Next Article in Journal
The Design and Processor-In-The-Loop Implementation of a Super-Twisting Control Algorithm Based on a Luenberger Observer for a Seamless Transition between Grid-Connected and Stand-Alone Modes in Microgrids
Next Article in Special Issue
An Assessment of Long-Term Climate Change on Building Energy in Indonesia
Previous Article in Journal
Using Artificial Neural Networks to Gather Intelligence on a Fully Operational Heat Pump System in an Existing Building Cluster
Previous Article in Special Issue
Windows of Opportunities: Orientation, Sizing and PV-Shading of the Glazed Area to Reduce Cooling Energy Demand in Sub-Sahara Africa
 
 
Font Type:
Arial Georgia Verdana
Font Size:
Aa Aa Aa
Line Spacing:
Column Width:
Background:
Article

Experimental Study on Spray Cooling Heat Transfer of LN2 for a Large Area

1
School of Energy Science and Engineering, Harbin Institute of Technology, Harbin 150001, China
2
Institute of Industrial Science, The University of Tokyo, Tokyo 153-8505, Japan
*
Authors to whom correspondence should be addressed.
Energies 2023, 16(9), 3877; https://doi.org/10.3390/en16093877
Submission received: 9 March 2023 / Revised: 16 April 2023 / Accepted: 26 April 2023 / Published: 3 May 2023
(This article belongs to the Special Issue Energy Saving Technology in Building)

Abstract

:
Spray cooling has been considered one of the most promising thermal control methods of high-heat flux devices. Most of the spray cooling research focuses on electronic components as the main application object to achieve higher heat dissipation heat flow in ambient temperature regions for small areas. Water is the most common cooling medium. This paper investigates the application of spray cooling thermal control over large areas. In this study, the heat-transfer characteristics of liquid nitrogen (LN2) for large areas was investigated by conducting experiments. The test surface is 500 mm × 500 mm, which was cooled by a nine-nozzle array. The spray nozzles used in the experiment were conical nozzles with an orifice diameter of 1.6 mm, a spray angle of 120°, and a spray height of 42 mm. Liquid nitrogen was forcefully ejected from nozzles by the high pressure of a liquid storage tank to cool the test surface. According to the cooled surfaces, spray directions, and spray pressures, three groups of experiments were conducted. The results showed that the smooth flat surface has the best heat-transfer performance in three kinds of surface structures, which are macro surface, porous surface, and smooth flat surface. The heat-transfer coefficient varied by ±20% with different spray directions, and the surface heat-transfer coefficient increased linearly with increasing spray pressure. Most of the spray cooling research focuses on heat dissipation in the ambient temperature region for equipment over small areas. The results can benefit thermal control application in various fields. The research in this paper can provide a reference for the application of large-area spray cooling, and the application areas mainly include metal manufacturing processing cooling, aircraft skin infrared radiation characteristics modulation, and laser weapon equipment cooling.

1. Introduction

Spray cooling has been widely used in various applications, such as multi-connected air-conditioning [1], power batteries [2], gas turbines [3], space and avionic devices [4], metal smelting, and processing industries [5]. The spray cooling heat-transfer characteristics have significant influence on heat-transfer performance, such as spray direction, spray pressure, surface modification, etc. Silk [4] studied the spray heat-transfer performance by using PF-5060; the spray inclination angle was 0°, 15°, 30°, and 45°, respectively. The inclined spray could effectively avoid the formation of the stagnation zone on the cooled surface, further improving the surface heat-transfer coefficient. Lou [6] experimentally studied the spray heat-transfer effect under low pressure and different spray angles. The larger the spray angle, the better was the heat-transfer effect, and when the spray angle increased by 15°, the temperature of the cooled surface decreased by about 0.5 °C. Liu [7] performed the spray cooling experiments by using water. It was found that an inclined spray could improve the heat-transfer coefficient and the coefficient reached the maximum value when the spray inclination angle was 18°. Compared with the heat-transfer coefficient when the nozzle was not inclined, the coefficient increased by 20%. Gravity would affect the heat-transfer performance for different spray inclination angles. When the spray inclination angle was 0°, the droplet would spread on the surface under the action of gravity and surface tension while reaching the surface. It is easier to form a liquid film on the surface and expand the thermal area of phase transformation [8]. Spray pressure would affect the heat-transfer effect. Liu et al. [9] found that the heat flux of spray heat transfer increased significantly with the increase in spray pressure under the same superheat condition. A different spray flow rate provided a different heat sink, which led to a different heat-transfer performance. When the spray flow was greater than the surface evaporation, a liquid film would be formed on the surface, which increased the thermal resistance and reduced the heat-transfer coefficient. It was easy to form a local dry area on the surface while the spray flow rate was less than the evaporation and it achieved the highest heat-transfer coefficient when the spray flow rate was equal to the evaporation [10,11]. Surface modification is a way to enhance heat transfer. Jiang et al. [12] established the calculation model of a single nitrogen droplet impinging on different wetted wall surfaces and found that improving the wall wettability was beneficial to the radial diffusion of droplets which could increase the transfer area and improve the heat-transfer performance. Zhou et al. [13] experimentally studied the heat-transfer enhancement of modified surface in the closed-loop R404a flash spray cooling system. The surface with macro fins could tremendously enhance the heat transfer due to the increase in the wetted area. The nano-porous qualities could lead to better heat-transfer performance by increasing the number of nucleation sites and improving the wettability of the working fluid. Xu et al. [14] experimentally studied the heat-transfer performance of the spray on flat, rough, micro-structured, and hybrid micro-/nano-structured surfaces based on the R134a refrigeration cycle. Compared to the smooth surface, the micro-structured surface, rough surface, and hybrid micro-/nano structured surface could enhance the CHF by 42%, 15%, and 59%, respectively. In addition, the heat-transfer coefficient was also improved by 28%, 14%, and 42%, respectively. Opoku et al. [15] used deionized water spray cooling to investigate the spray heat-transfer performance of different surfaces. Both flat and wicking surfaces were investigated in experiments. The result showed that the modified wicking surface has a higher CHF of 225 W/cm2 at the cooling temperature difference of 130 °C compared to 160 W/cm2 at the cooling temperature difference of 180 °C. Li et al. [16] investigated the cooling performance of different surfaces using the gas-atomized water spray cooling system. It was found that hydraulic diameter of the micro-groove had a significant influence on the cooling performance of the gas-atomized spray cooling.
As shown in Table 1, most of the current research focuses on electronic components as the main application objects to achieve higher heat dissipation heat flow in small areas. Water is the most common cooling medium. In this paper, a spray cooling experimental system over a large area was designed and built, and liquid nitrogen was introduced as the working fluid. In an attempt to better investigate the enhancement effect of modified surfaces on spray heat transfer and further improving the heat-transfer performance of spray cooling, several experiments of different cooled surfaces, and different spray inclination angles and pressures, were carried out and discussed. The research in this paper can provide a reference for the application of large-area spray cooling, and the application areas mainly include metal manufacturing processing cooling, aircraft skin infrared radiation characteristics modulation, and laser weapon equipment cooling.

