Next Article in Journal
Energy Supply Systems Predicting Model for the Integration of Long-Term Energy Planning Variables with Sustainable Livelihoods Approach in Remote Communities
Next Article in Special Issue
Assessment of Energy Efficiency Using an Energy Monitoring System: A Case Study of a Major Energy-Consuming Enterprise in Vietnam
Previous Article in Journal
An IoT-Based Solution for Monitoring and Controlling Battery Energy Storage Systems at Residential and Commercial Levels
Previous Article in Special Issue
A Critical Review of Optimization Strategies for Simultaneous Integration of Distributed Generation and Capacitor Banks in Power Distribution Networks
 
 
Font Type:
Arial Georgia Verdana
Font Size:
Aa Aa Aa
Line Spacing:
Column Width:
Background:
Article

Dual-Extended State Observer-Based Feedback Linearizing Control for a Nonlinear System with Mismatched Disturbances and Uncertainties

1
Department of Robotics and Automation, Ajeenkya D.Y. Patil University, Pune 412105, India
2
Department of Electronics and Instrumentation, Nirma University, Gujarat 382481, India
3
Department of Electrical Engineering Technology, University of Johannesburg, Johannesburg 2006, South Africa
*
Author to whom correspondence should be addressed.
Energies 2023, 16(7), 3142; https://doi.org/10.3390/en16073142
Submission received: 15 February 2023 / Revised: 22 March 2023 / Accepted: 29 March 2023 / Published: 30 March 2023
(This article belongs to the Special Issue Key Technologies and Challenges for Power Electronics System)

Abstract

This research article presents the nonlinear control framework to estimate and reject the mismatched lumped disturbances acting on the nonlinear uncertain system. It is an unfortunate fact that the conventional extended state observer (ESO) is not capable of simultaneously estimating the mismatched lumped disturbance and its derivative for the systems. Moreover, the basic ESO is only suitable for systems with integral chain form (ICF) structures. Similarly, the conventional feedback linearizing control (FLC) approach is not robust enough to stabilize systems in the presence of disturbances and uncertainties. Hence, the nonlinear control framework is proposed to overcome the above issues, which are composed of (a) a dual-extended state observer (DESO), and (b) a DESO-based FLC. The DESO provides information on the unmeasured state, mismatched disturbance, and its derivatives. The DESO-FLC utilizes the information from the DESO to counter the effects of such disturbances and to stabilize the nonlinear systems around the reference point. The detailed closed-loop analysis is presented for the proposed control framework in the presence of lumped disturbances. The performance robustness of the presented design was validated for the third-order, nonlinear, unstable, and disturbed magnetic levitation system (MLS). The results of the DESO-FLC approach are compared with the most popular linear quadratic regulator (LQR) and nonlinear FLC approaches based on the integral error criterion and the average electrical energy consumption.

1. Introduction

Modern control systems are, most of the time, affected by one or more irregularities, such as parameter uncertainties, unmodeled dynamics, nonlinearities, and external disturbances. In general, the combined effect of such irregularities is known as lumped disturbance [1]. The feed-forward compensation is one of the most common approaches to compensate for the effects of measurable/predictable disturbances. In day-to-day applications, it is very difficult to measure/predict the individual effects of such disturbances, which restrict the usage of the feed-forward compensation. This unfortunate reality has increased the popularity of lumped disturbance estimation and rejection methodologies. In the past two decades, various approaches have been reported to estimate such disturbances. This includes the new extended state observer (nESO) [2], the hybrid ESO (HESO) [3], the disturbance observer (DOB) [1], the generalized DOB (GDOB) [4], the equivalent input disturbance (EID) [5], and the active disturbance rejection control (ADRC) [6]. Among these approaches, the ESO is a widely used method due to the requirement of minimal system information. The ESO is the fundamental component of the ADRC methodology [6]. These features have rapidly boosted the feasibility and applicability of ESO-based control (ESOBC) methodologies [7]. For the majority of control systems, the lumped disturbance can be classified as either (a) matched disturbance or (b) mismatched disturbance, based on the applied control input signal (i.e., u ( t ) ) [8]. The matched disturbance and control input signals enter the systems via the same channel. Therefore, the matched disturbance is easy to estimate and reject compared to the mismatched disturbance [9]. In the beginning, the ESO was developed for estimating the matched type of lumped disturbance. Further, this is applicable to a system with an integral chain form (ICF) canonical structure [10]. It may not be possible or feasible for each system to transform into such ICF structures [11]. These above-discussed limitations of ESO have encouraged the research community to upgrade the functionality of ESO. Further, the ESO methodology has been re-designed to tackle the mismatched lumped disturbances with or without ICF structures, such as the generalized ESO (GESO) [12], novel ESO (NESO) [13], enhanced ESO (EESO) [14], predictive ESO (PESO) [15], ESO-sliding mode control (ESO-SMC) with a model reference control [16,17], ESO-based adaptive constraint control [18], neural network-based ESO [19], and many more. Once, the mismatched disturbance is estimated, the next crucial task is to design the disturbance rejection control structures. To date, a variety of control structures have been designed and implemented using the information from the ESO. The most popular structures include SMC [20,21], feedback linearizing control (FLC) [22,23], active disturbance rejection control (ADRC) [24], anti-disturbance control [25], etc.
Most of the above-mentioned ESO-based control schemes have been designed and implemented for lower-order uncertain systems (i.e., order up to the second order). However, in many recent articles [26,27], the DOBC schemes have been designed for higher-order uncertain systems (i.e., an order greater or equal to three). The majority of the above-mentioned articles have utilized FLC schemes integrated with the ESO or the DOB to estimate and suppress mismatched disturbances. However, the structural limitations of the FLC-like state transformation [28] may restrict the usage of ESO-based FLC schemes. Most of the DOB approaches, including the ESO, may be insufficient at providing information on the first derivative of the lumped disturbances [23,27]. Hence, the DOB- or ESO-based FLC structure may only apply to a limited number of applications.
Hence, to broaden the applicability of the FLC in practical applications, we introduced the dual-extended state observer-based FLC (DESO-FLC) approach. The novel contribution of this paper is summarized as follows:
1.
The dual ESO (DESO) with the nonlinear structure was designed to estimate (a) the mismatched disturbance with sinusoidal, step-change, saw-tooth, square patterns, and (b) the first-order derivative of the mismatched disturbance simultaneously, which were recent limitations for [2,16,23]
2.
The FLC structure was integrated with the nonlinear-type DESO to provide a more robust performance against the mismatched time-varying lumped disturbances [3,18].
3.
The designed control structure was validated via simulation for the third-order uncertain magnetic levitation system (MLS) to estimate and suppress the combined effect of (a) the external payload disturbance, and (b) the parametric uncertainties.
4.
The convergence analysis was carried out for DESO-FLC-based uncertain systems.
5.
The performance of the proposed design was compared with the most popular LQR and FLC approaches for diverse operating conditions using the integral error criterion (i.e., ITAE, ISE).
The structure of the paper is organized as follows. In Section 2, preliminaries of the conventional ESO-based feedback linearizing control are discussed. Section 3 presents the detailed problem formulation. Section 4 represents the foundation and design of the proposed DESO-based control (DESOBC) with the FLC approach. In Section 5, simulation results are presented for the nonlinear, unstable, uncertain, and disturbed magnetic levitation system (MLS) using the proposed technique. Finally, the concluding observations are summarized in Section 5.

