Theoretical chemical thermometry on geothermal waters: Problems and methods. Geochim. Cosmochim. Acta 1998, 62, 1083–1091. [Google Scholar] [CrossRef]
- Dong, W.; Liao, Z.; Liu, S. Geothermal in Tibet; Science Press: Beijing, China, 2000; pp. 1–300. [Google Scholar]










| ID | H/masl | pH | T/°C | Chemical Composition/(mg/L) | Stable Isotopes/‰ | Recharge Elevation /masl | |||||||||
|---|---|---|---|---|---|---|---|---|---|---|---|---|---|---|---|
| K+ | Na+ | Ca2+ | Mg2+ | Cl− | SO42− | HCO3− | TDS | SiO2 | δ2H | δ18O | |||||
| H01 | 3945 | 7.91 | 64.0 | 21.9 | 267.0 | 41.8 | 5.3 | 169.0 | 329.0 | 140.0 | 1054 | 77.7 | −90 | −11.6 | 5155 |
| H02 | 4282 | 8.29 | 78.0 | 13.7 | 303.0 | 24.3 | 3.9 | 296.0 | 186.0 | 116.0 | 1052 | 76.6 | −92 | −11.7 | 5525 |
| H03 | 4282 | 8.29 | 60 | 11.66 | 301.9 | 25.42 | 0.51 | 232.5 | 301.7 | 110.4 | 1065 | 127.27 | / | / | / |
| H04 | 3794 | 8.82 | 46.0 | 2.6 | 150.0 | 16.3 | 2.2 | 120.0 | 156.0 | 29.7 | 552 | 43.2 | / | / | / |
| H05 | 3790 | 8.08 | 67.0 | 23.8 | 482.0 | 78.5 | 1.7 | 610.0 | 282.0 | 56.5 | 1704 | 108.5 | −88 | −12.2 | 5200 |
| H06 | 4001 | 7.52 | 87.0 | 125.0 | 861.0 | 77.7 | 8.0 | 1461.0 | 36.3 | 134.0 | 2866 | 113.9 | −85 | −11.5 | 5178 |
| ID | Ionic Characterization Coefficients | ||
|---|---|---|---|
| γNa+/γCl− | γCl−/γCa2+ | γCl−/γHCO3− | |
| H01 | 2.44 | 9.11 | 2.07 |
| H02 | 1.58 | 27.45 | 4.38 |
| H03 | 2.00 | 20.61 | 3.62 |
| H04 | 1.93 | 16.59 | 6.94 |
| H05 | 1.22 | 17.51 | 18.55 |
| H06 | 0.91 | 42.37 | 18.73 |
| ID | Gas Componentsφb (%) | Gas Isotopes | ||||||||
|---|---|---|---|---|---|---|---|---|---|---|
| He | N2 | O2 | Ar | CO2 | CH4 | N2/Ar | 3He/4He | 4He/20Ne | R/Ra | |
| H01 | 0.1753 | 83.63 | 13.87 | 1.16 | 1.15 | 0.01 | 72.1 | 4.80 × 10−8 | 101.03 | 0.03 |
| H02 | 0.0142 | 79.29 | 18.53 | 0.96 | 1.2 | - | 82.6 | 1.00 × 10−7 | 3.987 | -- |
| H04 | 0.0052 | 82.64 | 15.91 | 1.2 | 0.25 | - | 68.9 | 6.20 × 10−8 | 7.22 | -- |
| H05 | 0.0375 | 73.67 | 17.3 | 1.13 | 7.83 | 0.04 | 65.2 | 3.90 × 10−8 | 45.542 | 0.02 |
| H06 | 0.0118 | 81.42 | 17.37 | 0.98 | 0.19 | 0.02 | 83.1 | 1.80 × 10−8 | 11.921 | -- |
| ID | T (°C) | SiO2 (Maximum Steam Loss) | SiO2 (No Vapor Loss) | Chalcedony | Silicon Enthalpy Diagram | Multi-Mineral Saturation Indices | COLD Water Mixing Ratios/% | Circulation Depths/m |
|---|---|---|---|---|---|---|---|---|
| H01 | 64 | 121.2 | 123.6 | 95.5 | 193 | 135 | 71.0 | 2732–2985 |
| H02 | 78 | 120.6 | 122.8 | 94.7 | 166 | 139 | 56.9 | 2714–3074 |
| H04 | 44 | 96.8 | 95.1 | 64.7 | 168 | 80 | 79.0 | 1763–2098 |
| H05 | 67 | 136.6 | 141.8 | 115.6 | 230 | 152 | 74.5 | 3136–3363 |
| H06 | 85 | 139.0 | 144.6 | 118.7 | 205 | 159 | 62.4 | 3198–3518 |
Disclaimer/Publisher’s Note: The statements, opinions and data contained in all publications are solely those of the individual author(s) and contributor(s) and not of MDPI and/or the editor(s). MDPI and/or the editor(s) disclaim responsibility for any injury to people or property resulting from any ideas, methods, instructions or products referred to in the content. |
© 2024 by the authors. Licensee MDPI, Basel, Switzerland. This article is an open access article distributed under the terms and conditions of the Creative Commons Attribution (CC BY) license (https://creativecommons.org/licenses/by/4.0/).
Share and Cite
Li, T.; Lu, R.; Xie, W.; Zhu, J.; Liu, L.; Lin, W. Fluid Chemical and Isotopic Signatures Insighting the Hydrothermal Control of the Wahongshan-Wenquan Fracture Zone (WWFZ), NE Tibetan Plateau. Energies 2024, 17, 2715. https://doi.org/10.3390/en17112715
Li T, Lu R, Xie W, Zhu J, Liu L, Lin W. Fluid Chemical and Isotopic Signatures Insighting the Hydrothermal Control of the Wahongshan-Wenquan Fracture Zone (WWFZ), NE Tibetan Plateau. Energies. 2024; 17(11):2715. https://doi.org/10.3390/en17112715
Chicago/Turabian StyleLi, Tingxin, Rui Lu, Wenping Xie, Jinshou Zhu, Lingxia Liu, and Wenjing Lin. 2024. "Fluid Chemical and Isotopic Signatures Insighting the Hydrothermal Control of the Wahongshan-Wenquan Fracture Zone (WWFZ), NE Tibetan Plateau" Energies 17, no. 11: 2715. https://doi.org/10.3390/en17112715
APA StyleLi, T., Lu, R., Xie, W., Zhu, J., Liu, L., & Lin, W. (2024). Fluid Chemical and Isotopic Signatures Insighting the Hydrothermal Control of the Wahongshan-Wenquan Fracture Zone (WWFZ), NE Tibetan Plateau. Energies, 17(11), 2715. https://doi.org/10.3390/en17112715