2. Experimental Setup

The schematic of the experimental system is shown in Figure 1. The liquid-supplying system, heating system, and measuring system comprise the open-loop spray cooling system. Electric heating sheets and the voltage regulator are the main components of the heating system. The liquid-supplying system includes nozzles, the liquid storage tank, the solenoid valve, and the buffer tank. There is one inlet and nine outlets in the buffer tank, which can distribute the coolant from the liquid storage tank. The solenoid valve is controlled by the temperature controller. The temperature controller can regulate the temperature of the test surface by adjusting the flow of the working fluid through the solenoid valve. The thermocouples and the data-acquisition instrument in the measuring system are the main instruments to monitor the temperature distribution of the test surface. The spray cooling experimental platform of LN2 is shown in Figure 2.
The experimental procedure is as follows:
(1)
Turn on the solenoid valve to keep the pipeline open, then pass nitrogen gas in the pipeline to discharge the air in the pipeline;
(2)
The initial temperature of the cooled surface is controlled at 20 °C by the electric heating sheet and the temperature controller. The opening and closing of the solenoid valve are controlled by another temperature controller, and the solenoid valve closes when the temperature of the cooled surface drops to −60 °C;
(3)
Turn on the data-acquisition instrument and detect the temperature data of the thermocouples. After initialization of the equipment is completed, open the regulator connected with the electric heating sheet so that the temperature of the cooled surface gradually rises and reaches stability. After the temperature of the cooled surface is stabilized for a period of time, close the regulator to stop the heating, and open the liquid supply valve so that the spray cooling system begins to work;
(4)
When the cooled surface temperature decreases to the set temperature, the solenoid valve automatically closes. As the surface temperature gradually rises, the temperature controller automatically adjusts the opening frequency and the duty cycle of the solenoid valve based on the temperature of the thermocouple and the set temperature to achieve the stability of the cooled surface temperature;
(5)
In the cooling process of the cooled surface, the temperature-change data of the temperature picking point on the back of the test plate is measured by the thermocouples with time, and the time taken for the temperature of the cooled surface to drop is displayed. The weighted average of the thermocouple test data is taken so that the cooling curve can be fitted. Then, the spray heat-transfer coefficients of the flat surface, micro-grooved surface, and porous surface can be calculated.

2.1. Spray System

The use of the nozzle array allows for better cooling performance in spray cooling compared to a single nozzle [23].
During the process of phase-change heat transfer, the governing equation is:
ρ ϕ t + div ρ U ϕ = div Γ ϕ grad ϕ + S ϕ
Considering the convection and evaporation of each droplet and according to Equation (1), the heat balance equation is:
ρ ϕ t + div ρ U ϕ = div Γ ϕ grad ϕ + S ϕ
The mathematical description of droplet evaporation is:
d m d d t = h c A d ρ a ln ( 1 + B m )
The force balance equation of droplets under the influence of gravity and resistance in the movement is:
d u d d t = F D ( u a u d ) + g ( ρ d ρ a ) ρ d
where FD is a parameter relevant to the droplet, and FD is defined as F D = 18 μ ρ d d d 2 C D Re d 24 , C D = a 1 + a 2 Re + a 3 Re 2 , and Re d = ρ a d d u d u a μ .
According to Equation (1), the mass conservation equation is:
div ( ρ d u d ) = d m d d t
Gong et al. [24] used a numerical simulation case to verify the appropriate distance of the nozzles in the nozzle array. In the simulation case, the effective cooling area of the test surface is 500 × 500 mm, and liquid nitrogen is used as the cooling medium. A conical nozzle is used in the numerical simulation case. The orifice diameter of the nozzle is 1.6 mm, and the spray diffusion angle is 120°. The distance between the nozzle and the test surface is 42 mm. The flow rate is 0.0228 kg/s. The cooling of the test surface was from the eighth second onwards. The whole process took 30 s and the heat flux is 16,000 W/m2. Three different grid arrangements (3.53 × 105, 1.72 × 106, and 2.67 × 106 nodes) were examined. The temperature of the test surface was taken as the measuring standard and the grid size in the subsequent simulation was 1.72 × 106. The numerical results of Gong et al. [24] are shown in Figure 3.
From Figure 3, it can be seen that in the test surface the temperature distribution is uniform and the effective zone of cooling for the single nozzle is a circular area with a diameter of 160 mm.
Based on the result of Gong et al. [24], the nozzle array should consist of nine nozzles, and the distance between each nozzle should be 166.66 mm, as shown in Figure 4. The characteristics of the nozzles used in the experiment are shown in Table 2.