2. Preliminaries

In this section, the basic structure and algorithm for the (a) ESO and (b) FLC methods are discussed. To date, these methods have been widely used for a broad range of practical applications.

2.1. Extended State Observer

The concept of ESO was first introduced by Han [29] to observe the disturbance as an extended state. The conventional nth order single input–single output (SISO) uncertain system with ICF is presented as follows [12]:
x ˙ 1 = x 2 x ˙ 2 = x 3 x ˙ n = f ( x 1 , x 2 , , x n , d ( t ) , t ) + γ u y = x 1
where x R n is the state vector, x 1 , x 2 , ..., x n are states, u is a control input, y is a controlled output, d ( t ) is an external disturbance, γ is the coefficient of the control input, and f ( x ( t ) , d ( t ) , t ) presents the lumped disturbance. This disturbance is tackled by considering it as one of the extended states ( x n + 1 ) of the system (1) as follows:
x n + 1 = f ( x 1 , x 2 , , x n , d ( t ) , t )
Combining (1) and (2), the extended state-based dynamic equation is written as
x ˙ 1 = x 2 x ˙ 2 = x 3 x ˙ n = x n + 1 + γ u x ˙ n + 1 = f ˙ ( x ( t ) , d ( t ) , t )
The above-mentioned dynamics in (3) are transformed by v m = x n + 1 to estimate f ( x ( t ) , d ( t ) , t ) as well as any unmeasured states. The nonlinear ESO (NESO) with the bounded conditions, i.e., | f ( x ( t ) , d ( t ) , t ) | < Ω 1 and | f ˙ ( x ( t ) , d ( t ) , t ) | < Ω 2 are described as follows [30,31]:
v ^ ˙ 1 = v ^ 2 l 1 g 1 ( e y , ρ 1 , δ 1 ) v ^ ˙ 2 = v ^ 3 l 2 g 2 ( e y , ρ 2 , δ 2 ) v ^ ˙ m 1 = v ^ m l m 1 g m 1 ( e y , ρ m 1 , δ m 1 ) + γ u v ^ ˙ m = l m g m ( e y , ρ m , δ m )
where e y = y ^ y is the output estimation error, and l i and g i ( e , ρ i , δ i ) are the linear and nonlinear gains of the NESO. The standard expression for g i ( e , ρ , δ ) with the fine-tuning of parameters (i.e., ρ i and δ i ) are expressed with i = 1 , 2 , . . . , m as follows [29,32]:
g i ( e y , ρ i , δ i ) = | e y | ρ i s i g n ( e y ) , | e y | > δ i e y δ i 1 ρ i , | e y | δ i
It has been shown that the error dynamics of the NESO converge under bounded conditions and the proper selection of the gains (i.e., ρ i and δ i ) [7]. Hence, the NESO-based control law (u) can be written by (6).
u = K x x + K r r v ^ m γ
Here, K x > 0 and K r > 0 are the state-feedback gain vector and reference gain, respectively, with the reference value (r). For brevity, in this manuscript, variables are presented only by the symbol without the function of time (i.e., x ( t ) is presented by x). It has been reported that the disturbance considered for the ESO (i.e., f ( x ( t ) , d ( t ) , t ) ) is a class of “matching lumped disturbances”. To understand such a disturbance, the uncertain SISO system in (1) is presented in a more generalized form in (7) as shown below [10]:
x ˙ = A x x + B u u + B f f ( x ( t ) , d ( t ) , t ) y = C x x
Definition 1 
(Lumped disturbance [12]). This is a class of generalized disturbances that includes a combination of external disturbances, unmodeled dynamics, parameter variations, and complex nonlinear dynamics.
Definition 2 
(Matching Lumped disturbance [12]). This is a class of lumped disturbances with B u = δ B f , δ R .

2.2. Feedback Linearizing Control

In general, the affine dynamics for the nth-order nonlinear SISO system are described by the following equations [33].
x ˙ = f x ( x ) + g u ( x ) u y = h ( x )
where x R n is the state vector with x 1 , x 2 , ..., x n are states, u is a control input, y is a controlled output, f x ( x ) , g u ( x ) and h ( x ) are the smooth vectors presenting the states, input, and output, respectively. As described in [34], it is possible to transform (i.e., z = T ( y ) R n r × 1 ) the nonlinear dynamics of (8) in the canonical form if the relative degree n r equals the order n of the system using Lie algebra, as shown below [35]:
z = h ( x ) L f 1 h ( x ) L f 2 h ( x ) L f n 1 h ( x )
New transformed dynamics of (8) are described using (9), as follows:
z ˙ = z 2 z 3 γ 1 ( x ) + 0 0 γ 2 ( x ) u y = z 1
Hence, following the nonlinear control law integrated with the state-feedback control u c = K z z + K r r presented in (11) or (12) would suppress the effects of nonlinearities (i.e., x , γ 1 ( x ) 0 , γ 2 ( x ) 0 ) and stabilize the system around the reference value (r).
u = γ 2 1 ( x ) γ 1 ( x ) u c
or
u = γ 2 1 ( x ) γ 1 ( x ) K z z K r r
Here, K z > 0 and K r > 0 are the state-feedback gain vector and reference gain, respectively, as discussed in the earlier section.

3. Problem Statements

The brief on the conventional FLC approach was discussed in the previous section for nonlinear SISO systems. It has been shown that FLC is capable of suppressing the effect of nonlinearities from the output of systems [33] and can be used to stabilize and track the considered nonlinear system. The application of ESO in estimating the lumped disturbances as well as unknown states was also briefly explained in the previous section. Based on the structure of FLC and ESO, the following problem statements have been formulated.
1.
The FLC approach may not provide robust performance in the presence of lumped disturbances. The addition of integral action (i.e., FLC + I) can be seen as one of the solutions to suppress the constant or the slow-varying disturbances [4]. However, the nominal performance of the uncertain system may be degraded using such integral action when there is no disturbance [31].
2.
To handle such lumped disturbances for the second-order nonlinear systems, the FLC integrated with the DOB (i.e, FLC + DOB) was proposed in [23]. Such a method may not be suitable for the following type of higher-order nonlinear systems in (13). For brevity, the higher-order system is presented by (14) with n = 3 in this research.
x ˙ 1 = x 2 x ˙ 2 = α 1 ( x ) + f ( x , d ( t ) , t ) x ˙ 3 = α 2 ( x ) x ˙ n = β ( x ) + γ ( x ) u y = x 1
or
x ˙ 1 = x 2 x ˙ 2 = α ( x ) + f ( x , d ( t ) , t ) x ˙ 3 = β ( x ) + γ ( x ) u y = x 1
3.
The group of uncertain systems presented by (14) was affected by the multiple nonlinearities (i.e., α ( x ) , β ( x ) , γ ( x ) ) and the mismatched lumped disturbance (i.e, f ( x , d ( t ) , t ) ).
(a)
Nonlinear terms can be compensated from the output using the FLC methods. Now, the conventional ESO method can be utilized to tackle the matched lumped disturbances for the systems with ICF structures [12]. However, the considered system is affected by the mismatched lumped disturbance and does not follow the ICF structure. Hence, neither the conventional ESO method [29] nor the FLC + DOB method [23] can provide robust performance.
(b)
The considered third-order system in (14) can be expressed in the input–output form using the derivatives of the output as follows:
y ˙ = x 2 y ¨ = α ( x ) + f ( x , d ( t ) , t ) y = α ˙ ( x ) + f ˙ ( x , d ( t ) , t )
Hence, based on (15), to compensate for the unwanted effects of the nonlinearities and the disturbances together using the conventional FLC approach, it is recommended to estimate the unknown states, the mismatched lumped disturbance ( f ( x , d ( t ) , t ) ), and its first derivative ( f ˙ ( x , d ( t ) , t ) ). For the higher-order systems (i.e, n > 3 ), the estimation of the second- and higher-order derivatives is required.
4.
Finally, to remove the above-stated problems, it is necessary to investigate and expand the individual functionalities of the FLC and the ESO for higher-order ( n = 3 for this research) uncertain systems. In such situations, the usage of ESO methods is more favorable in estimating the unknown states, disturbances, and their higher-order derivatives simultaneously [12,21,23,27,36].