2.2. Test Surface

Five different surfaces, including the micro-grooved surface and the test surface covered by porous foam, were investigated in this study. As shown in Figure 5, the smooth flat surface (Ra < 0.25 µm) is 570 × 570 × 3 mm, constructed of 7075 aluminium, and the cooled area is 500 × 500 mm.
During the heat-transfer process of the aluminum plate, the surface heat-transfer coefficient could be described as [19]:
h = q T w T d
In this paper, the maximum heat power is 10 kW/m2, and the maximum between Tw and Td is less than 100 K, and the maximum Biot number is:
B i δ h λ = 1.27 × 10 3
The Biot number is less than 0.1, and it can be considered that the internal temperature of the plate after cooling is not different. The differential equation of unsteady heat conduction in the aluminum plate can be simplified as:
ρ c V d T w d t = h A ( T d T w )
The surface heat-transfer coefficient can be obtained by integrating Equation (6):
h = ρ c V Δ T w A ( T d T w ) Δ t = ρ c δ ( T d T w ) Δ T w Δ t
The macro characteristics of the test surface with micro-grooves are shown in Figure 6. The size of the porous copper foam is 500 mm × 500 mm × 2 mm. In this study, three kinds of porous copper foam with different porosities of 50 ppi, 80 ppi, and 110 ppi were selected. It can be seen from Figure 7 that the foam copper was covered on the smooth flat surface of the aluminum plate when it was in the experiment.

2.3. Heater Assembly and Experimental Measurement Facilities

An electric heating sheet was used for heating in the experiment and the heating power of the electric heating sheet is 0.1~20 kW/m2. The electric heating sheet has a gelatinous layer attached to one side to hold tightly to the heated object and a 10 mm thick insulation layer to the other side to reduce the impact of the environment during the experiment.
During the experiment, the TT-T-36-SLE thermocouple manufactured by Omega company was used. The signals generated by the thermocouples were received in real time by Keysight DAQ970A and transmitted to the computer for processing.

3. Error Analysis

The external environment of the experimental system would cause bias in the experimental results. In the experimental process, the ambient temperature was higher than the cooled surface and the LN2, and the external thermal environment would heat the cooled surface and the LN2 flowing in the pipeline, resulting in heat loss in the experimental system. In addition, the cooled surface does not exist in isolation, and the supporting parts of the cooled surface would have an impact on the cooled surface temperature during the experiment. The temperature of the supporting parts would gradually drop during the experiment, and the temperature could reach a minimum of 11.6 °C. These factors would cause errors in the convective heat-transfer coefficient of the spray cooling.
In order to minimize heat loss, it was necessary to insulate each component. In this paper, foam polystyrene was used as the insulation material and each component was insulated using the stacking insulation method. The foam polystyrene thermal conductivity was 0.42 W/(m·K). The relationship between the heat leakage and the insulation thickness is shown in Figure 8, and the thickness of the insulation layer used in the experiment was 30 mm.
In the experimental process, the outer surface of the electric heating sheet was covered by the insulation layer, and the heat would still be conducted within the insulation layer. The general heat loss was 2~3% of the total heat flux, which was 200~300 W/m2.
The accuracy and scale range of the experimental equipment in the study is shown in Table 3.
The electric heating sheet used in the experiment was heated by the electric heating wire and the surface heat source was of non-uniform temperature. The unevenness of temperature was ±3.6%. In this experiment, the density distribution of the spray droplets in different positions led to the inhomogeneity of the surface heat transfer and the difference of the surface temperatures. Multiple thermocouples were arranged on the surface to measure the temperature. The weighted average of the measured results was used to reduce the measurement error caused by the temperature inhomogeneity [17].
The heating power of the electric heater can be calculated by the voltage and resistance of the electric heater:
P = U 2 R
The uncertainty of the heating voltage measurement is ±0.5 V. The heat flux of the electric heater is:
q = U 2 R S
In order to study the uniformity of the cooled surface temperature, the MSE (mean square error) of temperature was analysed for the surface temperature measurement data. The calculation equation is [20]:
M S E = Σ i = 1 n ( T i T ¯ ) 2 n ( n 1 )
The heat-transfer coefficient in the experiment was obtained by measuring the test surface temperature and its change rate. The error of the heat-transfer coefficient was calculated by using the Holman error transfer function [18]. The calculation formula is:
y = f ( x 1 , x 2 , x n )
E r y = y x 1 2 E r x 1 2 + y x 2 2 E r x 2 2 + + y x n 2 E r x n 2
The rate of change of the surface temperature is:
Δ T w Δ t = f ( T w , t ) = T w T w t t
The error of surface temperature change rate is:
E r Δ T w Δ t = 2 1 ( t t ) 2 E r T A l 2 + 2 T w T w ( t t ) 2 2 E r t 2
Ignoring the time error, we can achieve:
E r Δ T w Δ t = 2 1 ( t t ) 2 E r T w 2 = 2 E r T w t t
According to the relation of surface heat-transfer coefficient and error transfer function, we can achieve:
E r h = ρ c T w T d Δ T w Δ t 2 E r δ 2 + ρ c δ Δ T w Δ t 2 1 T w T d 4 E r T w 2 + ρ c δ T w T d 2 E r Δ T w Δ t 2
E r h = ρ c T w T d Δ T w Δ t E r δ 2 + δ Δ T w Δ t E r T w T w T d 2 2 + δ E r Δ T w Δ t 2
According to Equations (18) and (19), the error of the surface heat-transfer coefficient is:
E r h = ρ c T w T d δ Δ T w Δ t E r T w T w T d 2 2 + δ E r Δ T w Δ t 2     = δ ρ c T w T d E r T w Δ T w Δ t T w T d 2 2 + 2 1 t t 2
When the surface temperature changes rapidly with time, the relative error of the surface heat-transfer coefficient is large. By substituting the temperature data and other parameter values into the above equation, the relative error of the surface heat-transfer coefficient in the experiment was about 4.86%.