4. Dual-Nonlinear Extended State Observer-Based FLC

This section is designed to address the problems associated with the conventional ESO (nonlinear type) and FLC in handling the mismatched lumped disturbance for the uncertain systems in (14). The proposed research in this section is presented in two subsections: (a) DESO and (b) DESO-FLC, respectively. The design of such modified structures is valid under the following assumptions.
Assumption A1 
([37]). For most of the real-time physical uncertain systems, f ( x , d ( t ) , t ) and its higher-order derivatives can be assumed as the bounded signals, i.e., | f ( x , d , t ) | < Ω 1 , | f ˙ ( x , d , t ) | < Ω 2 , | f ¨ ( x , d , t ) | < Ω 3 .
Assumption A2 
([28]). The known smooth function ( α ( x ) ) in (14) is continuously differentiable and can be further expressed using the partial derivatives as follows:
α ˙ ( x ) = α 1 ( x ) x ˙ 1 + α 2 ( x ) x ˙ 2 + α 3 ( x ) x ˙ 3 α j ( x ) = α ( x ) x j , j = 1 , 2 , 3

4.1. Dual-Extended State Observer (DESO)

In this section, the unknown state ( x 2 ), mismatched lumped disturbance ( f ( x , d ( t ) , t ) ), and its first derivative ( f ˙ ( x , d ( t ) , t ) ) are estimated simultaneously using the conventional nonlinear ESO. The reduced-order dynamics in (14) can be presented as follows:
x ˙ 1 = x 2 x ˙ 2 = α ( x ) + f ( x , d ( t ) , t ) y = x 1
It is possible to present the lumped disturbance using a neutralized dynamic model with w 1 = f ( x , d ( t ) , t ) and w 2 = f ˙ ( x , d ( t ) , t ) as follows [38]:
w ˙ = A w w + B w f ¨ ( x ( t ) , d ( t ) , t )
where
w = w 1 w 2 , A w = 0 1 0 0 , B w = 0 1
Now, cascading the reduced-order dynamics in (17) and the disturbance model dynamics in (19), the new state vector ( x c ) for the DESO can be written as follows:
x c = x 1 x 2 w 1 w 2 , f c = f ¨ ( x ( t ) , d ( t ) , t )
Hence, the dynamics of the dual ESO with the known information vector ( Φ k ( x ) ) can be described as follows:
x ˙ c = A c x c + B c f c + ϕ k x y c = C c x c
where
A c = 0 1 0 0 0 0 1 0 0 0 0 1 0 0 0 0 , B c = 0 0 0 1 , C c = 1 0 0 0 T , ϕ k ( x ) = 0 α ( x ) 0 0
Assumption A3. 
The dual ESO presented by (21) has the observable pair ( A c , C c ).
Under Assumptions (2) and (3), the unknown states of (21) can be estimated using the nonlinear ESO (NESO) described earlier in (4) as follows:
x ^ ˙ c = A c x ^ c + ϕ k x l j g j ( e y , ρ j , δ j ) , j = 1 , 2 , 3 , 4
y ^ c = C c x ^ c
Theorem 1 
(Convergence of ESO). Suppose that Assumptions 13 are satisfied. Then the dynamics of DESO presented by (23) converge.
Proof. 
It was proved in [7,39] that the ESO algorithm with nonlinear dynamics for uncertain systems under a proper selection of the gain parameters (i.e., l j , ρ j , δ j ) converges. Hence, the unknown states in (23) approach the estimated states asymptotically as t , with x ^ 1 x 1 ; x ^ 2 x 2 ; w ^ 1 f ( x , d , t ) ; w ^ 2 f ˙ ( x , d , t ) .

4.2. DESO-Based Feedback Linearizing Control

Theorem 2. 
Suppose that Assumptions 1–3 are satisfied and the considered system can be feedback-linearized. Then the output (y) in (14) can be stabilized around the reference value (r) using the following DESO-FLC law with γ ( x ) 0 and α 3 ( x ) 0 .
u = γ 1 ( x ) α 3 1 ( x ) [ f ^ ˙ ( x , d , t ) + α 3 ( x ) β ( x ) + α 2 ( x ) y ¨ + α 1 ( x ) y ˙ + K 3 y ¨ + K 2 y ˙ + K 1 y K r r ]
Proof. 
It is assumed that the considered third-order system is feedback linearized [27]. Hence, it is possible to perform the state transformation described in (9) using y = x 1 and n = 3 as follows:
z = y y ˙ y ¨
Combining (26) and (14), the following equation can be written:
z ˙ = y ˙ y ¨ α ˙ ( x ) + f ˙ ( x , d ( t ) , t )
As we know, under Assumption 2, the partial derivatives of α ( x ) can be expressed by (16). Hence, using the partial derivatives and (14), the modified transformed vector can be expressed as follows:
z ˙ = y ˙ y ¨ α 1 ( x ) y ˙ + α 2 ( x ) y ¨ + α 3 ( x ) [ β ( x ) + γ ( x ) u ] + f ˙ ( x , d ( t ) , t )
Now, implementing the proposed control law (u) into the above dynamics, the following result is obtained.
z ˙ = y ˙ y ¨ α 2 ( x ) e f e ˙ f K 3 y ¨ K 2 y ˙ K 1 y + K r r
Here, e f = f ^ ( x , d ( t ) , t ) f ( x , d ( t ) , t ) and e ˙ f = f ^ ˙ ( x , d ( t ) , t ) f ˙ ( x , d ( t ) , t ) are the disturbance estimation error and its derivative due to the DESO. However, according to Theorem 1, e f asymptotically converges, such that at t , e f ( ) 0 and e ˙ f ( ) 0 . Using these results, the following expression is written:
z ˙ = y ˙ y ¨ K 3 y ¨ K 2 y ˙ K 1 y + K r r
The following differential equation is obtained by converting the transformed dynamics back as a function of the output of the original system dynamics:
y + K 3 y ¨ + K 2 y ˙ + K 1 y = K r r
The state feedback gains (i.e., K 1 , K 2 , K 3 ) and the reference gain ( K r ) can be designed using any appropriate feedback control method, such that at t ,
y ( ) = 0 , y ¨ ( ) = 0 , y ˙ ( ) = 0 , y ( ) = r
Hence, it is proved that the output (y) of the considered third-order nonlinear system is stabilized around r using the DESO-FLC even under the presence of the mismatched lumped disturbances and nonlinearities. □

5. Practical Application and Results

The magnetic levitation system is one of the best practical applications to validate the effectiveness of control algorithms. MLS is a class of nonlinear, unstable, and electromagnetically coupled systems with a broad range of practical applications [40,41]. The schematic of voltage-controlled MLS is presented in Figure 1 [42].
Here, the prime objective is to maintain the air gap (x) between the steel ball and electromagnet by manipulating the coil voltage ( V C ). The mismatched lumped disturbance for this experiment is the total effect due to the payload disturbance and the uncertain electromechanical parameters (i.e., Δ K m , Δ M b ). The voltage-controlled dynamics of MLS with mismatched lumped disturbance ( f ( x , d , t ) ) is expressed by the following third-order nonlinear model [43]:
x ˙ 1 = x 2 x ˙ 2 = g K m 2 M b x 3 x 1 2 + f ( x , d , t ) M b x ˙ 3 = R S + R C L C x 3 + u L C y = x 1
In the above nonlinear disturbed state-model, x 1 , x 2 , and x 3 are three states of the MLS, i.e., ball position (x), ball velocity ( d x / d t ), and coil current (i), respectively. The coil-controlled voltage ( V C ) and the ball position ( x 1 ) are the input (u) and output (y) of the MLS. The parameters used for the MATLAB-2022a software-based simulation in continuous time are mentioned in Table 1 [44,45].
Here, the position of the ball ( x 1 ) and the current flowing through the coil ( x 3 ) can be measured using a position detector and a current sensor, respectively. Hence, the nonlinear dynamics of MLS in (33) can be written in the form of DESO with a smooth function, α ( x ) = g K m 2 M b x 3 x 1 2 . Assumption 3 is true for the MLS, such that it is possible to establish the DESO as described in (21). Using the guidelines in [7,46] for the convergence, the parameters are chosen as w o = 100 , ρ = [ 0.25 0.125 0.075 ] T and δ = [ 0.05 0.5 1 ] T . Using the DESO module, the ball velocity ( x 2 ), the mismatched lumped disturbance, and its first-order derivative can be obtained as x ^ 2 x 2 ; f ^ ( x , d , t ) f ( x , d , t ) ; and f ^ ˙ ( x , d , t ) f ˙ ( x , d , t ) respectively. After obtaining the estimation of the unknown states and lumped disturbances, the DESO-FLC law can be obtained as described in (25). In the case of the MLS, the continuous smooth function α ( x ) and its partial derivatives are presented under Assumption 2, as follows :
α ˙ ( x ) = α 1 ( x ) x ˙ 1 + α 3 ( x ) x ˙ 3 α ˙ ( x ) = α 1 ( x ) x 2 + α 3 ( x ) ( C 2 x 3 + C 3 u )
where
α 1 ( x ) = 2 C 1 x 3 2 x 1 3 , α 3 ( x ) = 2 C 1 x 3 x 1 2 , C 1 = K m 2 M b , C 2 = R S + R C L C , C 3 = 1 L C
For the third-order nonlinear disturbed MLS (33), the known smooth functions α ( x ) , β ( x ) , and γ ( x ) can be written as follows:
α ( x ) = g C 1 x 3 x 1 2 β ( x ) = C 2 x 3 γ ( x ) = C 3
Finally, implementing the DESO-FLC law with x 1 0 , x 3 0 based on Theorem 2 using the information in (34)–(36) will result in the following transformed dynamic of MLS.
z ˙ = y ˙ y ¨ e ˙ f K 3 y ¨ K 2 y ˙ K 1 y + K r r
As per the earlier discussion, the estimation of the mismatched lumped disturbance and its derivative converge to the actual information using the DESO such that e ˙ f 0 . Finally, based on the state feedback controller design, the controller gains shown in Table 2 are obtained based on (31) and (32) at t . The proposed generalized control algorithm is validated under the following cases of the bounded mismatched lumped disturbances as per Assumption 1 for the MLS. The performance effectiveness of the DESO-FLC approach is compared with the most popular feedback linearizing controller (FLC) and the LQR controller [47]. The LQR controller is designed around the operating position ( x 0 ) of 0.009 m with the following parameters:
Q l q r = 1000 0 0 0 0.025 0 0 0 2.5 , R l q r = 0.00005

5.1. Case 1: Payload Disturbance ( d ( t ) )

This is one of the most common lumped disturbances for the MLS. The amount of the payload ranges from 0 to 40% of its nominal weight [48]. Hence, in Case 1, the only payload is considered as a mismatched lumped disturbance, as d ( t ) = d 0 + d 1 sin ( w t ) , d 0 = 15 % , d 1 = 15 % , w = 6.28 rad/s. In all of the figures of the simulation results, we considered volts, amperes, meters, and seconds as the units for the voltage, current, ball position, and time, respectively.
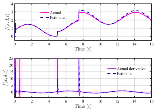
Such a critical external disturbance and its derivative are estimated using the DESO, as shown in Figure 2. It is clear that the proposed algorithm is capable of estimating the payload disturbance in less than 0.1 s with negligible transient peaks. Moreover, the rate of change of payload is precisely estimated without any spikes or overshoots compared to the filtered derivative of the actual one. The performance of the DESO is also validated in the presence of square and saw-tooth payload disturbances, as presented in Figures S1 and S2 of the Supplementary Materials, respectively. For the MLS, the maximum allowable deviation of the ball position from the reference position (r) is ± 0.001 m. Therefore, one of the prime duties of the control system is to keep the ball position very near to r = 0.009 m from the initial ball position of x ( 0 ) = 0.014 m.
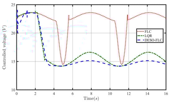
Now that information on the lumped disturbance and its derivative is available, the DESO-FLC law is utilized to control the MLS in the presence of payload disturbance ( d ( t ) ). The responses of the ball position, ball velocity, coil current, and coil voltage using different control approaches (i.e., FLC, LQR, and DESO-FLC) are presented in the following Figure 3, Figure 4, Figure 5 and Figure 6. It is evident that the conventional FLC is not capable of stabilizing the MLS in the presence of d ( t ) . The LQR shows a bounded oscillatory response, which is somewhat better than the FLC. However, such continuous up-down movement of the steel ball may cause instability as it is very near to the upper maximum allowable limit. The DESO-FLC shows a tight, oscillation-free, and stable response even in the presence of extreme payload disturbance. It can be seen from Figure 5 and Figure 6 that the proposed control approach is optimal in utilizing the average coil current ( I a v g = 1.34 A) and coil voltage ( V a v g = 14 V) to stabilize the system. In the case of the LQR, these values are 1.41 A and 16.2 V, respectively. To evaluate the performance effectiveness, error criteria, such as the integral square error (ISE) and integral time absolute error (ITAE) were computed using all three control approaches, as shown in Table 3. In these findings, the DESO-FLS demonstrated the lowest integral errors compared to the rest.