4. Results and Discussion

4.1. The Effect of Different Surfaces on Cooling

Five different surfaces were selected, including the smooth flat surface (Ra < 0.25 µm), the micro-grooved surface, and three different copper-foam-covered surfaces. The cooling test was carried out on the five surfaces, which decreased from 303.05 K to 261.67 K. The heat power was 10 kW/m2.
The temperature in Figure 9 was the average temperature of the cooled surface. As can be seen from Figure 9, it took 36 s, 26 s, 40 s, 41 s, and 35 s for the temperatures of the smooth flat surface, micro-grooved surface, 50 ppi copper foam, 80 ppi copper foam, and 100 ppi copper foam to decrease from 303.05 K to 261.67 K.
The smooth flat surface could be rapidly cooled, and it maintained stability at low temperature. The surface was heated from 0 to 150 s to cause the temperature to rise near the specified temperature. 150 s to 500 s was the temperature-control process. 500 s to 700 s was the temperature-control process under the heat power of 10 kW/m2. Under the heat power of 10 kW/m2, the surface temperature could still be controlled at a low level, but the surface temperature varied greatly. After the temperature stabilized, the temperature of the central point was maintained at 253.57 ± 0.69 K, and 255 ± 0.78 K at the far point. After adding 10 kW/ m2 heat power on the surface, the temperature of the central point was maintained at 245.47 ± 9.21 K, and 258.89 ± 4.5 K at the far point. Stronger heat transfer of the spray at the center was achieved with dramatic temperature changes in the central area.
The temperature at the center point of the micro-grooved surface was maintained at 253.89 ± 7.76 K. The surface temperature fluctuation was slightly larger and the temperature far from the center could not be well controlled and the surface temperature would continue to rise, which indicated that the heat flux near the center point was higher than 10 kW/m2 and the heat-transfer coefficient far from the center was lower. This may be because the macro-fins changed the surface flow field of the spray droplets. The droplets were more likely to flow to the channel between the macro-fins and drain out, resulting in the amount of retained droplets on the test surface being decreased and the surface heat-transfer coefficient being reduced. This showed that the micro-grooved surface could not achieve continuous temperature control under a high heat flux.
After the surface temperature was stabilized, the central temperature of the surface covered by the foam copper with a porosity of 50 ppi was maintained at 255.21 ± 0.79 K, and the distant temperature was maintained at 256.84 ± 0.31 K. After the surface temperature of the aluminum sheet covered with foam copper with porosity of 80 ppi was stabilized, the central temperature was maintained at 256.35 ± 0.33 K, and the distant temperature was maintained at 256.07 ± 0.72 K. After the surface temperature was stabilized, the central temperature of the surface covered by 110 ppi foam copper was maintained at 255.51 ± 0.21 K, and the distant temperature was maintained at 256.87 ± 0.18 K. It could be seen that the surface temperature uniformity was significantly improved after the surface was covered with foam copper.
After adding 10 kW/m2 heat power on the surface (50 ppi at 325 s, both 80 ppi, and 110 ppi at 420 s), the surface temperature could not be maintained at a stable rate and it continued to rise. This indicated that the heat flux of the surface was less than 10 kW/m2. This may be because the copper surface was covered with foam. The porous structure increased the heat-transfer area and the flow resistance increased. The droplets impacted the surface with reduced velocity, and part of the liquid nitrogen was vaporized in the process of permeation to the copper foam. The effect of the copper foam on the normal resistance of the spray droplets along the cooled surface was greater than the radial penetration and diffusion of the liquid nitrogen droplets along the cooled surface. The heat-transfer coefficient decreased correspondingly and continuous temperature control under the large heat flux could not be achieved.
By comparing the heat-transfer performance of different surfaces, it was found that all five surfaces could achieve the goal of rapid cooling, and the temperature-control response time was less than 1 min. The heat-transfer coefficients of different surfaces are shown in Figure 10. It could be seen that the heat-transfer coefficients of the surface with micro-grooves were lowest, while the heat-transfer coefficients of the smooth flat surface and the surface covered with copper foam were similar. According to Figure 9, only the smooth flat surface could achieve the stability of low temperature control under the high heat flux. Therefore, the smooth flat surface was used in the subsequent experiments.