5.2. Case 2: Parametric Uncertainty ( Δ K m , Δ M b )

The second type of common mismatched disturbance belongs to case 2. In this case, the parameters of the system are uncertain in nature. For example, in the case of MLS, the parameters associated with the weight and dimensions of the levitating objects are the primary sources of uncertainty [49]. Out of many parameters, the combined effect of uncertain weight ( Δ M b ) and uncertain electromagnetic constant ( Δ K m ) are considered in this paper. During the simulation, this lumped uncertainty is applied with the magnitude of 5% and 15% at t = 5 and t = 7.5 seconds, respectively. The DESO algorithm is utilized to estimate the total effect of f ( x , t ) and f ˙ ( x , t ) due to parametric uncertainty, as shown in Figure 7.
Similar to case 1, the DESO smoothly tracks the lumped uncertainty without any unwanted spikes, offsets, or distortion. Due to the sudden change in the parameter, there is negligible overshoot during the transient for 0.1 s. Again, the rate of change of the lumped uncertainty is correctly estimated without any spikes or deviations compared to the filtered derivative of the actual one. Now that the information on the lumped disturbance is available via the proposed estimator, the DESO-FLC law can be implemented effectively to settle the steel ball near the reference value (r), even in the presence of such mismatched parametric uncertainty. The responses of the state variables (i.e., x 1 , x 2 , x 3 ) and input (u) using various control approaches (i.e., FLC, LQR, and DESO-FLC) are shown in Figure 8, Figure 9, Figure 10 and Figure 11.
Until t = 5 seconds, the FLC approach tightly holds the ball position around the reference value. However, when f ( x , t ) enters into the MLS, the control of FLC is totally disturbed by the lumped parametric uncertainty. The steel ball falls down to the initial position of x ( 0 ) = 0.014 m with a very high steady-state ball velocity of x 2 = 0.14 m/s. The LQR has shown quite a good response with a small offset compared to FLC under a 5% change in f ( x , t ) to t = 7.5 s. However, when the amount of f ( x , t ) increased from 5% to 15% from t = 7.5 s, the effectiveness of the LQR drastically reduced. This resulted in a large permanent offset (very near to the unsafe zone) between the actual ball position ( x 1 ) and reference value (r). In the case of the DESO-FLC, the performance effectiveness is maintained throughout the response even in the presence of 5% to 15% parametric changes. At t = 7.5 s, the small overshoot followed by the negligible undershoot was observed. However, this is well-accepted for a large amount of lumped uncertainty. It can be observed from Figure 10 and Figure 11 that the FLC utilized the maximum amount (up to saturation) of electrical quantities to handle the disturbances. The LQR has consumed an average coil current ( I a v g = 1.51 A) and coil voltage ( V a v g = 17 V) to control the MLS. However, in the case of DESO-FLC, these electrical quantities are 1.38 A and 15.2 V, respectively. The integral square error (ISE) and integral time absolute error (ITAE) have been computed using all three control approaches, as shown in Table 4. In these findings, DESO-FLC has again shown the least amount of both integral errors compared to the rest.

5.3. Case 3: Payload Disturbance with Parametric Uncertainty ( d ( t ) , Δ K m , Δ M b )

This is one of the extreme cases of mismatched lumped disturbances for the MLS. Here, the payload disturbance of case-1 and the parametric uncertainties of case-2 act simultaneously. The DESO is used to estimate the derivative of this extreme internal and external disturbance, as shown in Figure 12.
Similar to cases 1 and 2, the proposed algorithm is capable of estimating the considered mismatched disturbance very smoothly. There is a minor tracking error when f ( d , x , t ) > 2 m/s 2 . Hence, ±2 m/s 2 is the maximum allowable mismatched disturbance that can be estimated using the DESO based on Assumption 1. Moreover, the rate of change of the disturbance is precisely estimated with a negligible spike or overshoot compared to the derivative of the actual one.
Now that the information on the lumped disturbance is available via the proposed estimator, the DESO-FLC law can be effectively implemented to settle the steel ball near the reference value (r) even in the presence of such extreme mismatched disturbances. The FLC approach has failed to hold the steel ball within safe limits in both case 1 and case 2. Hence, the responses of the state variables (i.e., x 1 , x 2 , x 3 ) and input (u) using LQR and DESO-FLC are shown in the following Figure 13, Figure 14, Figure 15 and Figure 16.
Until t = 7.5 s, both controllers maintain the ball position within 0.009 ± 0.001 m, which is a safe zone. However, for the LQR approach, after t = 7.5 , the ball quickly crosses the safe zone and oscillates continuously outside the allowable position, which shows BIBO instability. In practical applications, beyond the safe zone, the electromagnet may not be capable of holding the levitating object, which may cause the object to fall and result in damage. However, the DESO-FLC maintains the ball position and BIBO stability around the reference value (r). It is observed from Figure 15 and Figure 16 that the LQR has consumed a very large amount of coil current (around I a v g = 1.6 A) and coil voltage (around V a v g = 18.5 V) to control the MLS. However, in the proposed design, these electrical quantities are minimal, around 1.4 A and 16.1 V, respectively. Moreover, the integral square error (ISE) and integral time absolute error (ITAE) have again shown the least amount for the DESO-FLC approach, as shown in Table 5.
Hence, it can be stated that the DESO-FLC tackles the mismatched lumped disturbances and stabilizes the steel ball with the least amount of energy consumption.

6. Conclusions

The limitations of the conventional Extended State Observer (e.g., integral chain structure, matching disturbance, etc.) have been overcome by introducing the dual ESO (DESO). The DESO is capable of simultaneously estimating the mismatched lumped disturbance (external, internal, or combined) and its derivative. We have assumed that the disturbance and its derivative are bounded, which is quite obvious. Furthermore, the proposed DESO-based FLC (DESO-FLC) approach strengthens the disturbance rejection capabilities and performance robustness of the traditional Feedback Linearizing Control approach. The efficacy of the proposed research was verified via simulation for the Magnetic Levitation System, which is a third-order nonlinear, unstable, and disturbed system. We have considered the external payload disturbance with various slow-varying signals (i.e., sinusoidal, saw-tooth, square) and uncertain parameters ( Δ K m , Δ M b ) as the mismatched lumped disturbance for the MLS. It has been observed from the theory and simulation that the proposed DESO-FLC approach is more robust than the LQR and conventional FLC approaches in rejecting disturbances. Moreover, the proposed approach has consumed less electrical energy and demonstrated the least integral errors (i.e., ISE, ITAE) compared to the rest.