4.2. The Effect of the Direction of Spray on Cooling

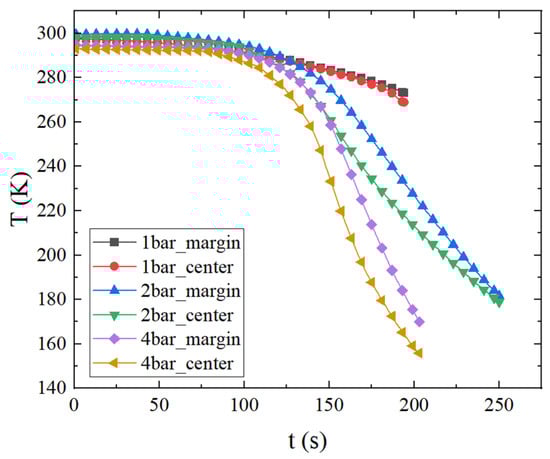
When the spray flowed vertically down to cool the horizontal surface, the droplets would spread outwards after reaching the surface and form a liquid film on the cooled surface under the action of the surface tension and strengthening the heat-transfer process. When the spray flowed along the horizontal direction to cool the vertically placed test plate, the droplets would flow downwards under the influence of gravity after reaching the surface, resulting in the instability of the liquid film formed in the cooled area. When the spray flowed vertically upwards to cool the test plate placed horizontally, the droplets reached the surface and were more likely to form droplets and sputter under the action of gravity (Figure 11). The spray cooling system may have different cooling effects under different spray directions (Figure 12). Therefore, the spray heat-transfer effect when the spray chamber was placed at different angles was considered for study (Figure 13).
The center temperature is the average temperature of T1, T2, T3, T4, T5, T6, T7, T8, and T9 in Figure 14, and the margin temperature is the average temperature of t1, t2, t3, and t4 in Figure 14.
The heat-transfer coefficient was higher in the central area than in the margin area. The heat-transfer coefficient was 103.34 ± 4.34 W/(m2·K) in the vertical downward spray, 86.28 ± 9.13 W/(m2·K) in the horizontal spray, and 65.7 ± 5.86 W/(m2·K) in the vertical upward spray. The results showed that the surface heat-transfer coefficient was significantly lower when spraying upward at the spray pressure of 0.4 × 106 Pa, and the change of the heat-transfer coefficient was about ±20% when spraying in different directions. It can be seen that gravity had a great impact on the heat-transfer coefficient of spray.

4.3. The Effect of Pressure on Cooling

It can be seen from Figure 15 that increasing the pressure could increase the surface cooling rate. When the spray pressure was 105 Pa, the surface heat-transfer coefficient was 24.22 ± 0.78 W/(m2·K); when the spray pressure was 2 × 105 Pa, the surface heat-transfer coefficient was 38.99 ± 2.84 W/(m2·K); and when the spray pressure was 4 × 105 Pa, the surface heat-transfer coefficient was 66.25 ± 6.72 W/(m2·K).
As can be seen from Figure 16, the greater the spray pressure, the greater the surface temperature drop of the test plate. As shown in Figure 17 and Figure 18, the surface heat-transfer coefficient increased with the increase in the spray pressure and the heat-transfer coefficient of the surface increased at a higher rate with the increase in pressure when the spray was sprayed downwards. When the spray pressure was 105 Pa, the surface heat-transfer coefficient was 17.7 ± 6.64 W/(m2·K); when the spray pressure was 2 × 105 Pa, the surface heat-transfer coefficient was 49.66 ± 2.67 W/(m2·K); and when the spray pressure was 4 × 105 Pa, the surface heat-transfer coefficient was 103.54 ± 2.7 W/(m2·K).

5. Conclusions

With the continuous improvement of the detection ability of the infrared imaging system, the aerodynamic heating of the aircraft skin can be detected between 200 K and 350 K. While using coating materials to reduce the surface incidence and achieve infrared stealth, thermal environment control measures are adopted to cool the surface so as to reduce the infrared radiation intensity of the surface. Liquid nitrogen spray heat exchange, as a new rapid cooling technology, has the advantages of a fast cooling speed and a short response time, and is one of the effective ways to solve the problem of rapid large-scale cooling in a low-temperature environment.
In this paper, an experimental platform of LN2 for large-area spray cooling was established. The spray heat-transfer characteristics of different cooled surfaces, and different spray directions and pressures were investigated. The following conclusions were obtained:
  • Five surfaces could achieve the goal of rapid cooling and a temperature-control reaction time of less than 1 min, but only the smooth flat surface could achieve the stability of low temperature control under high heat flux. In this paper, the enhanced heat-transfer effects of five different surfaces were compared. The experimental results showed that the enhanced heat-transfer effect of the smooth flat surface was the best, and the low temperature-control function could still be realized under the large heat power of 10 kW/m2;
  • In the experiment which studied the influence of spray direction, the heat-transfer coefficient was about 103.34 ± 4.34 W/(m2·K) when spraying vertically downward, and 86.28 ± 9.13 W/(m2·K) when spraying horizontally. When spraying vertically upward, the heat-transfer coefficient was about 65.7 ± 5.86 W/(m2·K). The results showed that the surface heat-transfer coefficient was significantly lower when spraying upward at 4 × 105 Pa, and the change of heat-transfer coefficient was about ±20% when the spraying direction was different. It could be seen that gravity had a great influence on the heat-transfer coefficient of the spray;
  • With the increase in the surface spray pressure, the surface heat-transfer coefficient increased. The results showed that the surface spray strengthening of the heat-transfer coefficient increases linearly along with the change of pressure, but the increased rate under a different spray direction was different, and, when spraying down, the surface heat-transfer coefficient with the increase in the pressure rate was higher.

Author Contributions

Conceptualization, Q.A., J.G. and Y.S.; Methodology, J.G.; Validation, Y.G.; Formal analysis, Q.A.; Investigation, J.Z. and Y.G.; Resources, J.G.; Data curation, J.Z. and Y.G.; Writing—original draft, J.Z.; Writing—review & editing, Q.A.; Supervision, Q.A. and Y.S.; Project administration, Y.S.; Funding acquisition, Y.S. All authors have read and agreed to the published version of the manuscript.

Funding

This work was supported by the National Major Scientific Instruments and Equipment Development Project of the National Natural Science Foundation of China (NSFC) (no. 52227813) and the National Key R&D Program of China (no. 2022YFC2204300).

Data Availability Statement

Public databases.

Conflicts of Interest

The authors declare no conflict of interest.

Nomenclature

Uspeed vector
Sggeneralized source term
mdquality of droplet
Tddroplet temperature
Tatemperature of environment
hcconvection heat-transfer coefficient
hsurface heat-transfer coefficient
ttime
Lhdroplet evaporation coefficient
Addroplet surface area
Bmmass exchange coefficient
FDdrag coefficient
udvelocity of droplet
uavelocity of environment fluid
ggravity acceleration
ReReynolds number
RedReynolds number of droplet
qheat flux
BiBiot number
Twtemperature of the test surface
cspecific heat capacity of the test plate
Pheating power of the electric heater
Rresistance of the electric heater
Sheat area of the electric heater
Timeasurement temperature of thermocouples
T ¯ average of the measurement temperature of thermocouples
E r Δ T w Δ t error of surface temperature change rate
E r t error of time
E r h error of the surface heat-transfer coefficient
E r δ error of the test thickness
Greek Letters
ϕcommon variable
Γϕgeneralized diffusion coefficient
ρvariable density
ρaenvironment fluid density
ρddroplet density
δtest plate thickness