Supplementary Materials

The following supporting information can be downloaded at: https://www.mdpi.com/article/10.3390/en16073142/s1. Figure S1. DESO based estimation of square-wave payload disturbance and its first-order derivative. Figure S2. DESO based estimation of sawtooth-wave payload disturbance and its first-order derivative.

Author Contributions

Conceptualization, R.G.; methodology, R.G.; software, R.G.; validation, R.G., D.A. and G.S.; formal analysis, R.G. and D.A.; investigation, R.G., D.A. and G.S.; resources, R.G., D.A. and G.S.; data curation, R.G., D.A. and G.S.; writing—original draft preparation, R.G.; writing—review and editing, R.G. and G.S.; visualization, R.G. and G.S.; supervision, D.A., G.S. and P.N.B.; project administration, G.S. and P.N.B.; funding acquisition, G.S and P.N.B. All authors have read and agreed to the published version of the manuscript.

Funding

This research received no external funding.

Data Availability Statement

Not applicable.

Conflicts of Interest

The authors declare no conflict of interest.

Abbreviations

The following abbreviations are used in this manuscript:
ADRCactive disturbance rejection control
DOBdisturbance observer
DOBCdisturbance observer-based control
DESOdual-extended state observer
DESOBCdual-extended state observer-based control
DESO-FLCdual-extended state observer-based feedback linearizing control
ESOextended state observer
FLCfeedback linearization control
ICFintegral chain form
ISEintegral square error
ISTEintegral square time error
LQRlinear quadratic regulator
MLSmagnetic levitation system
NESOnonlinear extended state observer