References

  1. Yalong, T. Application of Spray Cooling Technology in Multi-connected Air Conditioning (Heat Pump) Units. Mod. Ind. Econ. Inf. 2022, 12, 115–117. [Google Scholar]
  2. Dong, B.; Sun, Q.; Gao, C.; Liang, K.; Li, Y.; Wang, L. Study on Spray Cooling Heat Transfer Performance of Power Battery. J Eng. Thermophys-Rus. 2022, 43, 1588–1595. [Google Scholar]
  3. Niu, C.; Hua, J.; Wang, K.; Liu, Z. Numerical Investigation on Flow and Heat Transfer in Spray Cooling of Gas Turbines. J. Eng. Therm. Energy Power 2022, 37, 91–96+194. [Google Scholar]
  4. Silk, E.A.; Kim, J.; Kiger, K. Spray cooling of enhanced surfaces: Impact of structured surface geometry and spray axis inclination. Int. J. Heat Mass Tran. 2006, 49, 4910–4920. [Google Scholar] [CrossRef]
  5. Hu, C. Online Local Enhanced Cooling and Property Control of Hot Rolled H-Beam. Master’s Thesis, Yanshan University, Qinhuangdao, China, 2022. [Google Scholar]
  6. Lou, J. Experimental Measurements and Theoretical Analysis Spray Cooling under Low Pressure. Master’s Thesis, Harbin Institute of Technology, Harbin, China, 2014. [Google Scholar]
  7. Liu, N.; Li, L.; Kang, Y.T. Experimental study on heat transfer performance enhancement by micro-structured surfaces for inclination spray application. Int. J. Heat Mass Tran. 2019, 133, 631–640. [Google Scholar] [CrossRef]
  8. Long, H. Experimental Study on Heat Transfer Enhancement for Spray Cooling. Ph.D. Thesis, Nanjing University of Aeronautics and Astronautics, Nanjing, China, 2018. [Google Scholar]
  9. Liu, L.; Wang, X.; Ge, M.; Zhao, Y. Experimental study on heat transfer and power consumption of low-pressure spray cooling. Appl. Therm. Eng. 2021, 184, 116253. [Google Scholar] [CrossRef]
  10. Chunchao, Q. Investigation on Heat Performance of Spray Cooling System. Master’s Thesis, Zhongyuan University of Technology, Zhengzhou, China, 2015. [Google Scholar]
  11. Ranran, Y. Experimental and Theoretical Study on Spray Cooling to Enhance Heat Transfer. Master’s Thesis, Hebei University of Technology, Tianjin, China, 2017. [Google Scholar]
  12. Zhao, K.; She, Y.; Jiang, Y.; Qin, J.; Zhang, Z. Numerical study on phase change behavior of liquid nitrogen droplets impinging on solid surface. Acta Phys. Sin. 2019, 68, 244401. [Google Scholar] [CrossRef]
  13. Zhou, Z.; Lin, Y.; Tang, H.; Fang, Y.; Chen, B.; Wang, Y. Heat transfer enhancement due to surface modification in the close-loop R410A flash evaporation spray cooling. Int. J. Heat Mass Tran. 2019, 139, 1047–1055. [Google Scholar] [CrossRef]
  14. Xu, R.; Cao, L.; Wang, G.; Chen, J.; Jiang, P. Experimental investigation of closed loop spray cooling with micro- and hybrid micro-/nano-engineered surfaces. Appl. Therm. Eng. 2020, 180, 115697. [Google Scholar] [CrossRef]
  15. Opoku, R.; Kizito, J.P. Experimental investigation of heat transfer characteristics and performance of smooth and wicking surfaces in spray cooling for high heat flux applications. Results Eng. 2020, 6, 100119. [Google Scholar] [CrossRef]
  16. Wang, J.; Li, Y.; Zhong, M.; Zhang, H. Investigation on a gas-atomized spray cooling upon flat and micro-structured surfaces. Int. J. Therm. Sci. 2021, 161, 106751. [Google Scholar] [CrossRef]
  17. Liang, Z. Design of Circulatory Spray Cooling System and Experimental Study of Spray Cooling. Master’s Thesis, Xidian University, Xi’an, China, 2010. [Google Scholar]
  18. Wei, Z. Investigation of Heat Transfer Characteristics of Spray Cooling on Micro-Grooved Surface. Ph.D. Thesis, China University of Petroleum (East China), Dongying, China, 2013. [Google Scholar]
  19. Yang, Q.; Jionghui, L.; Mei, L.; Xiufang, L.; Yu, H. Experimental Study on Heat Transfer Performance of Phase Change Spray Cooling with R134a. J. Xi’an Jiaotong Univ. 2015, 49, 97–101. [Google Scholar]
  20. Lijia, J. Study on Heat Transfer Characteristics of Compact Micro Spray Cold Plate. Master’s Thesis, University of Science and Technology of China, Beijing, China, 2019. [Google Scholar]
  21. Ruan, Y.; Hou, Y.; Xue, R.; Luo, G.; Zhu, K.; Liu, X.; Chen, L. Effects of operational parameters on liquid nitrogen spray cooling. Appl. Therm. Eng. 2019, 146, 85–91. [Google Scholar] [CrossRef]
  22. She, Y.; Jiang, Y. Investigation on the spray cooling performance with liquid nitrogen. Int. Commun. Heat Mass 2022, 136, 106200. [Google Scholar] [CrossRef]
  23. Hou, Y.; Tao, Y.; Huai, X.; Zou, Y.; Sun, D. Numerical simulation of multi-nozzle spray cooling heat transfer. Int. J. Therm. Sci. 2018, 125, 81–88. [Google Scholar] [CrossRef]
  24. Gong, Y.; Zhao, J.; Li, W.; Ai, Q.; Gong, J.; Shuai, Y.; Sun, C. Experimental Investigation on Heat Transfer Characteristics of Liquid Nitrogen Spray Cooling for Large Area. Energies 2023, 16, 403. [Google Scholar] [CrossRef]
Figure 1. Schematic diagram of the experimental system.
Figure 1. Schematic diagram of the experimental system.
Energies 16 03877 g001
Figure 2. Experimental platform.
Figure 2. Experimental platform.
Energies 16 03877 g002
Figure 3. Temperature distribution of the test surface with a single nozzle in a steady state [24].
Figure 3. Temperature distribution of the test surface with a single nozzle in a steady state [24].
Energies 16 03877 g003
Figure 4. Nozzles layout.
Figure 4. Nozzles layout.
Energies 16 03877 g004
Figure 5. The smooth flat surface.
Figure 5. The smooth flat surface.
Energies 16 03877 g005
Figure 6. Test surface with micro-grooves.
Figure 6. Test surface with micro-grooves.
Energies 16 03877 g006
Figure 7. Schematic diagram of porous surface.
Figure 7. Schematic diagram of porous surface.
Energies 16 03877 g007
Figure 8. Change of unit heat exchange with insulation layer thickness.