References

  1. Chen, W.; Yang, J.; Guo, L.; Li, S. Disturbance-Observer-Based Control and Related Methods—An Overview. IEEE Trans. Ind. Electron. 2016, 63, 1083–1095. [Google Scholar] [CrossRef]
  2. Ran, M.; Li, J.; Xie, L. A new extended state observer for uncertain nonlinear systems. Automatica 2021, 131, 109772. [Google Scholar] [CrossRef]
  3. Gandhi, R.V.; Adhyaru, D.M. Hybrid extended state observer based control for systems with matched and mismatched disturbances. ISA Trans. 2020, 106, 61–73. [Google Scholar] [CrossRef] [PubMed]
  4. Nie, Z.; Wang, Q.; She, J.; Liu, R.; Guo, D. New results on the robust stability of control systems with a generalized disturbance observer. Asian J. Control. 2019, 22, 2463–2475. [Google Scholar] [CrossRef]
  5. She, J.H.; Xin, X.; Yamaura, T. Analysis and design of control system with equivalent-input-disturbance estimation. In Proceedings of the IEEE International Conference on Control Applications, Singapore, 1–3 October 2006; pp. 1463–1469. [Google Scholar] [CrossRef]
  6. Huang, Y.; Xue, W. Active disturbance rejection control: Methodology and theoretical analysis. ISA Trans. 2014, 53, 963–976. [Google Scholar] [CrossRef]
  7. Guo, B.; Zhao, Z. On the convergence of an extended state observer for nonlinear systems with uncertainty. Syst. Control Lett. 2011, 60, 420–430. [Google Scholar] [CrossRef]
  8. Chen, W.; Guo, L. Analysis of disturbance observer based control for nonlinear systems under disturbances with bounded variation. In Proceedings of the International Conference on Control, Kunming, China, 6–9 December 2004; Volume 1, pp. 1–5. [Google Scholar]
  9. Chen, W.H.; Guo, L. Control of nonlinear systems with unknown actuator nonlinearities. In Proceedings of the IFAC Nonlinear Control Systems, Stuttgart, Germany, 1–3 September 2004; pp. 1347–1352. [Google Scholar] [CrossRef]
  10. Chen, W.H.; Li, S.; Yang, J. Non-linear disturbance observer-based robust control for systems with mismatched disturbances/uncertainties. IET Control. Theory Appl. 2011, 5, 2053–2062. [Google Scholar] [CrossRef]
  11. Abdul-Adheem, W.R.; Ibraheem, I.K. On the active input-output feedback linearization of single-link flexible joint manipulator: An extended state observer approach. arXiv 2018, arXiv:1805.00222. [Google Scholar]
  12. Li, S.; Member, S.; Yang, J.; Chen, W.; Member, S.; Chen, X. Generalized Extended State Observer Based Control for Systems with Mismatched Uncertainties. IEEE Trans. Ind. Electron. 2012, 59, 4792–4802. [Google Scholar] [CrossRef]
  13. Xiong, S.; Wang, W.; Liu, X.; Chen, Z.; Wang, S. A novel extended state observer. ISA Trans. 2015, 58, 309–317. [Google Scholar] [CrossRef]
  14. Castillo, A.; García, P.; Sanz, R.; Albertos, P. Enhanced extended state observer-based control for systems with mismatched uncertainties and disturbances. ISA Trans. 2018, 73, 1–10. [Google Scholar] [CrossRef]
  15. Castillo, A.; Santos, T.L.; Garcia, P.; Normey-Rico, J.E. Predictive ESO-based control with guaranteed stability for uncertain MIMO constrained systems. ISA Trans. 2021, 112, 161–167. [Google Scholar] [CrossRef]
  16. Wang, P.; Zhang, D.; Lu, B. ESO based sliding mode control for the welding robot with backstepping. Int. J. Control. 2021, 94, 3322–3331. [Google Scholar] [CrossRef]
  17. Liu, Y.C.; Laghrouche, S.; Depernet, D.; N’Diaye, A.; Djerdir, A.; Cirrincione, M. Super-twisting sliding-mode observer-based model reference adaptive speed control for PMSM drives. J. Frankl. Inst. 2023, 360, 985–1004. [Google Scholar] [CrossRef]
  18. Xu, Z.; Qi, G.; Liu, Q.; Yao, J. ESO-based adaptive full state constraint control of uncertain systems and its application to hydraulic servo systems. Mech. Syst. Signal Process. 2022, 167, 108560. [Google Scholar] [CrossRef]
  19. Liu, Y.C.; Laghrouche, S.; N’Diaye, A.; Cirrincione, M. Hermite neural network-based second-order sliding-mode control of synchronous reluctance motor drive systems. J. Frankl. Inst. 2021, 358, 400–427. [Google Scholar] [CrossRef]
  20. Ginoya, D.; Shendge, P.; Phadke, S. State and Extended Disturbance Observer for Sliding Mode Control of Mismatched Uncertain Systems. J. Dyn. Syst. Meas. Control 2015, 137, 074502. [Google Scholar] [CrossRef]
  21. Hou, L.; Wang, L.; Wang, H. SMC for Systems With Matched and Mismatched Uncertainties and Disturbances Based on NDOB. Acta Autom. Sin. 2017, 43, 1257–1264. [Google Scholar] [CrossRef]
  22. Fuh, C.C.; Tsai, H.H.; Yao, W.H. Combining a feedback linearization controller with a disturbance observer to control a chaotic system under external excitation. Commun. Nonlinear Sci. Numer. Simul. 2012, 17, 1423–1429. [Google Scholar] [CrossRef]
  23. Kayacan, E.; Fossen, T. Feedback linearization control for systems with mismatched uncertainties via distrubance observers. Asian J. Control 2019, 21, 1064–1076. [Google Scholar] [CrossRef]
  24. Ran, M.; Wang, Q.; Dong, C. Active Disturbance Rejection Control for Uncertain Nonaffine-in-Control Nonlinear Systems. IEEE Trans. Autom. Control. 2017, 62, 5830–5836. [Google Scholar] [CrossRef]
  25. Guo, L.; Cao, S. Anti-disturbance control theory for systems with multiple disturbances: A survey. ISA Trans. 2014, 53, 846–849. [Google Scholar] [CrossRef]
  26. Liu, C.; Liu, G.; Fang, J. Feedback Linearization and Extended State Observer-Based Control for Rotor-AMBs System. IEEE Trans. Ind. Electron. 2017, 64, 1313–1322. [Google Scholar] [CrossRef]
  27. Kayacan, E.; Peschel, J.; Chowdhary, G. A self-learning disturbance observer for nonlinear systems in feedback-error learning scheme. Eng. Appl. Artif. Intell. 2017, 62, 276–285. [Google Scholar] [CrossRef]
  28. Abdul-Adheem, W.; Ibraheem, I. Improved sliding mode nonlinear extended state observer based active disturbance rejection control for uncertain systems with unknown total disturbance. Int. J. Adv. Comput. Sci. Appl. 2016, 7, 80–93. [Google Scholar]
  29. Han, J. The extended state observer of a class of uncertain systems. Control. Decis. 1995, 10, 85–88. (In Chinese) [Google Scholar] [CrossRef]
  30. Gao, Z.; Huang, Y.; Han, J. An alternative paradigm for control system design. In Proceedings of the IEEE, 40th Conference on Decision and Control, Orlando, FL, USA, 4–7 December 2001; Volume 5, pp. 4578–4585. [Google Scholar] [CrossRef]
  31. Li, S.; Yang, J.; Chen, W.; Chen, X. Disturbance Observer-Based Control:Methods and Applications; CRC Press: Boca Raton, FL, USA; Taylor & Francis Group: Boca Raton, FL, USA, 2014; pp. 1–344. [Google Scholar]
  32. Han, J. From PID to active disturbance rejection control. IEEE Trans. Ind. Electron. 2009, 56, 900–906. [Google Scholar] [CrossRef]
  33. Gandhi, R.; Adhyaru, D. Novel approximation-based dynamical modelling and nonlinear control of electromagnetic levitation system. Int. J. Comput. Syst. Eng. 2018, 4, 224–237. [Google Scholar] [CrossRef]
  34. Ibraheem, I.; Abdul-Adeem, W. An Improved Active Disturbance Rejection Control for a Differential Drive Mobile Robot with Mismatched Disturbances and Uncertainties. arXiv 2018, arXiv:1805.12170. [Google Scholar]
  35. Freidovich, L.; Khalil, H. Performance recovery of feedback-linearization based designs. IEEE Trans. Autom. Control 2008, 53, 2324–2334. [Google Scholar] [CrossRef]
  36. Han, H.; Chen, J.; Karimi, H.R. State and disturbance observers-based polynomial fuzzy controller. Inf. Sci. 2017, 382–383, 38–59. [Google Scholar] [CrossRef]
  37. Yang, J.; Zolotas, A.; Chen, W.H.; Michail, K.; Li, S. Robust control of nonlinear MAGLEV suspension system with mismatched uncertainties via DOBC approach. ISA Trans. 2011, 50, 389–396. [Google Scholar] [CrossRef] [PubMed]
  38. Su, J.; Chen, W.; Li, B. High order disturbance observer design for linear and nonlinear systems. In Proceedings of the 2015 IEEE International Conference on Information and Automation, ICIA 2015—In conjunction with 2015 IEEE International Conference on Automation and Logistics, Lijiang, China, 8–10 August 2015; pp. 1893–1898. [Google Scholar] [CrossRef]
  39. Guo, B.; Zhao, Z. Active disturbance rejection control: Theoretical perspectives. Commun. Inf. Syst. 2016, 15, 361–421. [Google Scholar] [CrossRef]
  40. Gandhi, R.; Adhyaru, D. Hybrid intelligent controller design for an unstable electromagnetic levitation system: A fuzzy interpolative controller approach. Int. J. Control Autom. 2019, 13, 735–754. [Google Scholar] [CrossRef]
  41. Dalwadi, N.; Deb, D.; Muyeen, S.M. A Reference Model Assisted Adaptive Control Structure for Maglev Transportation System. Electronics 2021, 10, 332. [Google Scholar] [CrossRef]
  42. Gandhi, R.; Adhyaru, D. Modeling of current and voltage controlled electromagnetic levitation system based on novel approximation of coil inductance. In Proceedings of the 2018 4th International Conference on Control, Automation and Robotics (ICCAR), Auckland, New Zealand, 20–23 April 2018; pp. 212–217. [Google Scholar] [CrossRef]
  43. Gandhi, R.; Adhyaru, D. Feedback linearization based optimal controller design for electromagnetic levitation system. In Proceedings of the International Conference on Control, Instrumentation, Communication and Computational Technologies (ICCICCT), Tamilnadu, India, 16–17 December 2016; pp. 38–43. [Google Scholar] [CrossRef]
  44. Gandhi, R.; Adhyaru, D. Fuzzy Tuner Based Modified Cascade Control for Electromagnetic Levitation System. In Proceedings of the 2019 Australian and New Zealand Control Conference (ANZCC 2019), Auckland, New Zealand, 27–29 November 2019; pp. 1–6. [Google Scholar]
  45. Jacob, E. Quanser Magnetic Levitation User Manual; Technical Report; Quanser Consulting Inc.: Ontario, ON, Canada, 2012. [Google Scholar]
  46. Zheng, Q.; Gao, L.Q.; Gao, Z. On Stability Analysis of Active Disturbance Rejection Control for Nonlinear Time-Varying Plants with Unknown Dynamics. In Proceedings of the 46th IEEE Conference on Decision and Control, New Orleans, LA, USA, 12–14 December 2007; pp. 3501–3506. [Google Scholar]
  47. Pandey, A.; Adhyaru, D.M. Control techniques for electromagnetic levitation system: A literature review. Int. J. Dyn. Control. 2023, 11, 441–451. [Google Scholar] [CrossRef]
  48. Gandhi, R.; Adhyaru, D. Simplified Takagi-Sugeno fuzzy regulator design for stabilizing control of electromagnetic levitation system. In Innovations in Infrastructure; Springer: Singapore; Ahmedabad, India, 2019; Volume 757, pp. 1–11. [Google Scholar] [CrossRef]
  49. Michail, K.; Zolotas, A.; Goodall, R. Optimised sensor selection for control and fault tolerance of electromagnetic suspension systems: A robust loop shaping approach. ISA Trans. 2014, 53, 97–109. [Google Scholar] [CrossRef]
Figure 1. Schematic of voltage-controlled MLS.
Figure 1. Schematic of voltage-controlled MLS.
Energies 16 03142 g001
Figure 2. DESO−based estimation of the sinusoidal payload disturbance ( d ( t ) ) and its first-order derivative ( d ˙ ( t ) ).
Figure 2. DESO−based estimation of the sinusoidal payload disturbance ( d ( t ) ) and its first-order derivative ( d ˙ ( t ) ).
Energies 16 03142 g002
Figure 3. Response of the steel ball position ( x 1 ) in the presence of the payload disturbance ( d ( t ) ).
Figure 3. Response of the steel ball position ( x 1 ) in the presence of the payload disturbance ( d ( t ) ).
Energies 16 03142 g003
Figure 4. Response of steel ball velocity ( x 2 ) in the presence of the payload disturbance ( d ( t ) ).
Figure 4. Response of steel ball velocity ( x 2 ) in the presence of the payload disturbance ( d ( t ) ).
Energies 16 03142 g004
Figure 5. Response of the coil current ( x 3 ) in the presence of the payload disturbance ( d ( t ) ).
Figure 5. Response of the coil current ( x 3 ) in the presence of the payload disturbance ( d ( t ) ).
Energies 16 03142 g005
Figure 6. Response of the controlled voltage ( V C ) in the presence of the payload disturbance ( d ( t ) ).
Figure 6. Response of the controlled voltage ( V C ) in the presence of the payload disturbance ( d ( t ) ).
Energies 16 03142 g006
Figure 7. DESO−based estimation of disturbance due to parametric uncertainties and its first-order derivative.
Figure 7. DESO−based estimation of disturbance due to parametric uncertainties and its first-order derivative.
Energies 16 03142 g007
Figure 8. Response of the steel ball position ( x 1 ) in the presence of parametric uncertainties.
Figure 8. Response of the steel ball position ( x 1 ) in the presence of parametric uncertainties.
Energies 16 03142 g008
Figure 9. Response of steel ball velocity ( x 2 ) in the presence of parametric uncertainties.
Figure 9. Response of steel ball velocity ( x 2 ) in the presence of parametric uncertainties.
Energies 16 03142 g009
Figure 10. Response of coil current ( x 3 ) in the presence of parametric uncertainties.
Figure 10. Response of coil current ( x 3 ) in the presence of parametric uncertainties.
Energies 16 03142 g010
Figure 11. Response of controlled voltage ( V C ) in the presence of parametric uncertainties.
Figure 11. Response of controlled voltage ( V C ) in the presence of parametric uncertainties.
Energies 16 03142 g011
Figure 12. DESO−based estimation of mismatched lumped disturbance and its first-order derivative.
Figure 12. DESO−based estimation of mismatched lumped disturbance and its first-order derivative.
Energies 16 03142 g012
Figure 13. Response of the steel ball position ( x 1 ) in the presence of payload disturbances and parametric uncertainties.
Figure 13. Response of the steel ball position ( x 1 ) in the presence of payload disturbances and parametric uncertainties.
Energies 16 03142 g013
Figure 14. Response of steel ball velocity ( x 2 ) in the presence of payload disturbances and parametric uncertainties.
Figure 14. Response of steel ball velocity ( x 2 ) in the presence of payload disturbances and parametric uncertainties.
Energies 16 03142 g014
Figure 15. Response of the coil current ( x 3 ) in the presence of payload disturbances and parametric uncertainties.
Figure 15. Response of the coil current ( x 3 ) in the presence of payload disturbances and parametric uncertainties.
Energies 16 03142 g015
Figure 16. Response of the controlled voltage ( V C ) in the presence of payload disturbances and parametric uncertainties.
Figure 16. Response of the controlled voltage ( V C ) in the presence of payload disturbances and parametric uncertainties.
Energies 16 03142 g016
Table 1. Simulation parameters of MLS.
Table 1. Simulation parameters of MLS.
ParameterDescriptionValue
ggravitational constant9.81 m / s 2
K m electromagnetic constant6.5308 × 10 5 Kg Nm 2 / A 2
M b mass of steel ball0.068 Kg
R S current sensor resistance1 Ω
R C coil resistance10 Ω
L C coil inductance0.4125 H
Table 2. Controller gains.
Table 2. Controller gains.
GainValue
K 1 7.75 × 10 5
K 2 0.38 × 10 5
K 3 0.0034 × 10 5
K r 7.75 × 10 5
Table 3. Comparison of ISE and ITAE using various control approaches for case 1.
Table 3. Comparison of ISE and ITAE using various control approaches for case 1.
Control ApproachISEITAE
FLC3.608 × 10 4 0.8538
LQR4.902 × 10 5 0.07994
DESO-FLC1.991 × 10 5 0.006622
Table 4. Comparison of ISE and ITAE using various control approaches for case 2.
Table 4. Comparison of ISE and ITAE using various control approaches for case 2.
Control ApproachISEITAE
FLC3.733 × 10 4 0.9386
LQR9.345 × 10 5 0.1516
DESO-FLC1.814 × 10 5 0.005375
Table 5. Comparison of ISE and ITAE using various control approaches for case 3.
Table 5. Comparison of ISE and ITAE using various control approaches for case 3.
Control ApproachISEITAE
FLC4.178 × 10 4 0.9725
LQR2.887 × 10 5 0.2527
DESO-FLC1.773 × 10 5 0.005928
Disclaimer/Publisher’s Note: The statements, opinions and data contained in all publications are solely those of the individual author(s) and contributor(s) and not of MDPI and/or the editor(s). MDPI and/or the editor(s) disclaim responsibility for any injury to people or property resulting from any ideas, methods, instructions or products referred to in the content.

Share and Cite

MDPI and ACS Style

Gandhi, R.; Adhyaru, D.; Sharma, G.; Bokoro, P.N. Dual-Extended State Observer-Based Feedback Linearizing Control for a Nonlinear System with Mismatched Disturbances and Uncertainties. Energies 2023, 16, 3142. https://doi.org/10.3390/en16073142

AMA Style

Gandhi R, Adhyaru D, Sharma G, Bokoro PN. Dual-Extended State Observer-Based Feedback Linearizing Control for a Nonlinear System with Mismatched Disturbances and Uncertainties. Energies. 2023; 16(7):3142. https://doi.org/10.3390/en16073142

Chicago/Turabian Style

Gandhi, Ravi, Dipak Adhyaru, Gulshan Sharma, and Pitshou N. Bokoro. 2023. "Dual-Extended State Observer-Based Feedback Linearizing Control for a Nonlinear System with Mismatched Disturbances and Uncertainties" Energies 16, no. 7: 3142. https://doi.org/10.3390/en16073142

APA Style

Gandhi, R., Adhyaru, D., Sharma, G., & Bokoro, P. N. (2023). Dual-Extended State Observer-Based Feedback Linearizing Control for a Nonlinear System with Mismatched Disturbances and Uncertainties. Energies, 16(7), 3142. https://doi.org/10.3390/en16073142

Note that from the first issue of 2016, this journal uses article numbers instead of page numbers. See further details here.

Article Metrics

Back to TopTop