Figure 8. Change of unit heat exchange with insulation layer thickness.
Energies 16 03877 g008
Figure 9. The cooling curve of different surfaces.
Figure 9. The cooling curve of different surfaces.
Energies 16 03877 g009
Figure 10. Average heat-transfer coefficients of the different surfaces.
Figure 10. Average heat-transfer coefficients of the different surfaces.
Energies 16 03877 g010
Figure 11. Schematic of different spray directions. (a) Horizontal spray; (b) vertical up spray; and (c) vertical down spray.
Figure 11. Schematic of different spray directions. (a) Horizontal spray; (b) vertical up spray; and (c) vertical down spray.
Energies 16 03877 g011
Figure 12. Temperature curve with time under different spray directions.
Figure 12. Temperature curve with time under different spray directions.
Energies 16 03877 g012
Figure 13. The heat-transfer coefficient under different spray directions.
Figure 13. The heat-transfer coefficient under different spray directions.
Energies 16 03877 g013
Figure 14. Arrangement of the thermocouples.
Figure 14. Arrangement of the thermocouples.
Energies 16 03877 g014
Figure 15. Temperature changes under different pressures in the vertical upward spray.
Figure 15. Temperature changes under different pressures in the vertical upward spray.
Energies 16 03877 g015
Figure 16. Temperature changes under different pressures in the vertical downward spray.
Figure 16. Temperature changes under different pressures in the vertical downward spray.
Energies 16 03877 g016
Figure 17. The heat-transfer coefficient under different pressures in the vertical upward spray.
Figure 17. The heat-transfer coefficient under different pressures in the vertical upward spray.
Energies 16 03877 g017
Figure 18. The heat-transfer coefficient under different pressures in the vertical downward spray.
Figure 18. The heat-transfer coefficient under different pressures in the vertical downward spray.
Energies 16 03877 g018
Table 1. Research of spray cooling.
Table 1. Research of spray cooling.
YearApplicationArea of
Cooling (mm2)
Surface
Nature
Spray
Fluid
2006Space and avionic device [4]200Flat surfacePF-5060
400Cubic pin fins
400Straight fins
450Pyramids
2010Electronic devices cooling [17]30 × 30Copper surfaceWater
2013Electronic devices cooling [18]20 × 20Flat surfaceWater
Micro-grooved surface
2014Electronic devices cooling [6]7854Stainless-steel surfaceWater
Copper surface
Aluminum surface
2015Electronic devices cooling [10]113Copper surfaceR134a
Al2O3-water-based nanofluid
2015Electronic devices cooling [19]254Copper surfaceR134a
2017Air-conditioning refrigeration and
electronic devices cooling [11]
314Copper surfaceWater
2018Airborne electronics cooling [8]113Micro-grooved surfaceWater
2019Spray cooling
mechanism study [7]
408.9Rectangular finsWater
361.8Trapezoidal fins
316.2Triangular fins
201.1Projected area
2019Spray cooling
mechanism study [12]
-No-slip wall surfaceLiquid nitrogen
2019Electronic devices cooling [13]177Pyramid fins surfaceR410a
Square fins surface
Flat surface
Nano-porous flat
surface
2019Electronic devices cooling [20]380 × 80Aluminum surfaceWater
40% ethylene
glycol aqueous
solution
2019Wind tunnel [21]--Liquid nitrogen
2020Electronic devices cooling [14]113Flat surfaceR134a
Rough surface
Micro-structured
surface
Hybrid micro-/nano-engineered surface
2020Electronic devices cooling [15]-Smooth surfaceDeionized water
V-grooved surface
2021Electronic devices cooling [9]314Copper surfaceWater
2021Electronic devices cooling [16]13 × 13Micro-square
fin surface
Distilled water
2022Air-conditioning refrigeration [1]--Water
2022Battery cooling [2]45 × 270Aluminium surfaceR134a
2022Gas turbine [3]--Water
2022Metal smelting and
processing industry [5]
200 × 200Steel surfaceWater
2022Thermal management [22]148Copper surfaceLiquid nitrogen
Table 2. Characteristics of spray nozzles in the experiment.
Table 2. Characteristics of spray nozzles in the experiment.
Nozzle
Type
Orifice
Diameter (mm)
Spray Diffusion Angle (°)Distance to Test
Surface (mm)
Cone1.612042
Table 3. Parameters of experimental instruments.
Table 3. Parameters of experimental instruments.
NameScale RangeError Range
TDGC2J voltage regulator0~300 V-
Electric heating sheet~200 °C±5%
Cold solenoid valve~1.6 MPa-
TT-T-36-SLE thermocouple−200–260 °C±0.4%
Data-acquisition instrument (Keysight DAQ970A)-0.004%
Disclaimer/Publisher’s Note: The statements, opinions and data contained in all publications are solely those of the individual author(s) and contributor(s) and not of MDPI and/or the editor(s). MDPI and/or the editor(s) disclaim responsibility for any injury to people or property resulting from any ideas, methods, instructions or products referred to in the content.

Share and Cite

MDPI and ACS Style

Zhao, J.; Guo, Y.; Ai, Q.; Gong, J.; Shuai, Y. Experimental Study on Spray Cooling Heat Transfer of LN2 for a Large Area. Energies 2023, 16, 3877. https://doi.org/10.3390/en16093877

AMA Style

Zhao J, Guo Y, Ai Q, Gong J, Shuai Y. Experimental Study on Spray Cooling Heat Transfer of LN2 for a Large Area. Energies. 2023; 16(9):3877. https://doi.org/10.3390/en16093877

Chicago/Turabian Style

Zhao, Jinhong, Yanming Guo, Qing Ai, Jiaming Gong, and Yong Shuai. 2023. "Experimental Study on Spray Cooling Heat Transfer of LN2 for a Large Area" Energies 16, no. 9: 3877. https://doi.org/10.3390/en16093877

APA Style

Zhao, J., Guo, Y., Ai, Q., Gong, J., & Shuai, Y. (2023). Experimental Study on Spray Cooling Heat Transfer of LN2 for a Large Area. Energies, 16(9), 3877. https://doi.org/10.3390/en16093877

Note that from the first issue of 2016, this journal uses article numbers instead of page numbers. See further details here.

Article Metrics

Back to TopTop